Corrosion Inhibition of Mild Steel in Hydrochloric Acid Environment Using Terephthaldehyde Based on Schiff Base: Gravimetric, Thermodynamic, and Computational Studies
Abstract
:1. Introduction
2. Results and Discussion
2.1. Gravimetric Techniques
2.2. Effect of Time
2.3. Effect of Temperature
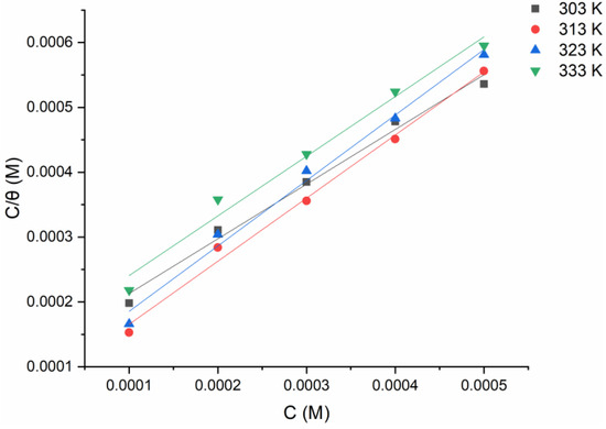
2.4. Adsorption Isotherm
2.5. Potentiodynamic Polarization Measurements
2.6. Electrochemical Measurements
2.7. Surface Study
2.8. Quantum Chemical Computations
2.9. Mulliken Charges
2.10. Suggested Corrosion-Inhibition Mechanism
3. Materials and Methods
3.1. Synthesis of the Corrosion Inhibitor
3.2. Mild Steel
3.3. Medium
3.4. Weight-Loss Measurements
3.5. Electrochemical Data
3.6. Surface Scanning Electron Microscope
3.7. Computational Studies
4. Conclusions
- PMBMH has the maximum efficiency of 95% at 303 K and is a potential steel corrosion inhibitor in 1.0 M HCl. The heteroatoms and benzene rings in the PMBMH’s structure are responsible for its considerable inhibitory efficiency;
- Gravimetric tests showed that the inhibition performance increases with the concentration, with the tested corrosion inhibitor’s peak inhibition efficiency being 95% at the ideal concentration (0.0005 M);
- The inhibitor tends to be weakly bonded to the metal surface, and the efficacy of inhibition reduces as the temperature increases. On metallic surfaces, it is anticipated that it will take part in chemical adsorption;
- The electrochemical-experiment findings indicated that PMBMH shields mild-steel corrosion because a shielding inhibitor coating forms at the steel–electrolyte interface;
- The value of the Gads obtained is used to propose chemisorption and physisorption phenomena, and the adsorption process is spontaneous;
- Quantum chemistry simulations demonstrate that the tested inhibitor molecules adsorb onto a mild-steel surface utilizing sulfur, oxygen, and nitrogen heteroatoms, in addition to the pi-electrons of the benzene rings, as their efficient centers;
- As a result, the findings of the experiments and theoretical analysis are in good accord.
Author Contributions
Funding
Institutional Review Board Statement
Informed Consent Statement
Data Availability Statement
Acknowledgments
Conflicts of Interest
Sample Availability
References
- Yadav, M.; Yadav, P.; Sharma, U. Substituted imidazoles as corrosion inhibitors for N80 steel in hydrochloric acid. Indian J. Chem. Technol. 2013, 20, 363–370. [Google Scholar]
- Zarrok, H.; Assouag, M.; Zarrouk, A.; Oudda, H.; Hallaoui, A.; Touzani, R.; Allali, M.; Hammouti, B.; El Hezzat, M.; Bouachrine, M. Quantum chemical study on the corrosion inhibition of some bipyrazoles. Res. J. Pharm. Biol. Chem. Sci. 2015, 6, 1853–1860. [Google Scholar]
- Gece, G. The use of quantum chemical methods in corrosion inhibitor studies. Corros. Sci. 2008, 50, 2981–2992. [Google Scholar] [CrossRef]
- Obot, I.B.; Macdonald, D.D.; Gasem, Z.M. Density functional theory (DFT) as a powerful tool for designing new organic corrosion inhibitors. Part 1: An overview. Corros. Sci. 2015, 99, 1–30. [Google Scholar] [CrossRef]
- Camacho-Mendoza, R.L.; Gutiérrez-Moreno, E.; Guzmán-Percástegui, E.; Aquino-Torres, E.; Cruz-Borbolla, J.; Rodríguez-Ávila, J.A.; Alvarado-Rodríguez, J.G.; Olvera-Neria, O.; Thangarasu, P.; Medina-Franco, J.L. Density Functional Theory and Electrochemical Studies: Structure-Efficiency Relationship on Corrosion Inhibition. J. Chem. Inf. Model. 2015, 55, 2391–2402. [Google Scholar] [CrossRef] [PubMed]
- Rubaye, A.; Abdulwahid, A.; Al-Baghdadi, S.B.; Al-Amiery, A.; Kadhum, A.; Mohamad, A. Cheery sticks plant extract as a green corrosion inhibitor complemented with LC-EIS/MS spectroscopy. Int. J. Electrochem. Sci. 2015, 10, 8200–8209. [Google Scholar]
- Bockris, J.O.M.; Reddy, A.K.N. Modern Electrochemistry; Plenum Press: New York, NY, USA, 1997; Volume 2. [Google Scholar]
- Abdallah, M.; Fawzy, A.; Hawsawi, H.; Hameed, R.S.A.; Al-Juaid, S.S. Estimation of water-soluble polymeric materials (Poloxamer and Pectin) as corrosion inhibitors for carbon steel in acidic medium. Int. J. Electrochem. Sci. 2020, 15, 8129–8144. [Google Scholar] [CrossRef]
- Abdallah, M.; Hazazi, O.A.; Fawzy, A.; El-Shafei, S.; Fouda, A.S. Influence of N-thiazolyl-2-cyanoacetamide derivatives on the corrosion of aluminum in 0.01M sodium hydroxide. Prot. Met. Phys. Chem. Surf. 2014, 50, 659–666. [Google Scholar] [CrossRef]
- Issaadi, S.; Douadi, T.; Zouaoui, A.; Chafaa, S.; Khan, M.A.; Bouet, G. Novel thiophene symmetrical Schif base compounds as corrosion inhibitor for mild steel in acidic media. Corros. Sci. 2011, 53, 1484–1488. [Google Scholar] [CrossRef] [Green Version]
- Fu, L.; Xiong, Y.; Chen, S.; Long, Y. Trace copper ion detection by the suppressed decolorization of chromotrope 2R complex. Anal. Methods 2015, 7, 266–270. [Google Scholar] [CrossRef]
- Bockris, J.O.; Swinkels, D.A.J. Adsorption of n-decylamine on solid metal electrodes. J. Electrochem. Soc. 1964, 11, 736–744. [Google Scholar] [CrossRef]
- Dean, S.W.; Grab, G.D. Corrosion of carbon steel by concentrated sulfuric acid. Mater. Perform. 2012, 58, 1–11. [Google Scholar] [CrossRef]
- Chaouiki, A.; Chafiq, M.; Lgaz, H.; Al-Hadeethi, M.; Ali, I.; Masroor, S.; Chung, I. Green Corrosion Inhibition of Mild Steel by Hydrazone Derivatives in 1.0 M HCl. Coatings 2020, 10, 640. [Google Scholar] [CrossRef]
- Jacob, K.; Parameswaran, G. Corrosion inhibition of mild steel in hydrochloric acid solution by Schiff base furoin thiosemicarbazone. Corros. Sci. 2010, 52, 224–228. [Google Scholar] [CrossRef]
- Xu, B.; Yang, W.; Liu, Y.; Yin, X.; Gong, W.; Chen, Y. Experimental and theoretical evaluation of two pyridinecarboxaldehyde thiosemicarbazone compounds as corrosion inhibitors for mild steel in hydrochloric acid solution. Corros. Sci. 2014, 78, 260–268. [Google Scholar] [CrossRef]
- Lgaz, H.; Salghi, R.; Jodeh, B.; Hammouti, B. Effect of clozapine on inhibition of mild steel corrosion in 1.0 M HCl medium. J. Mol. Liq. 2017, 225, 271–280. [Google Scholar] [CrossRef]
- Naciri, M.; El Aoufir, Y.; Lgaz, H.; Lazrak, F.; Ghanimi, A.; Guenbour, A.; Ali, I.; El Moudane, M.; Taoufik, J.; Chung, J. Exploring the potential of a new 1,2,4-triazole derivative for corrosion protection of carbon steel in HCl: A computational and experimental evaluation. Colloids Surf. A Physicochem. Eng. Asp. 2020, 597, 124604. [Google Scholar] [CrossRef]
- Hsissou, R.; Dagdag, O.; Benhiba, A.; Berradi, M.; El Bouchti, M.; Berisha, A.; Hajjaji, N.; Elharfi, A. Novel derivative epoxy resin TGETET as a corrosion inhibition of E24 carbon steel in 1.0M HCl solution. Experimental and computational (DFT and MD simulations) methods. J. Mol. Liq. 2019, 284, 182–192. [Google Scholar] [CrossRef]
- Abdelwedoud, B.; Damej, M.; Tassaoui, K.; Berisha, A.; Tachallait, H.; Bougrin, K.; Mehmeti, V.; Benmessaoud, M. Inhibition effect of N-propargyl saccharin as corrosion inhibitor of C38 steel in 1 M HCl, experimental and theoretical study. J. Mol. Liq. 2022, 354, 118784. [Google Scholar] [CrossRef]
- Azgaou, K.; Damej, M.; El Hajjaji, S.; Sebbar, N.; Elmsellem, H.; Ibrahimi, B.; Benmessaoud, M. Synthesis and characterization of N-(2-aminophenyl)-2-(5-methyl-1H-pyrazol-3-yl) acetamide (AMPA) and its use as a corrosion inhibitor for C38 steel in 1 M HCl. Experimental and theoretical study. J. Mol. Struct. 2022, 1266, 133451. [Google Scholar] [CrossRef]
- Negm, N.; Kandile, N.; Badar, E.; Mohammed, M. Gravimetric and electrochemical evaluation of environmentally friendly nonionic corrosion inhibitors for carbon steel in 1 M HCl. Corros. Sci. 2012, 65, 94–103. [Google Scholar] [CrossRef]
- Madkour, L.; Kaya, S.; Obot, I. Computational, Monte Carlo simulation and experimental studies of some arylazotriazoles (AATR) and their copper complexes in corrosion inhibition process. J. Mol. Liq. 2018, 260, 351–374. [Google Scholar] [CrossRef]
- Singh, P.; Srivastava, V.; Quraishi, M. Novel quinoline derivatives as green corrosion inhibitors for mild steel in acidic medium: Electrochemical, SEM, AFM, and XPS studies. J. Mol. Liq. 2016, 216, 164–173. [Google Scholar] [CrossRef]
- Haque, J.; Ansari, K.R.; Srivastava, V.; Quraishi, M.A.; Obot, I.B. Pyrimidine derivatives as novel acidizing corrosion inhibitors for N80 steel useful for petroleum industry: A combined experimental and theoretical approach. J. Ind. Eng. Chem. 2017, 49, 176–188. [Google Scholar] [CrossRef]
- Anusuya, N.; Saranya, J.; Sounthari, P.; Zarrouk, A.; Chitr, S. Corrosion inhibition and adsorption behaviour of some bis-pyrimidine derivatives on mild steel in acidic medium. J. Mol. Liq. 2017, 225, 406–417. [Google Scholar] [CrossRef]
- Li, X.; Deng, S.; Lin, T.; Xie, X.; Du, G. 2-Mercaptopyrimidine as an effective inhibitor for the corrosion of cold rolled steel in HNO3 solution. Corros. Sci. 2017, 118, 202–216. [Google Scholar] [CrossRef]
- Al-Baghdadi, S.B.; Al-Amiery, A.A.; Gaaz, T.S.; Kadhum, A.A.H. Terephthalohydrazide and isophthalo-hydrazide as new corrosion inhibitors for mild steel in hydrochloric acid: Experimental and theoretical approaches. Koroze Ochr. Mater. 2021, 65, 12–22. [Google Scholar] [CrossRef]
- Hanoon, M.M.; Resen, A.M.; Shaker, L.M.; Kadhum, A.A.H.; Al-Amiery, A.A. Corrosion investigation of mild steel in aqueous hydrochloric acid environment using n-(Naphthalen-1yl)-1-(4-pyridinyl)methanimine complemented with antibacterial studies. Biointerface Res. Appl. Chem. 2021, 11, 9735–9743. [Google Scholar]
- Al-Baghdadi, S.; Gaaz, T.S.; Al-Adili, A.; Al-Amiery, A.A.; Takriff, M.S. Experimental studies on corrosion inhibition performance of acetylthiophene thiosemicarbazone for mild steel in HCl complemented with DFT investigation. Int. J. Low-Carbon Technol. 2021, 16, 181–188. [Google Scholar] [CrossRef]
- Al-Amiery, A.A. Anti-corrosion performance of 2-isonicotinoyl-n-phenylhydrazinecarbothioamide for mild steel hydrochloric acid solution: Insights from experimental measurements and quantum chemical calculations. Surf. Rev. Lett. 2021, 28, 2050058. [Google Scholar] [CrossRef]
- Obot, I.; Obi-Egbedi, N.; Umoren, S. Adsorption characteristics and corrosion inhibitive properties of clotrimazole for aluminium corrosion in hydrochloric acid. Int. J. Electrochem. Sci. 2009, 4, 863–877. [Google Scholar]
- Sliem, M.H.; El Basiony, N.M.; Zaki, E.G.; Sharaf, M.A.; Abdullah, A.M. Corrosion Inhibition of Mild Steel in Sulfuric Acid by a Newly Synthesized Schiff Base: An Electrochemical, DFT, and Monte Carlo Simulation Study. Electroanalysis 2020, 32, 3145–3158. [Google Scholar] [CrossRef]
- Obot, I.; Obi-Egbedi, N.; Umoren, S. Antifungal drugs as corrosion inhibitors for aluminium in 0.1 M HCl. Corros. Sci. 2009, 51, 1868–1875. [Google Scholar] [CrossRef]
- Quraishi, M.; Ansari, F.; Jamal, D. Thiourea derivatives as corrosion inhibitors for mild steel in formic acid. Mater. Chem. Phys. 2003, 77, 687–690. [Google Scholar] [CrossRef]
- Popova, A. Temperature effect on mild steel corrosion in acid media in presence of azoles. Corros. Sci. 2007, 49, 2144–2158. [Google Scholar] [CrossRef]
- Li, W.; He, Q.; Zhang, S.; Pei, C.; Hou, B. Some new triazole derivatives as inhibitors for mildsteel corrosion in acidic medium. J. Appl. Electrochem. 2008, 38, 289–295. [Google Scholar] [CrossRef]
- Ferreira, E.S.; Giacomelli, C.; Giacomelli, F.C.; Spinelli, A. Evaluation of the inhibitor effect of L-ascorbic acid on the corrosion of mild steel. Mater. Chem. Phys. 2004, 83, 129–134. [Google Scholar] [CrossRef]
- Ramesh Saliyan, V.; Adhikari, A.V. Quinolin-5-ylmethylene-3-{[8-(trifluoromethyl)quinolin-4-yl]thio}propanohydrazide as an effective inhibitor of mild steel corrosion in HCl solution. Corros. Sci. 2008, 50, 55–61. [Google Scholar] [CrossRef]
- Pardo, A.; Merino, M.C.; Arrabal, R.; Feliu, S., Jr.; Viejo, F.; Carboneras, M. Enhanced corrosion resistance of A3xx.x/SiCp composites in chloride media by La surface treatments. Electrochim. Acta. 2006, 51, 4367–4378. [Google Scholar] [CrossRef]
- Popova, A.; Christov, M. Evaluation of impedance measurements on mild steel corrosion in acidmedia in the presence of heterocyclic compounds. Corros. Sci. 2005, 48, 3208–3221. [Google Scholar] [CrossRef]
- Khaled, K.F. The inhibition of benzimidazole derivatives on corrosion of iron in 1 M HClsolutions. Electrochim. Acta 2003, 48, 2493–2503. [Google Scholar] [CrossRef]
- Hleli, S.; Abdelghani, A.; Tlili, A. Impedance spectroscopy technique for DNA hybridization. Sensors 2003, 3, 472–479. [Google Scholar] [CrossRef]
- Meyer, Y.A.; Menezes, I.; Bonatti, R.S.; Bortolozo, A.D.; Osório, W.R. EIS Investigation of the Corrosion Behavior of Steel Bars Embedded into Modified Concretes with Eggshell Contents. Metals 2022, 12, 417. [Google Scholar] [CrossRef]
- Bonatti, R.S.; Meyer, Y.A.; Padilha, P.G.; Bortolozo, P.A.; Osório, W.R. Silicon Content Affecting Corrosion Behavior of Alp/Sip Composites in a Biodiesel Blend. Corrosion 2020, 76, 1109–1121. [Google Scholar] [CrossRef]
- Duarte, T.; Meyer, Y.A.; Osório, W.R. The Holes of Zn Phosphate and Hot Dip Galvanizing on Electrochemical Behaviors of Multi-Coatings on Steel Substrates. Metals 2022, 12, 863. [Google Scholar] [CrossRef]
- Fu, J.; Zang, H.; Wang, Y.; Li, S.; Chen, T.; Liu, X. Experimental and theoretical study on the inhibition performances of quinoxaline and its derivatives for the corrosion of mild steel in hydrochloric acid. Ind. Eng. Chem. Res. 2012, 51, 6377–6386. [Google Scholar] [CrossRef]
- Saha, S.K.; Ghosh, P.; Hens, A.; Murmu, N.C.; Banerjee, P. Density functional theory and molecular dynamics simulation study on corrosion inhibition performance of mild steel by mercapto-quinoline Schiff base corrosion inhibitor. Physica E 2015, 66, 332–341. [Google Scholar] [CrossRef]
- Fouda, A.S.; Ismail, M.A.; Temraz, A.M.; Abousalem, A.S. Comprehensive investigations on the action of cationic terthiophene and bithiophene as corrosion inhibitors: Experimental and theoretical studies. New J. Chem. 2019, 43, 768–789. [Google Scholar] [CrossRef]
- Saha, S.K.; Banerjee, P. Introduction of newly synthesized Schiff base molecules as efficient corrosion inhibitors for mild steel in 1 M HCl medium: An experimental, density functional theory and molecular dynamics simulation study. Mater. Chem. Front. 2018, 2, 1674–1691. [Google Scholar] [CrossRef]
- Chen, R.; Fan, F.; Dittrich, T.; Li, C. Imaging photogenerated charge carriers on surfaces and interfaces of photocatalysts with surface photovoltage microscopy. Chem. Soc. Rev. 2018, 47, 8238–8262. [Google Scholar] [CrossRef]
- Guo, L.; Obot, I.B.; Zheng, X.; Shen, X.; Qiang, Y.; Kaya, S.; Kaya, C. Theoretical insight into an empirical rule about organic corrosion inhibitors containing nitrogen, oxygen, and sulfur atoms. Appl. Surf. Sci. 2017, 406, 301–306. [Google Scholar] [CrossRef]
- Masoud, M.; Awad, M.; Shaker, M.; El-Tahawy, M. The role of structural chemistry in the inhibitive performance of some aminopyrimidines on the corrosion of steel. Corros. Sci. 2010, 52, 2387–2396. [Google Scholar] [CrossRef]
- Mert, B.D.; Yüce, A.O.; Kardaş, G.; Yazıcı, B. Inhibition effect of 2-amino-4-methylpyridine on mild steel corrosion: Experimental and theoretical investigation. Corros. Sci. 2014, 85, 287–295. [Google Scholar] [CrossRef]
- Labjar, N.; Bentiss, F.; Lebrini, M.; Jama, C.; El hajjaji, S. Study of Temperature Effect on the Corrosion Inhibition of C38 Carbon Steel Using Amino-tris(Methylenephosphonic) Acid in Hydrochloric Acid Solution. Int. J. Corros. 2011, 2011, 548528. [Google Scholar] [CrossRef] [Green Version]
- Al-Sabagh, A.; El Basiony, N.; Sadeek, S.; Migahed, M. Scale and corrosion inhibition performance of the newly synthesized anionic surfactant in desalination plants: Experimental, and theoretical investigations. Desalination 2018, 437, 45–58. [Google Scholar] [CrossRef]
- Ebenso, E.E.; Arslan, T.; Kandemirli, F.; Caner, N.; Love, I. Quantum chemical studies of some rhodanine azosulpha drugs as corrosion inhibitors for mild steel in acidic medium. Int. J. Quantum Chem. 2010, 110, 1003–1018. [Google Scholar] [CrossRef]
- Assad, N.; Abdul-Hameed, F.; Yousif, E.; Balakit, A. Synthesis of Thiophene Derivative and its Use as Zinc Metal Corrosion Inhibitor in Hydrochloric Acid Solution. ANJS 2018, 18, 69–78. [Google Scholar] [CrossRef]
- Alamiery, A.A.; Wan Isahak, W.N.R.; Takriff, M.S. Inhibition of Mild Steel Corrosion by 4-benzyl-1-(4-oxo-4-phenylbutanoyl)thiosemicarbazide: Gravimetrical, Adsorption and Theoretical Studies. Lubricants 2021, 9, 93. [Google Scholar] [CrossRef]
- Ramya, K.; Mohan, R.; Anupama, K.K. Abraham Joseph, Electrochemical and theoretical studies on the synergistic interaction and corrosion inhibition of alkyl benzimidazoles and thiosemicarbazide pair on mild steel in hydrochloric acid. Mater. Chem. Phys. 2015, 149–150, 632–647. [Google Scholar] [CrossRef]
- TM0193-2016-SG; NACE International, Laboratory Corrosion Testing of Metals in Static Chemical Cleaning Solutions at Temperatures below 93 °C (200 °F), The standard procedure for immersion testing as detailed in NACE TM0169/G31. 2000.
- ASTM G-31-72; Standard Recommended Practice for the Laboratory Immersion Corrosion Testing of Metals. ASTM: Philaldelphia, PA, USA, 1990; p. 401.
- Zhang, X.L.; Jiang, Z.H.; Yao, Z.P.; Song, Y.; Wu, Z.D. Effects of scan rate on the potentiodynamic polarization curve obtained to determine the Tafel slopes and corrosion current density. Corros. Sci. 2009, 51, 581–587. [Google Scholar] [CrossRef]
- McCafferty, E. Validation of corrosion rates measured by Tafel extrapolation method. Corros. Sci. 2005, 47, 3202–3215. [Google Scholar] [CrossRef]
- Koopmans, T. Ordering of wave functions and eigenenergy’s to the individual electrons of an atom. Physica 1933, 1, 104–113. [Google Scholar] [CrossRef]












| Corrosion Inhibitor | Metal | Acid | IE% | Ref. |
|---|---|---|---|---|
| PMBMH | Mild steel | HCl | 95.7 | - |
| (E)-N0 -(2,4-dimethoxybenzylidene)-2-(6-methoxynaphthalen-2-yl) propanehydrazide | Mild steel | HCl | 95 | [14] |
| N0-cyclohexylidene-2-(6-methoxynaphthalen-2-yl) propanehydrazide | Mild steel | HCl | 86 | [14] |
| Furoin thiosemicarbazone | Mild steel | HCl | 98.7 | [15] |
| 2-pyridinecarboxaldehyde thiosemicarbazone | Mild steel | HCl | 89.7 | [16] |
| 4-pyridinecarboxaldehyde thiosemicarbazone | Mild steel | HCl | 85.5 | [16] |
| clozapine | Mild steel | HCl | 96 | [17] |
| 5-hexylsulfanyl-1,2,4-triazole | Mild steel | HCl | 97 | [18] |
| triglycidyl ether of triethoxy triazine | Carbon steel | HCl | 88 | [19] |
| N-propargyl saccharin | C38 steel | HCl | 90 | [20] |
| N-(2-aminophenyl)-2-(5-methyl-1H-pyrazol-3-yl) acetamide | C38 steel | HCl | 93 | [21] |
| dodecyl vanillin–glycine Schiff base | Carbon steel | H2SO4 | 74.4 | [22] |
| hexadecyl vanillin–glycine Schiff base | Carbon steel | HCl | 78.5 | [22] |
| octadecyl vanillin–glycine Schiff base | Carbon steel | HCl | 80.8 | [22] |
| oleic acid vanillin–glycine Schiff base | Carbon steel | HCl | 81.9 | [22] |
| 3-(3-formyl-4-hydroxy- l-phenylazo) - l, 2, 4-triazole | Copper | HNO3 | 97 | [23] |
| 3-(2-hydroxy-5-methyl- l -phenylazo) - l, 2, 4-triazole | Copper | HNO3 | 95.8 | [23] |
| 3-(4-hydroxy-l-phenylazo)-l, 2, 4-triazole | Copper | HNO3 | 97.2 | [23] |
| 2-amino-7-hydroxy-4-phenyl-1,4- dihydroquinoline-3-carbonitrile | Mild steel | HCl | 93.3 | [24] |
| 2-amino-7-hydroxy-4-(p-tolyl)-1,4 dihydroquinoline-3-carbonitrile | Mild steel | HCl | 92.8 | [24] |
| 2- , 2-amino-7-hydroxy-4-(4-methoxyphenyl)-1,4 dihydroquinoline-3 carbonitrile | Mild steel | HCl | 96.6 | [24] |
| 2-amino-4-(4- (dimethylamino)phenyl)-7-hydroxy-1,4-dihydroquinoline-3-carbonitrile | Mild steel | HCl | 98 | [24] |
| y 5-Styryl-2,7- dithioxo-2,3,5,6,7,8- hexahydropyrimido [4,5-d] pyrimidin-4(1H) one | Carbon steel | HCl | 89.1 | [25] |
| 5-(2- Hydroxyphenyl)-2,7-dithioxo-2,3,5,6,7,8- hexahydropyrimido [4,5-d]-pyrimidin-4(1H) one | N80 steel | HCl | 73.1 | [25] |
| 5-(2,5-dimethylthiophen-3yl)-4-(4-(6-(2,5-dimethylthiophen-3-yl)-2-hydroxypyrimidin-4- yl)phenyl)pyrimidin-2-ol | Mild steel | H2SO4 | 98.3 | [26] |
| 5-(2,5-dimethylthiophen-3yl)-4-(4-(6-(2,5-dimethylthiophen-3-yl)-2-mercaptopyrimidin-4- yl)phenyl) pyrimidin-2-thiol | Mild steel | H2SO4 | 99.3 | [26] |
| 2-chloropyrimidine | Cold rolled steel | HNO3 | 14.5 | [27] |
| 2-hydroxypyrimidine | Cold rolled steel | HNO3 | 23.0 | [27] |
| 2-bromopyrimidine | Cold rolled steel | HNO3 | 27.2 | [27] |
| 2-aminopyrimidine | Cold rolled steel | HNO3 | 35.0 | [27] |
| 2-mercaptopyrimidine | Cold rolled steel | HNO3 | 99.1 | [27] |
| 2-((6-methyl-2-ketoquinoUne-3-yl)methylene) hydrazinecarbothioamide | Mild steel | HCl | 95.8 | [28] |
| 4-(6-methylcoumarin)acetohydrazide | Mild steel | HCl | 94.5 | [29] |
| 4-(Benzoimidazole-2-yl)pyridine | Mild steel | HCl | 93.8 | [30] |
| 5,5′-(1,4-phenylene)bis(N-phenyl-1,3,4-thiadiazol-2-amine) | Mild steel | HCl | 94 | [31] |
| C (M) | |||
|---|---|---|---|
| Blank | 63.11 | 60.43 | 57.58 |
| 0.0001 | 51.46 | 52.65 | 123.54 |
| 0.0002 | 47.85 | 50.45 | 120.43 |
| 0.0003 | 45.35 | 47.67 | 124.43 |
| 0.0004 | 43.63 | 45.73 | 131.84 |
| 0.0005 | 41.78 | 43.76 | 140.46 |
| 0.001 | 39.85 | 42.10 | 151.65 |
| Conc. M | Ecorr (V) | βa (mV/dec) | βc (mV/dec) | i corr (μA·cm−2) | IE (%) |
|---|---|---|---|---|---|
| 0.000 | –0.46 | 120 | 140 | 663.8 ± 1.83 | 0 |
| 0.0001 | –0.49 | 118.7 | 131.5 | 400.3 ± 5.03 | 67.1 |
| 0.0002 | –0.52 | 131.5 | 133.2 | 230.1 ± 3.70 | 73.5 |
| 0.0003 | –0.54 | 88.5 | 131.6 | 110.4 ± 2.93 | 84.7 |
| 0.0004 | –0.51 | 67.5 | 100.5 | 90.4 ± 1.84 | 87.4 |
| 0.0005 | –0.41 | 55.3 | 105.5 | 61.9 ± 4.77 | 92.3 |
| Conc. (M) | Rs (Ω cm2) | Rct (Ω cm2) | Cdl (μF) | IE% |
|---|---|---|---|---|
| Blank | 2.047 | 54.85 | 493 | 0 |
| 0.0001 | 1.915 | 115.04 | 289 | 57.5 |
| 0.0002 | 1.836 | 158.68 | 311 | 69.6 |
| 0.0003 | 2.246 | 274.28 | 458 | 78.6 |
| 0.0004 | 1.703 | 323.8 | 641 | 87.6 |
| 0.0005 | 1.453 | 475.92 | 678 | 91.1 |
| EHOMO | ELUMO | ΔE (eV) | A | I | χ (eV) | η (eV) | ΔN (eV) | μ (D) |
|---|---|---|---|---|---|---|---|---|
| −8.826 | −2.336 | 6.49 | 2.336 | 8.826 | 5.581 | 6.49 | 0. 0.0586 | 2.7364 |
![]() | |||||||||
| Atoms | Charges | Atoms | Charges | Atoms | Charges | Atoms | Charges | Atoms | Charges |
| C(1) | −0.0273 | C(8) | −0.1133 | C(15) | −0.1824 | N(22) | −0.2717 | C(29) | 0.0979 |
| C(2) | −0.1164 | N(9) | −0.2638 | C(16) | 0.0916 | N(23) | −0.0308 | C(30) | −0.1626 |
| C(3) | −0.1069 | N(10) | −0.0278 | C(17) | −0.2022 | C(24) | 0.1863 | C(31) | −0.0843 |
| C(4) | −0.0879 | C(11) | 0.179 | C(18) | −0.081 | S(25) | −0.3009 | C(32) | −0.1626 |
| C(5) | −0.1256 | S(12) | −0.2816 | C(19) | −0.1548 | N(26) | −0.2613 | O(33) | −0.2084 |
| C(6) | −0.0927 | N(13) | −0.2595 | O(20) | −0.2126 | C(27) | 0.0914 | C(34) | −0.0773 |
| C(7) | −0.1274 | C(14) | 0.0778 | C(21) | −0.0781 | C(28) | −0.2309 | H(35) | 0.1386 |
| C | Mn | Si | Al | S | P | Fe |
|---|---|---|---|---|---|---|
| 0.21% | 0.05% | 0.38% | 0.01% | 0.05% | 0.09% | balance |
Publisher’s Note: MDPI stays neutral with regard to jurisdictional claims in published maps and institutional affiliations. |
© 2022 by the authors. Licensee MDPI, Basel, Switzerland. This article is an open access article distributed under the terms and conditions of the Creative Commons Attribution (CC BY) license (https://creativecommons.org/licenses/by/4.0/).
Share and Cite
Mahdi, B.S.; Abbass, M.K.; Mohsin, M.K.; Al-azzawi, W.K.; Hanoon, M.M.; Al-kaabi, M.H.H.; Shaker, L.M.; Al-amiery, A.A.; Isahak, W.N.R.W.; Kadhum, A.A.H.; et al. Corrosion Inhibition of Mild Steel in Hydrochloric Acid Environment Using Terephthaldehyde Based on Schiff Base: Gravimetric, Thermodynamic, and Computational Studies. Molecules 2022, 27, 4857. https://doi.org/10.3390/molecules27154857
Mahdi BS, Abbass MK, Mohsin MK, Al-azzawi WK, Hanoon MM, Al-kaabi MHH, Shaker LM, Al-amiery AA, Isahak WNRW, Kadhum AAH, et al. Corrosion Inhibition of Mild Steel in Hydrochloric Acid Environment Using Terephthaldehyde Based on Schiff Base: Gravimetric, Thermodynamic, and Computational Studies. Molecules. 2022; 27(15):4857. https://doi.org/10.3390/molecules27154857
Chicago/Turabian StyleMahdi, Bahaa Sami, Muna Khethier Abbass, Mustafa Khudhair Mohsin, Waleed Khalid Al-azzawi, Mahdi M. Hanoon, Mohammed Hliyil Hafiz Al-kaabi, Lina M. Shaker, Ahmed A. Al-amiery, Wan Nor Roslam Wan Isahak, Abdul Amir H. Kadhum, and et al. 2022. "Corrosion Inhibition of Mild Steel in Hydrochloric Acid Environment Using Terephthaldehyde Based on Schiff Base: Gravimetric, Thermodynamic, and Computational Studies" Molecules 27, no. 15: 4857. https://doi.org/10.3390/molecules27154857
APA StyleMahdi, B. S., Abbass, M. K., Mohsin, M. K., Al-azzawi, W. K., Hanoon, M. M., Al-kaabi, M. H. H., Shaker, L. M., Al-amiery, A. A., Isahak, W. N. R. W., Kadhum, A. A. H., & Takriff, M. S. (2022). Corrosion Inhibition of Mild Steel in Hydrochloric Acid Environment Using Terephthaldehyde Based on Schiff Base: Gravimetric, Thermodynamic, and Computational Studies. Molecules, 27(15), 4857. https://doi.org/10.3390/molecules27154857


