Bulk Plasmon Polariton Modes in Hyperbolic Metamaterials for Giant Enhancement of the Transverse Magneto-Optical Kerr Effect
Abstract
1. Introduction
2. Theoretical Framework
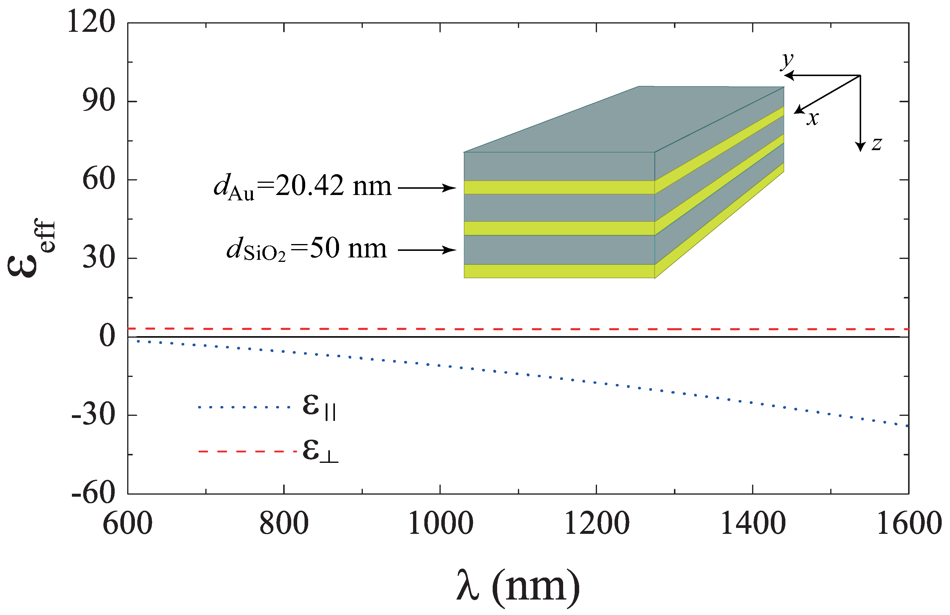
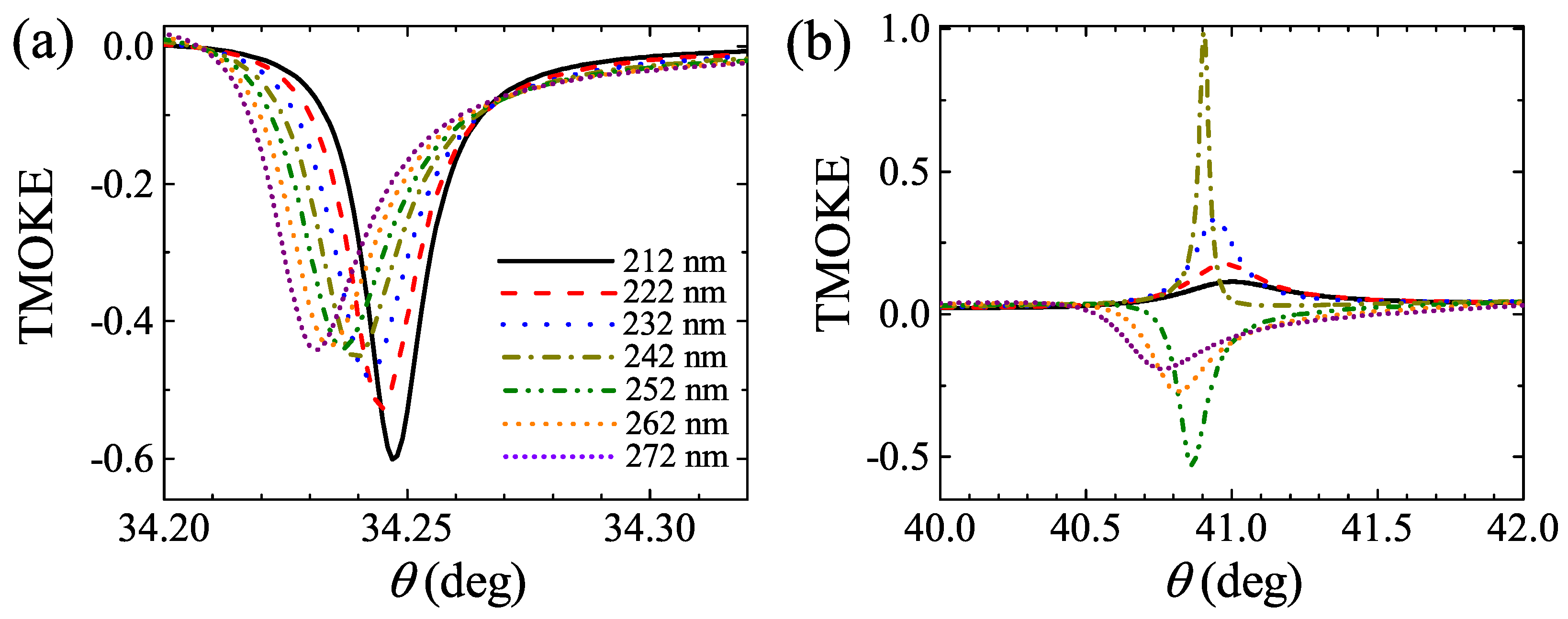
3. Results and Discussions
4. Conclusions
Author Contributions
Funding
Data Availability Statement
Conflicts of Interest
References
- Moccia, M.; Castaldi, G.; Galdi, V.; Alù, A.; Engheta, N. Optical isolation via unidirectional resonant photon tunneling. J. Appl. Phys. 2014, 115, 043107. [Google Scholar] [CrossRef]
- Shoji, Y.; Shirato, Y.; Mizumoto, T. Silicon Mach–Zehnder interferometer optical isolator having 8 nm bandwidth for over 20 dB isolation. Jpn. J. Appl. Phys. 2014, 53, 022202. [Google Scholar] [CrossRef]
- Belotelov, V.I.; Doskolovich, L.L.; Zvezdin, A.K. Extraordinary Magneto-Optical Effects and Transmission through Metal-Dielectric Plasmonic Systems. Phys. Rev. Lett. 2007, 98, 077401. [Google Scholar] [CrossRef] [PubMed]
- Gambino, R.J.; Suzuki, T. Magneto-Optical Recording Materials, 1st ed.; IEEE Press: Hoboken, NJ, USA, 2000. [Google Scholar]
- Vahaplar, K.; Kalashnikova, A.M.; Kimel, A.V.; Hinzke, D.; Nowak, U.; Chantrell, R.; Tsukamoto, A.; Itoh, A.; Kirilyuk, A.; Rasing, T. Ultrafast Path for Optical Magnetization Reversal via a Strongly Nonequilibrium State. Phys. Rev. Lett. 2009, 103, 117201. [Google Scholar] [CrossRef] [PubMed]
- Belyaev, V.K.; Rodionova, V.V.; Grunin, A.A.; Inoue, M.; Fedyanin, A.A. Magnetic field sensor based on magnetoplasmonic crystal. Sci. Rep. 2020, 10, 7133. [Google Scholar] [CrossRef]
- Caballero, B.; García-Martín, A.; Cuevas, J.C. Hybrid Magnetoplasmonic Crystals Boost the Performance of Nanohole Arrays as Plasmonic Sensors. ACS Photonics 2016, 3, 203–208. [Google Scholar] [CrossRef]
- Kuei-Hsu, C.; En-Ping, L.; Te-Chang, C.; Chih-Huang, L.; Liang-Wei, W.; Ko-Wei, C.; Gwo-Bin, L.; Ming-Chang, M.L. Application of strong transverse magneto-optical Kerr effect on high sensitive surface plasmon grating sensors. Opt. Express 2014, 22, 19794. [Google Scholar]
- Zvezdin, A.K.; Kotov, V.A. Modern Magnetooptics and Magnetooptical Materials, 1st ed.; Taylor and Francis: London, UK, 1997. [Google Scholar]
- Halagacka, L.; Vanwolleghem, M.; Postava, K.; Dagens, B.; Pistora, J. Coupled mode enhanced giant magnetoplasmonics transverse Kerr effect. Opt. Express 2013, 21, 21741. [Google Scholar] [CrossRef][Green Version]
- Ignatyeva, D.O.; Knyazev, G.A.; Kapralov, P.O.; Dietler, G.; Sekatskii, S.K.; Belotelov, V.I. Magneto-optical plasmonic heterostructure with ultranarrow resonance for sensing applications. Sci. Rep. 2016, 6, 28007. [Google Scholar] [CrossRef]
- Rizal, C.; Kapralov, P.O.; Ignatyeva, D.; Belotelov, V.; Pisana, S. Comparison of the effects of surface plasmon resonance and the transverse magneto-optic Kerr effect in magneto-optic plasmonic nanostructures. J. Phys. D Appl. Phys. 2020, 53, 02LT02. [Google Scholar] [CrossRef]
- Almpanis, E.; Amanollahi, M.; Zamani, M. Controlling the transverse magneto-optical Kerr effect with near-zero refractive index bi-gyrotropic metamaterials. Opt. Mater. 2020, 99, 109539. [Google Scholar] [CrossRef]
- Diaz-Valencia, B.F.; Mejía-Salazar, J.R.; Oliveira, O.N., Jr.; Porras-Montenegro, N.; Albella, P. Enhanced Transverse Magneto-Optical Kerr Effect in Magnetoplasmonic Crystals for the Design of Highly Sensitive Plasmonic (Bio)sensing Platforms. ACS Omega 2017, 2, 7682–7685. [Google Scholar] [CrossRef] [PubMed]
- Mejía-Salazar, J.R.; Oliveira, O.N., Jr. Plasmonic Biosensing. Chem. Rev. 2018, 118, 10617. [Google Scholar] [CrossRef] [PubMed]
- Rizal, C.; Manera, M.G.; Ignatyeva, D.O.; Mejía-Salazar, J.R.; Rella, R.; Belotelov, V.I.; Pineider, F.; Maccaferri, N. Magnetophotonics for sensing and magnetometry toward industrial applications. J. Appl. Phys. 2021, 130, 230901. [Google Scholar] [CrossRef]
- Pfaffenbach, E.S.; Carvalho, W.O.F.; Oliveira, O.N., Jr.; Mejía-Salazar, J.R. Design of Nanoarchitectures for Magnetoplasmonic Biosensing with Near-Zero-Transmittance Conditions. ACS Appl. Mater. Int. 2021, 13, 60672. [Google Scholar] [CrossRef] [PubMed]
- Kolmychec, I.A.; Pomozov, A.R.; Leontiev, A.P.; Napolskii, K.S.; Murzina, T.V. Magneto-optical effects in hyperbolic metamaterials. Opt. Lett. 2018, 43, 3917. [Google Scholar] [CrossRef]
- Fan, B.; Nasir, M.E.; Nicholls, L.H.; Zayats, A.V.; Podolskiy, V.A. Magneto-Optical Metamaterials: Nonreciprocal Transmission and Faraday Effect Enhancement. Adv. Opt. Mater. 2019, 7, 1801420. [Google Scholar] [CrossRef]
- Wang, X.; Wang, H.; Jian, J.; Rutherford, B.X.; Gao, X.; Xu, X.; Zhang, X.; Wang, H. Metal-Free Oxide-Nitride Heterostructure as a Tunable Hyperbolic Metamaterial Platform. Nano Lett. 2020, 20, 6614. [Google Scholar] [CrossRef]
- Wang, X.; Wang, H.; Jian, J.; Wang, H.; Liu, J.; Pachaury, Y.; Lu, P.; Rutherford, B.X.; Gao, X.; Xu, X.; et al. Nitride-Oxide-Metal Heterostructure with Self-Assembled Core–Shell Nanopillar Arrays: Effect of Ordering on Magneto-Optical Properties. Small 2021, 17, 2007222. [Google Scholar] [CrossRef]
- Moncada-Villa, E.; Oliveira, O.N., Jr.; Mejía-Salazar, J.R. Uniaxial ε-near-zero metamaterials for giant enhancement of the transverse magneto-optical Kerr effect. Phys. Rev. B 2020, 102, 165304. [Google Scholar] [CrossRef]
- Díaz-Valencia, B.F.; Porras-Montenegro, N.; Oliveira, O.N., Jr.; Mejía-Salazar, J.R. Nanostructured Hyperbolic Metamaterials for Magnetoplasmonic Sensors. ACS Appl. Nano Mater. 2022, 5, 1740. [Google Scholar] [CrossRef]
- Poddubny, A.; Iorsh, I.; Belov, P.; Kivshar, Y. Hyperbolic metamaterials. Nat. Photon 2013, 7, 948–957. [Google Scholar] [CrossRef]
- Wang, X.; Choi, J.; Liu, J.; Malis, O.; Li, X.; Bermel, P.; Zhang, X.; Wang, H. 3D Hybrid Trilayer Heterostructure: Tunable Au Nanorods and Optical Properties. ACS Appl. Mater. Interf. 2020, 12, 45015–45022. [Google Scholar] [CrossRef] [PubMed]
- Sreekanth, K.V.; Alapan, Y.; ElKabbash, M.; Ilker, E.; Hinczewski, M.; Gurkan, U.A.; Luca, A.D.; Strangi, G. Extreme sensitivity biosensing platform based on hyperbolic metamaterials. Nat. Mater. 2016, 15, 621. [Google Scholar] [CrossRef] [PubMed]
- Chen, X.; Zhang, C.; Yang, F.; Liang, G.; Li, Q.; Guo, L.J. Plasmonic Lithography Utilizing Epsilon Near Zero Hyperbolic Metamaterial. ACS Nano 2017, 11, 9863. [Google Scholar] [CrossRef]
- Avrutsky, I.; Salakhutdinov, I.; Elser, J.; Podolskiy, V. Highly confined optical modes in nanoscale metal-dielectric multilayers. Phys. Rev. B 2007, 75, 241402. [Google Scholar] [CrossRef]
- Díaz-Valencia, B.F. Extraordinary transverse magneto-optical Kerr effect through excitation of bulk plasmon polariton modes in type II magneto-optical hyperbolic metamaterials. Opt. Lett. 2021, 46, 4863. [Google Scholar] [CrossRef]
- Wei, D.; Harris, C.; Law, S. Volume plasmon polaritons in semiconductor hyperbolic metamaterials. Opt. Mater. Express 2017, 7, 2672–2681. [Google Scholar] [CrossRef]
- Bi, L.; Hu, J.; Jiang, P.; Kim, H.S.; Kim, D.H.; Onbasli, M.C.; Dionne, G.F.; Ross, C.A. Magneto-Optical Thin Films for On-Chip Monolithic Integration of Non-Reciprocal Photonic Devices. Materials 2013, 6, 5094–5117. [Google Scholar] [CrossRef]
- Onbasli, M.C.; Goto, T.; Sun, X.; Huynh, N.; Ross, C.A. Integration of bulk-quality thin film magneto-optical cerium-doped yttrium iron garnet on silicon nitride photonic substrates. Opt. Exp. 2014, 22, 25183–25192. [Google Scholar] [CrossRef]
- Onbasli, M.C.; Beran, L.; Zahradník, M.; Kučera, M.; Antoš, R.; Mistrík, J.; Dionne, G.F.; Veis, M.; Ross, C.A. Optical and magneto-optical behavior of Cerium Yttrium Iron Garnet thin films at wavelengths of 200–1770 nm. Sci. Rep. 2016, 6, 23640. [Google Scholar] [CrossRef] [PubMed]
- Sreekanth, K.V.; Luca, A.D.; Strangi, G. Experimental demonstration of surface and bulk plasmon polaritons in hypergratings. Sci. Rep. 2013, 3, 3291. [Google Scholar] [CrossRef] [PubMed]
- Sreekanth, K.V.; Luca, A.D.; Strangi, G. Excitation of volume plasmon polaritons in metal-dielectric metamaterials using 1D and 2D diffraction gratings. J. Opt. 2014, 16, 105103. [Google Scholar] [CrossRef]
- Johnson, P.B.; Christy, R.W. Optical Constants of the Noble Metals. Phys. Rev. B 1972, 6, 4370. [Google Scholar] [CrossRef]
- Malitson, I.H. Interspecimen Comparison of the Refractive Index of Fused Silica. J. Opt. Soc. Am. 1965, 55, 1205–1209. [Google Scholar] [CrossRef]
- Višňovský, Š. Optics in Magnetic Multilayers and Nanostructures; Taylor & Francis Group: London, UK, 2006. [Google Scholar]






Publisher’s Note: MDPI stays neutral with regard to jurisdictional claims in published maps and institutional affiliations. |
© 2022 by the authors. Licensee MDPI, Basel, Switzerland. This article is an open access article distributed under the terms and conditions of the Creative Commons Attribution (CC BY) license (https://creativecommons.org/licenses/by/4.0/).
Share and Cite
Díaz-Valencia, B.F.; Moncada-Villa, E.; Gómez, F.R.; Porras-Montenegro, N.; Mejía-Salazar, J.R. Bulk Plasmon Polariton Modes in Hyperbolic Metamaterials for Giant Enhancement of the Transverse Magneto-Optical Kerr Effect. Molecules 2022, 27, 5312. https://doi.org/10.3390/molecules27165312
Díaz-Valencia BF, Moncada-Villa E, Gómez FR, Porras-Montenegro N, Mejía-Salazar JR. Bulk Plasmon Polariton Modes in Hyperbolic Metamaterials for Giant Enhancement of the Transverse Magneto-Optical Kerr Effect. Molecules. 2022; 27(16):5312. https://doi.org/10.3390/molecules27165312
Chicago/Turabian StyleDíaz-Valencia, Brayan Fernando, Edwin Moncada-Villa, Faustino Reyes Gómez, Nelson Porras-Montenegro, and Jorge Ricardo Mejía-Salazar. 2022. "Bulk Plasmon Polariton Modes in Hyperbolic Metamaterials for Giant Enhancement of the Transverse Magneto-Optical Kerr Effect" Molecules 27, no. 16: 5312. https://doi.org/10.3390/molecules27165312
APA StyleDíaz-Valencia, B. F., Moncada-Villa, E., Gómez, F. R., Porras-Montenegro, N., & Mejía-Salazar, J. R. (2022). Bulk Plasmon Polariton Modes in Hyperbolic Metamaterials for Giant Enhancement of the Transverse Magneto-Optical Kerr Effect. Molecules, 27(16), 5312. https://doi.org/10.3390/molecules27165312

