Spectroscopic Studies of Mononuclear Molybdenum Enzyme Centers
Abstract
:1. Introduction
2. Electronic Absorption Spectroscopy
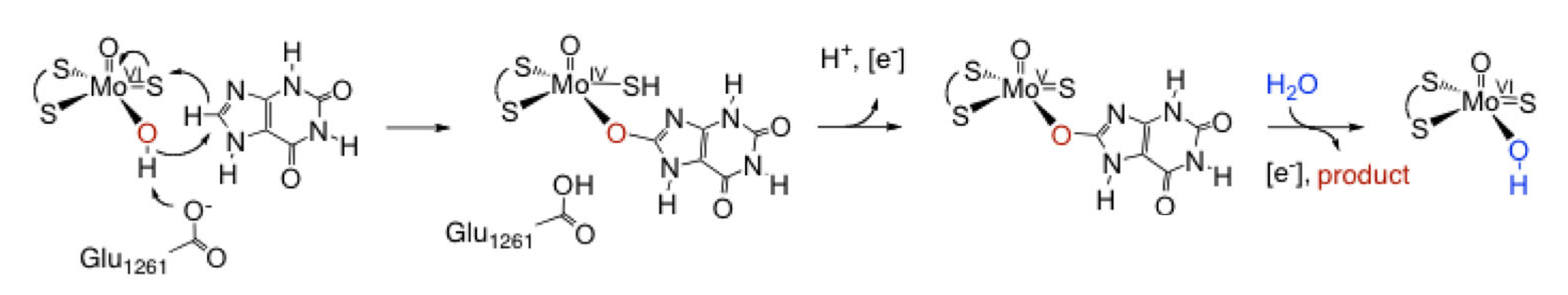
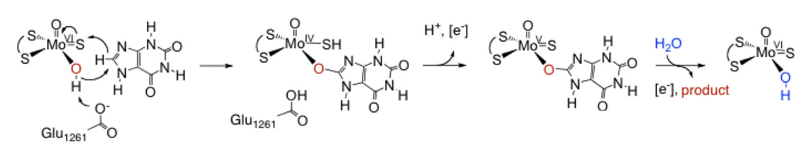
2.1. Xanthine Oxidase and Related Enzymes
2.2. Sulfite Oxidase and Related Enzymes
2.3. DMSO Reductase and Related Enzymes
3. EPR and Related Methods
3.1. Xanthine Oxidase Family Enzymes
3.2. III.B. Sulfite Oxidase Family Enzymes
3.3. III.C. DMSO Reductase Family Enzymes
4. X-ray Absorption Spectroscopy
4.1. The Molybdenum Insertase
4.2. Xanthine Oxidase and Related Enzymes
4.3. Sulfite Oxidase and Related Enzymes
4.4. DMSO Reductase and Related Enzymes
5. Resonance Raman Spectroscopy
5.1. Xanthine Oxidase and Related Enzymes
5.2. Sulfite Oxidase and Related Enzymes
5.3. DMSO Reductase and Related Enzymes
6. Magnetic Circular Dichroism Spectroscopy
6.1. Xanthine Oxidase and Related Enzymes
6.2. Sulfite Oxidase and Related Enzymes
6.3. DMSO Reductase and Related Enzymes
7. Conclusions and Prospectus
Author Contributions
Funding
Acknowledgments
Conflicts of Interest
References
- Kirk, M.L. Spectroscopic and Electronic Structure Studies Probing Mechanism: Introduction and Overview. In Molybdenum and Tungsten Enzymes: Spectroscopic and Theoretical Investigations; The Royal Society of Chemistry: Cambridge, UK, 2017; pp. 1–12. [Google Scholar]
- Kirk, M.L. Spectroscopic and Electronic Structure Studies of Mo Model Compounds and Enzymes; The Royal Society of Chemistry: Cambridge, UK, 2017; pp. 13–67. [Google Scholar]
- Hille, R.; Massey, V. The equilibration of reducing equivalents within milk xanthine oxidase. J. Biol. Chem. 1986, 261, 1241–1247. [Google Scholar] [CrossRef]
- Hille, R. Electron transfer within xanthine oxidase. A solvent kinetic isotope effect study. Biochemistry 1991, 30, 8522–8529. [Google Scholar] [CrossRef] [PubMed]
- Hille, R.; Anderson, R.F. Electron transfer in xanthine oxidase as studied by pulse radiolysis. J. Biol. Chem. 1991, 266, 5608–5615. [Google Scholar] [CrossRef]
- McWhirter, R.B.; Hille, R. The reductive half-reaction of xanthine oxidase—Identification of spectral intermediates in the hydroxylation of 2-hydroxy-6-methylpurine. J. Biol. Chem. 1991, 266, 23724–23731. [Google Scholar] [CrossRef]
- Ryan, M.G.; Ratnam, K.; Hille, R. The molybdenum centers of xanthine oxidase and xanthine dehydrogenase. Determination of the spectral change associated wth reduction of the molybdenum center. J. Biol. Chem. 1995, 270, 19209–19212. [Google Scholar] [CrossRef] [PubMed] [Green Version]
- Pauff, J.M.; Cao, H.; Hille, R. Substrate Orientation and Catalysis at the Molybdenum Site in Xanthine Oxidase Crystal Structures in Complex with Xanthine and Lumazine. J. Biol. Chem. 2009, 284, 8751–8758. [Google Scholar] [CrossRef] [Green Version]
- Hemann, C.; Ilich, P.; Stockert, A.L.; Choi, E.Y.; Hille, R. Resonance Raman studies of xanthine oxidase: The reduced enzyme—Product complex with violapterin. J. Phys. Chem. B 2005, 109, 3023–3031. [Google Scholar] [CrossRef]
- Davis, M.; Olson, J.; Palmer, G. The Reaction of Xanthine Oxidase with Lumazine: Characterization of the Reductive Half-reaction. J. Biol. Chem. 1984, 259, 3526–3533. [Google Scholar] [CrossRef]
- Yang, J.; Dong, C.; Kirk, M.L. Xanthine oxidase-product complexes probe the importance of substrate/product orientation along the reaction coordinate. Dalton Trans. 2017, 46, 13242–13250. [Google Scholar] [CrossRef]
- Dong, C.; Yang, J.; Reschke, S.; Leimkühler, S.; Kirk, M.L. Vibrational Probes of Molybdenum Cofactor–Protein Interactions in Xanthine Dehydrogenase. Inorg. Chem. 2017, 56, 6830–6837. [Google Scholar] [CrossRef]
- Dong, C.; Yang, J.; Leimkühler, S.; Kirk, M.L. Pyranopterin Dithiolene Distortions Relevant to Electron Transfer in Xanthine Oxidase/Dehydrogenase. Inorg. Chem. 2014, 53, 7077–7079. [Google Scholar] [CrossRef] [PubMed]
- Garton, S.D.; Garrett, R.M.; Rajagopalan, K.V.; Johnson, M.K. Resonance Raman characterization of the molybdenum center in sulfite oxidase: Identification of Mo=O stretching modes. J. Am. Chem. Soc. 1997, 119, 2590–2591. [Google Scholar] [CrossRef]
- Eilers, T.; Schwarz, G.; Brinkmann, H.; Witt, C.; Richter, T.; Nieder, J.; Koch, B.; Hille, R.; Hansch, R.; Mendel, R.R. Identification and biochemical characterization of Arabidopsis thaliana sulfite oxidase—A new player in plant sulfur metabolism. J. Biol. Chem. 2001, 276, 46989–46994. [Google Scholar] [CrossRef] [PubMed] [Green Version]
- Reschke, S.; Niks, D.; Wilson, H.; Sigfridsson, K.G.V.; Haumann, M.; Rajagopalan, K.V.; Hille, R.; Leimkuhler, S. Effect of exchange of the cysteine molybdenum ligand with selenocysteine one the structure and function of the active site in human sulfite oxidase. Biochemistry 2013, 52, 8295–8303. [Google Scholar] [CrossRef] [PubMed]
- Wahl, B.; Reichmann, D.; Niks, D.; Krompholz, N.; Havemeyer, A.; Clement, B.; Messerschmidt, T.; Rothkegel, M.; Biester, H.; Hille, R.; et al. Biochemical and Spectroscopic Characterization of the Human Mitochondrial Amidoxime Reducing Components hmARC-1 and hmARC-2 Suggests the Existence of a New Molybdenum Enzyme Family in Eukaryotes. J. Biol. Chem. 2010, 285, 37847–37859. [Google Scholar] [CrossRef] [Green Version]
- Yang, J.; Rothery, R.; Sempombe, J.; Weiner, J.H.; Kirk, M.L. Spectroscopic Characterization of YedY: The Role of Sulfur Coordination in a Mo(V) Sulfite Oxidase Family Enzyme Form. J. Am. Chem. Soc. 2009, 131, 15612–15614. [Google Scholar] [CrossRef] [Green Version]
- Ingersol, L.J.; Yang, J.; Khadanand, K.C.; Pokhrel, A.; Astashkin, A.V.; Weiner, J.H.; Johnston, C.A.; Kirk, M.L. Addressing Ligand-Based Redox in Molybdenum-Dependent Methionine Sulfoxide Reductase. J. Am. Chem. Soc. 2021, 142, 2721–2725. [Google Scholar] [CrossRef]
- Cobb, N.; Conrads, T.; Hille, R. Mechanistic studies of Rhodobacter sphaeroides Me2SO reductase. J. Biol. Chem. 2005, 280, 11007–11017. [Google Scholar] [CrossRef] [Green Version]
- Bennett, B.; Benson, N.; McEwan, A.G.; Bray, R.C. Multiple states of the molybdenum center of dimethylsulfoxide reductase from Rhodobacter capsulatus revealed by EPR spectroscopy. Eur. J. Biochem. 1994, 225, 321–331. [Google Scholar] [CrossRef]
- Adams, B.; Smith, A.T.; Bailey, S.; McEwan, A.G.; Bray, R.C. Reactions of dimethylsulfoxide reductase from Rhodobacter capsulatus with dimethyl sulfide and with dimethyl sulfoxide: Complexities revealed by conventional and stopped-flow spectrophotometry. Biochemistry 1999, 38, 8501–8511. [Google Scholar] [CrossRef]
- Mtei, R.P.; Lyashenko, G.; Stein, B.; Rubie, N.; Hille, R.; Kirk, M.L. Spectroscopic and Electronic Structure Studies of a Dimethyl Sulfoxide Reductase Catalytic Intermediate: Implications for Electron- and Atom-Transfer Reactivity. J. Am. Chem. Soc. 2011, 133, 9762–9774. [Google Scholar] [CrossRef] [PubMed] [Green Version]
- Bray, R.C.; Meriwether, L.S. Electron spin resonance of xanthine oxidase substituted with molybdenum-95. Nature 1966, 212, 467–469. [Google Scholar] [CrossRef] [PubMed]
- Bray, R.C.; Palmer, G.; Beinert, H. Direct studies on electron transfer sequence in xanthine oxidase by electron paramagnetic resonance spectroscopy: II. kinetic studies employing rapid freezing. J. Biol. Chem. 1964, 239, 2667–2676. [Google Scholar] [CrossRef]
- Palmer, G.; Bray, R.C.; Beinert, H. Direct studies on electron trnasfer in xanthine oxidase by electron paramagnetic resonance. I. Techniques and description of spectra. J. Biol. Chem. 1964, 239, 2657–2665. [Google Scholar] [CrossRef]
- Bray, R.C.; Vanngard, T. “Rapidly appearing” molybdenum elecrton paramagnetic resonance signals from reduced xanthine oxidase. Biochem. J. 1969, 114, 725–734. [Google Scholar] [CrossRef] [Green Version]
- Bray, R.C.; Knowles, P.F. Electron paramagnetic resonance in enzyme chemistry—Mechanism of action of xanthine oxidase. Proc. R. Soc. Lond. Ser. A-Math. Phys. Sci. 1968, 302, 351–359. [Google Scholar]
- Bray, R.C.; George, G.N. Electron paramagnetic resonance studies using pre-steady-state kinetics and substitution with stable isotopes on the mecahnism of action of molybdoenzymes. Biochem. Soc. Trans. 1985, 13, 560–567. [Google Scholar] [CrossRef] [Green Version]
- Lorigan, G.A.; Britt, R.D.; Kim, J.H.; Hille, R. Electron-spin echo envelope modulation spectroscopy of the molybdenum center of xanthine oxidase. Biochim. Et Biophys. Acta-Bioenerg. 1994, 1185, 284–294. [Google Scholar] [CrossRef]
- Manikandan, P.; Choi, E.Y.; Hille, R.; Hoffman, B.M. 35 GHz ENDOR characterization of the “very rapid” signal of xanthine oxidase reacted with 2-hydroxy-6-methylpurine ((13)C8): Evidence against direct Mo-C8 interaction. J. Am. Chem. Soc. 2001, 123, 2658–2663. [Google Scholar] [CrossRef]
- Pauff, J.M.; Zhang, J.; Bell, C.E.; Hille, R. Substrate orientation in xanthine oxidase—Crystal structure of enzyme in reaction with 2-hydroxy-6-methylpurine. J. Biol. Chem. 2008, 283, 4818–4824. [Google Scholar] [CrossRef] [Green Version]
- Hille, R.; Sprecher, H. On the mechanism of xanthine oxidase—Evidence in support of an oxo transfer mechanism in the molybdenum-containing hydroxylases. J. Biol. Chem. 1987, 262, 10914–10917. [Google Scholar] [CrossRef]
- Xia, M.; Dempski, R.; Hille, R. The reductive half-reaction of xanthine oxidase—Reaction with aldehyde substrates and identification of the catalytically labile oxygen. J. Biol. Chem. 1999, 274, 3323–3330. [Google Scholar] [CrossRef] [PubMed] [Green Version]
- Hille, R.; Kim, J.H.; Hemann, C. The reductive half-reaction of xanthine oxidase—Mechanistic role of the rapid type-1 Mo(V) electronparamagnetic resonance signal. Biochemistry 1993, 32, 3973–3980. [Google Scholar] [CrossRef] [PubMed]
- Sempombe, J.; Stein, B.; Kirk, M.L. Spectroscopic and Electronic Structure Studies Probing Covalency Contributions to C-H Bond Activation and Transition-State Stabilization in Xanthine Oxidase. Inorg. Chem. 2011, 50, 10919–10928. [Google Scholar] [CrossRef] [Green Version]
- Shanmugam, M.; Zhang, B.; McNaughton, R.L.; Kinney, R.A.; Hille, R.; Hoffman, B.M. The structure of formaldehyde-inhibited xanthine oxidase determined by 35 GHz 2H ENDOR spectroscopy. J. Am. Chem. Soc. 2010, 132, 14015–14017. [Google Scholar] [CrossRef] [Green Version]
- Hille, R. EPR studies of xanthine oxidoreductase and other molybdenum-containing hydroxylases. In Metals in Biology: Applications of High-Resolution EPR to Metalloenzymes; Hanson, G., Berliner, L., Eds.; Springer: New York, NY, USA, 2010; Volume 29, pp. 91–120. [Google Scholar]
- Haenzelmann, P.; Meyer, O. Effect of molybdate and tungstate on the biosynthesis of CO dehydrogenase and the molybdopterin cytosine-dinucleotide-type of molybdenum cofactor in Hydrogenophaga pseudoflava. Eur. J. Biochem. 1998, 255, 755–765. [Google Scholar] [CrossRef] [Green Version]
- Haenzelmann, P.; Hofmann, B.; Meisen, S.; Meyer, O. The redox centers in the molybdo iron-sulfur flavoprotein CO dehydrogenase from the thermophilic carboxidotrophic bacterium Pseudomonas thermocarboxydovorans. Fems Microbiol. Lett. 1999, 176, 139–145. [Google Scholar] [CrossRef] [Green Version]
- Dobbek, H.; Gremer, L.; Kiefersauer, R.; Huber, R.; Meyer, O. Catalysis at a dinuclear CuSMo(==O)OH cluster in a CO dehydrogenase resolved at 1.1-angstrom resolution. Proc. Natl. Acad. Sci. USA 2002, 99, 15971–15976. [Google Scholar] [CrossRef] [Green Version]
- Zhang, B.; Hemann, C.F.; Hille, R. Kinetic and Spectroscopic Studies of the Molybdenum-Copper CO Dehydrogenase from Oligotropha carboxidovorans. J. Biol. Chem. 2010, 285, 12571–12578. [Google Scholar] [CrossRef] [Green Version]
- Gourlay, C.; Nielsen, D.J.; White, J.M.; Knottenbelt, S.Z.; Kirk, M.L.; Young, C.G. Paramagnetic active site models for the molybdenum-copper carbon monoxide dehydrogenase. J. Am. Chem. Soc. 2006, 128, 2164–2165. [Google Scholar] [CrossRef]
- Shanmugam, M.; Wilcoxen, J.; Habel-Rodriguez, D.; Cutsail, G.E., III; Kirk, M.L.; Hoffman, B.M.; Hille, R. C-13 and Cu-63,Cu-65 ENDOR studies of CO Dehydrogenase from Oligotropha carboxidovorans. Experimental Evidence in Support of a Copper-Carbonyl Intermediate. J. Am. Chem. Soc. 2013, 135, 17775–17782. [Google Scholar] [CrossRef] [PubMed] [Green Version]
- Wilcoxen, J.; Hille, R. The Hydrogenase Activity of the Molybdenum/Copper-containing Carbon Monoxide Dehydrogenase of Oligotropha carboxidovorans. J. Biol. Chem. 2013, 288, 36052–36060. [Google Scholar] [CrossRef] [PubMed] [Green Version]
- Resch, M.; Dobbek, H.; Meyer, O. Structural and functional reconstruction in situ of the CuSMoO2 active site of carbon monoxide dehydrogenase from the carbon monoxide oxidizing eubacterium Oligotropha carboxidovorans. J. Biol. Inorg. Chem. 2005, 10, 518–528. [Google Scholar] [CrossRef] [PubMed]
- Wilcoxen, J.; Snider, S.; Hille, R. Substitution of Silver for Copper in the Binuclear Mo/Cu Center of Carbon Monoxide Dehydrogenase from Oligotropha carboxidovorans. J. Am. Chem. Soc. 2011, 133, 12934–12936. [Google Scholar] [CrossRef] [PubMed]
- Lamy, M.T.; Gutteridge, S.; Bray, R.C. Electron paramagnetic resonance paramaters om molybdenum(V) in sulfite oxidase from chicken liver. Biochem. J. 1980, 185, 397–403. [Google Scholar] [CrossRef] [Green Version]
- Gutteridge, S.; Lamy, M.T.; Bray, R.C. The nature of the phosphate inhibitor complex of sulfite oxidase from electron paramagnetic resoannce studies using O-17. Biochem. J. 1980, 191, 285–288. [Google Scholar] [CrossRef] [PubMed] [Green Version]
- Raitsimring, A.M.; Pacheco, A.; Enemark, J.H. ESEEM investigations of the high pH and low pH forms of chicken liver sulfite oxidase. J. Am. Chem. Soc. 1998, 120, 11263–11278. [Google Scholar] [CrossRef]
- Astashkin, A.V.; Mader, M.L.; Pacheco, A.; Enemark, J.H.; Raitsimring, A.M. Direct detection of the proton-containing group coordinated to Mo(V) in the high pH form of chicken liver sulfite oxidase by refocused primary ESEEM spectroscopy: Structural and mechanistic implications. J. Am. Chem. Soc. 2000, 122, 5294–5302. [Google Scholar] [CrossRef]
- Enemark, J.H. Consensus structures of the Mo(v) sites of sulfite-oxidizing enzymes derived from variable frequency pulsed EPR spectroscopy, isotopic labelling and DFT calculations. Dalton Trans. 2017, 46, 13202–13210. [Google Scholar] [CrossRef] [Green Version]
- Enemark, J.H.; Astashkin, A.V.; Raitsimring, A.M. High-resolution EPR spectroscopy of molybdenum enzymes. Sulfite oxidases: Structural and functional implications. In Metals in Biology: Applications of High-Resolution EPR to Metalloenzymes; Hanson, G., Berliner, L., Eds.; Springer: New York, NY, USA, 2010; Volume 29, pp. 121–168. [Google Scholar]
- Pacheco, A.; Basu, P.; Borbat, P.; Raitsimring, A.M.; Enemark, J.H. Multifrequency ESEEM spectroscopy of sulfite oxidase in phosphate buffer: Direct evidence for coordinated phosphate. Inorg. Chem. 1996, 35, 7001–7008. [Google Scholar] [CrossRef]
- Bray, R.C.; Gutteridge, S.; Lamy, M.T.; Wilkinson, T. Equilibria amongst different molybdenum(V)-containing species from sulfite oxidase—Evidence for a halide ligand of molybdenum in the low-pH species. Biochem. J. 1983, 211, 227–236. [Google Scholar] [CrossRef] [PubMed] [Green Version]
- Doonan, C.J.; Wilson, H.L.; Bennett, B.; Prince, R.C.; Rajagopalan, K.V.; George, G.N. Mo-V electron paramagnetic resonance of sulfite oxidase revisited: The low-pH chloride signal. Inorg. Chem. 2008, 47, 2033–2038. [Google Scholar] [CrossRef] [PubMed] [Green Version]
- Astashkin, A.V.; Hood, B.L.; Feng, C.J.; Hille, R.; Mendel, R.R.; Raitsimring, A.M.; Enemark, J.H. Structures of the Mo(V) forms of sulfite oxidase from Arabidopsis thaliana by pulsed EPR spectroscopy. Biochemistry 2005, 44, 13274–13281. [Google Scholar] [CrossRef] [PubMed]
- Astashkin, A.V.; Johnson-Winters, K.; Klein, E.L.; Byrne, R.S.; Hille, R.; Raitsimring, A.M.; Enemark, J.H. Direct demonstration of the presence of coordinated sulfate in the reaction pathway of Arabidopsis thaliana sulfite oxidase using S-33 Labeling and ESEEM Spectroscopy. J. Am. Chem. Soc. 2007, 129, 14800–14810. [Google Scholar] [CrossRef] [PubMed] [Green Version]
- Kappler, U.; Bennett, B.; Rethmeier, J.; Schwarz, G.; Deutzmann, R.; McEwan, A.G.; Dahl, C. Sulfite: Cytochrome c oxidoreductase from Thiobacillus novellus—Purification, characterization, and molecular biology of a heterodimeric member of the sulfite oxidase family. J. Biol. Chem. 2000, 275, 13202–13212. [Google Scholar] [CrossRef] [PubMed] [Green Version]
- Kappler, U.; Bailey, S. Crystallization and preliminary X-ray analysis of sulfite dehydrogenase from Starkeya novella. Acta Crystallogr. Sect. D-Biol. Crystallogr. 2004, 60, 2070–2072. [Google Scholar] [CrossRef] [Green Version]
- Kappler, U.; Bailey, S.; Feng, C.J.; Honeychurch, M.J.; Hanson, G.R.; Bernhardt, P.V.; Tollin, G.; Enemark, J.H. Kinetic and structural evidence for the importance of Tyr236 for the integrity of the Mo active site in a bacterial sulfite dehydrogenase. Biochemistry 2006, 45, 9696–9705. [Google Scholar] [CrossRef]
- Gutteridge, S.; Bray, R.C.; Notton, B.A.; Fido, R.J.; Hewitt, E.J. Studieso by electron paramagnetic resoance of teh molybdenum center of spinach (Spinacia oleracea) nitrate reductase. Biochem. J. 1983, 213, 137–142. [Google Scholar] [CrossRef] [Green Version]
- Solomonson, L.P.; Barber, M.J.; Howard, W.D.; Johnson, J.L.; Rajagopalan, K.V. Electron paramagnetic resonance studies of the molybdenum center of assimilatory nitrate reductase from Chlorella vulgaris. J. Biol. Chem. 1984, 259, 849–853. [Google Scholar] [CrossRef]
- Rajapakshe, A.; Snyder, R.A.; Astashkin, A.V.; Bernardson, P.; Evans, D.J.; Young, C.G.; Evans, D.H.; Enemark, J.H. Insights into the nature of Mo(V) species in solution: Modeling catalytic cycles for molybdenum enzymes. Inorg. Chim. Acta 2009, 362, 4603–4608. [Google Scholar] [CrossRef] [Green Version]
- Yang, J.; Giles, L.J.; Ruppelt, C.; Mendel, R.R.; Bittner, F.; Kirk, M.L. Oxyl and Hydroxyl Radical Transfer in Mitochondrial Amidoxime Reducing Component-Catalyzed Nitrite Reduction. J. Am. Chem. Soc. 2015, 137, 5276–5279. [Google Scholar] [CrossRef] [PubMed] [Green Version]
- Loschi, L.; Brokx, S.J.; Hills, T.L.; Zhang, G.; Bertero, M.G.; Lovering, A.L.; Weiner, J.H.; Strynadka, N.C.J. Structural and biochemical identification of a novel bacterial oxidoreductase. J. Biol. Chem. 2004, 279, 50391–50400. [Google Scholar] [CrossRef] [Green Version]
- Schindelin, H.; Kisker, C.; Hilton, J.; Rajagopalan, K.V.; Rees, D.C. Crystal structure of DMSO reductase: Redox-linked changes in molybdopterin coordination. Science 1996, 272, 1615–1621. [Google Scholar] [CrossRef]
- Li, H.K.; Temple, C.; Rajagopalan, K.V.; Schindelin, H. The 1.3 Angstrom Crystal Structure of Rhodobacter sphaeroides Dimethyl Sulfoxide Reductase Reveals Two Distinct Molybdenum Coordination Environments. J. Am. Chem. Soc. 2000, 122, 7673–7680. [Google Scholar] [CrossRef]
- Jormakka, M.; Tornroth, S.; Byrne, B.; Iwata, S. Molecular basis of proton motive force generation: Structure of formate dehydrogenase-N. Science 2002, 295, 1863–1868. [Google Scholar] [CrossRef] [PubMed] [Green Version]
- Dias, J.M.; Than, M.E.; Humm, A.; Huber, R.; Bourenkov, G.P.; Bartunik, H.D.; Bursakov, S.; Calvete, J.; Caldeira, J.; Carneiro, C.; et al. Crystal structure of the first dissimilatory nitrate reductase at 1.9 angstrom solved by MAD methods. Struct. Fold. Des. 1999, 7, 65–79. [Google Scholar] [CrossRef]
- Thomas, G.; Potter, L.; Cole, J.A. The periplasmic nitrate reductase from Escherichia coli: A heterodimeric molybdoprotein with a double-arginine signal sequence and an unusual leader peptide cleavage site. Fems Microbiol. Lett. 1999, 174, 167–171. [Google Scholar] [CrossRef]
- Gangeswaran, R.; Lowe, D.J.; Eady, R.R. Purification and characterization of the assimilatory nitrate reductase of Azotobacter vinelandii. Biochem. J. 1993, 289, 335–342. [Google Scholar] [CrossRef] [Green Version]
- Bray, R.C.; Vincent, S.P.; Lowe, D.J.; Clegg, R.A.; Garland, P.B. Electron-paramagnetic-resonance studies on molybdneum of nitrate reductase from Escherichia coli K12. Biochem. J. 1976, 155, 201–203. [Google Scholar] [CrossRef] [Green Version]
- Godfrey, C.; Greenwood, C.; Thomson, A.J.; Bray, R.C.; George, G.N. Electron paramagnetic resonance spectroscopy studies on the dissimilatory nitrate reductase from Pseudomonas Aeruginosa. Biochem. J. 1984, 224, 601–608. [Google Scholar] [CrossRef]
- Turner, N.; Ballard, A.L.; Bray, R.C.; Ferguson, S. Investigation by electron paramagnetic resonance spectroscopy of the molybdenum center of respiratory nitrtate reductase from Paracoccus denitrificans. Biochem. J. 1988, 252, 925–926. [Google Scholar] [CrossRef] [Green Version]
- George, G.N.; Turner, N.A.; Bray, R.C.; Morpeth, F.F.; Boxer, D.H.; Cramer, S.P. X-ray absorption and electron paramagnetic resonance spectroscopic studies of the environment of moluybdenum in high-pH and low-pH forms of Escherichia coli nitratte reductase. Biochem. J. 1989, 259, 693–700. [Google Scholar] [CrossRef] [Green Version]
- Rendon, J.; Biaso, F.; Ceccaldi, P.; Toci, R.; Seduk, F.; Magalon, A.; Guigliarelli, B.; Grimaldi, S. Elucidating the Structures of the Low- and High-pH Mo(V) Species in Respiratory Nitrate Reductase: A Combined EPR, N-14,N-15 HYSCORE, and DFT Study. Inorg. Chem. 2017, 56, 4422–4434. [Google Scholar] [CrossRef] [PubMed]
- Struwe, M.A.; Kalimuthu, P.; Luo, Z.Y.; Zhong, Q.F.; Ellis, D.; Yang, J.; Khadanand, K.C.; Harmer, J.R.; Kirk, M.L.; McEwan, A.G.; et al. Active site architecture reveals coordination sphere flexibility and specificity determinants in a group of closely related molybdoenzymes. J. Biol. Chem. 2021, 296, 100672. [Google Scholar] [CrossRef]
- Kc, K.; Yang, J.; Kirk, M.L. Addressing Serine Lability in a Paramagnetic Dimethyl Sulfoxide Reductase Catalytic Intermediate. Inorg. Chem. 2021, 60, 9233–9237. [Google Scholar] [CrossRef]
- Hille, R.; Hall, J.; Basu, P. The mononuclear molybdenum enzymes. Chem. Rev. 2014, 114, 3963–4038. [Google Scholar] [CrossRef] [PubMed] [Green Version]
- Axley, M.J.; Grahame, D.A.; Stadtman, T.C. Escherichia coli formate-hydrogenlyase-purification and properties of the selenium-dependent formate dehydrogenase component. J. Biol. Chem. 1990, 265, 18213–18218. [Google Scholar] [CrossRef]
- Oh, J.I.; Bowien, B. Structural analysis of the fds operon encoding the NAD(+)-linked formate dehydrogenase of Ralstonia eutropha. J. Biol. Chem. 1998, 273, 26349–26360. [Google Scholar] [CrossRef] [Green Version]
- Friedebold, J.; Mayer, F.; Bill, E.; Trautwein, A.X.; Bowien, B. Structural and immunological studies on the soluble formate dehydrogenase from Alcaligenes Eutrophus. Biol. Chem. Hoppe-Seyler 1995, 376, 561–568. [Google Scholar] [CrossRef]
- Friedebold, J.; Bowien, B. Physiological and biochemical characterization of the soluble formate dehydrogenase, a molybdoenzyme from Alcaligenes Eutrophus. J. Bacteriol. 1993, 175, 4719–4728. [Google Scholar] [CrossRef] [PubMed] [Green Version]
- Schrapers, P.; Hartmann, T.; Kositzki, R.; Dau, H.; Reschke, S.; Schulzke, C.; Leimkuehler, S.; Haumann, M. Sulfido and Cysteine Ligation Changes at the Molybdenum Cofactor during Substrate Conversion by Formate Dehydrogenase (FDH) from Rhodobacter capsulatus. Inorg. Chem. 2015, 54, 3260–3271. [Google Scholar] [CrossRef] [PubMed]
- Radon, C.; Mittelstadt, G.; Duffus, B.R.; Burger, J.; Hartmann, T.; Mielke, T.; Teutloff, C.; Leimkuhler, S.; Wendler, P. Cryo-EM structures reveal intricate Fe-S cluster arrangement and charging in Rhodobacter capsulatus formate dehydrogenase. Nat. Commun. 2020, 11, 1912. [Google Scholar] [CrossRef] [PubMed]
- Young, T.; Niks, D.; Hakopian, S.; Tam, T.K.; Yu, X.; Hille, R.; Blaha, G.M. Crystallographic and kinetic analyses of the FdsBG subcomplex of the cytosolic formate dehydrogenase FdsABG from Cupriavidus necator. J. Biol. Chem. 2020, 295, 6570–6585. [Google Scholar] [CrossRef] [PubMed] [Green Version]
- Boehmer, N.; Hartmann, T.; Leimkuehler, S. The chaperone FdsC for Rhodobacter capsulatus formate dehydrogenase binds the bis-molybdopterin guanine dinucleotide cofactor. Febs Lett. 2014, 588, 531–537. [Google Scholar] [CrossRef] [Green Version]
- Gladyshev, V.N.; Khangulov, S.V.; Axley, M.J.; Stadtman, T.C. Coordination of selenium to molybdenum in formate dehydrogenase H from Escherichia coli. Proc. Natl. Acad. Sci. USA 1994, 91, 7708–7711. [Google Scholar] [CrossRef] [Green Version]
- Khangulov, S.V.; Gladyshev, V.N.; Dismukes, G.C.; Stadtman, T.C. Selenium-containing formate dehydrogenase H from Escherichia coli: A molybdopterin enzyme that catalyzes formate oxidation without oxygen transfer. Biochemistry 1998, 37, 3518–3528. [Google Scholar] [CrossRef]
- Niks, D.; Duvvuru, J.; Escalona, M.; Hille, R. Spectroscopic and Kinetic Properties of the Molybdenum-containing, NAD(+)—Dependent Formate Dehydrogenase from Ralstonia eutropha. J. Biol. Chem. 2016, 291, 1162–1174. [Google Scholar] [CrossRef] [Green Version]
- Costa, C.; Moura, J.J.G.; Moura, I.; Wang, Y.N.; Huynh, B.H. Redox properties of cytochrome c nitrite reductase from Desulfovibrio desulfuricans ATCC 27774. J. Biol. Chem. 1996, 271, 23191–23196. [Google Scholar] [CrossRef] [Green Version]
- Rivas, M.G.; Gonzalez, P.J.; Brondino, C.D.; Moura, J.J.G.; Moura, I. EPR characterization of the molybdenum(V) forms of formate dehydrogenase from Desulfovibrio desulfuricans ATCC 27774 upon formate reduction. J. Inorg. Biochem. 2007, 101, 1617–1622. [Google Scholar] [CrossRef]
- Hochheimer, A.; Hedderich, R.; Thauer, R.K. The formylmethanofuran dehydrogenase isoenzymes in Methanobacterium wolfei and Methanobacterium thermoautotrophicum: Induction of the molybdenum isoenzyme by molybdate and constitutive synthesis of the tungsten isoenzyme. Arch. Microbiol. 1998, 170, 389–393. [Google Scholar] [CrossRef]
- Hochheimer, A.; Linder, D.; Thauer, R.K.; Hedderich, R. The molybdenum formylmethanofuran dehydrogenase operon and the tungsten formylmethanofuran dehydrogenase operon from Methanobacterium thermoautotrophicum—Structures and transcriptional regulation. Eur. J. Biochem. 1996, 242, 156–162. [Google Scholar] [CrossRef] [PubMed]
- Hochheimer, A.; Schmitz, R.A.; Thauer, R.K.; Hedderich, R. The tungsten formylmethanofuran dehydrogenase from Methanobacterium thermoautotrophicum contains sequence motifs characteristic for enzymes containing molybdopterin dinucleotide. Eur. J. Biochem. 1995, 234, 910–920. [Google Scholar] [CrossRef] [PubMed]
- Probst, C.; Yang, J.; Krausze, J.; Hercher, T.W.; Richers, C.P.; Spatzal, T.; Khadanand, K.C.; Giles, L.J.; Rees, D.C.; Mendel, R.R.; et al. Mechanism of molybdate insertion into pterin-based molybdenum cofactors. Nat. Chem. 2021, 13, 758–765. [Google Scholar] [CrossRef] [PubMed]
- Krausze, J.; Hercher, T.W.; Zwerschke, D.; Kirk, M.L.; Blankenfeldt, W.; Mendel, R.R.; Kruse, T. The functional principle of eukaryotic molybdenum insertases. Biochem. J. 2018, 475, 1739–1753. [Google Scholar] [CrossRef]
- Kutzler, F.W.; Scott, R.A.; Berg, J.M.; Hodgson, K.O.; Doniach, S.; Cramer, S.P.; Chang, C.H. Single-crystal polarized X-ray absorption spectroscopy. Observation and theory for (MoO2S2)2. J. Am. Chem. Soc. 1981, 103, 6083–6088. [Google Scholar] [CrossRef]
- George, G.N.; Kipke, C.A.; Prince, R.C.; Sunde, R.A.; Enemark, J.H.; Cramer, S.P. Structure of the Active Site of Sulfite Oxidase. X-Ray Absorption Spectroscopy of the Molybdenum (IV), Molybdenum (V), and Molybdenum (VI) Oxidation States. Biochemistry 1989, 28, 5075–5080. [Google Scholar] [CrossRef]
- Tullius, T.D.; Kurtz, D.M.; Conradson, S.D.; Hodgson, K.O. The molybdenum site of xanthine oxidase. Structural evidence from X-ray absorption spectroscopy. J. Am. Chem. Soc. 1979, 101, 2776–2779. [Google Scholar] [CrossRef]
- Bordas, J.; Bray, R.C.; Garner, C.D.; Gutteridge, S.; Hasnain, S.S. X-ray absorption spectroscopy of xanthine oxidase—The molybdenum centers of the functional and desulfo forms. Biochem. J. 1980, 191, 499–508. [Google Scholar] [CrossRef] [Green Version]
- Cramer, S.P.; Wahl, R.; Rajagopalan, K.V. Molybdenum sites of sulfite oxidase and xanthine dehydrogenase. a comparison by EXAFS. J. Am. Chem. Soc. 1981, 103, 7721–7727. [Google Scholar] [CrossRef]
- Romao, M.J.; Archer, M.; Moura, I.; Moura, J.J.G.; Legall, J.; Engh, R.; Schneider, M.; Hof, P.; Huber, R. Crystal structure of the xanthine oxidase-related aldehyde oxidoreductase from Desulfovibrio gigas. Science 1995, 270, 1170–1176. [Google Scholar] [CrossRef]
- Enroth, C.; Eger, B.T.; Okamoto, K.; Nishino, T.; Nishino, T.; Pai, E.F. Crystal structures of bovine milk xanthine dehydrogenase and xanthine oxidase: Structure-based mechanism of conversion. Proc. Natl. Acad. Sci. USA 2000, 97, 10723–10728. [Google Scholar] [CrossRef] [Green Version]
- Jones, R.M.; Inscore, F.E.; Hille, R.; Kirk, M.L. Freeze-Quench Magnetic Circular Dichroism Spectroscopic Study of the “Very Rapid” Intermediate in Xanthine Oxidase. Inorg. Chem. 1999, 38, 4963–4970. [Google Scholar] [CrossRef]
- Doonan, C.J.; Rubie, N.D.; Peariso, K.; Harris, H.H.; Knottenbelt, S.Z.; George, G.N.; Young, C.G.; Kirk, M.L. Electronic structure description of the cis-MoOS unit in models for molybdenum hydroxylases. J. Am. Chem. Soc. 2008, 130, 55–65. [Google Scholar] [CrossRef] [PubMed]
- Doonan, C.J.; Stockert, A.; Hille, R.; George, G.N. Nature of the catalytically labile oxygen at the active site of xanthine oxidase. J. Am. Chem. Soc. 2005, 127, 4518–4522. [Google Scholar] [CrossRef]
- Cramer, S.P.; Gray, H.B.; Rajagopalan, K.V. Molybdenum site of sulfite oxidase. Structural information from X-ray absorption spectroscopy. J. Am. Chem. Soc. 1979, 101, 2772–2774. [Google Scholar] [CrossRef]
- Harris, H.H.; George, G.N.; Rajagopalan, K.V. High-resolution EXAFS of the active site of human sulfite oxidase: Comparison with density functional theory and X-ray crystallographic results. Inorg. Chem. 2006, 45, 493–495. [Google Scholar] [CrossRef]
- Kisker, C.; Schindelin, H.; Pacheco, A.; Wehbi, W.A.; Garrett, R.M.; Rajagopalan, K.V.; Enemark, J.H.; Rees, D.C. Molecular basis of sulfite oxidase deficiency from the structure of sulfite oxidase. Cell 1997, 91, 973–983. [Google Scholar] [CrossRef] [Green Version]
- Doonan, C.J.; Kappler, U.; George, G.N. Structure of the active site of sulfite dehydrogenase from Starkeya novella. Inorg. Chem. 2006, 45, 7488–7492. [Google Scholar] [CrossRef] [PubMed]
- George, G.N.; Mertens, J.A.; Campbell, W.H. Structural changes induced by catalytic turnover at the molybdenum site of arabidopsis nitrate reductase. J. Am. Chem. Soc. 1999, 121, 9730–9731. [Google Scholar] [CrossRef]
- Cramer, S.P.; Solomonson, L.P.; Adams, M.W.W.; Mortenson, L.E. Molybdenum sites of Escherichia coli and chlorella vulgaris nitrate reductase. a comparison by EXAFS. J. Am. Chem. Soc. 1984, 106, 1467–1471. [Google Scholar] [CrossRef]
- Giles, L.J.; Ruppelt, C.; Yang, J.; Mendel, R.R.; Bittner, F.; Kirk, M.L. Molybdenum Site Structure of MOSC Family Proteins. Inorg. Chem. 2014, 53, 9460–9462. [Google Scholar] [CrossRef] [PubMed] [Green Version]
- Garton, S.D.; Hilton, J.; Oku, H.; Crouse, B.R.; Rajagopalan, K.V.; Johnson, M.K. Active site structures and catalytic mechanism of Rhodobacter sphaeroides dimethyl sulfoxide reductase as revealed by resonance Raman spectroscopy. J. Am. Chem. Soc. 1997, 119, 12906–12916. [Google Scholar] [CrossRef]
- George, G.N.; Hilton, J.; Rajagopalan, K.V. X-ray absorption spectroscopy of dimethyl sulfoxide reductase from Rhodobacter sphaeroides. J. Am. Chem. Soc. 1996, 118, 1113–1117. [Google Scholar] [CrossRef]
- George, G.N.; Hilton, J.; Temple, C.; Prince, R.C.; Rajagopalan, K.V. Structure of the molybdenum site of dimethyl sulfoxide reductase. J. Am. Chem. Soc. 1999, 121, 1256–1266. [Google Scholar] [CrossRef]
- George, G.N.; Doonan, C.J.; Rothery, R.A.; Boroumand, N.; Weiner, J.H. X-ray absorption spectroscopic characterization of the molybdenum site of Escherichia coli dimethyl sulfoxide reductase. Inorg. Chem. 2007, 46, 2–4. [Google Scholar] [CrossRef]
- Zhang, L.; Nelson, K.J.; Rajagopalan, K.V.; George, G.N. Structure of the molybdenum site of Escherichia coli trimethylamine N-oxide reductase. Inorg. Chem. 2008, 47, 1074–1078. [Google Scholar] [CrossRef]
- Temple, C.A.; George, G.N.; Hilton, J.C.; George, M.J.; Prince, R.C.; Barber, M.J.; Rajagopalan, K.V. Structure of the molybdenum site of Rhodobacter sphaeroides biotin sulfoxide reductase. Biochemistry 2000, 39, 4046–4052. [Google Scholar] [CrossRef]
- Czjzek, M.; Dos Santos, J.P.; Pommier, J.; Giordano, G.; Mejean, V.; Haser, R. Crystal structure of oxidized trimethylamine N-oxide reductase from Shewanella massilia at 2.5 angstrom resolution. J. Mol. Biol. 1998, 284, 435–447. [Google Scholar] [CrossRef]
- Schultz, B.E.; Hille, R.; Holm, R.H. Direct oxygen atom transfer in the mechanism of action of Rhodobacter sphaeroiddes dimethylsulfoxide reductase. J. Am. Chem. Soc. 1995, 117, 827–828. [Google Scholar] [CrossRef]
- Pushie, M.J.; Cotelesage, J.J.H.; Lyashenko, G.; Hille, R.; George, G.N. X-ray Absorption Spectroscopy of a Quantitatively Mo(V) Dimethyl Sulfoxide Reductase Species. Inorg. Chem. 2013, 52, 2830–2837. [Google Scholar] [CrossRef]
- George, G.N.; Colangelo, C.M.; Dong, J.; Scott, R.A.; Khangulov, S.V.; Gladyshev, V.N.; Stadtman, T.C. X-ray absorption spectroscopy of the molybdenum site of Escherichia coli formate dehydrogenase. J. Am. Chem. Soc. 1998, 120, 1267–1273. [Google Scholar] [CrossRef]
- Duffus, B.R.; Schrapers, P.; Schuth, N.; Mebs, S.; Dau, H.; Leimkuhler, S.; Haumann, M. Anion Binding and Oxidative Modification at the Molybdenum Cofactor of Formate Dehydrogenase from Rhodobacter capsulatus Studied by X-ray Absorption Spectroscopy. Inorg. Chem. 2020, 59, 214–225. [Google Scholar] [CrossRef]
- Johnson, M.K.; Garton, S.D.; Oku, H. Resonance Raman as a Direct Probe for the Catalytic Mechanism of Molybdenum Oxotransferases. J. Biol. Inorg. Chem. 1997, 2, 797–803. [Google Scholar] [CrossRef]
- Davis, M.D.; Olson, J.S.; Palmer, G. Charge-transfer complexes between pteridine substrates and the active center molybdenum of xanthine oxidase. J. Biol. Chem. 1982, 257, 4730–4737. [Google Scholar] [CrossRef]
- Oertling, W.A.; Hille, R. Resonance-enhanced Raman scattering from the molybdenum center of xanthine oxidase. J. Biol. Chem. 1990, 265, 17446–17450. [Google Scholar] [CrossRef]
- Stein, B.; Kirk, M. Electronic structure contributions to reactivity in xanthine oxidase family enzymes. J. Biol. Inorg. Chem. 2015, 20, 183–194. [Google Scholar] [CrossRef] [PubMed] [Green Version]
- Inscore, F.E.; McNaughton, R.; Westcott, B.L.; Helton, M.E.; Jones, R.; Dhawan, I.K.; Enemark, J.H.; Kirk, M.L. Spectroscopic evidence for a unique bonding interaction in oxo-molybdenum dithiolate complexes: Implications for sigma electron transfer pathways in the pyranopterin dithiolate centers of enzymes. Inorg. Chem. 1999, 38, 1401–1410. [Google Scholar] [CrossRef]
- Hille, R. Molybdenum-containing hydroxylases. Arch. Biochem. Biophys. 2005, 433, 107–116. [Google Scholar] [CrossRef]
- Kirk, M.L.; Knottenbelt, S.; Habtegabre, A. The Reaction Coordinate of Pyranopterin Molybdenum Enzymes. In Computational Inorganic and Bioinorganic Chemistry; Solomon, E.I., Scott, R.A., King, B.R., Eds.; Wiley: Hoboken, NJ, USA, 2009; pp. 277–286. [Google Scholar]
- Metz, S.; Thiel, W. A Combined QM/MM Study on the Reductive Half-Reaction of Xanthine Oxidase: Substrate Orientation and Mechanism. J. Am. Chem. Soc. 2009, 131, 14885–14902. [Google Scholar] [CrossRef] [PubMed]
- Zhang, X.H.; Wu, Y.D. A theoretical study on the mechanism of the reductive half-reaction of xanthine oxidase. Inorg. Chem. 2005, 44, 1466–1471. [Google Scholar] [CrossRef]
- Garrett, R.M.; Rajagopalan, K.V. Site-directed mutagenesis of recombinant sulfite oxidase—Identification of cysteine 207 as a ligand of molybdenum. J. Biol. Chem. 1996, 271, 7387–7391. [Google Scholar] [CrossRef] [PubMed] [Green Version]
- Klein, E.L.; Astashkin, A.V.; Raitsimring, A.M.; Enemark, J.H. Applications of pulsed EPR spectroscopy to structural studies of [19]sulfite oxidizing enzymes. Coord. Chem. Rev. 2013, 257, 110–118. [Google Scholar] [CrossRef] [PubMed] [Green Version]
- Hemann, C.; Hood, B.L.; Fulton, M.; Hansch, R.; Schwarz, G.; Mendel, R.R.; Kirk, M.L.; Hille, R. Spectroscopic and kinetic studies of Arabidopsis thaliana sulfite oxidase: Nature of the redox-active orbital and electronic structure contributions to catalysis. J. Am. Chem. Soc. 2005, 127, 16567. [Google Scholar] [CrossRef]
- Peariso, K.; McNaughton, R.L.; Kirk, M.L. Active-site stereochemical control of oxygen atom transfer reactivity in sulfite oxidase. J. Am. Chem. Soc. 2002, 124, 9006–9007. [Google Scholar] [CrossRef] [PubMed]
- Gruber, S.; Kilpatrick, L.; Bastian, N.R.; Rajagopalan, K.V.; Spiro, T.G. Dithiolene coordination in the molybdopterin cofactor of DMS Oreducase. I situ evidence from resonance Raman spectroscopy. J. Am. Chem. Soc. 1990, 112, 8179–8180. [Google Scholar] [CrossRef]
- Kilpatrick, L.; Rajagopalan, K.V.; Hilton, J.; Bastian, N.R.; Stiefel, E.I.; Pilato, R.S.; Spiro, T.G. Resonance Raman spectroscopic characterization of the molybdopterin active site of DMSO reductase. Biochemistry 1995, 34, 3032–3039. [Google Scholar] [CrossRef] [PubMed]
- Neese, F.; Solomon, E.I. MCD C-Term Signs, Saturation Behavior, and Determination of Band Polarizations in Randomly Oriented Systems with Spin S ≥ 1/2. Applicationis to S = 1/2 and S = 5/2. Inorg. Chem. 1999, 38, 1847–1865. [Google Scholar] [CrossRef]
- Solomon, E.I.; Kirk, M.L.; Gamelin, D.R.; Pulver, S. Bioinorganic Spectroscopy. Biochem. Spectrosc. 1995, 246, 71. [Google Scholar]
- Kirk, M.L. Magnetic Circular Dichroism Spectroscopy of Pyranopterin Molybdenum Enzymes. In Paramagnetic Resonance of Biomolecules; American Chemical Society: Washington, DC, USA, 2003; Volume 858, pp. 240–357. [Google Scholar]
- Kirk, M.L.; Peariso, K. Recent applications of MCD spectroscopy to metalloenzymes. Curr. Opin. Chem. Biol. 2003, 7, 220–227. [Google Scholar] [CrossRef]
- Okamoto, K.; Matsumoto, K.; Hille, R.; Eger, B.T.; Pai, E.F.; Nishino, T. The crystal structure of xanthine oxidoreductase during catalysis: Implications for reaction mechanism and enzyme inhibition. Proc. Natl. Acad. Sci. USA 2004, 101, 7931–7936. [Google Scholar] [CrossRef] [Green Version]
- Helton, M.E.; Pacheco, A.; McMaster, J.; Enemark, J.H.; Kirk, M.L. An MCD Spectroscopic Study of the Molybdenum Active Site in Sulfite Oxidase: Insight into the Role of Coordinated Cysteine. J. Inorg. Biochem. 2000, 80, 227–233. [Google Scholar] [CrossRef]
- Stein, B.W.; Yang, J.; Mtei, R.; Wiebelhaus, N.J.; Kersi, D.K.; LePluart, J.; Lichtenberger, D.L.; Enemark, J.H.; Kirk, M.L. Vibrational Control of Covalency Effects Related to the Active Sites of Molybdenum Enzymes. J. Am. Chem. Soc. 2018, 140, 14777–14788. [Google Scholar] [CrossRef] [PubMed]
- Yang, J.; Mogesa, B.; Basu, P.; Kirk, M.L. Large Ligand Folding Distortion in an Oxomolybdenum Donor Acceptor Complex. Inorg. Chem. 2016, 55, 785–793. [Google Scholar] [CrossRef] [PubMed] [Green Version]
- Rothery, R.A.; Stein, B.; Solomonson, M.; Kirk, M.L.; Weiner, J.H. Pyranopterin conformation defines the function of molybdenum and tungsten enzymes. Proc. Natl. Acad. Sci. USA 2012, 109, 14773–14778. [Google Scholar] [CrossRef] [Green Version]
- Inscore, F.E.; Knottenbelt, S.Z.; Rubie, N.D.; Joshi, H.K.; Kirk, M.L.; Enemark, J.H. Understanding the origin of metal-sulfur vibrations in an oxo-molybdenurn dithiolene complex: Relevance to sulfite oxidase. Inorg. Chem. 2006, 45, 967. [Google Scholar] [CrossRef]
- Benson, N.; Farrar, J.A.; McEwan, A.G.; Thomson, A.J. Detection of the Optical Bands of Molybdenum(V) in DMSO Reductase (Rhodobacter capsulatus) By Low-Temperature MCD Spectroscopy. FEBS Lett. 1992, 307, 169–172. [Google Scholar] [CrossRef] [Green Version]
- Finnegan, M.G.; Hilton, J.; Rajagopalan, K.V.; Johnson, M.K. Optical Transitions of Molybdenum(V) in Glycerol-Inhibited DMSO Reductase from Rhodobacter sphaeroides. Inorg. Chem. 1993, 32, 2616–2617. [Google Scholar] [CrossRef]
- Hernandez-Marin, E.; Seth, M.; Ziegler, T. Density Functional Theory Study of the Electron Paramagnetic Resonance Parameters and the Magnetic Circular Dichroism Spectrum for Model Compounds of Dimethyl Sulfoxide Reductase. Inorg. Chem. 2010, 49, 1566–1576. [Google Scholar]
- Neese, F. A spectroscopy oriented configuration interaction procedure. J. Chem. Phys. 2003, 119, 9428–9443. [Google Scholar] [CrossRef]







Publisher’s Note: MDPI stays neutral with regard to jurisdictional claims in published maps and institutional affiliations. |
© 2022 by the authors. Licensee MDPI, Basel, Switzerland. This article is an open access article distributed under the terms and conditions of the Creative Commons Attribution (CC BY) license (https://creativecommons.org/licenses/by/4.0/).
Share and Cite
Kirk, M.L.; Hille, R. Spectroscopic Studies of Mononuclear Molybdenum Enzyme Centers. Molecules 2022, 27, 4802. https://doi.org/10.3390/molecules27154802
Kirk ML, Hille R. Spectroscopic Studies of Mononuclear Molybdenum Enzyme Centers. Molecules. 2022; 27(15):4802. https://doi.org/10.3390/molecules27154802
Chicago/Turabian StyleKirk, Martin L., and Russ Hille. 2022. "Spectroscopic Studies of Mononuclear Molybdenum Enzyme Centers" Molecules 27, no. 15: 4802. https://doi.org/10.3390/molecules27154802
APA StyleKirk, M. L., & Hille, R. (2022). Spectroscopic Studies of Mononuclear Molybdenum Enzyme Centers. Molecules, 27(15), 4802. https://doi.org/10.3390/molecules27154802

