USAEME-GC/MS Method for Easy and Sensitive Determination of Nine Bisphenol Analogues in Water and Wastewater
Abstract
:1. Introduction
2. Methods
2.1. Chemicals and Solutions
2.2. Wastewater Samples
2.3. Extraction Procedure
2.4. GC-MS Analysis
3. Results and Discussion
3.1. Extraction Solvent Selection
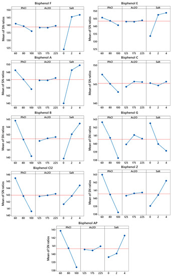
3.2. Design of Experiments: Chemometric Optimization of the Volumes of Extractant, Derivatizing Reagent and Salt Concentration
3.2.1. Effect of Extractant Volume
3.2.2. Effect of Derivatization Reagent Volume
3.2.3. The Influence of Salt
3.3. Effect of Simultaneous Extraction and Derivatization Time
3.4. Method Validation Parameters
3.5. Matrix Effect
3.6. Comparison of the Developed USAEME-GC/MS Procedure with Other BP Assay Procedures
3.7. Wastewater Analysis
4. Conclusions
Supplementary Materials
Author Contributions
Funding
Institutional Review Board Statement
Informed Consent Statement
Data Availability Statement
Conflicts of Interest
Sample Availability
References
- Khan, N.G.; Correia, J.; Adiga, D.; Rai, P.S.; Dsouza, H.S.; Chakrabarty, S.; Kabekkodu, S.P. A comprehensive review on the carcinogenic potential of bisphenol A: Clues and evidence. Environ. Sci. Pollut. Res. 2021, 28, 19643–19663. [Google Scholar] [CrossRef] [PubMed]
- Nelson, A.M.; Long, T.E. A perspective on emerging polymer technologies for bisphenol—A replacement. Polym. Int. 2012, 61, 1485–1491. [Google Scholar] [CrossRef]
- Vilarinho, F.; Sendón, R.; van der Kellen, A.; Vaz, M.; Silva, A.S. Bisphenol A in food as a result of its migration from food packaging. Trends Food Sci. Technol. 2019, 91, 33–65. [Google Scholar] [CrossRef]
- Chen, D.; Kannan, K.; Tan, H.; Zheng, Z.; Feng, Y.-L.; Wu, Y.; Widelka, M. Bisphenol analogues other than BPA: Environmental occurrence, human exposure, and toxicity—A review. Environ. Sci. Technol. 2016, 50, 5438–5453. [Google Scholar] [CrossRef]
- Yamazaki, E.; Yamashita, N.; Taniyasu, S.; Lam, J.; Lam, P.K.; Moon, H.-B.; Jeong, Y.; Kannan, P.; Achyuthan, H.; Munuswamy, N.; et al. Bisphenol A and other bisphenol analogues including BPS and BPF in surface water samples from Japan, China, Korea and India. Ecotoxicol. Environ. Saf. 2015, 122, 565–572. [Google Scholar] [CrossRef]
- Dodds, E.C.; Lawson, W. Synthetic strogenic agents without the phenanthrene nucleus. Nature 1936, 137, 996. [Google Scholar] [CrossRef]
- Ďurovcová, I.; Kyzek, S.; Fabová, J.; Makuková, J.; Gálová, E.; Ševčovičová, A. Genotoxic potential of bisphenol A: A review. Environ. Pollut. 2022, 306, 119346. [Google Scholar] [CrossRef]
- Yamamoto, T.; Yasuhara, A.; Shiraishi, H.; Nakasugi, O. Bisphenol A in hazardous waste landfill leachates. Chemosphere 2001, 42, 415–418. [Google Scholar] [CrossRef]
- Lee, S.; Liao, C.; Song, G.-J.; Ra, K.; Kannan, K.; Moon, H.-B. Emission of bisphenol analogues including bisphenol A and bisphenol F from wastewater treatment plants in Korea. Chemosphere 2015, 119, 1000–1006. [Google Scholar] [CrossRef]
- Crain, D.A.; Eriksen, M.; Iguchi, T.; Jobling, S.; Laufer, H.; LeBlanc, G.A.; Guillette, L.J. An ecological assessment of bisphenol-A: Evidence from comparative biology. Reprod. Toxicol. 2007, 24, 225–239. [Google Scholar] [CrossRef]
- Kapelewska, J.; Kotowska, U.; Karpińska, J.; Kowalczuk, D.; Arciszewska, A.; Świrydo, A. Occurrence, removal, mass loading and environmental risk assessment of emerging organic contaminants in leachates, groundwaters and wastewaters. Microchem. J. 2018, 137, 292–301. [Google Scholar] [CrossRef]
- Kotowska, U.; Kapelewska, J.; Kotowski, A.; Pietuszewska, E. Rapid and sensitive analysis of hormones and other emerging contaminants in groundwater using ultrasound-assisted emulsification microextraction with solidification of floating organic droplet followed by GC-MS detection. Water 2019, 11, 1638. [Google Scholar] [CrossRef] [Green Version]
- Wu, N.C.; Seebacher, F. Effect of the plastic pollutant bisphenol A on the biology of aquatic organisms: A meta-analysis. Glob. Chang. Biol. 2020, 26, 3821–3833. [Google Scholar] [CrossRef] [PubMed]
- Fu, P.; Kawamura, K. Ubiquity of bisphenol A in the atmosphere. Environ. Pollut. 2010, 158, 3138–3143. [Google Scholar] [CrossRef] [PubMed] [Green Version]
- Abraham, A.; Chakraborty, P. A review on sources and health impacts of bisphenol A. Rev. Environ. Health 2019, 35, 201. [Google Scholar] [CrossRef]
- Lu, L.; Yang, Y.; Zhang, J.; Shao, B. Determination of seven bisphenol analogues in reed and Callitrichaceae by ultra performance liquid chromatography-tandem mass spectrometry. J. Chromatogr. B 2014, 953–954, 80–85. [Google Scholar] [CrossRef]
- EFSA. Bisphenol A: EFSA Draft Opinion Proposes Lowering the Tolerable Daily Intake. Available online: https://www.efsa.europa.eu/en/news/bisphenol-efsa-draft-opinion-proposes-lowering-tolerable-daily-intake (accessed on 28 May 2022).
- Wang, H.; Liu, Z.-H.; Tang, Z.; Zhang, J.; Yin, H.; Dang, Z.; Wu, P.-X.; Liu, Y. Bisphenol analogues in Chinese bottled water: Quantification and potential risk analysis. Sci. Total Environ. 2020, 713, 136583. [Google Scholar] [CrossRef]
- Garcia-Corcoles, M.T.; Cipa, M.; Rodríguez-Gómez, R.R.; Rivas, A.; Olea-Serrano, F.; Vílchez, J.L.; Zafra-Gómez, A. Determination of bisphenols with estrogenic activity in plastic packaged baby food samples using solid-liquid extraction and clean-up with dispersive sorbents followed by gas chromatography tandem mass spectrometry analysis. Talanta 2018, 178, 441–448. [Google Scholar] [CrossRef]
- Matsushima, A.; Liu, X.; Okada, H.; Shimohigashi, M.; Shimohigashi, Y. Bisphenol AF is a full agonist for the estrogen receptor ERα but a highly specific antagonist for ERβ. Environ. Health Perspect. 2010, 118, 1267–1272. [Google Scholar] [CrossRef] [Green Version]
- Sun, X.; Peng, J.; Wang, M.; Wang, J.; Tang, C.; Yang, L.; Lei, H.; Li, F.; Wang, X.; Chen, J. Determination of nine bisphenols in sewage and sludge using dummy molecularly imprinted solid-phase extraction coupled with liquid chromatography tandem mass spectrometry. J. Chromatogr. A 2018, 1552, 10–16. [Google Scholar] [CrossRef]
- Sun, Q.; Wang, Y.; Li, Y.; Ashfaq, M.; Dai, L.; Xie, X.; Yu, C.-P. Fate and mass balance of bisphenol analogues in wastewater treatment plants in Xiamen City, China. Environ. Pollut. 2017, 225, 542–549. [Google Scholar] [CrossRef] [PubMed] [Green Version]
- Wang, Q.; Feng, Q.; Hu, G.; Gao, Z.; Zhu, X.; Epri, J.E. Simultaneous determination of seven bisphenol analogues in surface water by solid-phase extraction and ultra-performance liquid chromatography-tandem mass spectrometry. Microchem. J. 2021, 175, 107098. [Google Scholar] [CrossRef]
- Wang, Q.; Zhu, L.; Chen, M.; Ma, X.; Wang, X.; Xia, J. Simultaneously determination of bisphenol A and its alternatives in sediment by ultrasound-assisted and solid phase extractions followed by derivatization using GC-MS. Chemosphere 2017, 169, 709–715. [Google Scholar] [CrossRef] [PubMed]
- Zhang, H.; Zhang, Y.; Li, J.; Yang, M. Occurrence and exposure assessment of bisphenol analogues in source water and drinking water in China. Sci. Total Environ. 2018, 655, 607–613. [Google Scholar] [CrossRef]
- Wang, R.; Dong, S.; Wang, P.; Li, T.; Huang, Y.; Zhao, L.; Su, X. Development and validation of an ultra performance liquid chromatography-tandem mass spectrometry method for twelve bisphenol compounds in animal feed. J. Chromatogr. B 2021, 1178, 122613. [Google Scholar] [CrossRef]
- Moscoso-Ruiz, I.; Gálvez-Ontiveros, Y.; Cantarero-Malagón, S.; Rivas, A.; Zafra-Gómez, A. Optimization of an ultrasound-assisted extraction method for the determination of parabens and bisphenol homologues in human saliva by liquid chromatography-tandem mass spectrometry. Microchem. J. 2022, 175, 107122. [Google Scholar] [CrossRef]
- Wang, H.; Liu, Z.-H.; Tang, Z.; Zhang, J.; Dang, Z.; Liu, Y. Possible overestimation of bisphenol analogues in municipal wastewater analyzed with GC-MS. Environ. Pollut. 2021, 273, 116505. [Google Scholar] [CrossRef]
- Viñas, P.; López-García, I.; Campillo, N.; Rivas, R.E.; Hernández-Córdoba, M. Ultrasound-assisted emulsification microextraction coupled with gas chromatography–mass spectrometry using the Taguchi design method for bisphenol migration studies from thermal printer paper, toys and baby utensils. Anal. Bioanal. Chem. 2012, 404, 671–678. [Google Scholar] [CrossRef]
- Fontana, A.R.; de Toro, M.M.; Altamirano, J.C. One-step derivatization and preconcentration microextraction technique for determination of bisphenol A in beverage samples by gas chromatography-mass spectrometry. J. Agric. Food Chem. 2011, 59, 3559–3565. [Google Scholar] [CrossRef]
- Rice, E.W.; Baird, R.B.; Eaton, A.D.; Clesceri, L.S. Standard Methods for the Examination of Water and Wastewater; American Public Health Association, American Water Works, Water Environment Federation: Washington, DC, USA, 2017. [Google Scholar]
- Wang, X.; Diao, C.-P.; Zhao, R.-S. Rapid determination of bisphenol A in drinking water using dispersive liquid-phase microextraction with in situ derivatization prior to GC-MS. J. Sep. Sci. 2008, 32, 154–159. [Google Scholar] [CrossRef]
- Liu, J.; Lu, W.; Liu, H.; Wu, X.; Li, J.; Chen, L. Dispersive liquid-liquid microextraction for four phenolic environmental estrogens in water samples followed by determination using capillary electrophoresis. Electrophoresis 2016, 37, 2502–2508. [Google Scholar] [CrossRef] [PubMed] [Green Version]
- Zhou, Q.; Wang, G.; Xie, G. Preconcentration and determination of bisphenol A, naphthol and dinitrophenol from environmental water samples by dispersive liquid-phase microextraction and HPLC. Anal. Methods 2014, 6, 187–193. [Google Scholar] [CrossRef]
- Kotowska, U.; Struk-Sokołowska, J.; Piekutin, J. Simultaneous determination of low molecule benzotriazoles and benzotriazole UV stabilizers in wastewater by ultrasound-assisted emulsification microextraction followed by GC–MS detection. Sci. Rep. 2021, 11, 10098. [Google Scholar] [CrossRef] [PubMed]
- Kiejza, D.; Karpińska, J.; Kotowska, U. Degradation of benzotriazole UV stabilizers in PAA/d-electron metal ions systems—Removal kinetics, products and mechanism evaluation. Molecules 2022, 27, 3349. [Google Scholar] [CrossRef]
- Kalhor, M.; Hamzehpour, N.; Ghashghaei, E.; Faridi, M.; Kalhor, H. Ultrasound-assisted emulsification-microextraction coupled to ion mobility spectrometry for monitoring of atrazine and simazine in environmental water. Int. J. Ion Mobil. Spectrom. 2016, 19, 139–144. [Google Scholar] [CrossRef]
- Cacho, J.I.; Campillo, N.; Viñas, P.; Hernández-Córdoba, M. Stir bar sorptive extraction with EG-Silicone coating for bisphenols determination in personal care products by GC–MS. J. Pharm. Biomed. Anal. 2013, 78–79, 255–260. [Google Scholar] [CrossRef]
- Rao, R.S.; Kumar, C.G.; Prakasham, R.S.; Hobbs, P.J. The Taguchi methodology as a statistical tool for biotechnological applications: A critical appraisal. Biotechnol. J. 2008, 3, 510–523. [Google Scholar] [CrossRef]
- Shi, S.; Lv, J.; Liu, Q.; Nan, F.; Liu, X.; Xie, S.; Feng, J. Robust Taguchi optimization of activated carbon preparation from Phragmites australis for bisphenol A adsorption. Environ. Eng. Sci. 2020, 37, 337–345. [Google Scholar] [CrossRef]
- Genç, N.; Kılıçoğlu, Ö.; Narci, A.O. Removal of bisphenol A aqueous solution using surfactant-modified natural zeolite: Taguchi’s experimental design, adsorption kinetic, equilibrium and thermodynamic study. Environ. Technol. 2017, 38, 424–432. [Google Scholar] [CrossRef]
- Chlorobenzene. CASRN 108-90-7|IRIS|US EPA, ORD. Available online: https://iris.epa.gov/ChemicalLanding/&substance_nmbr=399 (accessed on 14 July 2022).
- Viñas, P.; Campillo, N.; Martínez-Castillo, N.; Hernández-Córdoba, M. Comparison of two derivatization-based methods for solid-phase microextraction-gas chromatography-mass spectrometric determination of bisphenol A, bisphenol S and biphenol migrated from food cans. Anal. Bioanal. Chem. 2010, 397, 115–125. [Google Scholar] [CrossRef]
- Jurek, A.; Leitner, E. Analytical determination of bisphenol A (BPA) and bisphenol analogues in paper products by GC-MS/MS. Food Addit. Contam. Part A 2017, 34, 1225–1238. [Google Scholar] [CrossRef] [PubMed]
- Del Olmo, M.; Zafra, A.; Suarez, B.; Gonzalez-Casado, A.; Taoufiki, J.; Vilchez, J. Use of solid-phase microextraction followed by on-column silylation for determining chlorinated bisphenol A in human plasma by gas chromatography-mass spectrometry. J. Chromatogr. B 2005, 817, 167–172. [Google Scholar] [CrossRef]
- Mandrah, K.; Satyanarayana, G.; Roy, S.K. A dispersive liquid-liquid microextraction based on solidification of floating organic droplet followed by injector port silylation coupled with gas chromatography-tandem mass spectrometry for the determination of nine bisphenols in bottled carbonated beverages. J. Chromatogr. A 2017, 1528, 10–17. [Google Scholar] [CrossRef] [PubMed]
- Kotowska, U.; Kapelewska, J.; Sturgulewska, J. Determination of phenols and pharmaceuticals in municipal wastewaters from Polish treatment plants by ultrasound-assisted emulsification-microextraction followed by GC-MS. Environ. Sci. Pollut. Res. 2014, 21, 660–673. [Google Scholar] [CrossRef] [PubMed] [Green Version]
- Česen, M.; Lenarčič, K.; Mislej, V.; Levstek, M.; Kovačič, A.; Cimrmančič, B.; Uranjek, N.; Kosjek, T.; Heath, D.; Dolenc, M.S.; et al. The occurrence and source identification of bisphenol compounds in wastewaters. Sci. Total Environ. 2018, 616–617, 744–752. [Google Scholar] [CrossRef] [PubMed]
- Caban, M.; Stepnowski, P. The quantification of bisphenols and their analogues in wastewaters and surface water by an improved solid-phase extraction gas chromatography/mass spectrometry method. Environ. Sci. Pollut. Res. 2020, 27, 28829–28839. [Google Scholar] [CrossRef]
- Fan, X.; Katuri, G.P.; Caza, A.A.; Rasmussen, P.E.; Kubwabo, C. Simultaneous measurement of 16 bisphenol A analogues in house dust and evaluation of two sampling techniques. Emerg. Contam. 2021, 7, 1–9. [Google Scholar] [CrossRef]
- Ruiz, F.-J.; Rubio, S.; Pérez-Bendito, D. Vesicular coacervative extraction of bisphenols and their diglycidyl ethers from sewage and river water. J. Chromatogr. A 2007, 1163, 269–276. [Google Scholar] [CrossRef]
- Gou, X.; Gao, X.; Hu, G.; Chi, H.; Le, S.; Wang, W.; Liu, W. Simultaneous determination of 11 bisphenols in plastic bottled drinking water by ultra performance liquid chromatography-tandem mass spectrometry. Chin. J. Chromatogr. 2014, 32, 988–991. [Google Scholar] [CrossRef]
- Coutinho, R.; Vianna, M.T.G.; Marques, M. Optimisation of the conditions of dispersive liquid-liquid microextraction for environmentally friendly determination of bisphenols and benzophenone in complex water matrices by LC-MS/MS. Microchem. J. 2022, 180, 107636. [Google Scholar] [CrossRef]
- Czarczyńska-Goślińska, B.; Grześkowiak, T.; Frankowski, R.; Lulek, J.; Pieczak, J.; Zgoła-Grześkowiak, A. Determination of bisphenols and parabens in breast milk and dietary risk assessment for Polish breastfed infants. J. Food Compos. Anal. 2021, 98, 103839. [Google Scholar] [CrossRef]
- Han, S.; Song, Y.; Kang, A.; Deng, H.; Zhu, D.; Chi, Y. Determination of nine bisphenols in children’s water bottle by online enrichment coupled with high performance liquid chromatography-fluorescence detection. Chin. J. Chromatogr. 2019, 37, 1185–1192. [Google Scholar] [CrossRef] [PubMed]




| Compound | Abbreviation/CAS | Structure | MM (g/mol) | logKow | pKa | tR (min) | Characteristic Masses |
|---|---|---|---|---|---|---|---|
| Bisphenol F (4,4′-Methylenediphenol) | BPF 1333-16-0 | ![]() | 200.23 | 2.76 | 9.91 | 9.56 | 107, 183, 200 |
| Bisphenol E (4,4′-Ethylidenebisphenol) | BPE 2081-08-5 | ![]() | 214.26 | 3.23 | 10.10 | 9.94 | 181, 199, 214 |
| Bisphenol A (4,4′-Isopropylidenediphenol) | BPA 80-05-7 | ![]() | 228.11 | 3.64 | 10.29 | 10.38 | 119, 213, 228 |
| Bisphenol C (4,4′-Isopropylidenedi-o-cresol) | BPC 79-97-0 | ![]() | 256.34 | 4.74 | 9.90 | 10.94 | 133, 241, 256 |
| Bisphenol B (4,4′-sec-Butylidenediphenol) | BPB 77-40-7 | ![]() | 242.32 | 4.15 | 10.27 | 11.29 | 119, 213, 242 |
| Bisphenol G (4,4′-Isopropylidenebis(2-isopropylphenol)) | BPG 125-54-8 | ![]() | 312.45 | 6.55 | – | 11.49 | 177, 297, 312 |
| Bisphenol Cl2 (4,4′-(2,2-dichloroethene-1,1-diyl)diphenol) | BPCl2 14868-03-2 | ![]() | 281.13 | – | – | 12.42 | 152, 210, 280 |
| Bisphenol Z (4,4′-Cyclohexylidenebisphenol) | BPZ 843-55-0 | ![]() | 268.36 | 4.87 | 9.91 | 13.77 | 199, 225, 268 |
| Bisphenol AP (4,4′-(1-Phenylethylidene)bisphenol) | BPAP 1571-75-1 | ![]() | 290.36 | 4.33 | 10.22 | 14.39 | 275, 276, 290 |
| Run | Chlorobenzene Volume (μL) | Acetic Anhydride Volume (μL) | Salt Concentration (%) | Mean Peak Area | SN Ratio |
|---|---|---|---|---|---|
| 1 | 60 | 125 | 0 | 12,155,020 | 141.7 |
| 2 | 60 | 175 | 2 | 36,898,612 | 151.3 |
| 3 | 60 | 225 | 4 | 42,227,803 | 152.5 |
| 4 | 80 | 125 | 2 | 26,066,185 | 148.3 |
| 5 | 80 | 175 | 4 | 28,628,198 | 149.1 |
| 6 | 80 | 225 | 0 | 11,275,386 | 141.0 |
| 7 | 100 | 125 | 4 | 24,357,492 | 147.7 |
| 8 | 100 | 175 | 0 | 7,285,741 | 137.2 |
| 9 | 100 | 225 | 2 | 19,889,630 | 146.0 |
| Source | DF | Seq SS | Adj SS | Adj MS | F | P | Percentage Contribution |
|---|---|---|---|---|---|---|---|
| PhCl | 2 | 35.505 | 35.505 | 17.7523 | 19.09 | 0.050 | 17.01 |
| Ac2O | 2 | 0.712 | 0.712 | 0.3559 | 0.38 | 0.723 | 0.34 |
| Salt | 2 | 170.641 | 170.641 | 85.3206 | 91.76 | 0.011 | 81.75 |
| Residual Error | 2 | 1.860 | 1.860 | 0.9298 | 0.9 | ||
| Total | 8 | 208.717 | 100 | ||||
| Model summary | S = 0.9643 | ||||||
| R2 = 96.30% | |||||||
| Adjusted R2 = 85.19% | |||||||
| Compound | Predicted SN Ratio | Experimental SN Ratio |
|---|---|---|
| BPF | 149.8 | 147.5 |
| BPE | 151.8 | 149.5 |
| BPA | 152.6 | 150.4 |
| BPC | 144.8 | 146.9 |
| BPB | 147.1 | 145.0 |
| BPG | 141.3 | 141.7 |
| BPCl2 | 147.1 | 145.2 |
| BPZ | 144.8 | 142.8 |
| BPAP | 144.8 | 142.8 |
| Compound | Linearity | R2 | Recovery (%) | CV (%) | LoD (ng/L) | |||
|---|---|---|---|---|---|---|---|---|
| Range (μg/L) | Slope | Intercept | 1 μg/L | 10 μg/L | ||||
| BPF | 0.005–500 | 308,626 | 1,149,749 | 0.998 | 92 ± 5 | 97 ± 3 | 2.91 | 2.23 |
| BPE | 0.005–500 | 371,209 | 1,385,372 | 0.997 | 95 ± 2 | 103 ± 1 | 3.02 | 1.48 |
| BPA | 0.05–500 | 400,389 | 1,355,027 | 0.998 | 95 ± 4 | 99 ± 2 | 3.01 | 5.85 |
| BPC | 0.05–500 | 265,935 | 753,368 | 0.998 | 107 ± 2 | 105 ± 3 | 4.49 | 5.08 |
| BPB | 0.005–500 | 211,780 | 723,170 | 0.998 | 120 ± 4 | 112 ± 5 | 2.16 | 2.45 |
| BPG | 0.005–500 | 145,140 | 243,246 | 0.9993 | 108 ± 2 | 113 ± 2 | 8.59 | 0.06 |
| BPCl2 | 0.05–500 | 223,987 | 177,362 | 0.9995 | 94 ± 4 | 90 ± 2 | 4.84 | 17.25 |
| BPZ | 0.05–500 | 158,799 | 75,071 | 0.9996 | 122 ± 9 | 89 ± 6 | 4.51 | 19.26 |
| BPAP | 0.05–500 | 153,658 | 286,635 | 0.9990 | 116 ± 3 | 88 ± 6 | 4.46 | 8.79 |
| Parameter | pH | σ (µS/cm) | COD (mg/L) | BOD (mg/L) | TN (mg/L) | TP (mg/L) |
|---|---|---|---|---|---|---|
| raw wastewater | 8.23 | 1286.9 | 214 | 10 | 43.4 | 2.23 |
| treated wastewater | 7.82 | 961.4 | 31.3 | 4 | 10.8 | 0.143 |
| Compound | Linearity | R2 | Recovery (%) | CV (%) | LoD (ng/L) | |||
|---|---|---|---|---|---|---|---|---|
| Range (μg/L) | Slope | Intercept | 1 μg/L | 10 μg/L | ||||
| Raw wastewater | ||||||||
| BP F | 0.01–500 | 282,040 | −1,338,731 | 0.9991 | 119 ± 5 | 112 ± 5 | 4.08 | 4.65 |
| BP E | 0.1–500 | 369,210 | −680,445 | 0.9990 | 100 ± 8 | 98 ± 4 | 3.43 | 11.73 |
| BP A | 0.1–500 | 342,430 | −302,379 | 0.9991 | 85 ± 2 | 101 ± 9 | 3.08 | 63.82 |
| BP C | 0.05–500 | 243,972 | −1,054,776 | 0.998 | 86 ± 1 | 102 ± 6 | 6.50 | 15.33 |
| BP B | 0.01–500 | 230,244 | −503,381 | 0.9994 | 118 ± 2 | 101 ± 3 | 5.87 | 4.16 |
| BP G | 0.05–500 | 142,492 | −594,097 | 0.997 | 95 ± 7 | 102 ± 5 | 7.50 | 9.12 |
| BP Cl2 | 0.05–500 | 207,697 | −1,331,025 | 0.997 | 91 ± 3 | 115 ± 4 | 3.88 | 18.51 |
| BP Z | 0.05–500 | 197,901 | −632,302 | 0.9993 | 114 ± 1 | 105 ± 6 | 5.81 | 8.16 |
| BP AP | 0.1–500 | 213,678 | −462,226 | 0.9991 | 119 ± 3 | 103 ± 5 | 5.48 | 16.45 |
| Treated wastewater | ||||||||
| BP F | 0.005–500 | 240,799 | −460,455 | 0.9994 | 116 ± 5 | 112 ± 3 | 2.93 | 4.57 |
| BP E | 0.05–500 | 357,110 | −1,176,139 | 0.9997 | 106 ± 5 | 122 ± 3 | 2.73 | 4.69 |
| BP A | 0.05–500 | 339,543 | −1,444,976 | 0.999 | 113 ± 4 | 113 ± 4 | 3.02 | 3.88 |
| BP C | 0.005–500 | 278,657 | −877,267 | 0.999 | 108 ± 3 | 113 ± 1 | 4.28 | 0.41 |
| BP B | 0.05–500 | 231,149 | −451,909 | 0.997 | 87 ± 7 | 115 ± 4 | 4.08 | 14.64 |
| BP G | 0.01–500 | 175,634 | 284,113 | 0.998 | 118 ± 2 | 94 ± 2 | 7.33 | 4.76 |
| BP Cl2 | 0.05–500 | 178,346 | −437,280 | 0.9995 | 99 ± 9 | 111 ± 2 | 4.60 | 5.18 |
| BP Z | 0.1–500 | 184,781 | −937,391 | 0.998 | 106 ± 9 | 108 ± 5 | 4.91 | 4.63 |
| BP AP | 0.05–500 | 203,648 | −532,571 | 0.998 | 118 ± 5 | 105 ± 4 | 5.40 | 11.72 |
| Compound | Method | Sample | Linear Range (μg/L) | LOD (ng/L) | Recovery (%) | Ref. |
|---|---|---|---|---|---|---|
| F, E, A, C, B, G, Cl2, Z, AP | USAEME-GC-MS | Raw wastewater | 0.01–500 | 4.2–63,8 | 85–119 | This study |
| Treated wastewater | 0.005–500 | 0.4–14.6 | 87–115 | |||
| F, A, Z, S | USAEME-GC-MS | Thermal paper, toys and baby utensils | 0.1–3 | 10–30 | - | [29] |
| F, E, A, C, Z, BP, S, FL, AF | SPE-GC-MS | Wastewater, surface water | 0.0001–1 | 0.3–17 | 78–133 | [49] |
| F, E, A, C, B, G, Cl2, Z, AP, S, M, BP, PH, TMC | SPE-GC-MS/MS | House dust | 0.002–2.5 a | 1–17 a | 65–111 | [50] |
| F, E, C, B, Z, AP, S, AF | SPE-GC-MS | Wastewater | 0.004–1 | 0.207–1.20 | 79–100 | [48] |
| F, E, A, S, F | SPE-LC-MS/MS | Wastewater | 0.5–500 | 0.043–2.43 | 43–90 | [22] |
| F, E, A, B, Z, AP, S, AF, TBBPA | SPE-HPLC-MS/MS | Wastewater | 0.005–100 | 0.0007–16.3 b | 82–101 | [21] |
| Sludge | 0.0004–8.28 a,b | 43–97 | ||||
| F, A, BFDGE, BADGE | CPE-LC-DAD, FLD | Wastewater, river water | 0.0001–0.05 | 9–10 | 95–102 | [51] |
| F, A, C, B, AP, S, AF, TDP TBBPA, TCBPA, TMBPA, | UPLC-MS/MS | Bottled drinking water | 0.01–200 | 0.01–100 | 75–102 | [52] |
| F, A, S, AF, benzophenone | DLLME-UPLC-MS | Complex water matrices | 0.50–200 | 0.05–0.1 | 60–120 | [53] |
| F, A, S, AF, parabens | QuEChERS-LC-MS/MS | Breast milk | 0.5–2000 | 10–200 | 77–98 | [54] |
| A, C, B, Z, P, AP, AF, FL, TMBPA | HPLC-FLD | Children’s water bottles | 0.0004–80 | 0.13–66.7 | 90–112 | [55] |
| Compound | Raw Wastewater | Treated Wastewater | Removal Efficiency (%) |
|---|---|---|---|
| BPF | 38.89 ± 0.51 | <LoD | 88.17 |
| BPE | 58.71 ± 3.82 | 25.16 ± 0.10 | 57.15 |
| BPA | 398.97 ± 9.24 | 101.84 ± 1.79 | 74.47 |
| BPC | <LoD | 7.57 ± 0.10 | 50.52 |
| BPB | 62.49 ± 4.27 | 29.29 ± 0.38 | 53.13 |
| BPG | <LoD | 33.08 ± 1.16 | 47.25 |
| BPCl2 | 53.12 ± 1.63 | 49.54 ± 0.27 | 6.75 |
| BPZ | 66.62 ± 2.70 | 24.64 ± 0.26 | 63.01 |
| BPAP | <LoD | <LoD | - |
Publisher’s Note: MDPI stays neutral with regard to jurisdictional claims in published maps and institutional affiliations. |
© 2022 by the authors. Licensee MDPI, Basel, Switzerland. This article is an open access article distributed under the terms and conditions of the Creative Commons Attribution (CC BY) license (https://creativecommons.org/licenses/by/4.0/).
Share and Cite
Kiejza, D.; Kotowska, U.; Polińska, W.; Karpińska, J. USAEME-GC/MS Method for Easy and Sensitive Determination of Nine Bisphenol Analogues in Water and Wastewater. Molecules 2022, 27, 4977. https://doi.org/10.3390/molecules27154977
Kiejza D, Kotowska U, Polińska W, Karpińska J. USAEME-GC/MS Method for Easy and Sensitive Determination of Nine Bisphenol Analogues in Water and Wastewater. Molecules. 2022; 27(15):4977. https://doi.org/10.3390/molecules27154977
Chicago/Turabian StyleKiejza, Dariusz, Urszula Kotowska, Weronika Polińska, and Joanna Karpińska. 2022. "USAEME-GC/MS Method for Easy and Sensitive Determination of Nine Bisphenol Analogues in Water and Wastewater" Molecules 27, no. 15: 4977. https://doi.org/10.3390/molecules27154977
APA StyleKiejza, D., Kotowska, U., Polińska, W., & Karpińska, J. (2022). USAEME-GC/MS Method for Easy and Sensitive Determination of Nine Bisphenol Analogues in Water and Wastewater. Molecules, 27(15), 4977. https://doi.org/10.3390/molecules27154977










