Exploring Core Microbiota Based on Characteristic Flavor Compounds in Different Fermentation Phases of Sufu
Abstract
:1. Introduction
2. Results
2.1. Physicochemical Parameters of Sufu during Post-Fermentation
2.2. Dynamics of Flavor Compounds during Sufu Fermentation
2.3. Dynamics of Microorganisms during Sufu Post-Fermentation
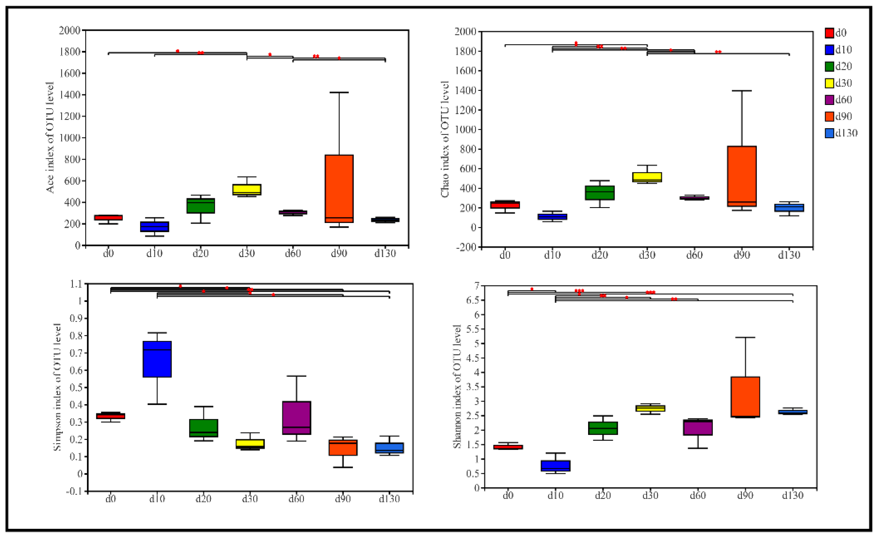
2.3.1. Alpha Diversity during the Fermentation Process
2.3.2. Composition of Bacterial Communities
2.4. Correlation Analysis of Dominant Genera and Characteristic Flavor Compounds
2.5. Co-occurrence Network Analysis during Sufu Fermentation
2.6. Identification of Core Microbiota during Sufu Fermentation
2.7. Correlation Analysis of Core Microbiota and Physicochemical Factors
2.8. Metabolic Pathways of the Core Microbiota during Sufu Fermentation
3. Materials and Methods
3.1. Sample Collection
3.2. Physicochemical Property Determination
3.3. DNA Extraction, Polymerase Chain Reaction, and Illumina MiSeq Sequencing Analysis
3.4. Sensory Evaluation
3.5. Statistical Analysis
4. Conclusions
Supplementary Materials
Author Contributions
Funding
Institutional Review Board Statement
Informed Consent Statement
Data Availability Statement
Conflicts of Interest
Sample Availability
References
- Xie, C.; Zeng, H.; Wang, C.; Xu, Z.; Qin, L. Volatile flavour components, microbiota and their correlations in different sufu, a Chinese fermented soybean food. J. Appl. Microbiol. 2018, 125, 1761–1773. [Google Scholar] [CrossRef] [PubMed]
- Han, B.Z.; Rombouts, F.M.; Nout, M. A Chinese fermented soybean food. Int. J. Food Microbiol. 2001, 65, 1–10. [Google Scholar] [CrossRef]
- Xu, Y.; Zhao, J.; Liu, X.; Zhang, C.; Zhao, Z.; Li, X.; Sun, B. Flavor mystery of Chinese traditional fermented baijiu: The great contribution of ester compounds. Food Chem. 2022, 369, 130920. [Google Scholar] [CrossRef]
- He, W.; Chung, H.Y. Exploring core functional microbiota related with flavor compounds involved in the fermentation of a natural fermented plain sufu (Chinese fermented soybean curd). Food Microbiol. 2019, 90, 103408. [Google Scholar] [CrossRef]
- Huang, X.; Yu, S.; Han, B.; Chen, J. Bacterial community succession and metabolite changes during sufu fermentation. LWT Food Sci. Technol. 2018, 97, 537–545. [Google Scholar] [CrossRef]
- Wang, S.; Wu, Q.; Nie, Y.; Wu, J.; Xu, Y. Construction of Synthetic Microbiota for Reproducible Flavor Compound Metabolism in Chinese Light-Aroma-Type Liquor Produced by Solid-State Fermentation. Appl. Environ. Microbiol. 2019, 85, e03090-18. [Google Scholar] [CrossRef] [PubMed] [Green Version]
- Wu, Q.; Ling, J.; Xu, Y. Starter culture selection for making Chinese sesame-flavored liquor based on microbial metabolic activity in mixed-culture fermentation. Appl. Environ. Microbiol. 2014, 80, 4450–4459. [Google Scholar] [CrossRef] [Green Version]
- Yao, Y.; Zhou, X.; Hadiatullah, H.; Zhang, J.; Zhao, G. Determination of microbial diversities and aroma characteristics of Beitang shrimp paste. Food Chem. 2021, 344, 128695. [Google Scholar] [CrossRef]
- Yao, D.; Xu, L.; Wu, M.; Wang, X.; Zhu, L.; Wang, C. Effects of microbial community succession on flavor compounds and physicochemical properties during CS sufu fermentation. LWT Food Sci. Technol. 2021, 152, 112313. [Google Scholar] [CrossRef]
- Zhang, H.; Huang, D.; Pu, D.; Zhang, Y.; Ren, F. Multivariate relationships among sensory attributes and volatile components in commercial dry porcini mushrooms (Boletus edulis). Food Res. Int. 2020, 133, 109112. [Google Scholar] [CrossRef]
- Yin-Soon, M.; Lu, T.J.; Cheng-Chun, C. Volatile components of the enzyme-ripened sufu, a Chinese traditional fermented product of soy bean. J. Biosci. Bioeng. 2012, 113, 196–201. [Google Scholar]
- Lee, S.J.; Ahn, B. Comparison of volatile components in fermented soybean pastes using simultaneous distillation and extraction (SDE) with sensory characterisation. Food Chem. 2009, 114, 600–609. [Google Scholar] [CrossRef]
- Giri, A.; Osako, K.; Okamoto, A.; Ohshima, T. Olfactometric characterization of aroma active compounds in fermented fish paste in comparison with fish sauce, fermented soy paste and sauce products. Food Res. Int. 2010, 43, 1027–1040. [Google Scholar] [CrossRef]
- Yi, C.; Pla, B.; Lla, B.; Yq, C.; Lja, B.; Yang, L.A. Characteristic fingerprints and volatile flavor compound variations in Liuyang Douchi during fermentation via HS-GC-IMS and HS-SPME-GC-MS. Food Chem. 2021, 361, 130055. [Google Scholar]
- Yang, H.; Yang, L.; Zhang, J.; Li, H.; Tu, Z.; Wang, X. Exploring functional core bacteria in fermentation of a traditional Chinese food, Aspergillus-type douchi. PLoS ONE 2019, 14, e0226965. [Google Scholar] [CrossRef] [Green Version]
- An, F.; Li, M.; Zhao, Y.; Zhang, Y.; Mu, D.; Hu, X.; You, S.; Wu, J.; Wu, R. Metatranscriptome-based investigation of flavor-producing core microbiota in different fermentation stages of dajiang, a traditional fermented soybean paste of Northeast China. Food Chem. 2021, 343, 128509. [Google Scholar] [CrossRef] [PubMed]
- Chun, B.H.; Han, D.M.; Kim, H.M.; Park, D.; Jeong, D.M.; Kang, H.A.; Jeon, C.O. Metabolic Features of Ganjang (a Korean Traditional Soy Sauce) Fermentation Revealed by Genome-Centered Metatranscriptomics. Msystems 2021, 6, e0044121. [Google Scholar] [CrossRef] [PubMed]
- Ling, H.; Shi, H.; Chen, X.; Cheng, K. Detection of the microbial diversity and flavour components of northeastern Chinese soybean paste during storage. Food Chem. 2022, 374, 131686. [Google Scholar] [CrossRef]
- Wanakhachornkrai, P. Comparison of determination method for volatile compounds in Thai soy sauce. Food Chem. 2003, 83, 619–629. [Google Scholar] [CrossRef]
- Sessa, D.J.; Rackis, J.J. Lipid-Derived flavors of legume protein products. J. Am. Oil Chem. Soc. 1977, 54, 468–473. [Google Scholar] [CrossRef]
- Van Gemert, L.J. Compilations of Odour Threshold Values in Air, Water and Other Media; Boelens Aroma Chemical Information Services: Huizen, The Netherlands, 2003. [Google Scholar]
- Ercolini, D.; Yang, L.; Yang, H.-L.; Tu, Z.-C.; Wang, X.-L. High-throughput sequencing of microbial community diversity and dynamics during douchi fermentation. PLoS ONE 2016, 11, e0168166. [Google Scholar]
- Abriouel, H.; Franz, C.; Omar, N.B.; Gálvez, A. Diversity and applications of Bacillusbacteriocins. FEMS Microbiol. Rev. 2011, 35, 201–232. [Google Scholar] [CrossRef] [PubMed] [Green Version]
- Ahmad, V.; Muhammad, Z.; Haseeb, M.; Khan, M.S. Antimicrobial potential of bacteriocin producing Lysinibacillus jx416856 against foodborne bacterial and fungal pathogens, isolated from fruits and vegetable waste. Anaerobe 2014, 27, 87–95. [Google Scholar] [CrossRef] [PubMed]
- Shen, Y.; Wu, Y.; Wang, Y.; Li, L.; Li, C.; Zhao, Y.; Yang, S. Contribution of autochthonous microbiota succession to flavor formation during Chinese fermented mandarin fish (Siniperca chuatsi). Food Chem. 2021, 348, 129107. [Google Scholar] [CrossRef]
- Fei, Y.; Li, L.; Chen, L.; Zheng, Y.; Yu, B. High-throughput sequencing and culture-based approaches to analyze microbial diversity associated with chemical changes in naturally fermented tofu whey, a traditional Chinese tofu-coagulant. Food Microbiol. 2018, 76, 69–77. [Google Scholar] [CrossRef]
- He, G.; Huang, J.; Zhou, R.; Wu, C.; Jin, Y. Effect of Fortified Daqu on the Microbial Community and Flavor in Chinese Strong-Flavor Liquor Brewing Process. Front Microbiol. 2019, 10, 56. [Google Scholar] [CrossRef] [Green Version]
- Zhao, G.; Liu, C.; Hadiatullah, H.; Yao, Y.; Lu, F. Effect of Hericium erinaceus on bacterial diversity and volatile flavor changes of soy sauce. LWT Food Sci. Technol. 2021, 139, 110543. [Google Scholar] [CrossRef]
- Nam, Y.D.; Lee, S.Y.; Lim, S.I. Microbial community analysis of Korean soybean pastes by next-generation sequencing. Int. J. Food Microbiol. 2012, 155, 36–42. [Google Scholar] [CrossRef] [PubMed]
- Zhu, M.; Chen, Z.; Luo, H.-B.; Mao, X.; Yang, Y.; Tong, W.-H.; Huang, D. Study of the Phase Characteristics of Sichuan Bran Vinegar Fermentation Based on Flavor Compounds and Core Bacteria. J. Am. Soc. Brew Chem. 2020, 79, 201–211. [Google Scholar] [CrossRef]
- Wang, C.; Zhang, Q.; He, L.; Li, C. Determination of the microbial communities of Guizhou Suantang, a traditional Chinese fermented sour soup, and correlation between the identified microorganisms and volatile compounds. Food Res. Int. 2020, 138, 109820. [Google Scholar] [CrossRef] [PubMed]
- Wang; Xinhui; Zhang; Yalin; Ren; Hongyang; Zhan; Yi, Comparison of bacterial diversity profiles and microbial safety assessment of salami, Chinese dry-cured sausage and Chinese smoked-cured sausage by high-throughput sequencing. LWT Food Sci. Technol. 2018, 135, 109247.
- Kasana, R.C.; Pandey, C.B. Exiguobacterium: An overview of a versatile genus with potential in industry and agriculture. Crit. Rev. Biotechnol. 2017, 38, 141–156. [Google Scholar] [CrossRef] [PubMed]
- Lin, L.-J.; Zeng, J.; Tian, Q.-M.; Ding, X.-Q.; Zhang, X.-Y.; Gao, X.-Y. Effect of the bacterial community on the volatile flavour profile of a Chinese fermented condiment–Red sour soup–During fermentation. Food Res. Int. 2022, 155, 111059. [Google Scholar] [CrossRef] [PubMed]
- Liang, H.; Zhang, A.; Wu, Z.; Liu, C.; Zhang, W. Characterization of Microbial Community during the Fermentation of Chinese Homemade paocai, a Traditional Fermented Vegetable Food. Food Sci. Technol. Res. 2016, 22, 467–475. [Google Scholar] [CrossRef] [Green Version]
- Zhao, C.; Su, W.; Mu, Y.; Jiang, L.; Mu, Y. Correlations between microbiota with physicochemical properties and volatile flavor components in black glutinous rice wine fermentation. Food Res. Int. 2020, 138, 109800. [Google Scholar] [CrossRef] [PubMed]
- Zhang, H.; Meng, Y.; Wang, Y.; Zhou, Q.; Li, A.; Liu, G.; Li, J.; Xing, X. Prokaryotic communities in multidimensional bottom-pit-mud from old and young pits used for the production of Chinese Strong-Flavor Baijiu. Food Chem. 2020, 312, 126084. [Google Scholar] [CrossRef] [PubMed]
- Yang, M.; Huang, J.; Zhou, R.; Qi, Q.; Wu, C. Characterizing the microbial community of Pixian Doubanjiang and analysing the metabolic pathway of major flavour metabolites. LWT Food Sci. Technol. 2021, 143, 111170. [Google Scholar] [CrossRef]
- Xiong, T.; Li, J.; Liang, F.; Wang, Y.; Guan, Q.; Xie, M. Effects of salt concentration on Chinese sauerkraut fermentation. LWT Food Sci. Technol. 2016, 69, 169–174. [Google Scholar] [CrossRef]
- Chou, C.C.; Hwan, C.H. Effect of ethanol on the hydrolysis of protein and lipid during the ageing of a chinese fermented soya bean curd—Sufu. J. Sci. Food Agr. 2010, 66, 393–398. [Google Scholar] [CrossRef]
- Vijayalaxmi, S.; Appaiah, K.; Jayalakshmi, S.K.; Mulimani, V.H.; Sreeramulu, K. Production of Bioethanol from Fermented Sugars of Sugarcane Bagasse Produced by Lignocellulolytic Enzymes of Exiguobacterium sp. VSG-1. Appl. Biochem. Biotechnol. 2013, 171, 246–260. [Google Scholar] [CrossRef]
- Hu, M.; Dong, J.; Tan, G.; Li, X.; Li, M. Metagenomic insights into the bacteria responsible for producing biogenic amines in sufu. Food Microbiol. 2021, 98, 103762. [Google Scholar] [CrossRef] [PubMed]
- Ahmad, W.; Mohammed, G.I.; Al-Eryani, D.A.; Saigl, Z.M.; Alyoubi, A.O.; Alwael, H.; Bashammakh, A.S.; O’Sullivan, C.K.; El-Shahawi, M.S. Biogenic Amines Formation Mechanism and Determination Strategies: Future Challenges and Limitations. Crit. Rev. Anal. Chem. 2020, 6, 485–500. [Google Scholar] [CrossRef] [PubMed]
- Chen, Y.P.; Chiang, T.K.; Chung, H.Y. Optimization of a headspace solid-phase micro-extraction method to quantify volatile compounds in plain sufu, and application of the method in sample discrimination. Food Chem. 2019, 275, 32–40. [Google Scholar] [CrossRef] [PubMed]







| Volatile Flavor Compounds | Threshold (ug/g) b | Description c | Sufu Samples (ug/100 g) a | ||||||
|---|---|---|---|---|---|---|---|---|---|
| d0 | d10 | d20 | d30 | d60 | d90 | d130 | |||
| Esters (14) | |||||||||
| Ethyl propionate | 0.01 | Pineapple | − | − | 4.28 ± 0.68 d | 5.63 ± 0.56 c | 6.02 ± 1.08 c | 15.72 ± 0.54 a | 7.73 ± 1.22 b |
| Ethyl butanoate | 0.001 | Fruity, banana | 28.2 ± 0.32 a | 22.26 ± 0.51 b | 27.43 ± 3.17 a | 20.13 ± 0.36 b | 21.01 ± 0.58 b | 16.64 ± 0.34 c | 16.49 ± 0.25 c |
| Ethyl isobutyrate | 0.0001 | Fruity | − | 2.61 ± 1.13 c | 9.62 ± 0.74 a | 6.30 ± 1.01 b | 9.69 ± 1.96 a | 10.09 ± 0.91 a | 9.65 ± 0.52 a |
| Ethyl 2-methyl butyrate | 0.00015 | Grassy | 5.71 ± 1.36 e | 20.52 ± 0.26 d | 54.25 ± 4.62 a | 33.60 ± 1.47 b | 18.06 ± 1.35 d | 30.45 ± 1.01 b | 26.65 ± 0.25 c |
| Ethyl valerate | 0.0058 | Fruity | 27.30 ± 0.56 c | 29.30 ± 2.34 c | 36.53 ± 4.32 b | 36.05 ± 2.86 b | 44.40 ± 3.19 a | 27.75 ± 1.59 c | 42.49 ± 3.33 a |
| Ethyl isovalerate | 0.0002 | Nail polish | − | 6.02 ± 0.16 e | 15.65 ± 1.58 a | 9.56 ± 0.39 c | 5.88 ± 0.32 e | 8.13 ± 0.34 d | 13.64 ± 0.22 b |
| Emyl acetate | 0.05 | − | 6.32 ± 0.49 c | 5.69 ± 0.95 c | 7.00 ± 0.50 bc | 11.41 ± 0.65 a | 11.8 ± 1.56 a | 8.17 ± 2.05 b | 6.39 ± 0.89 c |
| Ethyl hexanoate | 0.005 | Almond, apple | 217.70 ± 14.92 f | 264.25 ± 13.47 e | 430.11 ± 17.47 c | 339.45 ± 21.64 d | 465.58 ± 13.39 b | 321.63 ± 21.61 d | 618.33 ± 24.81 a |
| Ethyl oenanthate | 0.0019 | Fruity | 101.95 ± 7.33 d | 105.45 ± 7.40 d | 181.42 ± 4.21 b | 149.67 ± 13.81 c | 156.23 ± 4.58 c | 106.57 ± 3.42 d | 216.38 ± 9.13 a |
| Ethyl caprylate | 0.0193 | Creamy | − | 160.78 ± 14.78 c | 252.49 ± 3.37 b | 230.12 ± 26.79 b | 326.10 ± 20.21 a | 249.80 ± 14.68 b | 329.22 ± 11.83 a |
| 4-decanolide | 0.0026 | Fruity, peach | 5.61 ± 1.17 c | 6.30 ± 1.15 bc | 10.97 ± 0.70 a | 11.01 ± 0.23 a | 7.34 ± 1.59 b | 5.57 ± 0.78 c | 9.53 ± 0.57 a |
| Ethyl caprate | 0.023 | Flower | 28.71 ± 1.22 b | 11.40 ± 2.39 b | 20.80 ± 2.06 b | 20.51 ± 0.97 b | 16.38 ± 0.87 b | 15.62 ± 2.63 b | 90.29 ± 10.91 a |
| Ethyl benzoate | 0.053 | − | − | − | − | 4.52 ± 0.81 b | 4.79 ± 0.3 b | 4.38 ± 0.80 c | 6.64 ± 0.42 a |
| Propyl(E)-2-methyl-2-Butenoate | 0.012 | − | − | − | − | − | 2.65 ± 1.05 b | 1.50 ± 0.12 c | 3.90 ± 0.46 a |
| Alcohols (8) | |||||||||
| Isoamyl alcohol | 0.22 | Alcoholic | 80.14 ± 8.41 c | 82.81 ± 6.64 c | 93.62 ± 5.67 b | 116.33 ± 10.12 a | 39.16 ± 8.34 d | 40.74 ± 5.44 d | 44.30 ± 2.15 d |
| Hexyl alcohol | 0.5 | Sour, pungent | 85.94 ± 5.05 bc | 87.84 ± 5.42 bc | 101.42 ± 9.60 a | 100.37 ± 3.52 a | 96.86 ± 9.22 ab | 58.28 ± 3.59 d | 79.68 ± 2.98 c |
| 1-octene-3-ol | 0.007 | Mushroom fragrance | − | 106.57 ± 9.17 e | 224.22 ± 8.62 a | 178.42 ± 19.68 d | 201.00 ± 14.91 bc | 207.58 ± 1.76 ab | 182.19 ± 8.23 cd |
| 2-octyne-1-ol | 0.003 | − | 24.59 ± 1.70 c | 20.32 ± 2.78 c | 24.86 ± 0.29 c | 57.40 ± 6.50 a | 31.40 ± 2.88 b | 20.55 ± 0.40 c | 13.09 ± 0.86 d |
| (E)-2-octene-1-ol | 0.02 | − | 9.20 ± 0.65 c | 7.88 ± 0.24 c | 14.18 ± 2.02 b | 41.97 ± 3.54 a | 10.74 ± 1.42 c | 7.93 ± 0.16 c | 8.78 ± 0.42 c |
| Eudesmol | 0.003 | Herb | − | 5.28 ± 1.72 d | 4.41 ± 0.06 d | 26.14 ± 1.73 a | 13.60 ± 2.72 b | 8.19 ± 0.14 c | 10.67 ± 0.82 c |
| Linalool | 0.006 | Lily | 4.48 ± 1.26 c | 7.33 ± 1.24 b | 5.61 ± 1.09 c | 44.75 ± 1.13 a | 3.99 ± 0.41 c | 5.51 ± 0.38 c | 8.22 ± 0.70 b |
| 1-nonanol | 0.05 | − | 9.22 ± 1.14 b | 8.56 ± 2.44 bc | 12.28 ± 1.10 a | 9.27 ± 1.11 b | 6.74 ± 1.30 cd | 5.83 ± 0.37 d | 5.69 ± 0.25 d |
| Aldehydes (11) | |||||||||
| Pentanal | 0.012 | Pungent | 14.59 ± 1.75 bcd | 13.75 ± 1.61 cd | 18.23 ± 0.83 abc | 13.02 ± 2.76 d | 19.69 ± 0.85 a | 14.56 ± 2.43 bcd | 18.73 ± 4.68 ab |
| Hexanal | 0.0039 | Beany, grassy | 55.19 ± 1.60 d | 39.57 ± 0.27 e | 81.22 ± 4.08 c | 59.99 ± 1.68 d | 153.63 ± 6.59 a | 106.16 ± 6.03 b | 56.73 ± 2.82 d |
| Heptanal | 0.0028 | Tallow | 7.29 ± 0.86 cd | 7.32 ± 0.16 cd | 8.50 ± 1.48 bc | 6.60 ± 1.06 d | 12.16 ± 0.81 a | 9.05 ± 0.58 b | 7.78 ± 0.24 bcd |
| Octanal | 0.0008 | Citrus-like | 9.90 ± 1.53 b | 12.49 ± 2.16 b | 10.32 ± 1.39 b | 18.22 ± 2.15 a | 16.03 ± 2.53 a | 9.29 ± 0.57 b | 10.09 ± 0.80 b |
| Benzaldehyde | 0.35 | Almond | − | − | 36.86 ± 0.57 b | 38.77 ± 0.57 b | 58.36 ± 3.95 a | 36.27 ± 2.11 b | 38.91 ± 2.63 b |
| Phenylacetaldehyde | 0.004 | Honey | 14.17 ± 0.23 cd | 13.36 ± 2.22 cd | 15.95 ± 2.31 bc | 43.37 ± 0.37 a | 18.73 ± 2.77 b | 13.03 ± 0.94 cd | 11.06 ± 0.14 d |
| Nonanal | 0.015 | Flower, orange | 50.85 ± 1.66 b | 49.46 ± 1.01 b | 28.96 ± 2.12 c | 82.06 ± 1.78 a | 43.98 ± 9.73 b | 23.28 ± 0.42 c | 28.55 ± 4.07 c |
| (E)-2-nonenal | 0.00019 | Fatty, tallow | 9.20 ± 0.65 b | 10.48 ± 0.27 a | 7.32 ± 0.48 d | 9.04 ± 0.60 b | 8.64 ± 0.86 b | 6.39 ± 0.22 e | 5.05 ± 0.14 f |
| Decanal | 0.005 | Fatty | 12.86 ± 0.82 c | 24.20 ± 0.62 a | 15.24 ± 1.96 c | 20.42 ± 1.11 ab | 20.23 ± 5.17 ab | 14.91 ± 1.42 c | 17.04 ± 2.13 bc |
| (E,E)-2, 4-octandienal | 0.00001 | − | − | − | 10.11 ± 0.98 a | 18.99 ± 0.45 b | − | − | − |
| 2,4-undecadienal | 0.00001 | − | 8.29 ± 0.90 a | 4.23 ± 0.64 b | 8.14 ± 0.29 a | 4.42 ± 0.74 b | 5.20 ± 0.19 b | 5.45 ± 1.26 b | − |
| Ketones (3) | |||||||||
| 3-octanone | 0.057 | − | 11.38 ± 0.84 e | 17.03 ± 1.12 d | 30.45 ± 2.61 a | 26.35 ± 1.63 b | 24.06 ± 0.57 bc | 23.21 ± 0.20 c | 18.03 ± 0.75 d |
| 2-nonanone | 0.05 | Coconut-like | 8.67 ± 0.08 b | 7.50 ± 1.30 bc | 6.02 ± 1.94 cd | 39.41 ± 2.72 a | 4.22 ± 0.46 d | 4.35 ± 0.26 d | 6.66 ± 0.03 bcd |
| 2-heptanone | 0.14 | − | 7.80 ± 0.76 e | 10.83 ± 0.49 d | 11.96 ± 1.78 cd | 13.75 ± 1.28 c | 16.74 ± 1.44 b | 12.60 ± 0.51 cd | 22.69 ± 0.07 a |
| Phenols (2) | |||||||||
| Eugenol | 0.0071 | Clove | − | 23.64 ± 3.26 d | 39.99 ± 3.68 b | 28.84 ± 0.12 c | 28.05 ± 1.76 c | 27.28 ± 1.83 cd | 52.67 ± 1.69 a |
| 4-ethenyl-2-Methoxyphenol | 0.00001 | − | 10.22 ± 0.97 d | 16.01 ± 1.98 c | 11.74 ± 0.84 d | 31.36 ± 0.04 a | 21.06 ± 1.45 b | 17.24 ± 0.33 c | 29.35 ± 3.17 a |
| Others (3) | |||||||||
| Isovaleric acid | 0.1 | Acid, rancid | − | 12.90 ± 5.02 c | 10.47 ± 0.54 a | 9.60 ± 1.15 a | 5.79 ± 2.05 b | 4.77 ± 0.93 b | − |
| 2-pentylfuran | 0.0058 | Beany | 120.44 ± 8.32 ab | 75.61 ± 7.34 d | 126.84 ± 9.71 a | 112.52 ± 6.23 b | 93.25 ± 7.17 c | 98.25 ± 7.82 c | 87.05 ± 4.43 cd |
| 2,5-Dimethyl-3-Ethylpyrazine | 0.0086 | Roast | − | 7.14 ± 1.31 c | 13.552 ± 0.56 b | 36.54 ± 1.46 a | 2.91 ± 1.58 d | 4.16 ± 0.12 d | − |
Publisher’s Note: MDPI stays neutral with regard to jurisdictional claims in published maps and institutional affiliations. |
© 2022 by the authors. Licensee MDPI, Basel, Switzerland. This article is an open access article distributed under the terms and conditions of the Creative Commons Attribution (CC BY) license (https://creativecommons.org/licenses/by/4.0/).
Share and Cite
Wu, W.; Wang, Z.; Xu, B.; Cai, J.; Cheng, J.; Mu, D.; Wu, X.; Li, X. Exploring Core Microbiota Based on Characteristic Flavor Compounds in Different Fermentation Phases of Sufu. Molecules 2022, 27, 4933. https://doi.org/10.3390/molecules27154933
Wu W, Wang Z, Xu B, Cai J, Cheng J, Mu D, Wu X, Li X. Exploring Core Microbiota Based on Characteristic Flavor Compounds in Different Fermentation Phases of Sufu. Molecules. 2022; 27(15):4933. https://doi.org/10.3390/molecules27154933
Chicago/Turabian StyleWu, Wei, Zhuochen Wang, Boyang Xu, Jing Cai, Jianghua Cheng, Dongdong Mu, Xuefeng Wu, and Xingjiang Li. 2022. "Exploring Core Microbiota Based on Characteristic Flavor Compounds in Different Fermentation Phases of Sufu" Molecules 27, no. 15: 4933. https://doi.org/10.3390/molecules27154933
APA StyleWu, W., Wang, Z., Xu, B., Cai, J., Cheng, J., Mu, D., Wu, X., & Li, X. (2022). Exploring Core Microbiota Based on Characteristic Flavor Compounds in Different Fermentation Phases of Sufu. Molecules, 27(15), 4933. https://doi.org/10.3390/molecules27154933
