Cycloaddition of 4-Acyl-1H-pyrrole-2,3-diones Fused at [e]-Side and Cyanamides: Divergent Approach to 4H-1,3-Oxazines
Abstract
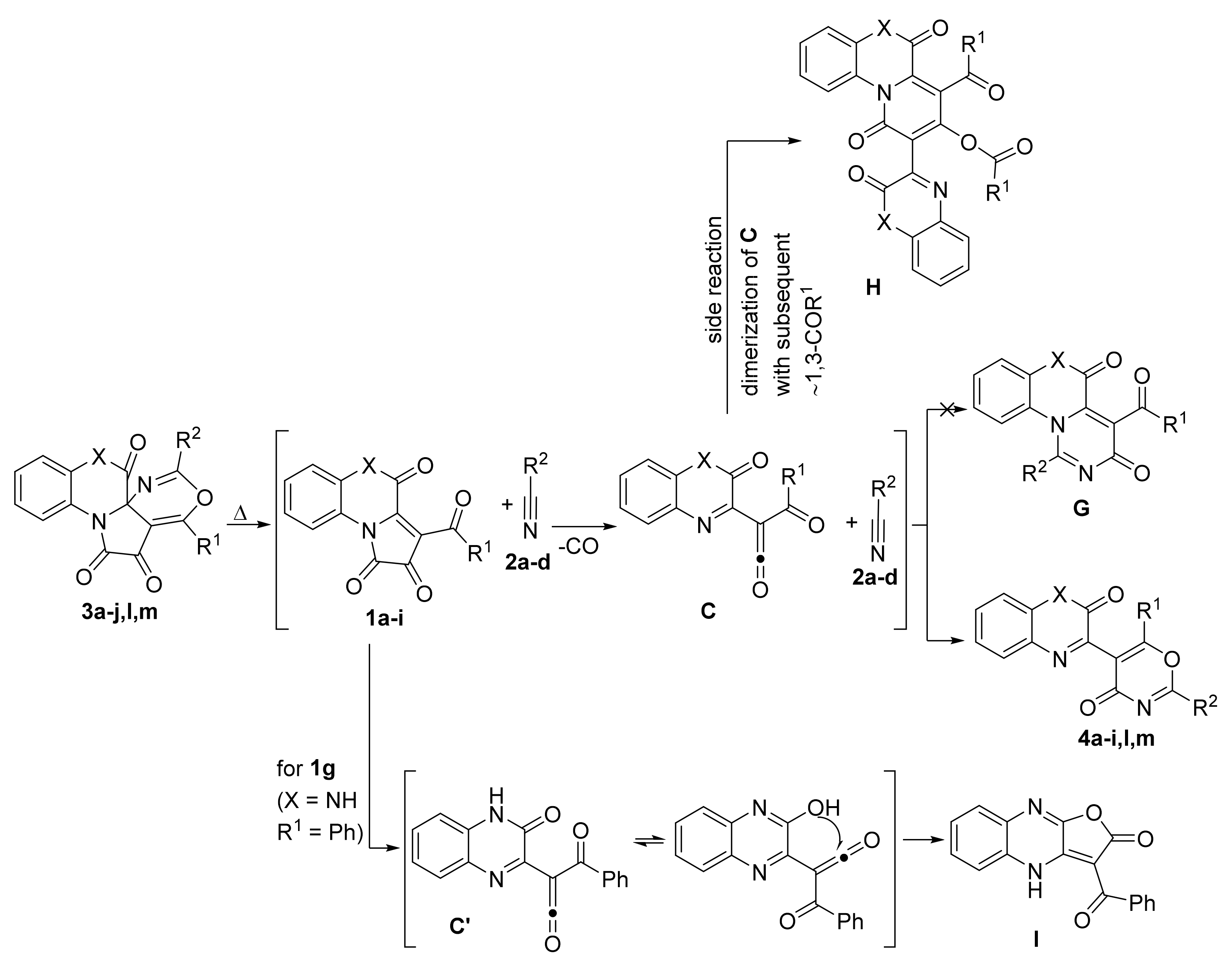
:1. Introduction
2. Results and Discussion
3. Materials and Methods
3.1. General Information
3.2. Synthetic Methods and Analytic Data of Compounds
3.2.1. General Procedure to Compounds 3a–j,l,m
3.2.2. General Procedure to Compounds 4a–i,l,m
3.2.3. Procedure to Compound I
4. Conclusions
Supplementary Materials
Author Contributions
Funding
Institutional Review Board Statement
Informed Consent Statement
Data Availability Statement
Acknowledgments
Conflicts of Interest
Sample Availability
References
- Burke, M.D.; Schreiber, S.L. A Planning Strategy for Diversity-Oriented Synthesis. Angew. Chem. Int. Ed. 2004, 43, 46–58. [Google Scholar] [CrossRef] [PubMed]
- Gerry, C.J.; Schreiber, S.L. Recent achievements and current trajectories of diversity-oriented synthesis. Curr. Opin. Chem. Biol. 2020, 56, 1–9. [Google Scholar] [CrossRef] [PubMed]
- Schreiber, S.L. Target-Oriented and Diversity-Oriented Organic Synthesis in Drug Discovery. Science 2000, 287, 1964–1969. [Google Scholar] [CrossRef]
- Galloway, W.R.; Isidro-Llobet, A.; Spring, D. Diversity-oriented synthesis as a tool for the discovery of novel biologically active small molecules. Nat. Commun. 2010, 1, 80. [Google Scholar] [CrossRef] [PubMed]
- Morrison, R.; Al-Rawi, J.M.A. Synthesis, structure elucidation, DNA-PK, PI3K, anti-platelet and anti-bacteria activity of linear 5, 6, and 10-substituted-2-morpholino-chromen-oxazine-dione and angular 3, 4, 6-substituted-8-morpholino-chromen-oxazine-2,10-dione. J. Enzym. Inhib. Med. Chem. 2016, 31, 86–95. [Google Scholar] [CrossRef]
- Morrison, R.; Al-Rawi, J.M.A.; Jennings, I.G.; Thompson, P.E.; Angove, M.J. Synthesis, structure elucidation, DNA-PK and PI3K and anti-cancer activity of 8- and 6-aryl-substituted-1-3-benzoxazines. Eur. J. Med. Chem. 2016, 110, 326–339. [Google Scholar] [CrossRef]
- Morrison, R.; Zheng, Z.; Jennings, I.G.; Thompson, P.E.; Al-Rawi, J.M.A. Synthesis of linear and angular aryl-morpholino-naphth-oxazines, their DNA-PK, PI3K, PDE3A and antiplatelet activity. Bioorg. Med. Chem. Lett. 2016, 26, 5534–5538. [Google Scholar] [CrossRef]
- Saifuzzaman, M.; Morrison, R.; Zheng, Z.; Orive, S.; Hamilton, J.; Thompson, P.E.; Al-Rawi, J.M.A. Synthesis and biological evaluation of 8-aryl-2-morpholino-7-O-substituted benzo[e][1,3]oxazin-4-ones against DNA-PK, PI3K, PDE3A enzymes and platelet aggregation. Bioorg. Med. Chem. 2017, 25, 5531–5536. [Google Scholar] [CrossRef]
- Suraj, R.; Radhamani, S.; Meehan-Andrews, T.; Bradley, C. Role of a novel benzoxazine derivative in the chemosensitization of colon cancer. Apoptosis 2017, 22, 988–1000. [Google Scholar] [CrossRef]
- Suraj, R.; Al-Rawi, J.; Bradley, C. Inhibition of AKT signalling by benzoxazine derivative LTUR6 through the modulation of downstream kinases. Investig. New Drugs 2019, 37, 779–783. [Google Scholar] [CrossRef]
- Arrowsmith, C.H.; Audia, J.E.; Austin, C.; Baell, J.; Bennett, J.; Blagg, J.; Bountra, C.; Brennan, P.E.; Brown, P.J.; Bunnage, M.E.; et al. The promise and peril of chemical probes. Nat. Chem. Biol. 2015, 11, 536–541. [Google Scholar] [CrossRef] [PubMed]
- Cano, C.; Saravanan, K.; Bailey, C.; Bardos, J.; Curtin, N.J.; Frigerio, M.; Golding, B.T.; Hardcastle, I.R.; Hummersone, M.G.; Menear, K.A.; et al. 1-Substituted (Dibenzo[b,d]thiophen-4-yl)-2-morpholino-4H-chromen-4-ones Endowed with Dual DNA-PK/PI3-K Inhibitory Activity. J. Med. Chem. 2013, 56, 6386–6401. [Google Scholar] [CrossRef] [PubMed]
- Bhuyan, D.; Sarma, R.; Dommaraju, Y.; Prajapati, D. Catalyst- and solvent-free, pot, atom and step economic synthesis of tetrahydroquinazolines by an aza-Diels–Alder reaction strategy. Green Chem. 2014, 16, 1158–1162. [Google Scholar] [CrossRef]
- England, D.C. Fluoroketenes. 11. Synthesis and chemistry of a perfluoroacylketene and related compounds containing a perfluoroisopropyl sulfide group. J. Org. Chem. 1981, 46, 153–157. [Google Scholar] [CrossRef]
- Ried, W.; Nenninger, H. Synthese neuer 1,3-Oxazinone aus Cyanamiden und Chlorocarbonylketenen. Synthesis 1990, 02, 167–170. [Google Scholar] [CrossRef]
- Kappe, C.O.; Wentrup, C.; Kollenz, G. [2+4] Cycloaddition reactions of neat dipivaloylketene. Monatsh. Chem. 1993, 124, 1133–1141. [Google Scholar] [CrossRef]
- Sokolov, V.B.; Aksinenko, A.Y.; Epishina, T.A.; Goreva, T.V. Fluoro-containing 4-ethylidene-2,4-dihydropyrazol-3-ones in the Diels-Alder reaction with cyclopentadiene and cyanamines. Russ. J. Gen. Chem. 2012, 82, 1728–1730. [Google Scholar] [CrossRef]
- Sokolov, V.B.; Aksinenko, A.Y. Cycloaddition and cyclocondensation of methyl 2-(4,4-Dimethyl-2,6-dioxocyclohexylidene)-3,3,3-trifluoropropionate. Russ. J. Gen. Chem. 2014, 84, 1243–1245. [Google Scholar] [CrossRef]
- Lisovenko, N.Y.; Nekrasov, D.D.; Karmanov, V.I. Thermolytic transformations of 5-aryl-4-quinoxalin-2-ylfuran-2,3-diones in the presence of N-cyano compounds. Chem. Heterocycl. Compd. 2012, 48, 1357–1360. [Google Scholar] [CrossRef]
- Stepanova, E.E.; Maslivets, A.N. [4 + 2]-Cycloaddition of vinyl acetate to pyrrolobenzoxazinetriones. Diastereoselective synthesis of angularly fused pyrano [4,3-b]pyrroles. Russ. J. Org. Chem. 2016, 52, 879–882. [Google Scholar] [CrossRef]
- Stepanova, E.E.; Dmitriev, M.V.; Maslivets, A.N. Hetero-Diels–Alder reaction of 3-aroylpyrrolo[2,1-c][1,4]benzoxazines with styrene. Synthesis of pyrano[4′,3′:2,3]pyrrolo[2,1-c][1,4]benzoxazines. Russ. J. Org. Chem. 2017, 53, 1851–1856. [Google Scholar] [CrossRef]
- Khramtsova, E.E.; Dmitriev, M.V.; Bormotov, N.I.; Serova, O.A.; Shishkina, L.N.; Maslivets, A.N. Alkaloid-like annulated pyrano[4,3-b]pyrroles: Antiviral activity and hydrolysis. Chem. Heterocycl. Compd. 2021, 57, 483–489. [Google Scholar] [CrossRef]
- Khramtsova, E.E.; Lystsova, E.A.; Dmitriev, M.V.; Maslivets, A.N.; Jasiński, R. Reaction of Aroylpyrrolobenzothiazinetriones with Electron-Rich Dienophiles. ChemistrySelect 2021, 6, 6295–6301. [Google Scholar] [CrossRef]
- Lystsova, E.A.; Khramtsova, E.E.; Maslivets, A.N. Acyl(imidoyl)ketenes: Reactive Bidentate Oxa/Aza-Dienes for Organic Synthesis. Symmetry 2021, 13, 1509. [Google Scholar] [CrossRef]
- Kasatkina, S.; Stepanova, E.; Dmitriev, M.; Mokrushin, I.; Maslivets, A. Divergent synthesis of (quinoxalin-2-yl)-1,3-oxazines and pyrimido[1,6-a]quinoxalines via the cycloaddition reaction of acyl(quinoxalinyl)ketenes. Tetrahedron Lett. 2019, 60, 151088. [Google Scholar] [CrossRef]
- Lane, T.K.; Nguyen, M.H.; D’Souza, B.R.; Spahn, N.A.; Louie, J. The Iron-Catalyzed Construction of 2-Aminopyrimidines from Alkynenitriles and Cyanamides. Chem. Commun. 2013, 49, 7735–7737. [Google Scholar] [CrossRef]
- Spahn, N.A.; Nguyen, M.H.; Renner, J.; Lane, T.K.; Louie, J. Regioselective Iron-Catalyzed [2 + 2 + 2] Cycloaddition Reaction Forming 4,6-Disubstituted 2-Aminopyridines from Terminal Alkynes and Cyanamides. J. Org. Chem. 2017, 82, 234–242. [Google Scholar] [CrossRef]
- Dubovtsev, A.Y.; Dar’in, D.V.; Kukushkin, V.Y. Three-Component [2 + 2 + 1] Gold(I)-Catalyzed Oxidative Generation of Fully Substituted 1,3-Oxazoles Involving Internal Alkynes. Adv. Synth. Catal. 2019, 361, 2926–2935. [Google Scholar] [CrossRef]
- Dubovtsev, A.Y.; Shcherbakov, N.V.; Dar’in, D.V.; Kukushkin, V.Y. The Dichotomy of Gold-Catalyzed Interplay between Cyanamides and Ynamides: Controllable Switch from [2 + 2 + 2] to [4 + 2] Cycloaddition. Adv. Synth. Catal. 2020, 362, 2672–2682. [Google Scholar] [CrossRef]
- Zimin, D.P.; Dar’in, D.V.; Kukushkin, V.Y.; Dubovtsev, A.Y. Oxygen Atom Transfer as Key to Reverse Regioselectivity in the Gold(I)-Catalyzed Generation of Aminooxazoles from Ynamides. J. Org. Chem. 2021, 86, 1748–1757. [Google Scholar] [CrossRef]
- Shcherbakov, N.V.; Chikunova, E.I.; Dar’in, D.; Kukushkin, V.Y.; Dubovtsev, A.Y. Redox-Neutral and Atom-Economic Route to β-Carbolines via Gold-Catalyzed [4 + 2] Cycloaddition of Indolylynamides and Cyanamides. J. Org. Chem. 2021, 86, 17804–17815. [Google Scholar] [CrossRef] [PubMed]
- Kasatkina, S.O.; Stepanova, E.E.; Dmitriev, M.V.; Mokrushin, I.G.; Maslivets, A.N. Synthesis of pyrimido[1,6-a]quinoxalines via intermolecular trapping of thermally generated acyl(quinoxalin-2-yl)ketenes by Schiff bases. Beilstein J. Org. Chem. 2018, 14, 1734–1742. [Google Scholar] [CrossRef] [PubMed]
- Mashevskaya, I.V.; Mokrushin, I.G.; Bozdyreva, K.S.; Maslivets, A.N. Five-membered 2,3-dioxoheterocycles: LXXIII. Synthesis and thermolysis of 3-acylpyrrolo[1,2-a]quinoxaline-1,2,4(5H)-triones. Russ. J. Org. Chem. 2011, 47, 253–257. [Google Scholar] [CrossRef]
- CrysAlisPro, Version 1.171.37.33 (release 27-03-2014 CrysAlis171.NET). Agilent Technologies: Santa Clara, CA, USA, 2014.
- Dolomanov, O.V.; Bourhis, L.J.; Gildea, R.J.; Howard, J.A.K.; Puschmann, H. OLEX2: A complete structure solution, refinement and analysis program. J. Appl. Cryst. 2009, 42, 339–341. [Google Scholar] [CrossRef]
- Sheldrick, G.M. A short history of SHELX. Acta Crystallogr. Sect. A Found. Crystallogr. 2008, 64, 112. [Google Scholar] [CrossRef]
- Sheldrick, G.M. Crystal structure refinement with SHELXL. Acta Crystallogr. Sect. C Struct. Chem. 2015, 71, 3–8. [Google Scholar] [CrossRef]
- Bozdyreva, K.S.; Smirnova, I.V.; Maslivets, A.N. Five-Membered 2,3-Dioxo Heterocycles: L. Synthesis and Thermolysis of 3-Aroyl- and 3-Hetaroyl-5-phenyl-1,2,4,5-tetrahydropyrrolo[1,2-a]quinoxalin-1,2,4-triones. Russ. J. Org. Chem. 2005, 41, 1081–1088. [Google Scholar] [CrossRef]
- Maslivets, A.N.; Mashevskaya, I.V.; Krasnykh, O.P.; Shurov, S.N.; Andreichikov, Y.S. Five-membered 2,3-dioxoheterocycles. XXXIII. Synthesis of 3-aroyl-1,2-dihydro-4H-pyrrolo[5,1-c][1,4]benzoxazine-1,2,4-triones and their reaction with water and alcohols. Zhurn. Org. Khim. 1992, 28, 2545–2553. [Google Scholar]



![]() | ||||||
|---|---|---|---|---|---|---|
| Entry | FPD 1 | Cyanamide 2 | X | R1 | R2 | Yield 1 of 3, % |
| 3a | 1a | 2a | NPh | Ph | NEt2 | 85 |
| 3b | 1a | 2b | NPh | Ph | ![]() | 89 |
| 3c | 1a | 2c | NPh | Ph | NMe2 | 78 |
| 3d | 1a | 2d | NPh | Ph | ![]() | 83 |
| 3e | 1b | 2b | NPh | 4-ClC6H4 | ![]() | 88 |
| 3f | 1c | 2b | NPh | 4-MeOC6H4 | ![]() | 91 |
| 3g | 1d | 2c | NPh | 4-NO2C6H4 | NMe2 | 81 |
| 3h | 1e | 2b | NMe | 4-MeC6H4 | ![]() | 86 |
| 3i | 1f | 2b | NPh | t-Bu | ![]() | 79 |
| 3j | 1g | 2b | NH | Ph | ![]() | 92 |
| 3k | 1h | 2b | NPh | MeO | ![]() | 02 |
| 3l | 1i | 2b | O | Ph | ![]() | 81 |
| 3m | 1i | 2c | O | Ph | NMe2 | 74 |
| 3n | 1d | 2b | NPh | 4-NO2C6H4 | ![]() | Traces 2 |
| 3o | 1a | 2e | NPh | Ph | NHC6H4Cl-4 | Traces 2 |
| 3p | 1a | 2f | NPh | Ph | NHC6H4OMe-4 | Traces 2 |
| 3q | 1l | 2e | O | Ph | NHC6H4Cl-4 | Traces 2 |
![]() | |||||||
|---|---|---|---|---|---|---|---|
| Entry | Precursor 3 | Cyanamide 2 | X | R1 | R2 | Temperature 1, °C | Yield 2 of 4, % |
| 4a | 3a | 2a | NPh | Ph | NEt2 | 215–220 | 71 |
| 4b | 3b | 2b | NPh | Ph | ![]() | 235–240 | 85 |
| 4c | 3c | 2c | NPh | Ph | NMe2 | 230–235 | 78 |
| 4d | 3d | 2d | NPh | Ph | ![]() | 230–235 | 77 |
| 4e | 3e | 2b | NPh | C6H4Cl-4 | ![]() | 240–245 | 86 |
| 4f | 3f | 2b | NPh | C6H4OMe-4 | ![]() | 250–255 | 91 |
| 4g | 3g | 2c | NPh | C6H4NO2-4 | NMe2 | 220–225 | 79 |
| 4h | 3h | 2b | NMe | C6H4Me-4 | ![]() | 220–225 | 82 |
| 4i | 3i | 2b | NPh | Bu-t | ![]() | 190–195 | 84 |
| 4j | 3j | 2b | NH | Ph | ![]() | 210–215 | 0 3 |
| 4l | 3l | 2b | O | Ph | ![]() | 230–235 | 65 |
| 4m | 3m | 2c | O | Ph | NMe2 | 240–245 | 68 |
Publisher’s Note: MDPI stays neutral with regard to jurisdictional claims in published maps and institutional affiliations. |
© 2022 by the authors. Licensee MDPI, Basel, Switzerland. This article is an open access article distributed under the terms and conditions of the Creative Commons Attribution (CC BY) license (https://creativecommons.org/licenses/by/4.0/).
Share and Cite
Khramtsova, E.E.; Krainov, A.D.; Dmitriev, M.V.; Maslivets, A.N. Cycloaddition of 4-Acyl-1H-pyrrole-2,3-diones Fused at [e]-Side and Cyanamides: Divergent Approach to 4H-1,3-Oxazines. Molecules 2022, 27, 5257. https://doi.org/10.3390/molecules27165257
Khramtsova EE, Krainov AD, Dmitriev MV, Maslivets AN. Cycloaddition of 4-Acyl-1H-pyrrole-2,3-diones Fused at [e]-Side and Cyanamides: Divergent Approach to 4H-1,3-Oxazines. Molecules. 2022; 27(16):5257. https://doi.org/10.3390/molecules27165257
Chicago/Turabian StyleKhramtsova, Ekaterina E., Aleksandr D. Krainov, Maksim V. Dmitriev, and Andrey N. Maslivets. 2022. "Cycloaddition of 4-Acyl-1H-pyrrole-2,3-diones Fused at [e]-Side and Cyanamides: Divergent Approach to 4H-1,3-Oxazines" Molecules 27, no. 16: 5257. https://doi.org/10.3390/molecules27165257
APA StyleKhramtsova, E. E., Krainov, A. D., Dmitriev, M. V., & Maslivets, A. N. (2022). Cycloaddition of 4-Acyl-1H-pyrrole-2,3-diones Fused at [e]-Side and Cyanamides: Divergent Approach to 4H-1,3-Oxazines. Molecules, 27(16), 5257. https://doi.org/10.3390/molecules27165257





