Role of Lipids in Food Flavor Generation
Abstract
:1. Introduction
2. Physiology of Flavor
3. Role of Lipids Oxidation in Flavor or Off-Flavor Development
3.1. Formation of Oxidation Products via Autoxidation
3.2. Formation of Oxidation Products via Photooxidation
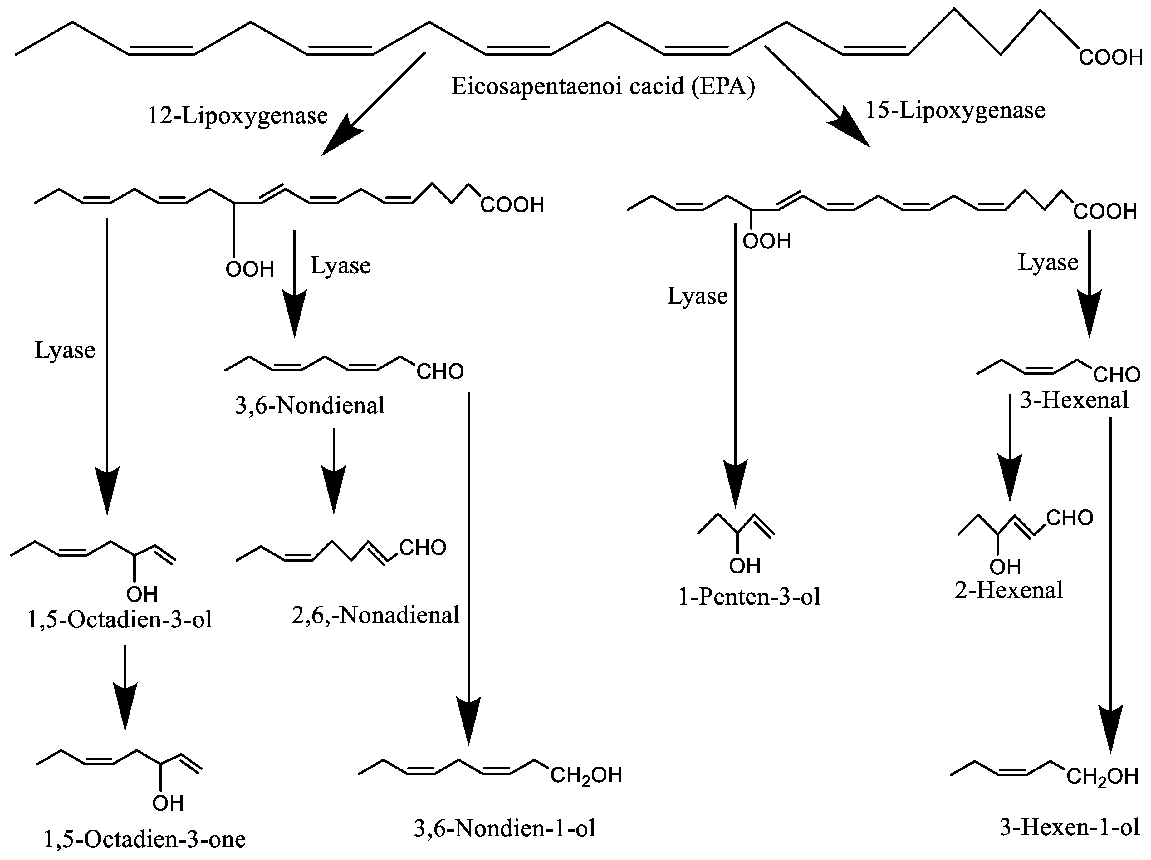
3.3. Formation of Oxidation Products via Enzymatic Oxidation
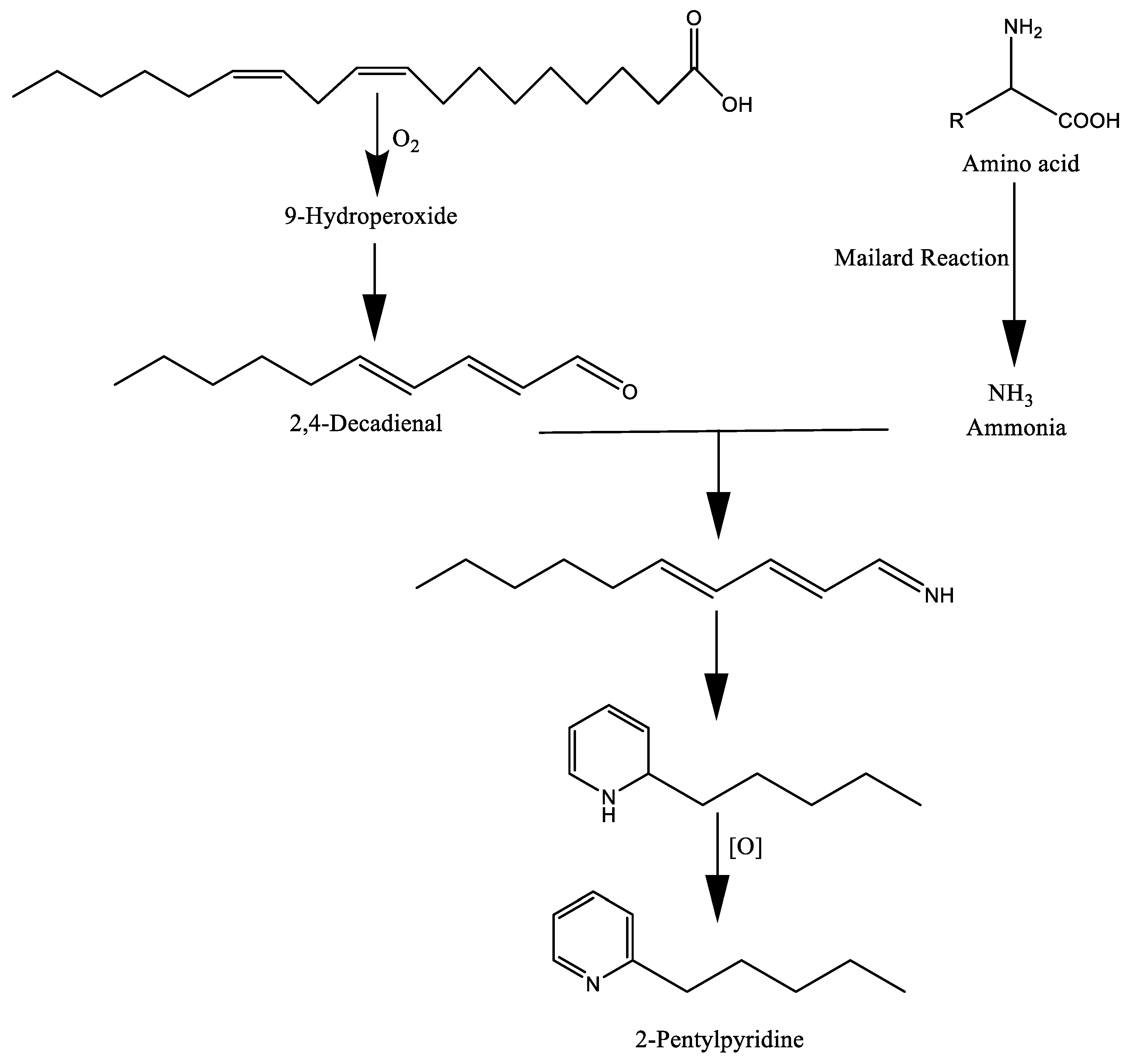
4. Flavor Chemistry: Lipid Participation in Maillard Interaction
5. Effect of Processing on the Flavor Compounds of Meat and Eggs
Factors Influencing the Flavor Formation of Meat
6. Effect of Processing on the Flavor Compounds of Fish
7. Effect of Processing on the Flavor Compounds of Edible Oils
8. Effect of Processing on the Flavor Compounds of Fruits and Vegetables
9. Volatile Measurements
10. Conclusions
Author Contributions
Funding
Informed Consent Statement
Data Availability Statement
Conflicts of Interest
References
- Forss, D.A. Odor and flavor compounds from lipids. Prog. Chem. Fats Other Lipids. 1972, 13, 177–258. [Google Scholar] [CrossRef]
- Menis-Henrique, M.E.C.; Janzantti, N.S.; Andriot, I.; Sémon, E.; Berdeaux, O.; Schlich, P.; Conti-Silva, A.C. Cheese-flavored expanded snacks with low lipid content: Oil effects on the in vitro release of butyric acid and on the duration of the dominant sensations of the products. LWT- Food Sci. Technol. 2019, 105, 30–36. [Google Scholar] [CrossRef] [Green Version]
- Rota, V.; Schieberle, P. Changes in key odorants of sheep meat induced by cooking. In Food Lipids Chemistry, Flavor, and Texture; Shahidi, F., Weenen, H., Eds.; American Chemical Society: Washington, DC, USA, 2005; pp. 73–86. [Google Scholar]
- Shahidi, F. Flavour of muscle foods- an overview. In Flavor of Meat, Meat Products and Seafoods, 2nd ed.; Shahidi, F., Ed.; Blackle Academic & Professional: New York, NY, USA, 1998; pp. 1–4. [Google Scholar]
- Shahidi, F.; Hossain, A. Preservation of aquatic food using edible films and coatings containing essential oils: A review. Crit. Rev. Food Sci. Nutr. 2020, 62, 1–40. [Google Scholar] [CrossRef] [PubMed]
- Shahidi, F.; Abad, A. Lipid-derived flavours and off-flavours in food. Encycl. Food Chem. 2019, 2, 182–192. [Google Scholar]
- Shahidi, F. Indicators for evaluation of lipid oxidation and off-flavor development in food. In Food Flavors: Formation, Analysis and Packaging Influences; Contis, E.T., Ho, C.-T., Mussinan, C.J., Parliment, T.H., Shahidi, F., Spanier, A.M., Eds.; Blackie Academic & Professional, Elsevier: Limnos, Greece, 1998; pp. 55–68. [Google Scholar]
- Shahidi, F.; Hossain, A. Bioactives in spices, and spice oleoresins: Phytochemicals and their beneficial effects in food preservation and health promotion. J. Food Bioact. 2018, 3, 8–75. [Google Scholar] [CrossRef] [Green Version]
- Shahidi, F.; Oh, W.Y. Lipid-derived flavor and off-flavor of traditional and functional foods: An overview. J. Food Bioact. 2020, 10, 20–31. [Google Scholar] [CrossRef]
- Kerth, C.R.; Miller, R.K. Beef flavor: A review from chemistry to consumer. J. Sci. Food Agric. 2015, 95, 2783–2798. [Google Scholar] [CrossRef]
- Shahidi, F.; Samaranayaka, A.G.P.; Pegg, R.B. Cooking of meat, Maillard reaction and browning. In Encyclopedia of Meat Sciences, 2nd ed.; Dikeman, M., Devine, C., Eds.; Elsevier: Amsterdam, The Netherlands, 2014; pp. 391–403. [Google Scholar]
- Shahidi, F.; Zhong, Y. Measurement of antioxidant activity. J. Funct. Foods 2015, 18, 757–781. [Google Scholar] [CrossRef]
- Urbach, G.; Gordon, M.H. Flavours derived from fats. In Fats in Food Products; Moran, D.P.J., Rajah, K.K., Eds.; Springer: New York, NY, USA, 1994; pp. 347–405. [Google Scholar]
- Hossain, A.; Dave, D.; Shahidi, F. Northern sea cucumber (Cucumaria frondosa): A potential candidate for functional food, nutraceutical, and pharmaceutical sector. Mar. Drugs 2020, 18, 274. [Google Scholar] [CrossRef]
- Domínguez, R.; Pateiro, M.; Gagaoua, M.; Barba, F.J.; Zhang, W.; Lorenzo, J.M. A comprehensive review on lipid oxidation in meat and meat products. Antioxidants 2019, 8, 429. [Google Scholar] [CrossRef] [Green Version]
- Shahidi, F. Lipids in flavor formation. In Flavor Chemistry: Industrial and Academic Research; Risch, S.J., Ho, C.-T., Eds.; American Chemical Society: Oxford, UK, 2000; pp. 24–43. [Google Scholar]
- Shahidi, F.; Zhong, Y. Lipid oxidation and improving the oxidative stability. Chem. Soc. Rev. 2010, 39, 4067–4079. [Google Scholar] [CrossRef]
- Ke, Z.; Bai, Y.; Bai, Y.; Chu, Y.; Gu, S.; Xiang, X.; Ding, Y.; Zhou, X. Cold plasma treated air improves the characteristic flavor of Dry-cured black carp through facilitating lipid oxidation. Food Chem. 2022, 377, 1–10. [Google Scholar] [CrossRef] [PubMed]
- Min, D.B.; Boff, J.M. Lipid Oxidation of Edible Oil; Marcel Dekker: New York, NY, USA, 2002; pp. 335–364. [Google Scholar]
- Choe, E.; Min, D.B. Mechanisms and factors for edible oil oxidation. Compr. Rev. Food Sci. Food Saf. 2006, 5, 169–186. [Google Scholar] [CrossRef]
- Ho, C.-T.; Chen, Q. Lipids in food flavors. ACS Symposium Series; American Chemical Society: Washington, DC, USA, 1994; pp. 2–14. [Google Scholar]
- Ghnimi, S.; Budilarto, E.; Kamal-Eldin, A. The new paradigm for lipid oxidation and insights to microencapsulation of omega-3 fatty acids. Compr. Rev. Food Sci. Food Saf. 2017, 16, 1206–1218. [Google Scholar] [CrossRef] [PubMed] [Green Version]
- Suzuki, T. Flavor and lipid deterioration in buckwheat flour related to lipoxygenase pathway enzymes. In Molecular Breeding and Nutritional Aspects of Buckwheat; Zhou, M., Woo, S.-H., Wieslander, G., Eds.; Academic Press: Amsterdam, The Netherlands, 2016; pp. 335–343. [Google Scholar]
- Orthoefer, T.F.; List, R.G. Dynamics of frying. In Deep Frying- Chemistry, Nutrition, and Practical Applications, 2nd ed.; Erickson, M.D., Ed.; Elsevier Inc.: New York, NY, USA, 2007; pp. 253–275. [Google Scholar]
- Hossain, A.; Dave, D.; Shahidi, F. Effect of high-pressure processing (HPP) on phenolics of North Atlantic sea cucumber (Cucumaria frondosa). J. Agric. Food Chem. 2022, 70, 3489–3501. [Google Scholar] [CrossRef]
- Henderson, S.K.; Nawar, W.W. Thermal interaction of linoleic acid and its esters with valine. J. Am. Oil Chem. Soc. 1981, 58, 632–635. [Google Scholar] [CrossRef]
- Kerler, J.; Winkel, C.; Davidek, D.; Blank, I. Basic chemistry and process conditions for reaction flavours with particular focus on Maillard-type reactions. In Food Flavour Technology, 2nd ed.; Taylor, A.J., Linforth, R.S.T., Eds.; Wiley-Blackwell: Oxford, UK, 2010; pp. 51–88. [Google Scholar]
- Rizzi, G.P. Formation of strecker aldehydes from polyphenol-derived quinones and α-amino acids in a nonenzymic model system. J. Agric. Food Chem. 2006, 54, 1893–1897. [Google Scholar] [CrossRef]
- Whitfiel, B.F. Volatiles from interactions of Maillard reactions and lipids. Crit. Rev. Food Sci. Nutr. 1992, 31, 1–58. [Google Scholar] [CrossRef]
- Troise, A.D.; Fogliano, V.; Vitaglione, P.; Berton-Carabin, C.C. Interrelated routes between the maillard reaction and lipid oxidation in emulsion systems. J. Agric. Food Chem. 2020, 68, 12107–12115. [Google Scholar] [CrossRef]
- Farmer, L.J.; Mottram, D.S. Lipid-Maillard interactions in the formation of volatile aroma compounds. In Trends in Flavour Research; Maarse, H., vander Heij, D.G., Eds.; Elsevier: Oxford, UK, 1994; pp. 313–326. [Google Scholar]
- Shi, H.; Ho, C.T. The flavour of poultry meat. In Flavor of Meat and Meat Products; Shahidi, F., Ed.; Springer: New York, NY, USA, 1994; pp. 52–70. [Google Scholar]
- Qi, J.; Xu, Y.; Zhang, W.; Xie, X.; Xiong, G.; Xu, X. Short-term frozen storage of raw chicken meat improves its flavor traits upon stewing. LWT- Food Sci. Technol. 2021, 142, 1–10. [Google Scholar] [CrossRef]
- Al-Dalali, S.; Li, C.; Xu, B. Effect of frozen storage on the lipid oxidation, protein oxidation, and flavor profile of marinated raw beef meat. Food Chem. 2022, 376, 1–12. [Google Scholar] [CrossRef]
- Sun, Y.; Zhang, Y.; Song, H. Variation of aroma components during frozen storage of cooked beef balls by SPME and SAFE coupled with GC-O-MS. J. Food Process. Preserv. 2021, 45, 1–16. [Google Scholar] [CrossRef]
- Chen, Q.; Kong, B.; Han, Q.; Xia, X.; Xu, L. The role of bacterial fermentation in lipolysis and lipid oxidation in Harbin dry sausages and its flavour development. LWT - Food Sci. Technol. 2017, 77, 389–396. [Google Scholar] [CrossRef]
- Leroy, F.; Vasilopoulos, C.; Van Hemelryck, S.; Falony, G.; De Vuyst, L. Volatile analysis of spoiled, artisan-type, modified-atmosphere-packaged cooked ham stored under different temperatures. Food Microbiol. 2009, 26, 94–102. [Google Scholar] [CrossRef] [PubMed]
- García-González, D.L.; Tena, N.; Aparicio-Ruiz, R.; Morales, M.T. Relationship between sensory attributes and volatile compounds qualifying dry-cured hams. Meat Sci. 2008, 80, 315–325. [Google Scholar] [CrossRef]
- Luna, G.; Aparicio, R.; García-González, D.L. A tentative characterization of white dry-cured hams from Teruel (Spain) by SPME-GC. Food Chem. 2006, 97, 621–630. [Google Scholar] [CrossRef]
- Xiang, X.L.; Liu, Y.Y.; Liu, Y.; Wang, X.Y.; Jin, Y.G. Changes in structure and flavor of egg yolk gel induced by lipid migration under heating. Food Hydrocoll. 2020, 98, 1–9. [Google Scholar] [CrossRef]
- Durnford, E.; Shahidi, F. Flavour of fish meat. In Flavor of Meat, Meat Products and Seafoods, 2nd ed.; Shahidi, F., Ed.; Blackie Academic & Professional: London, UK, 1998; pp. 131–158. [Google Scholar]
- Lee, J.; Boo, C.; Hong, S.-J.; Shin, E.-C.; Lee, Y.; Chang, Y.H. Chemosensory device assisted-estimation of the quality of edible oils with repetitive frying. Foods 2021, 10, 972. [Google Scholar] [CrossRef]
- Xiao, L.; Li, C.; Chai, D.; Chen, Y.; Wang, Z.; Xu, X.; Wang, Y.; Geng, Y.; Dong, L. Volatile compound profiling from soybean oil in the heating process. Food Sci. Nutr. 2020, 8, 1139–1149. [Google Scholar] [CrossRef]
- Shan, N.; Gan, Z.; Nie, J.; Liu, H.; Wang, Z.; Sui, X. Comprehensive characterization of fruit volatiles and nutritional quality of three cucumber (Cucumis sativus L.) genotypes from different geographic groups after bagging treatment. Foods 2020, 9, 294. [Google Scholar] [CrossRef] [Green Version]
- Zhang, L.; Dong, X.; Feng, X.; Ibrahim, S.A.; Huang, W.; Liu, Y. Effects of Drying Process on the Volatile and Non-Volatile Flavor Compounds of Lentinula edodes. Foods 2021, 10, 2836. [Google Scholar] [CrossRef] [PubMed]
- Paolo, D.; Bianchi, G.; Morelli, C.F.; Speranza, G.; Campanelli, G.; Kidmose, U.; Lo Scalzo, R. Impact of drying techniques, seasonal variation and organic growing on flavor compounds profiles in two Italian tomato varieties. Food Chem. 2019, 298, 1–14. [Google Scholar] [CrossRef] [PubMed] [Green Version]
- Kosowska, M.; Majcher, M.; Fortuna, T. Volatile compounds in meat and meat products. Food Sci. Technol. (Campinas) 2017, 37, 1–7. [Google Scholar] [CrossRef] [Green Version]
- Mottram, D. Meat flavour. In Understanding Natural Flavors; Piggott, J.R., Paterson, A., Eds.; Springer: New York, NY, USA, 1994; pp. 140–163. [Google Scholar]
- Dunkel, A.; Steinhaus, M.; Kotthoff, M.; Nowak, B.; Krautwurst, D.; Schieberle, P.; Hofmann, T. Nature’s chemical signatures in human olfaction: A foodborne perspective for future biotechnology. Angew. Chemie - Int. Ed. 2014, 53, 7124–7143. [Google Scholar] [CrossRef] [PubMed]
- Farmer, L.J.; Mottram, D.S. Interaction of lipid in the Maillard reaction between cysteine and ribose: The effect of a triglyceride and three phosphlipids on the volatile products. J. Sci. Food Agric. 1990, 53, 505–525. [Google Scholar] [CrossRef]
- Shahidi, F. Lipid-derived flavors in meat products. In Meat Processing- Improving Quality; Kerry, J., Kerry, J., Ledward, D., Eds.; Woodhead Publishing: Cambridge, UK, 2002; pp. 105–121. [Google Scholar]
- Zhang, R.; Yoo, M.J.Y.; Ross, A.B.; Farouk, M.M. Mechanisms and strategies to tailor dry-aged meat flavour. Trends Food Sci. Technol. 2022, 119, 400–411. [Google Scholar] [CrossRef]
- Belitz, H.D.; Grosch, W.; Schieberle, P. Food Chemistry, 4th ed.; Springer-Verlag: Berlin, Germany, 2009; pp. 563–614. [Google Scholar]
- Arshad, M.S.; Sohaib, M.; Ahmad, R.S.; Nadeem, M.T.; Imran, A.; Arshad, M.U.; Kwon, J.H.; Amjad, Z. Ruminant meat flavor influenced by different factors with special reference to fatty acids. Lipids Health Dis. 2018, 17, 1–13. [Google Scholar] [CrossRef] [Green Version]
- Khan, M.I.; Jo, C.; Tariq, M.R. Meat flavor precursors and factors influencing flavor precursors-A systematic review. Meat Sci. 2015, 110, 278–284. [Google Scholar] [CrossRef]
- Pathera, A.K.; Riar, C.S.; Yadav, S.; Singh, P.K. Effect of cooking methods on lipid oxidation, microbiological and sensory quality of chicken nuggets under refrigerated storage. Cogent Food Agric. 2016, 2, 1–8. [Google Scholar] [CrossRef]
- Rodriguez-Estrada, M.T.; Penazzi, G.; Caboni, M.F.; Bertacco, G.; Lercker, G. Effect of different cooking methods on some lipid and protein components of hamburgers. Meat Sci. 1997, 45, 365–375. [Google Scholar] [CrossRef]
- Karahadian, C.; Lindsay, R.C. Role of oxidative processes in the formation and stability of fish flavors. In Flavor Chemistry- Trends and Development; Teranishi, R., Buttery, R.G., Shahidi, F., Eds.; American Chemical Society: Washington, DC, USA, 1989; pp. 60–75. [Google Scholar]
- Shahidi, F.; Cadwallader, R.K. Flavor and lipid chemistry of seafoods: An overview. In Flavor and Lipid Chemistry of Seafoods; Shahidi, F., Cadwallader, R.K., Eds.; American Chemical Society: Washington, DC, USA, 1997; pp. 1–8. [Google Scholar]
- Fu, X.; Lin, Q.; Xu, S.; Wang, Z. Effect of drying methods and antioxidants on the flavor and lipid oxidation of silver carp slices. LWT-Food Sci. Technol. 2015, 61, 251–257. [Google Scholar] [CrossRef]
- Paul, P.C.; Reza, M.S.; Islam, M.N.; Kamal, M.A. review on dried fish processing and marketing in the coastal region of Bangladesh. Res. Agric. Livest. Fish. 2018, 5, 381–390. [Google Scholar] [CrossRef]
- Anderson, D.; Hossain, A.; Shahidi, F. A primer on oils processing technology. In Bailey’s Industrial Oil and Fat Products, 7th ed.; Shahidi, F., Ed.; John Wiley & Sons Ltd.: New York, NY, USA, 2020; pp. 1–47. [Google Scholar]
- Shahidi, F.; Hamam, F.; Khan, H.M. Importance of non-triacylglycerols to flavor quality of edible oils. In Food Lipids- Chemistry, Flavor, and Texture; Shahidi, F., Weenen, H., Eds.; American Chemical Society: Washington, DC, USA, 2005; pp. 3–18. [Google Scholar]
- Wang, X.; Ho, C.-T.; Shahidi, F. Flavor components of fats and oils. In Bailey’s Industrial Oil and Fat Products, 7th ed.; Shahidi, F., Ed.; John Wiley & Sons Ltd.: New York, NY, USA, 2020; pp. 1–25. [Google Scholar]
- Hill, E.S.; Krishnamurthy, R.G.; Hossain, A.; Shahidi, F. Cooking oils, salad oils, and dressings. In Bailey’s Industrial Oil and Fat Products, 7th ed.; Shahidi, F., Ed.; John Wiley & Sons Ltd.: New York, NY, USA, 2020; pp. 1–33. [Google Scholar]
- Tian, P.; Zhan, P.; Tian, H.; Wang, P.; Lu, C.; Zhao, Y. Effects of different vegetable oils on the aroma characteristics of deep-fried shallot flavoring evaluated by HS-SPME/GC-MS coupled with PLSR. J. Food Process. Preserv. 2020, 44, 1–11. [Google Scholar] [CrossRef]
- Distefano, M.; Mauro, R.P.; Page, D.; Giuffrida, F.; Bertin, N.; Leonardi, C. Aroma volatiles in tomato fruits: The role of genetic, preharvest and postharvest factors. Agronomy 2022, 12, 376. [Google Scholar] [CrossRef]
- Pérez, A.G.; Sanz, C. Formation of fruit flavour. In Fruit and Vegetable Flavour; Brückner, B., Wyllie, S.G., Eds.; Woodhead Publishing Limited and CRC Press LLC: Cambridge, UK, 2008; pp. 41–60. [Google Scholar]
- Ties, P.; Barringer, S. Influence of lipid content and lipoxygenase on flavor volatiles in the tomato peel and flesh. J. Food Sci. 2012, 77, 830–837. [Google Scholar] [CrossRef] [PubMed]
- Lomelí-Martín, A.; María Martínez, L.; Welti-Chanes, J.; Escobedo-Avellaneda, Z. Induced Changes in Aroma Compounds of Foods Treated with High Hydrostatic Pressure: A Review. Foods 2021, 10, 878. [Google Scholar] [CrossRef] [PubMed]
- Oeya, I.; Lilleb, M.; Loeya, A.B.; Hendrickx, M. Effect of high-pressure processing on colour, texture and flavour of fruit- and vegetable-based food products: A review. Trends Food Sci. Technol. 2008, 19, 320–328. [Google Scholar] [CrossRef]
- Amaral, M.S.S.; Nolvachai, Y.; Marriott, J.P. Multidimensional gas chromatography platforms for the analysis of flavours and odorants. In Comprehensive Analytical Chemistry- Characterization of Odorant Patterns by Comprehensive Two-Dimensional Gas Chromatography; Cordero, C.E.I., Ed.; Elsevier: Amsterdam, The Netherlands, 2022; pp. 119–153. [Google Scholar]
- Xu, J.; Liu, K.; Zhang, C. Electronic nose for volatile organic compounds analysis in rice aging. Trends Food Sci. Technol. 2021, 109, 83–93. [Google Scholar] [CrossRef]




| Processing Method | Type of Food | Volatile Compounds | References |
|---|---|---|---|
| Roasting | Chicken | Butanal, pentanal, hexanal, octanal, nonanal, hexadecanal, octadecanal, 2-metbylpyrazine, 2,3-dimetbylpyrazine, pyridine, 2-methylpyridine, N-metbylpyrrole, and 2-methylthiazole | [32] |
| Cooking | Chicken | Hexanal, heptanal, octanal, nonanal, hexadecanal, trans-2-pentenal, trans-2-heptenal, trans-2-octenal, trans-2-decenal, trans-2-undecenaI, trans,cis-2,4-decadienal, and trans,trans-2,4-decadienal | [32] |
| Frozen storage | Chicken | 1-Octene-3-ol, hexanal, 2-ethyl hexyl acetate, linalool, eugenol, diallyl disulfide, anisole, and α-pinene | [33] |
| Cooking | Beef | Pentanal, hexanal, heptanal, nonanal, 12-methyltridecanal, nona-2-trans-enal, decan-2-one, 1-cctene-3-ol, pyrazines, 2-methyl-3-furan, 2-pentyl furan | [1,6] |
| Frozen storage | Beef | Octanal, phenylacetaldehyde, 2-ethyl-1-hexanol, hexanal, 1-heptanol, and isoeugenol | [34] |
| Frozen storage | Meatballs (beef) | 1-Octene-3-ol, hexanal, 2-ethyl hexyl acetate, linalool, eugenol, diallyl disulfide, anisole, and α-pinene | [35] |
| Fermentation | Sausages (pork) | Hexanal, heptanal, decanal, nonanal, trans-cinnamaldehyde, 2-heptanone, 3-hydroxy-2-butanone, linalool, terpinen-4-ol, and ethyl acetate | [36] |
| Modified-atmosphere packaging | Cooked ham | 1,8-Cineole, linalool, L–carvone, cinnamaldehyde menthol, and cinnamaldehyde | [37] |
| Curing | Ham | Benzaldehyde, hexanal, 2-heptanone, limonene, hexanol, octanol, pentanol, 3-methylbutanal, 2-nonanone, butanol, and propanone | [38,39] |
| Boiling | Egg yolk | 3-Hydroxy-cyclohexanone, hexanal, D-limonene, 2-pentyl-furan, phenylacetaldehyde, and 2-ethyl-1-hexanol | [40] |
| Cooking/canning | Tuna, conger, sardine, and pale chub | 2-Methyl-3-furanthiol, l-penten-3-ol, 2-phenylethanol, and dimethyl sulfide | [41] |
| Cold plasma treatment | Cured black carp | 3-Methylbutanal, octanal, 2-nonenal, n-hexanal, nonanal, 2,4-decadienal, 2,4-nonadienal,1-octene-3-ol, ketone 1-octene-3-one | [18] |
| Frying | Soybean and canola oils | 2-Heptenal, ethyl butyrate, 2,4-pentanedione, acetyl pyrazine, 1-octanoland, 3-methylbutanal, pyridine, and linalool | [42] |
| Heating | Soybean oil | Butanal, pentanal, hexanal, heptanal, octanal, nonanal, decanal, undecanal, dodecanal, trans-2-butenal, trans-2-pentenal, trans-2-hexenal, cis-4-heptenal, cis-2-heptenal, trans-2-octenal, cis-2-nonenal, cis-2-decenal, cis-2-decenal, 2-undecenal, trans-2-hepten-1-o, 2-butanone, and 2-pentylfuran | [43] |
| Bagging | Cucumber | trans-2, cis-6-Nonadienal, trans-2-nonenal, nonanal, n-hexanal, trans-2-hexenal, propanal, and cis-2-heptenal | [44] |
| Drying | Mushroom | 1-Octen-3-one, 3-octanone, 1-octen-3-ol, 3-octanol, 2-octen-1-ol, 1-octanol, benzaldehyde, benzeneacetaldehyde, and decanal | [45] |
| Drying | Tomato | 2-Methylbutanal, 3-methylbutanal, n-hexanal, 6-methyl-5-hepten-2-ol, 3-methyl-1-butanol, and 6-methyl-5-hepten-2-one | [46] |
Publisher’s Note: MDPI stays neutral with regard to jurisdictional claims in published maps and institutional affiliations. |
© 2022 by the authors. Licensee MDPI, Basel, Switzerland. This article is an open access article distributed under the terms and conditions of the Creative Commons Attribution (CC BY) license (https://creativecommons.org/licenses/by/4.0/).
Share and Cite
Shahidi, F.; Hossain, A. Role of Lipids in Food Flavor Generation. Molecules 2022, 27, 5014. https://doi.org/10.3390/molecules27155014
Shahidi F, Hossain A. Role of Lipids in Food Flavor Generation. Molecules. 2022; 27(15):5014. https://doi.org/10.3390/molecules27155014
Chicago/Turabian StyleShahidi, Fereidoon, and Abul Hossain. 2022. "Role of Lipids in Food Flavor Generation" Molecules 27, no. 15: 5014. https://doi.org/10.3390/molecules27155014
APA StyleShahidi, F., & Hossain, A. (2022). Role of Lipids in Food Flavor Generation. Molecules, 27(15), 5014. https://doi.org/10.3390/molecules27155014
