Advances on Natural Abietane, Labdane and Clerodane Diterpenes as Anti-Cancer Agents: Sources and Mechanisms of Action
Abstract
1. Introduction
2. Study Design
3. Generalities of the Diterpenes
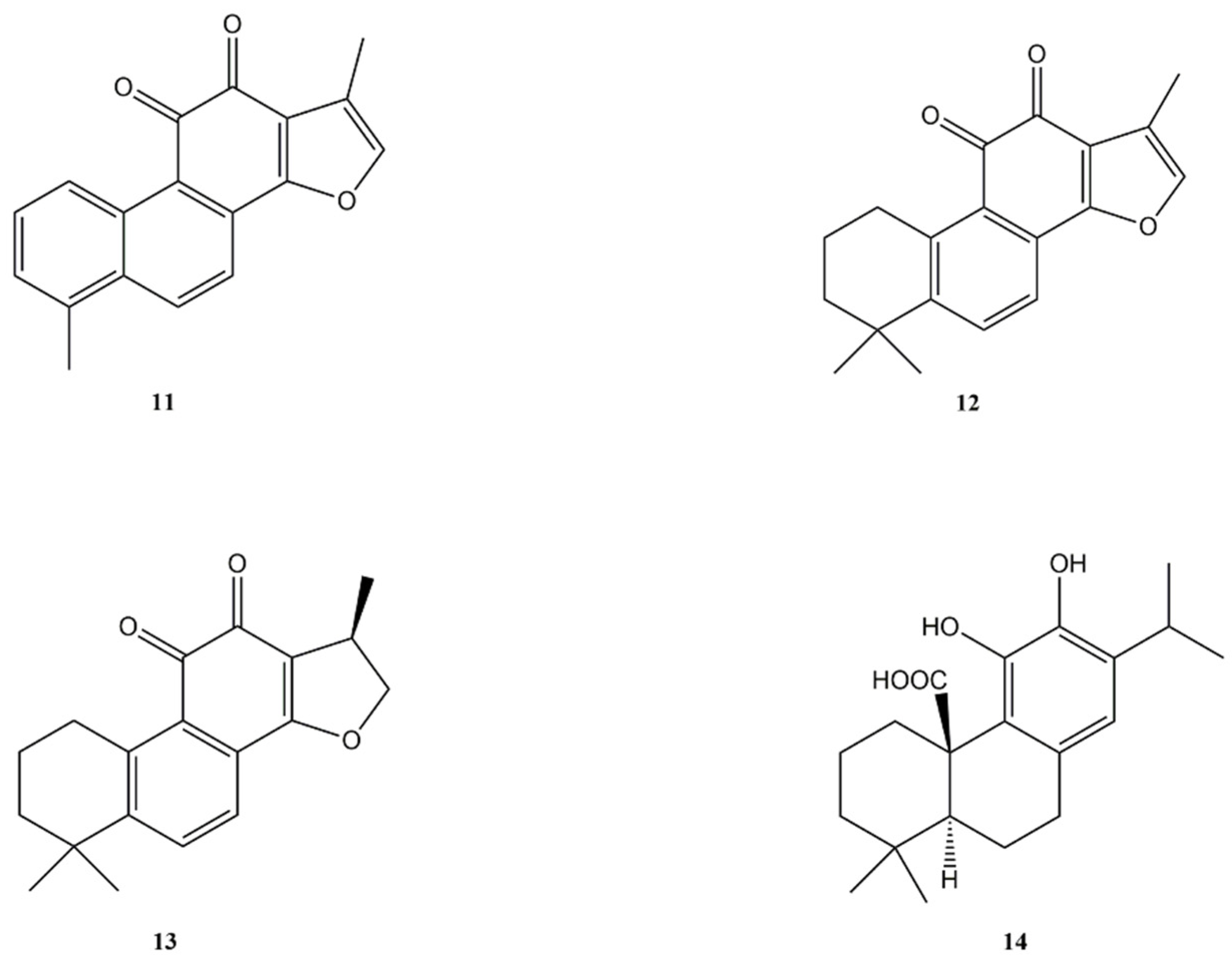
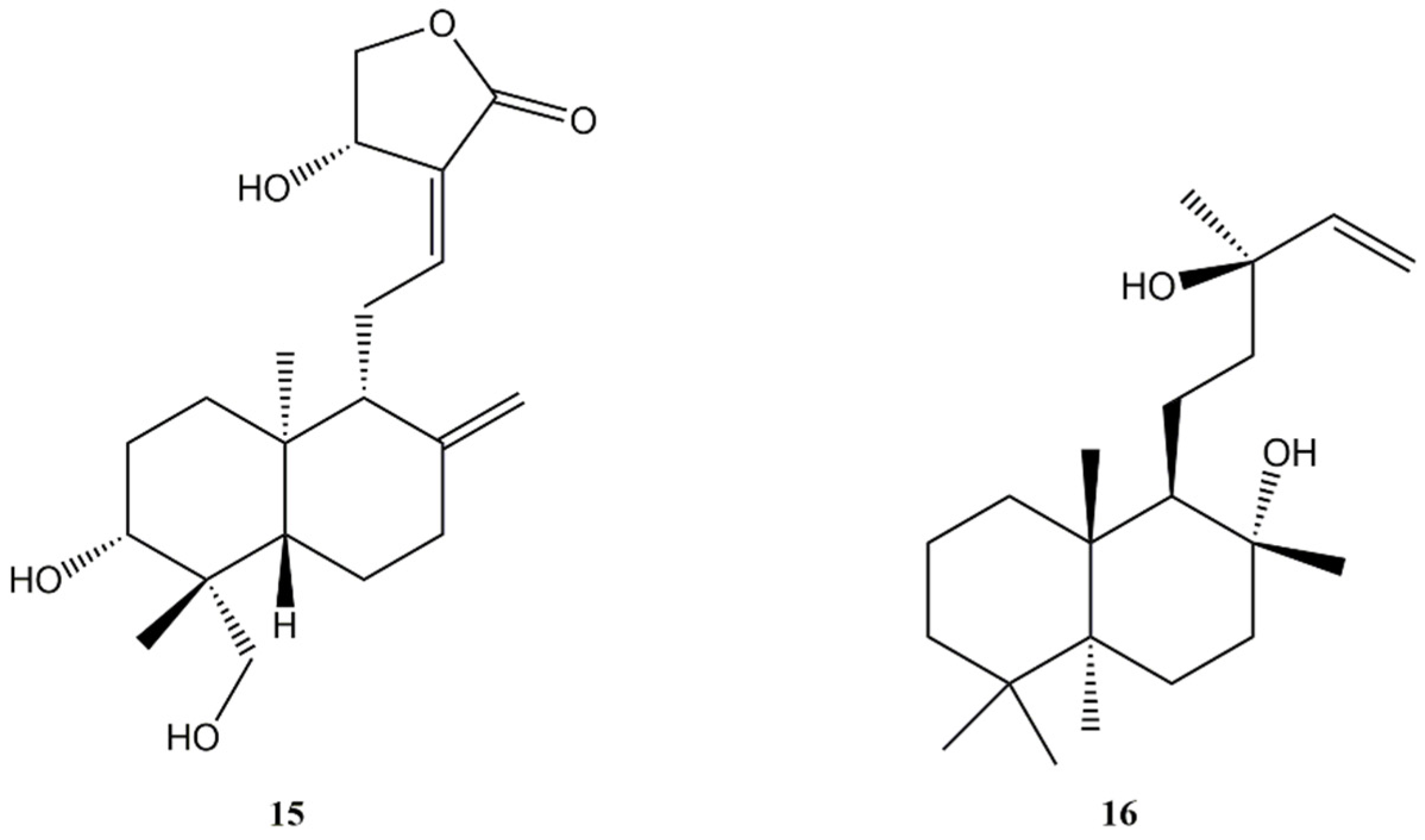
4. Abietane Skeleton
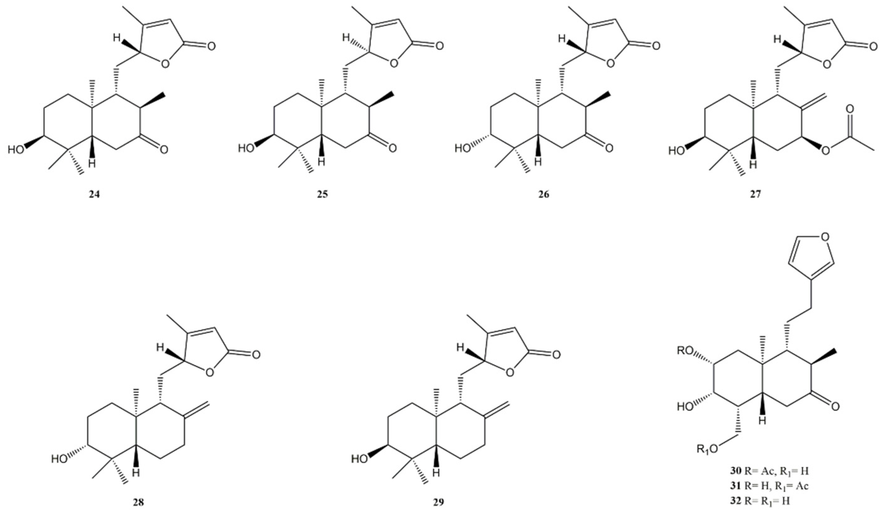
5. Labdane Skeleton
Ent-Labdane Skeleton
6. Clerodane Skeleton
7. Conclusions
Author Contributions
Funding
Institutional Review Board Statement
Informed Consent Statement
Data Availability Statement
Conflicts of Interest
References
- Song, M.; Giovannucci, E. Preventable incidence and mortality of carcinoma associated with lifestyle factors among white adults in the United States. JAMA Oncol. 2016, 2, 1154–1161. [Google Scholar] [CrossRef] [PubMed]
- Iqbal, J.; Ahsan Abbasi, B.; Mahmood, T.; Kanwal, S.; Ali, B.; Afzal Shah, S.; Talha Khalil, A. Plant-derived anticancer agents: A green anticancer approach. Asian Pac. J. Trop. Biomed. 2017, 7, 1129–1150. [Google Scholar] [CrossRef]
- Arem, H.; Loftfield, E. Cancer Epidemiology: A Survey of modifiable risk factors for prevention and survivorship. Am. J. Lifestyle Med. 2018, 12, 200–210. [Google Scholar] [CrossRef] [PubMed]
- Cragg, G.M.; Grothaus, P.G.; Newman, D.J. Impact of natural products on developing new anti-cancer agents. Chem. Rev. 2009, 109, 3012–3043. [Google Scholar] [CrossRef]
- Hartwell, J.L. Plants used against cancer. A survey. Lloydia 1971, 34, 386–425. [Google Scholar]
- Loizzo, M.R.; Tundis, R.; Statti, G.A.; Menichini, F. Jacaranone: A cytotoxic constituent from Senecio ambiguus subsp. ambiguus (biv.) DC. against renal adenocarcinoma ACHN and prostate carcinoma LNCaP cells. Arch. Pharm. Res. 2007, 30, 701–707. [Google Scholar] [CrossRef] [PubMed]
- Loizzo, M.R.; Abouali, M.; Salehi, P.; Sonboli, A.; Kanani, M.; Menichini, F.; Tundis, R. In Vitro antioxidant and antiproliferative activities of nine Salvia species. Nat. Prod. Res. 2014, 28, 2278–2285. [Google Scholar] [CrossRef]
- Malfa, G.A.; Tomasello, B.; Acquaviva, R.; Genovese, C.; La Mantia, A.; Cammarata, F.P.; Ragusa, M.; Renis, M.; Di Giacomo, C. Betula etnensis Raf. (Betulaceae) extract induced ho-1 expression and ferroptosis cell death in human colon cancer cells. Int. J. Mol. Sci. 2019, 20, 2723. [Google Scholar] [CrossRef] [PubMed]
- Rejhová, A.; Opattová, A.; Čumová, A.; Slíva, D.; Vodička, P. Natural compounds and combination therapy in colorectal cancer treatment. Eur. J. Med. Chem. 2018, 144, 582–594. [Google Scholar] [CrossRef]
- Tay, K.C.; Tan, L.T.; Chan, C.K.; Hong, S.L.; Chan, K.G.; Yap, W.H.; Pusparajah, P.; Lee, L.H.; Goh, B.H. Formononetin: A review of its anticancer potentials and mechanisms. Front. Pharmacol. 2019, 10, 820. [Google Scholar] [CrossRef]
- Tundis, R.; Bonesi, M.; Deguin, B.; Loizzo, M.R.; Menichini, F.; Conforti, F.; Tillequin, F.; Menichini, F. Cytotoxic activity and inhibitory effect on nitric oxide production of triterpene saponins from the roots of Physospermum verticillatum (Waldst & Kit) (Apiaceae). Bioorg. Med. Chem. 2009, 17, 4542–4547. [Google Scholar]
- Islam, M.T. Diterpenes and their derivatives as potential anticancer agents. Phytother. Res. 2017, 31, 691–712. [Google Scholar] [CrossRef] [PubMed]
- Cox, R.E.; Yamamoto, S.; Otto, A.; Simoneit, B.R.T. Oxygenated di- and tricyclic diterpenoids of southern hemisphere conifers. Biochem. Syst. Ecol. 2007, 35, 342–362. [Google Scholar] [CrossRef]
- González, M.A. Aromatic abietane diterpenoids: Their biological activity and synthesis. Nat. Prod. Rep. 2015, 32, 684–704. [Google Scholar] [CrossRef]
- Kabouche, A.; Kabouche, Z. Bioactive diterpenoids of Salvia species. In Studies in Natural Products Chemistry; Elsevier: Amsterdam, The Netherlands, 2008; Volume 35, pp. 753–833. [Google Scholar]
- Topçu, G.; Gören, A.C. Biological activity of diterpenoids isolated from Anatolian Lamiaceae plants. Rec. Nat. Prod. 2007, 1, 1–16. [Google Scholar]
- Wu, Y.-B.; Ni, Z.-Y.; Shi, Q.-W.; Dong, M.; Kiyota, H.; Gu, Y.-C.; Cong, B. Constituents from Salvia species and their biological activities. Chem. Rev. 2012, 112, 5967–6026. [Google Scholar] [CrossRef] [PubMed]
- da Araújo, E.C.; Lima, M.A.; Montenegro, R.C.; Nogueira, M.; Costa-Lotufo, L.V.; Pessoa, C.; de Moraes, M.O.; Silveira, E.R. Cytotoxic abietane diterpenes from Hyptis martiusii Benth. Z. Naturforsch. C 2006, 61, 177–183. [Google Scholar] [CrossRef] [PubMed]
- Fronza, M.; Lamy, E.; Günther, S.; Heinzmann, B.; Laufer, S.; Merfort, I. Abietane diterpenes induce cytotoxic effects in human pancreatic cancer cell line MIA PaCa-2 through different modes of action. Phytochemistry 2012, 78, 107–119. [Google Scholar] [CrossRef] [PubMed]
- Lee, C.L.; Chang, F.R.; Hsieh, P.W.; Chiang, M.Y.; Wu, C.C.; Huang, Z.Y.; Lan, Y.H.; Chen, M.; Lee, K.H.; Yen, H.F.; et al. Cytotoxic ent-abietane diterpenes from Gelonium aequoreum. Phytochemistry 2008, 69, 276–287. [Google Scholar] [CrossRef]
- Zaher, A.M.; Lin, J.; Arai, M. Cytotoxic activity of abietane-type diterpenes isolated from Taxodium distichum against cancer cells adapted to nutrient-starved conditions. Nat. Prod. Commun. 2020, 15, 1934578X20915298. [Google Scholar] [CrossRef]
- Wu, X.; He, Y.; Zhang, G.; Wu, J.; Hou, Y.; Gu, Y.; Chen, H. Royleanone diterpenoid exhibits potent anticancer effects in LNCaP human prostate carcinoma cells by inducing mitochondrial mediated apoptosis, cell cycle arrest, suppression of cell migration and downregulation of mTOR/PI3K/AKT signalling pathway. J. Buon. 2018, 23, 1055–1060. [Google Scholar]
- Matias, D.; Nicolai, M.; Saraiva, L.; Pinheiro, R.; Faustino, C.; Lanza, A.D.; Reis, C.P.; Stankovic, T.; Dinic, J.; Pesic, M.; et al. Cytotoxic activity of royleanone diterpenes from Plectranthus madagascariensis Benth. ACS Omega 2019, 4, 8094–8103. [Google Scholar] [CrossRef] [PubMed]
- Garcia, C.; Silva, C.O.; Monteiro, C.M.; Nicolai, M.; Viana, A.; Andrade, J.M.; Barasoain, I.; Stankovic, T.; Quintana, J.; Hernández, I.; et al. Anticancer properties of the abietane diterpene 6,7-dehydroroyleanone obtained by optimized extraction. Future Med. Chem. 2018, 10, 1177–1189. [Google Scholar] [CrossRef] [PubMed]
- Sitarek, P.; Toma, M.; Ntungwe, E.; Kowalczyk, T.; Skała, E.; Wieczfinska, J.; Sliwinski, T.; Rijo, P. Insight the biological activities of selected abietane diterpenes isolated from Plectranthus spp. Biomolecules 2020, 10, 194. [Google Scholar] [CrossRef]
- Li, Q.; Zhang, J.; Liang, Y.; Mu, W.; Hou, X.; Ma, X.; Cao, Q. Tanshinone l exhibits anticancer effects in human endometrial carcinoma HEC-1-A cells via mitochondrial mediated apoptosis, cell cycle arrest and inhibition of JAK/STAT signalling pathway. J. Buon. 2018, 23, 1092–1096. [Google Scholar] [PubMed]
- Cao, Y.F.; Wang, S.F.; Li, X.; Zhang, Y.L.; Qiao, Y.J. The anticancer mechanism investigation of Tanshinone IIA by pharmacological clustering in protein network. BMC Syst. Biol. 2018, 12, 90. [Google Scholar] [CrossRef]
- Fang, Z.Y.; Zhang, M.; Liu, J.-N.; Zhao, X.; Zhang, Y.-Q.; Fang, L. Tanshinone IIA: A review of its anticancer effects. Front. Pharmacol. 2021, 11, 611087. [Google Scholar] [CrossRef]
- Fu, L.; Han, B.; Zhou, Y.; Ren, J.; Cao, W.; Patel, G.; Kai, G.; Zhang, J. The anticancer properties of tanshinones and the pharmacological effects of their active ingredients. Front. Pharmacol. 2020, 11, 193. [Google Scholar] [CrossRef]
- Chiu, T.L.; Su, C.C. Tanshinone IIA increases protein expression levels of PERK, ATF6, IRE1a, CHOP, caspase-3 and caspase-12 in pancreatic cancer BxPC-3 cell-derived xenograft tumors. Mol. Med. Rep. 2017, 15, 3259–3263. [Google Scholar] [CrossRef]
- Lv, C.; Zeng, H.W.; Wang, J.X.; Yuan, X.; Zhang, C.; Fang, T.; Yang, P.M.; Wu, T.; Zhou, Y.D.; Nagle, D.G.; et al. The antitumor natural product tanshinone IIA inhibits protein kinase C and acts synergistically with 17-AAG. Cell Death Dis. 2018, 9, 165. [Google Scholar] [CrossRef]
- He, L.; Gu, K. Tanshinone IIA regulates colorectal cancer apoptosis via attenuation of Parkinmediated mitophagy by suppressing AMPK/Skp2 pathways. Mol. Med. Rep. 2018, 18, 1692–1703. [Google Scholar]
- Liao, X.Z.; Gao, Y.; Huang, S.; Chen, Z.Z.; Sun, L.L.; Liu, J.H.; Chen, H.R.; Yu, L.; Zhang, J.X.; Lin, L.Z. Tanshinone IIA combined with cisplatin synergistically inhibits non-small-cell lung cancer In Vitro and in vivo via down-regulating the phosphatidylinositol 3-kinase/Akt signalling pathway. Phytother. Res. 2019, 33, 2298–2309. [Google Scholar] [CrossRef]
- Chen, Z.; Zhu, R.; Zheng, J.; Chen, C.; Huang, C.; Ma, J.; Xu, C.; Zhai, W.; Zheng, J. Cryptotanshinone inhibits proliferation yet induces apoptosis by suppressing STAT3 signals in renal cell carcinoma. Oncotarget 2017, 8, 50023–50033. [Google Scholar] [CrossRef]
- Zhang, Y.; Guo, S.; Fang, J.; Peng, B.; Zhang, Y.; Cao, T. Tanshinone IIA inhibits cell proliferation and tumor growth by downregulating STAT3 in human gastric cancer. Exp. Ther. Med. 2018, 16, 2931–2937. [Google Scholar] [CrossRef]
- Zhou, L.; Chan, W.K.; Xu, N.; Xiao, K.; Luo, H.; Luo, K.Q.; Chang, D.C. Tanshinone IIA, an isolated compound from Salvia miltiorrhiza Bunge, induces apoptosis in HeLa cells through mitotic arrest. Life Sciences. 2008, 83, 394–403. [Google Scholar] [CrossRef] [PubMed]
- Zu, Y.; Wang, J.; Ping, W.; Sun, W. Tan IIA inhibits H1299 cell viability through theMDM4IAP3 signaling pathway. Mol. Med. Rep. 2018, 17, 2384–2392. [Google Scholar]
- Li, G.; Shan, C.; Liu, L.; Zhou, T.; Zhou, J.; Hu, X.; Chen, Y.; Cui, H.; Gao, N. Tanshinone IIA inhibits HIF-1a and VEGF expression in breast cancer cells via mTOR/p70S6K/RPS6/4E-BP1 signaling pathway. PLoS ONE 2015, 10, e0117440. [Google Scholar]
- Xing, Y.; Tu, J.; Zheng, L.; Guo, L.; Xi, T. Anti-angiogenic effect of tanshinone IIA involves inhibition of the VEGF/VEGFR2 pathway in vascular endothelial cells. Oncol. Rep. 2015, 33, 163–170. [Google Scholar] [CrossRef] [PubMed]
- Huang, S.T.; Huang, C.C.; Huang, W.L.; Lin, T.K.; Liao, P.L.; Wang, P.W.; Liou, C.W.; Chuang, J.H. Tanshinone IIA induces intrinsic apoptosis in osteosarcoma cells both in vivo and in vitro associated with mitochondrial dysfunction. Sci. Rep. 2017, 7, srep40382. [Google Scholar] [CrossRef]
- Sui, H.; Zhao, J.; Zhou, L.; Wen, H.; Deng, W.; Li, C.; Ji, Q.; Liu, X.; Feng, Y.; Chai, N.; et al. Tanshinone IIA inhibits beta-catenin/VEGF-mediated angiogenesis by targeting TGF-beta1 in normoxic and HIF-1alpha in hypoxic microenvironments in human colorectal cancer. Cancer Lett. 2017, 403, 86–97. [Google Scholar] [CrossRef]
- Su, C.C.; Chen, G.W.; Lin, J.G. Growth inhibition and apoptosis induction by tanshinone I in human colon cancer Colo 205 cells. Int. J. Mol. Med. 2008, 22, 613–618. [Google Scholar] [PubMed]
- Su, C.C. Tanshinone IIA potentiates the efficacy of 5-FU in Colo205 colon cancer cells in vivo through downregulation of P-gp and LC3-II. Exp. Ther. Med. 2012, 3, 555–559. [Google Scholar] [CrossRef] [PubMed]
- Dong, B.; Liang, Z.; Chen, Z.; Li, B.; Zheng, L.; Yang, J.; Zhou, H.; Qu, L. Cryptotanshinone suppresses key onco-proliferative and drug-resistant pathways of chronic myeloid leukemia by targeting STAT5 and STAT3 phosphorylation. Sci. China Life Sci. 2018, 61, 999–1009. [Google Scholar] [CrossRef]
- Yu, J.; Wang, X.; Li, Y.; Tang, B. Tanshinone IIA suppresses gastric cancer cell proliferation and migration by downregulation of FOXM1. Oncol. Rep. 2017, 37, 1394–1400. [Google Scholar] [CrossRef]
- Ge, Y.; Zhou, S.; Li, Y.; Wang, Z.; Chen, S.; Xia, T.; Shen, J.; Teng, H.; Jiang, Q. Estrogen prevents articular cartilage destruction in a mouse model of AMPK deficiency via ERK-mTOR pathway. Ann. Transl. Med. 2019, 7, 336. [Google Scholar] [CrossRef] [PubMed]
- Yang, H.; Yun, G.; Xiaoye, F.; Xingkai, L.; Liping, P.; Xinxin, C. Oridonin sensitizes cisplatin-induced apoptosis via AMPK/Akt/mTORdependent autophagosome accumulation in A549 cells. Front. Oncol. 2019, 9, 769. [Google Scholar] [CrossRef]
- Yen, J.H.; Huang, S.T.; Huang, H.S.; Fong, Y.C.; Wu, Y.Y.; Chiang, J.H.; Su, Y.C. HGK-sestrin 2 signaling-mediated autophagy contributes to antitumor efficacy of Tanshinone IIA in human osteosarcoma cells. Cell Death Dis. 2018, 9, 1003. [Google Scholar] [CrossRef] [PubMed]
- Ye, Q.; Conghua, L.; Qinhua, W.; Xingqi, Z.; Ping, J. Tanshinone IIA induces cell death via Beclin-1-dependent autophagy in oral squamous cell carcinoma SCC-9 cell line. Cancer Med. 2018, 7, 397–407. [Google Scholar]
- Li, X.; Jia, Q.; Zhou, Y.; Jiang, X.; Song, L.; Wu, Y.; Wang, A.; Chen, W.; Wang, S.; Lu, Y. Tanshinone IIA attenuates the stemness of breast cancer cells via targeting the miR-125b/STARD13 axis. Exp. Hematol. Oncol. 2022, 11, 2. [Google Scholar] [CrossRef]
- Chen, C.; Gong, J.; Miao, H.; Lin, H.; Lin, J. The effects of cryptotanshinone on the expression of survivin in human cholangiocarcinoma cell of HCCC-9810. Guangdong Med. J. 2001, 32, 3028–3031. [Google Scholar]
- Chen, W.; Luo, Y.; Liu, L.; Zhou, H.; Xu, B.; Han, X.; Shen, T.; Liu, Z.; Lu, Y.; Huang, S. Cryptotanshinone inhibits cancer cell proliferation by suppressing Mammalian target of rapamycin-mediated cyclin D1 expression and Rb phosphorylation. Cancer Prev. Res. 2010, 3, 1015–1025. [Google Scholar] [CrossRef]
- Chen, L.; Zheng, S.Z.; Sun, Z.G.; Wang, A.Y.; Huang, C.H.; Punchard, N.A.; Huang, S.L.; Gao, X.; Lu, Y. Cryptotanshinone has diverse effects on cell cycle events in melanoma cell lines with different metastatic capacity. Cancer Chemother. Pharmacol. 2011, 68, 17–27. [Google Scholar] [CrossRef]
- Ye, Y.; Xu, W.; Zhong, W. Effects of cryptotanshinone on proliferation and apoptosis of Hela cell line of cervical cancer. Zhongguo Zhongyao Zazhi 2010, 35, 118–121. [Google Scholar]
- Ge, Y.; Cheng, R.; Zhou, Y.; Shen, J.; Peng, L.; Xu, X.; Dai, Q.; Liu, P.; Wang, H.; Ma, X.; et al. Cryptotanshinone induces cell cycle arrest and apoptosis of multidrug resistant human chronic myeloid leukemia cells by inhibiting the activity of eukaryotic initiation factor 4E. Mol. Cell Biochem. 2012, 368, 17–25. [Google Scholar] [CrossRef] [PubMed]
- Ashrafizadeh, M.; Zarrabi, A.; Orouei, S.; Saberifar, S.; Salami, S.; Hushmandi, K.; Najafi, M. Recent advances and future directions in anti-tumor activity of cryptotanshinone: A mechanistic review. Phytother. Res. 2021, 35, 155–179. [Google Scholar] [CrossRef] [PubMed]
- Jin, Z.; Chenghao, Y.; Cheng, P. Anticancer Effect of Tanshinones on Female Breast Cancer and Gynecological Cancer. Front. Pharmacol. 2022, 12, 824531. [Google Scholar] [CrossRef]
- Shin, D.S.; Kim, H.N.; Shin, K.D.; Yoon, Y.J.; Kim, S.J.; Han, D.C.; Kwon, B.M. Cryptotanshinone inhibits constitutive signal transducer and activator of transcription 3 function through blocking the dimerization in DU145 prostate cancer cells. Cancer Res. 2009, 69, 193–202. [Google Scholar] [CrossRef]
- Niu, G.; Wright, K.L.; Huang, M.; Song, L.; Haura, E.; Turkson, J.; Zhang, S.; Wang, T.; Sinibaldi, D.; Coppola, D.; et al. Constitutive Stat3 activity up-regulates VEGF expression and tumor angiogenesis. Oncogene 2002, 21, 2000–2008. [Google Scholar] [CrossRef]
- Zhang, L.; Chen, C.; Duanmu, J.; Wu, Y.; Tao, J.; Yang, A.; Li, C. Cryptotanshinone inhibits the growth and invasion of colon cancer by suppressing inflammation and tumor angiogenesis through modulating MMP/TIMP system, PI3K/Akt/mTOR signaling and HIF-1α nuclear translocation. Int. Immunopharmacol. 2018, 65, 429–437. [Google Scholar] [CrossRef] [PubMed]
- Fu, X.; Zhao, W.; Li, K.; Zhou, J.; Chen, X. Cryptotanshinone inhibits the growth of HCT116 colorectal cancer cells through endoplasmic reticulum stress-mediated autophagy. Front. Pharmacol. 2021, 12, 653232. [Google Scholar] [CrossRef]
- Vundavilli, H.; Datta, A.; Sima, C.; Hua, J.; Lopes, R.; Bittner, M. Targeting oncogenic mutations in colorectal cancer using cryptotanshinone. PLoS ONE. 2021, 16, e0247190. [Google Scholar] [CrossRef]
- Chen, Z.M.; Hu, J.; Xu, Y.M.; He, W.; Meng, L.; Huang, T.; Ying, S.C.; Jiang, Z.; Xu, A.M. Cryptotanshinone inhibits cytotoxin-associated gene A-associated development of gastric cancer and mucosal erosions. World J. Gastrointest. Oncol. 2021, 13, 693–705. [Google Scholar] [CrossRef] [PubMed]
- Li, Y.; Zhang, Y.; Liu, J. NETO2 promotes pancreatic cancer cell proliferation, invasion and migration via activation of the STAT3 signaling pathway. Cancer Manag. Res. 2019, 11, 5147–5156. [Google Scholar] [CrossRef] [PubMed]
- Ji, Y.; Liu, Y.; Xue, N.; Du, T.; Wang, L.; Huang, R.; Li, L.; Yan, C.; Chen, X. Cryptotanshinone inhibits esophageal squamous-cell carcinoma in vitro and in vivo through the suppression of STAT3 activation. Oncotargets Ther. 2019, 12, 883–896. [Google Scholar] [CrossRef]
- Yang, B.; Kuai, F.; Chen, Z.; Fu, D.; Liu, J.; Wu, Y.; Zhong, J. miR-634 decreases the Radioresistance of human breast Cancer cells by targeting STAT3. Cancer Biother. Radiopharm. 2020, 35, 241–248. [Google Scholar] [CrossRef]
- Ni, W.; Fan, H.; Zheng, X.; Xu, F.; Wu, Y.; Li, X.; Wang, A.; Huang, S.; Chen, W.; Wang, S.; et al. Cryptotanshinone Inhibits ERα-Dependent and -Independent BCRP Oligomer Formation to Reverse Multidrug Resistance in Breast Cancer. Front. Oncol. 2021, 11, 624811. [Google Scholar] [CrossRef]
- Shi, D.; Li, H.; Zhang, Z.; He, Y.; Chen, M.; Sun, L.; Zhao, P. Cryptotanshinone inhibits proliferation and induces apoptosis of breast cancer MCF-7 cells via GPER mediated PI3K/AKT signaling pathway. PLoS ONE 2022, 17, e0262389. [Google Scholar] [CrossRef]
- Yang, Y.; Cao, Y.; Chen, L.; Liu, F.; Qi, Z.; Cheng, X.; Wang, Z. Cryptotanshinone suppresses cell proliferation and glucose metabolism via STAT3/SIRT3 signaling pathway in ovarian cancer cells. Cancer Med. 2018, 7, 4610–4618. [Google Scholar] [CrossRef] [PubMed]
- Chang, J.H.; Lin, C.H.; Shibu, M.A.; Chou, Y.C.; Liu, J.Y.; Chou, Y.H.; Shen, C.Y.; Yeh, Y.L.; Viswanadha, V.P.; Huang, C.Y. Cryptotanshinone (Dsh-003) from Salvia miltiorrhiza Bunge inhibits prostaglandin E2-induced survival and invasion effects in HA22T hepatocellular carcinoma cells. Environ. Toxicol. 2018, 33, 1254–1260. [Google Scholar] [CrossRef]
- Liu, Y.; Lin, F.; Chen, Y.; Wang, R.; Liu, J.; Jin, Y.; An, R. Cryptotanshinone inhibites bladder cancer cell proliferation and promotes apoptosis via the PTEN/PI3K/AKT pathway. J. Cancer 2020, 11, 488–499. [Google Scholar] [CrossRef]
- Ye, T.; Zhu, S.; Zhu, Y.; Feng, Q.; He, B.; Xiong, Y.; Yang, L. Cryptotanshinone induces melanoma cancer cells apoptosis via ROS mitochondrial apoptotic pathway and impairs cell migration and invasion. Biomed. Pharmacother. 2016, 82, 319–326. [Google Scholar] [CrossRef]
- Wang, H.; Zhang, Y.; Zhang, Y.; Liu, W.; Wang, J. Cryptotanshinone inhibits lung cancer invasion via microRNA-133a/matrix metalloproteinase 14 regulation. Oncol. Lett. 2019, 18, 2554–2559. [Google Scholar] [CrossRef]
- Kim, E.J.; Kim, S.Y.; Kim, S.M.; Lee, M. A novel topoisomerase 2a inhibitor, cryptotanshinone, suppresses the growth of PC3 cells without apparent cytotoxicity. Toxicol. Appl. Pharmacol. 2017, 330, 84–92. [Google Scholar] [CrossRef] [PubMed]
- Cheng, R.; Huang, Y.; Fang, Y.; Wang, Q.; Yan, M.; Ge, Y. Cryptotanshinone enhances the efficacy of Bcr-Abl tyrosine kinase inhibitors via inhibiting STAT3 and eIF4E signalling pathways in chronic myeloid leukaemia. Pharm. Biol. 2021, 59, 893–903. [Google Scholar] [CrossRef] [PubMed]
- Park, I.J.; Kim, M.J.; Park, O.J.; Park, M.G.; Choe, W.; Kang, I.; Kim, S.S.; Ha, J. Cryptotanshinone sensitizes DU145 prostate cancer cells to Fas(APO1/CD95)-mediated apoptosis through Bcl-2 and MAPK regulation. Cancer Lett. 2010, 298, 88–98. [Google Scholar] [CrossRef]
- Tang, C.; Xue, H.L.; Huang, H.B.; Wang, X.G. Tanshinone IIA inhibits constitutive STAT3 activation, suppresses proliferation, and induces apoptosis in rat C6 glioma cells. Neurosci. Lett. 2010, 470, 126–129. [Google Scholar] [CrossRef] [PubMed]
- Shao, N.; Mao, J.; Xue, L.; Wang, R.; Zhi, F.; Lan, Q. Carnosic acid potentiates the anticancer effect of temozolomide by inducing apoptosis and autophagy in glioma. J. Neurooncol. 2019, 141, 277–288. [Google Scholar] [CrossRef]
- Shi, B.; Wang, L.F.; Meng, W.S.; Chen, L.; Meng, Z.L. Carnosic acid and fisetin combination therapy enhances inhibition of lung cancer through apoptosis induction. Int. J. Oncol. 2017, 50, 2123–2135. [Google Scholar] [CrossRef]
- D’Alesio, C.; Bellese, G.; Gagliani, M.C.; Aiello, C.; Grasselli, E.; Marcocci, G.; Bisio, A.; Tavella, S.; Daniele, T.; Cortese, K.; et al. Cooperative antitumor activities of carnosic acid and Trastuzumab in ERBB2+ breast cancer cells. J. Exp. Clin. Cancer Res. 2017, 36, 154. [Google Scholar] [CrossRef] [PubMed]
- Arakawa, N.; Okubo, A.; Yasuhira, S.; Takahashi, K.; Amano, H.; Akasaka, T.; Masuda, T.; Shibazaki, M.; Maesawa, C. Carnosic acid, an inducer of NAD(P)H quinone oxidoreductase 1, enhances the cytotoxicity of β-lapachone in melanoma cell lines. Oncol. Lett. 2018, 15, 2393–2400. [Google Scholar] [CrossRef]
- Lin, K.I.; Lin, C.C.; Kuo, S.M.; Lai, J.C.; Wang, Y.Q.; You, H.L.; Hsu, M.L.; Chen, C.H.; Shiu, L.Y. Carnosic acid impedes cell growth and enhances anticancer effects of carmustine and lomustine in melanoma. Biosci. Rep. 2018, 38, BSR20180005. [Google Scholar] [CrossRef] [PubMed]
- Su, K.; Wang, C.F.; Zhang, Y.; Cai, Y.J.; Zhang, Y.Y.; Zhao, Q. The inhibitory effects of carnosic acid on cervical cancer cells growth by promoting apoptosis via ROS-regulated signaling pathway. Biomed. Pharmacother. 2016, 82, 180–191. [Google Scholar] [CrossRef]
- El-Huneidi, W.; Bajbouj, K.; Muhammad, J.S.; Vinod, A.; Shafarin, J.; Khoder, G.; Saleh, M.A.; Taneera, J.; Abu-Gharbieh, E. Carnosic acid induces apoptosis and inhibits Akt/mTOR signaling in human gastric cancer cell lines. Pharmaceuticals 2021, 14, 230. [Google Scholar] [CrossRef]
- Jiang, S.; Qiu, Y.; Wang, Z.; Ji, Y.; Zhang, X.; Yan, X.; Zhan, Z. Carnosic acid induces antiproliferation and anti-metastatic property of esophageal cancer cells via MAPK signaling pathways. J. Oncol. 2021, 2021, 4451533. [Google Scholar] [CrossRef]
- Liu, X.; Dong, S.; Dong, M.; Li, Y.; Sun, Z.; Zhang, X.; Wang, Y.; Teng, L.; Wang, D. Transferrin-conjugated liposomes loaded with carnosic acid inhibit liver cancer growth by inducing mitochondria-mediated apoptosis. Int. J. Pharm. 2021, 607, 121034. [Google Scholar] [CrossRef] [PubMed]
- Pesakhov, S.; Nachliely, M.; Barvish, Z.; Aqaqe, N.; Schwartzman, B.; Voronov, E.; Sharoni, Y.; Studzinski, G.P.; Fishman, D.; Danilenko, M. Cancer-selective cytotoxic Ca2+ overload in acute myeloid leukemia cells and attenuation of disease progression in mice by synergistically acting polyphenols curcumin and carnosic acid. Oncotarget 2016, 7, 31847–31861. [Google Scholar] [CrossRef] [PubMed]
- Trachtenberg, A.; Muduli, S.; Sidoryk, K.; Cybulski, M.; Danilenko, M. Synergistic Cytotoxicity of Methyl 4-Hydroxycinnamate and Carnosic Acid to Acute Myeloid Leukemia Cells via Calcium-Dependent Apoptosis Induction. Front. Pharmacol. 2019, 10, 507. [Google Scholar] [CrossRef]
- Ossikbayeva, S.; Khanin, M.; Sharoni, Y.; Trachtenberg, A.; Tuleukhanov, S.; Sensenig, R.; Rom, S.; Danilenko, M.; Orynbayeva, Z. Curcumin and carnosic acid cooperate to inhibit proliferation and alter mitochondrial function of metastatic prostate cancer cells. Antioxidants 2021, 10, 1591. [Google Scholar] [CrossRef] [PubMed]
- Zhao, L.; Zhang, J.; Fan, Y.; Li, Y. Antiproliferative activity of carnosic acid is mediated via inhibition of cell migration and invasion, and suppression of phosphatidylinositol 3-kinases (PI3K)/AKT/mammalian target of rapamycin (mTOR) signaling pathway. Med. Sci. Monit. 2019, 25, 7864–7871. [Google Scholar] [CrossRef]
- Corveloni, A.C.; Semprebon, S.C.; Baranoski, A.; Biazi, B.I.; Zanetti, T.A.; Mantovani, M.S. Carnosic acid exhibits antiproliferative and proapoptotic effects in tumoral NCI-H460 and nontumoral IMR-90 lung cells. J. Toxicol. Environ. Health A 2020, 83, 412–421. [Google Scholar] [CrossRef]
- Itokawa, H.; Morita, H.; Katou, I.; Takeya, K.; Cavalheiro, A.J.; de Oliveira, R.C.; Ishige, M.; Motidome, M. Cytotoxic diterpenes from the rhizomes of Hedychium coronarium. Planta Med. 1988, 54, 311–315. [Google Scholar] [CrossRef]
- Singh, M.; Pal, M.; Sharma, R.P. Biological activity of the labdane diterpenes. Planta Med. 1999, 65, 2–8. [Google Scholar] [CrossRef]
- Tran, Q.T.N.; Wong, W.S.F.; Chai, C.L.L. Labdane diterpenoids as potential anti-inflammatory agents. Pharmacol. Res. 2017, 124, 43–63. [Google Scholar] [CrossRef]
- Balbinot, R.B.; de Oliveira, J.A.M.; Bernardi, D.I.; Melo, U.Z.; Zanqueta, É.B.; Endo, E.H.; Ribeiro, F.M.; Volpato, H.; Figueiredo, M.C.; Back, D.F.; et al. Structural characterization and biological evaluation of 18-nor-ent-labdane diterpenoids from Grazielia gaudichaudeana. Chem. Biodiv. 2019, 16, e1800644. [Google Scholar] [CrossRef] [PubMed]
- Chen, C.C.; Wu, M.L.; Doerksen, R.J.; Ho, C.T.; Huang, T.C. Andrographolide induces apoptosis via down-regulation of glyoxalase 1 and HMG-CoA reductase in HL-60 cells. J. Funct. Foods 2015, 14, 226–235. [Google Scholar] [CrossRef]
- Lee, Y.C.; Lin, H.H.; Hsu, C.H.; Wang, C.J.; Chiang, T.A.; Chen, J.H. Inhibitory effects of andrographolide on migration and invasion in human non-small cell lung cancer A549 cells via down-regulation of PI3K/Akt signaling pathway. Eur. J. Pharmacol. 2010, 632, 23–32. [Google Scholar] [CrossRef] [PubMed]
- Yang, S.; Evens, A.M.; Prachand, S.; Singh, A.T.K.; Bhalla, S.; David, K.; Gordon, L.I. Mitochondrial-mediated apoptosis in lymphoma cells by the diterpenoid lactone andrographolide, the active component of Andrographis paniculata. Clin. Cancer Res. 2010, 16, 4755–4768. [Google Scholar] [CrossRef]
- Giang, P.M.; Son, P.T.; Matsunami, K.; Otsuka, H. New labdane-type diterpenoids from Leonurus heterophyllus SW. Chem. Pharm. Bull. 2005, 53, 938–941. [Google Scholar] [CrossRef]
- Matsuda, H.; Morikawa, T.; Sakamoto, Y.; Toguchida, I.; Yoshikawa, M. Labdane-type diterpenes with inhibitory effects on increase in vascular permeability and nitric oxide production from Hedychium coronarium. Bioorg. Med. Chem. 2002, 10, 2527–2534. [Google Scholar] [CrossRef]
- Zhao, Q.; Qing, C.; Hao, X.J.; Han, J.; Zuo, G.Y.; Zuo, C.; Xu, G.L. Cytotoxicity of labdane-type diterpenoids from Hedychium forrestii. Chem. Pharm. Bull. 2008, 56, 210–212. [Google Scholar] [CrossRef] [PubMed]
- Bradette-Hebert, M.E.; Legault, J.; Lavoie, S.; Pichette, A. A new labdane diterpene from the flowers of Solidago canadensis. Chem. Pharm. Bull. 2008, 56, 82–84. [Google Scholar] [CrossRef] [PubMed][Green Version]
- Su, M.; Qin, B.; Liu, F.; Chen, Y.; Zhang, R. Andrographolide enhanced 5-fluorouracil-induced antitumor effect in colorectal cancer via inhibition of c-MET pathway. Drug Des. Devel. Ther. 2017, 11, 3333–3341. [Google Scholar] [CrossRef] [PubMed]
- Khan, I.; Khan, F.; Farooqui, A.; Ansari, I.A. Andrographolide exhibits anticancer potential against human colon cancer cells by inducing cell cycle arrest and programmed cell death via augmentation of intracellular reactive oxygen species level. Nutr. Cancer 2018, 70, 787–803. [Google Scholar] [CrossRef] [PubMed]
- Hodroj, M.H.; Jardaly, A.; Abi Raad, S.; Zouein, A.; Rizk, S. Andrographolide potentiates the antitumor effect of topotecan in acute myeloid leukemia cells through an intrinsic apoptotic pathway. Cancer Manag. Res. 2018, 10, 1079–1088. [Google Scholar] [CrossRef]
- Gao, H.; Li, H.; Liu, W.; Mishra, S.K.; Li, C. Andrographolide induces apoptosis in gastric cancer cells through reactivation of p53 and Inhibition of Mdm-2. Dokl. Biochem. Biophys. 2021, 500, 393–401. [Google Scholar] [CrossRef]
- Li, J.; Huang, L.; He, Z.; Chen, M.; Ding, Y.; Yao, Y.; Duan, Y.; Li, Z.; Qi, C.; Zheng, L.; et al. Andrographolide suppresses the growth and metastasis of luminal-like breast cancer by inhibiting the NF-κB/miR-21-5p/PDCD4 signaling pathway. Front. Cell Dev. Biol. 2021, 9, 643525. [Google Scholar] [CrossRef]
- Dimas, K.; Demetzos, C.; Ioannidis, P.; Trangas, T. Labdane type diterpenes down-regulate the expression of c-Myc protein but not of Bcl-2, in human leukemia T-cell lines undergoing apoptosis. Leuk. Res. 2001, 25, 449–454. [Google Scholar] [CrossRef]
- Dimas, K.; Papadaki, M.; Tsimplouli, C.; Hatziantoniou, S.; Alevizopoulos, K.; Pantazis, P.; Demetzos, C. Labd-14-ene-8, 13-diol (sclareol) induces cell cycle arrest and apoptosis in human breast cancer cells and enhances the activity of anticancer drugs. Biomed. Pharmacother. 2006, 60, 127–133. [Google Scholar] [CrossRef]
- Dimas, K.; Hatziantoniou, S.; Tseleni, S.; Khan, H.; Georgopoulos, A.; Alevizopoulos, K.; Wyche, J.H.; Pantazis, P.; Demetzos, C. Sclareol induces apoptosis in human HCT116 colon cancer cells in vitro and suppression of HCT116 tumor growth in immunodeficient mice. Apoptosis 2007, 12, 685–694. [Google Scholar] [CrossRef]
- Hatziantoniou, S.; Dimas, K.; Georgopoulos, A.; Sotiriadou, N.; Demetzos, C. Cytotoxic and antitumor activity of liposome-incorporated sclareol against cancer cell lines and human colon cancer xenografts. Pharmacol. Res. 2006, 53, 80–87. [Google Scholar] [CrossRef]
- Zhang, T.; Wang, T.; Cai, P. Sclareol inhibits cell proliferation and sensitizes cells to the antiproliferative effect of bortezomib via upregulating the tumor suppressor caveolin-1 in cervical cancer cells. Mol. Med. Rep. 2017, 15, 3566–3574. [Google Scholar] [CrossRef] [PubMed]
- Lockshin, R.A.; Zakeri, Z. Caspase-independent cell death? Oncogene 2004, 23, 2766–2773. [Google Scholar] [CrossRef] [PubMed]
- Luo, X.; Budihardjo, I.; Zou, H.; Slaughter, C.; Wang, X. Bid, a Bcl-2-interacting protein mediates cytochrome c release from mitochondria in response to activation of cell surface death receptors. Cell 1998, 94, 481–490. [Google Scholar] [CrossRef]
- Mahaira, L.G.; Tsimplouli, C.; Sakellaridis, N.; Alevizopoulos, K.; Demetzos, C.; Han, Z.; Pantazis, P.; Dimas, K. The labdane diterpene sclareol (labd-14-ene-8, 13-diol) induces apoptosis in human tumor cell lines and suppression of tumor growth in vivo via a p53-independent mechanism of action. Eur. J. Pharmacol. 2011, 666, 173–182. [Google Scholar] [CrossRef]
- Souza-Fagundes, E.M.; Brumatti, G.; Martins-Filho, O.A.; Corrêa-Oliveira, R.; Zani, C.L.; Mendes, A.-G.P. Myriadenolide, a labdane diterpene isolated from Alomia myriadenia (asteraceae) induces depolarization of mitochondrial membranes and apoptosis associated with activation of caspases-8, -9, and -3 in Jurkat and THP-1 cells. Exp. Cell Res. 2003, 290, 420–426. [Google Scholar] [CrossRef]
- Cosco, D.; Mare, R.; Paolino, D.; Salvatici, M.C.; Cilurzo, F.; Fresta, M. Sclareol-loaded hyaluronan-coated PLGA nanoparticles: Physico-chemical properties and in vitro anticancer features. Int. J. Biol. Macromol. 2019, 132, 550–557. [Google Scholar] [CrossRef]
- Borges, G.S.M.; Silva, J.O.; Fernandes, R.S.; de Souza, Â.M.; Cassali, G.D.; Yoshida, M.I.; Leite, E.A.; de Barros, A.L.B.; Ferreira, L.A.M. Sclareol is a potent enhancer of doxorubicin: Evaluation of the free combination and co-loaded nanostructured lipid carriers against breast cancer. Life Sci. 2019, 232, 116678. [Google Scholar] [CrossRef]
- Chen, H.L.; Gong, J.Y.; Lin, S.C.; Li, S.; Chiang, Y.-C.; Hung, J.-H.; Yen, C.-C.; Lin, C.-C. Effects of sclareol against small cell lung carcinoma and the related mechanism: In vitro and in vivo studies. Anticancer Res. 2020, 40, 4947–4960. [Google Scholar] [CrossRef]
- Zhao, H.; Zeng, G.; Zhao, S.; Xu, J.; Kong, L.; Li, Y.; Tan, N.; Yang, S. Cytotoxic labdane-type diterpenes from Hedychium longipetalum inhibiting production of nitric oxide. Bioorg. Med. Chem. Lett. 2015, 25, 4572–4575. [Google Scholar] [CrossRef]
- Qiao, Y.; Khutsishvili, M.; Alizade, V.; Atha, D.; Borris, R.P. Labdane and abietane diterpenoids from Juniperus oblonga and their cytotoxic activity. Molecules 2019, 24, 1561. [Google Scholar] [CrossRef]
- Castillo, Q.A.; Triana, J.; Eiroa, J.L.; Calcul, L.; Rivera, E.; Wojtas, L.; Padrón, J.M.; Boberieth, L.; Keramane, M.; Abel-Santos, E.; et al. ent-Labdane diterpenoids from the aerial parts of Eupatorium obtusissmum. J. Nat. Prod. 2016, 79, 907–913. [Google Scholar] [CrossRef]
- Li, R.; Morris-Natschke, S.L.; Lee, K.H. Clerodane diterpenes: Sources, structures, and biological activities. Nat. Prod. Rep. 2016, 33, 1166–1226. [Google Scholar] [CrossRef] [PubMed]
- Cai, S.; Risinger, A.L.; Petersen, C.L.; Grkovic, T.; O’Keefe, B.R.; Mooberry, S.; Cichewicz, R.H. Anacolosins A-F and corymbulosins X and Y, clerodane diterpenes from Anacolosa clarkii exhibiting cytotoxicity toward pediatric cancer cell lines. J. Nat. Prod. 2019, 85, 928–936. [Google Scholar] [CrossRef] [PubMed]
- Zhang, L.-T.; Wang, X.-L.; Wang, T.; Zhang, J.-S.; Huang, Z.-Q.; Shen, T.; Lou, H.-X.; Ren, D.-M.; Wang, X.-N. Dolabellane and clerodane diterpenoids from the twigs and leaves of Casearia kurzii. J. Nat. Prod. 2020, 83, 2817–2830. [Google Scholar] [CrossRef]
- Shuo, Y.; Zhang, C.; Yang, X.; Liu, F.; Zhang, Q.; Li, A.; Ma, J.; Lee, D.; Ohizumi, Y.; Guo, Y. Clerodane diterpenoids from Casearia kurzii and their cytotoxic activities. J. Nat. Med. 2019, 73, 826–833. [Google Scholar] [CrossRef]
- Liang, Y.; Zhang, Q.; Yang, X.; Li, Y.; Zhang, X.; Li, Y.; Du, Q.; Jin, D.Q.; Cui, J.; Lall, N.; et al. Diterpenoids from the leaves of Casearia kurzii showing cytotoxic activities. Bioorg. Chem. 2020, 98, 103741. [Google Scholar] [CrossRef]
- Ferreira, P.M.P.; Militão, G.C.; Lima, D.J.; Costa, N.D.; Machado, K.C.; Santos, A.G.; Cavalheiro, A.J.; Bolzani, V.S.; Silva, D.H.; Pessoa, C. Morphological and biochemical alterations activated by antitumor clerodane diterpenes. Chem. Biol. Interact. 2014, 222, 112–125. [Google Scholar] [CrossRef]
- Ferreira, P.M.P.; Bezerra, D.P.; Silva, J.D.N.; da Costa, M.P.; Ferreira, J.R.O.; Alencar, N.M.N.; Figueiredo, I.S.T.; Cavalheiro, A.J.; Machado, C.M.L.; Chammas, R.; et al. Preclinical anticancer effectiveness of a fraction from Casearia sylvestris and its component Casearin X: In vivo and ex vivo methods and microscopy examinations. J. Ethnopharmacol. 2016, 186, 270–279. [Google Scholar] [CrossRef]
- Ferreira-Silva, G.Á.; Lages, C.C.L.; Sartorelli, P.; Hasegawa, F.R.; Soares, M.G.; Ionta, M. Casearin D inhibits ERK phosphorylation and induces downregulation of cyclin D1 in HepG2 cells. Toxicol. 2017, 38, 27–32. [Google Scholar] [CrossRef] [PubMed]
- De Ford, C.; Heidersdorf, B.; Haun, F.; Murillo, R.; Friedrich, T.; Borner, C.; Merfort, I. The clerodane diterpene casearin J induces apoptosis of T-ALL cells through SERCA inhibition, oxidative stress, and interference with Notch1 signaling. Cell. Death Dis. 2016, 7, e2070. [Google Scholar] [CrossRef]
- Beutler, J.A.; McCall, K.L.; Herbert, K.; Johnson, T.; Shoemaker, R.H.; Boyd, M.R. Cytotoxic clerodane diterpene esters from Laetia corymbulosa. Phytochemistry 2000, 55, 233–236. [Google Scholar] [CrossRef]
- Aimaiti, S.; Suzuki, A.; Saito, Y.; Fukuyoshi, S.; Goto, M.; Miyake, K.; Newman, D.J.; O’Keefe, B.R.; Lee, K.H.; Nakagawa-Goto, K. Corymbulosins I-W, cytotoxic clerodane diterpenes from the bark of Laetia corymbulosa. J. Org. Chem. 2018, 83, 951–963. [Google Scholar] [CrossRef] [PubMed]
- Li, C.; Sun, X.; Yin, W.; Zhan, Z.; Tang, Q.; Wang, W.; Zhuo, X.; Wu, Z.; Zhang, H.; Li, Y.; et al. Clerodane diterpenoids from Croton crassifolius with Anti-inflammatory and anti-angiogenesis activities. Front. Chem. 2021, 9, 733350. [Google Scholar] [CrossRef] [PubMed]
- Bahadori, M.B.; Eskandani, M.; De Mieri, M.; Hamburger, M.; Nazemiyeh, H. Anti-proliferative activity-guided isolation of clerodermic acid from Salvia nemorosa L.: Geno/cytotoxicity and hypoxia-mediated mechanism of action. Food Chem. Toxicol. 2018, 120, 155–163. [Google Scholar] [CrossRef]
- Chen, Y.C.; Huang, B.M.; Lee, W.C.; Chen, Y.C. 16-Hydroxycleroda-3,13-dien-15,16-olide induces anoikis in human renal cell carcinoma cells: Involvement of focal adhesion disassembly and signaling. Onco-Targets Ther. 2018, 11, 7679–7690. [Google Scholar] [CrossRef]
- Chen, Y.C.; Wang, P.Y.; Huang, B.M.; Chen, Y.J.; Lee, W.C.; Chen, Y.C. 16-Hydroxycleroda-3,13-Dien-15,16-olide induces apoptosis in human bladder cancer cells through cell cycle arrest, mitochondria ros overproduction, and inactivation of egfr-related signalling pathways. Molecules 2020, 25, 3958. [Google Scholar] [CrossRef]
- Fadayomi, I.E.; Johnson-Ajinwo, O.R.; Pires, E.; McCullagh, J.; Claridge, T.D.W.; Forsyth, N.R.; Li, W.W. Clerodane diterpenoids from an edible plant Justicia insularis: Discovery, cytotoxicity, and apoptosis induction in human ovarian cancer cells. Molecules 2021, 26, 5933. [Google Scholar] [CrossRef]
- Mantaj, J.; Rahman, S.M.; Bokshi, B.; Hasan, C.M.; Jackson, P.J.; Parsons, R.B.; Rahman, K.M. Crispene E, a cis-clerodane diterpene inhibits STAT3 dimerization in breast cancer cells. Org. Biomol. Chem. 2015, 13, 3882–3886. [Google Scholar] [CrossRef]
- Sharma, N.; Kumar, A.; Sharma, P.R.; Qayum, A.; Singh, S.K.; Dutt, P.; Paul, S.; Gupta, V.; Verma, M.K.; Satti, N.K.; et al. A new clerodane furano diterpene glycoside from Tinospora cordifolia triggers autophagy and apoptosis in HCT-116 colon cancer cells. J. Ethnopharmacol. 2018, 211, 295–310. [Google Scholar] [CrossRef]
- Subash-Babu, P.; Alshammari, G.M.; Ignacimuthu, S.; Alshatwi, A.A. Epoxy clerodane diterpene inhibits MCF-7 human breast cancer cell growth by regulating the expression of the functional apoptotic genes Cdkn2A, Rb1, mdm2 and p53. Biomed. Pharmacother. 2017, 87, 388–396. [Google Scholar] [CrossRef]
- Bautista, E.; Fragoso-Serrano, M.; Toscano, R.A.; García-Peña Mdel, R.; Ortega, A. Teotihuacanin, a diterpene with an unusual spiro-10/6 system from Salvia amarissima with potent modulatory activity of multidrug resistance in cancer cells. Org. Lett. 2015, 17, 3280–3282. [Google Scholar] [CrossRef] [PubMed]









| N° | Name | Source | Biological Activity | Refs. |
|---|---|---|---|---|
| 1 | Royleanone | Peltodon longines (Lamiaceae) | MIA PaCa2, LNCaP cells (IC50 = 12.5 μM) Alkylating properties; human topoisomerase I inhibition; apoptosis and cell cycle arrest; inhibition of Akt PI3K-mTOR pathway | [19,22] |
| 2 | 7α-acetoxyroyleanone | Peltodon longines (Lamiaceae) | MIA PaCa2 cells (IC50 = 4.7 μM) alkylating properties; inhibitors of the human topoisomerase I | [19] |
| 3 | 7-ketoroyleanone | Peltodon longines (Lamiaceae) | MIA PaCa2 cells alkylating properties; inhibitors of the human topoisomerase I–II | [19] |
| 4 | Sugiol | Peltodon longines (Lamiaceae) Taxodium distichum (Cupressaceae) | MIA PaCa2, PANC-1 cells (IC50 = 9.0 μM) alkylating properties; inhibitors of the human topoisomerase I–II | [19,21] |
| 5 | Horminone | Peltodon longines (Lamiaceae) | MIA PaCa2 cells alkylating properties; inhibitors of the human topoisomerase I | [19] |
| 6 | Dihydroxyroyleanone | Plectranthus madagascariensis (Lamiaceae) | HCT116, MDA-MB-231, MCF-7, NCI-H460, NCI-H460/R cells anti-proliferative effect | [23] |
| 7 | 7α-formyloxy-6β-hydroxyroyleanone | Plectranthus madagascariensis (Lamiaceae) | HCT116, MDA-MB-231, MCF-7, NCI-H460, NCI-H460/R cells anti-proliferative effect | [23] |
| 8 | 7α-acetoxy-6β-hydroxyroyleanone | Plectranthus madagascariensis (Lamiaceae) | HCT116, MDA-MB-231, MCF-7 (GI50 = 6.4 μM), NCI-H460 (GI50 = 2.7 μM), NCI-H460/R (GI50 = 3.1 μM) cells anti-proliferative effect | [23] |
| 9 | Coleon U | Plectranthus madagascariensis (Lamiaceae) | HCT116, MDA-MB-231, MCF-7 (GI50 =5.5 μM), NCI-H460, NCI-H460/R cells anti-proliferative effect | [23] |
| 10 | 6,7-dehydroroyleanone | Plectranthus madagascariensis Plectranthusecklonii (Lamiaceae) | Glioma cells apoptosis; cell cycle arrest | [24,25] |
| 11 | Tanshinone I | Salvia miltiorrhiza (Lamiaceae) | HEC-1-A cells (IC50 = 20 μM) apoptosis; ROS levels increase; JAK/STAT pathway modulation | [26] |
| 12 | Tanshinone IIA | Salvia miltiorrhiza (Lamiaceae) | HCT116, MDA-MB-231, MCF-7, NCI-H460, NCI-H460/R, BxPC-3, PC9, H1299, HeLa, SGC7901 cells apoptosis; ER stress; cycle cellular modulation; reversing the multidrug resistance; signalling pathway and protein expression regulation | [27,33,35,50] |
| 13 | Cryptotanshinone | Salvia miltiorrhiza (Lamiaceae) | HCT116, MDA-MB-231, MCF-7, HCCC-9810, DU-145, Rh30, K562/ADM, HeLa, HT29, SW620, SW480 cells apoptosis, cycle cellular arrest; reversing the multidrug resistance; signalling pathway and protein expression regulation | [51,66] |
| 14 | Carnosic acid | Salvia officinalis Rosmarinus officinalis (Lamiaceae) | Glioma cells, MDA-MB-231; ERBB2+; AGS, MKN-45, KYSE-150, HepG2, SMMC-7721, DU145, PC3, A-549, NCI-H460 cells apoptosis, cycle cellular arrest; ROS level increase; autophagy stimulation; signalling pathway regulation, p62 down regulation; p-AKT inhibition; reversing the multidrug resistance; NRF2 stabilisation; | [78,91] |
| N° | Name | Source | Refs. | |
|---|---|---|---|---|
| 15 | Andrographolide | Andrographis paniculata (Acanthaceae) Swertia pseudochinensis (Gentianaceae) | HCT-116, U937, SGC7901 (IC50= 38 μM), AGS (IC50 = 44 μM), HeLa, MCF-7 cells apoptosis; cell cycle arrest; ROS levels increase; pathway modulation | [99,107] |
| 16 | Sclareol | Salvia sclarea (Lamiaceae) | HCT-116, HeLa, MCF-7, MDA-MB-469, CaCo-2, 4T1, H1688 cells apoptosis; cell cycle arrest; ROS levels; DNA damage increase | [108,109] |
| 17 | Hedylongnoids A | Hedychium longipetalum (Zingiberaceae) | HeLa, SGC-7901 cells: no cytotoxic | [120] |
| 18 | Hedylongnoids B | Hedychium longipetalum (Zingiberaceae) | HeLa, SGC-7901 cells: no cytotoxic | [120] |
| 19 | Hedylongnoids C | Hedychium longipetalum (Zingiberaceae) | HeLa, SGC-7901 (IC50 = 8.74 μg/mL) cells anti-proliferative effect | [120] |
| 20 | yunnancoronarin A | Hedychium longipetalum (Zingiberaceae) | HeLa (IC50 = 6.58 μg/mL), SGC-7901 (IC50 = 6.21 μg/mL) cells anti-proliferative effect | [120] |
| 21 | hedyforrestin B | Hedychium longipetalum (Zingiberaceae) | HeLa, SGC-7901 cells anti-proliferative effect | [120] |
| 22 | hedyforrestin C | Hedychium longipetalum (Zingiberaceae) | HeLa, SGC-7901 (IC50 = 7.29 μg/mL) cells anti-proliferative effect | [120] |
| 23 | (1R,4aS,5R,8aS)-1,4a-dimethyl-5-[(1E)-3-oxobut-1-en-1-yl]decahydronaphthalene-1-carboxylic acid | Juniperus oblonga (Cupressaceae) | MCF-7, HeLa, HepG2 cells weak cytotoxic | [121] |
| 24 | Uasdlabdanes A | Eupatorium obtusissmum (Asteraceae) | HBL-100, T-47D, HeLa, A549, SW1573, WiDr cells anti-proliferative effect | [122] |
| 25 | Uasdlabdanes B | Eupatorium obtusissmum (Asteraceae) | HBL-100, T-47D, HeLa, A549, SW1573, WiDr cells anti-proliferative effect | [122] |
| 26 | Uasdlabdanes C | Eupatorium obtusissmum (Asteraceae) | HBL-100, T-47D, HeLa, A549, SW1573, WiDr cells anti-proliferative effect | [122] |
| 27 | Uasdlabdanes D | Eupatorium obtusissmum (Asteraceae) | HBL-100, T-47D, HeLa, A549, SW1573, WiDr cells anti-proliferative effect | [122] |
| 28 | Uasdlabdanes E | Eupatorium obtusissmum (Asteraceae) | HBL-100, T-47D, HeLa, A549, SW1573, WiDr cells anti-proliferative effect | [122] |
| 29 | Uasdlabdanes F | Eupatorium obtusissmum (Asteraceae) | HBL-100, T-47D, HeLa, A549, SW1573, WiDr cells anti-proliferative effect | [122] |
| 30 | Grazielabdane B | Grazielia gaudichaudeana (Asteraceae) | OVCAR-03 (IC50 = 5.5 μM), U251 (IC50 = 25.63 μM) cells anti-proliferative effect | [95] |
| 31 | Grazielabdane C | Grazielia gaudichaudeana (Asteraceae) | OVCAR-03, U251 cells: antiproliferative | [95] |
| 32 | Grazielabdane A | Grazielia gaudichaudeana (Asteraceae) | OVCAR-03 (IC50 = 5.5 μM), U251 (IC50 = 25.63 μM) cells anti-proliferative | [95] |
| N° | Name | Source | Biological Activity | Refs. |
|---|---|---|---|---|
| 35 | Corymbulosin X | Anacolosa clarkii (Olacaceae) | A-673 (TGI50 = 0.7 μM), SJCRH30 (TGI50 =0.34 μM), D283 (TGI50 = 0.36 μM), Hep293TT (TGI50 = 0.22 μM) cells cytotoxic effect | [124] |
| 36 | Caseakurzin B | Casearia kurzii (Salicaceae) | A549 cells (IC50 = 4.4 μM) apoptosis; cell cycle arrest | [125] |
| 37 | Corymbulosin M | Casearia kurzii (Salicaceae) | A549 (IC50 = 5.5 μM), HeLa (IC50 = 4.1 μM), HepG2 (IC50 = 9.3 μM) cells apoptosis; cell cycle arrest | [126] |
| 38 | Kurzipene D | Casearia kurzii (Salicaceae) | A549 (IC50 = 10.9 μM), HeLa (IC50 = 12.4 μM), HepG2 (IC50 = 9.7 μM), K562 (IC50 = 7.2 μM) cells apoptosis; cell cycle arrest | [127] |
| 39 | Casearin D | Casearia sylvestris (Salicaceae) | HL-60 (IC50 = 3.44 μM), MDA-MB-231 (IC50 = 4.23 μM), Hs578-T (IC50 = 4.39 μM), MX-1 (IC50 = 6.50 μM), PC-3 (IC50 = 1.41 μM), DU145 (IC50 = 8.53 μM), B-16/F10 (IC50 = 6.52 μM) cells anti-proliferative effect; cell cycle arrest | [127] |
| 40 | Caseargrewiin F | Casearia sylvestris (Salicaceae) | HL-60 (IC50 = 0.20 μM), MDA-MB-231 (IC50 = 0.14 μM), Hs578-T (IC50 = 0.26 μM), MX-1 (IC50 = 0.36 μM), PC-3 (IC50 = 0.31 μM), DU145 (IC50 = 0.76 μM), B-16/F10 (IC50 = 0.16 μM) cells anti-proliferative effect; apoptosis; cell cycle arrest; DNA fragmentation | [128,130] |
| 41 | Casearin X | Casearia sylvestris (Salicaceae) | HL-60 (IC50 = 0.28 μM), MDA-MB-231 (IC50 = 1.51 μM), Hs578-T (IC50 = 1.14 μM), MX-1 (IC50 = 0.95 μM), PC-3 (IC50 = 0.86 μM), DU145 (IC50 = 1.19 μM), B-16/F10 (IC50 = 1.15 μM) cells anti-proliferative effect; apoptosis; cell cycle arrest; DNA fragmentation | [128,130] |
| 42 | Casearin J | Casearia sylvestris (Salicaceae) | T-ALL, CCRF-CEM (IC50 = 0.7 μM), CEM-ADR500 cells apoptosis; oxidative stress; DNA fragmentation | [131] |
| 43 | Corymbulosin A | Laetia corymbulosa (Salicaceae) | SF539 (IC50 = 0.6 μM), A549 (IC50 = 0.45 μM), MDA-MB-231 (IC50 = 0.43 μM), MCF-7 (IC50 = 0.44 μM), KB (IC50 = 0.42 μM), KB-VIN (IC50 = 0.45 μM) cells anti-proliferative effect | [132,133] |
| 44 | Crassifolin U | Croton crassifolius (Euphorbiaceae) | RAW 264.7, HUVECs cells anti-inflammatory, anti-angiogenesis | [134] |
| 45 | Clerodermic acid | Salvia nemorosa (Lamiaceae) | A549 (IC50 = 35 μg/mL) cells Apoptosis | [135] |
| 46 | 16-Hydroxycleroda-3,13-dien-15,16-olide | Polyalthia longifolia (Annonaceae) Justicia insularis (Acanthaceae) | ccRCC, 786-O, A498, OVCAR-4 (IC50 = 5.7 μM), OVCAR-8 (IC50 = 4.4 μM) cells apoptosis; cell cycle arrest; down regulation cycline dependent; pathway and protein expression regulation | [136,138] |
| 47 | Crispene E | Tinospora crispa (Menispermaceae) | MDA-MB-231 (IC50 = 5.35 μM) cells anti-proliferative effect; apoptosis; pathway regulation (STAT3) | [139] |
| 48 | TC-2 | Tinospora cordifolia (Menispermaceae) | A549 (IC50 = 33 μM), PC-3 (IC50 = 10 μM), SF295 (IC50 = 4.4 μM), MDA-MB-435 (IC50 = 14.8 μM), MCF-7 (IC50 = 4.4 μM), HCT-116 (IC50 = 8 μM) cells anti-proliferative effect; apoptosis; ROS levels increase | [140] |
| 49 | 8-Hydroxytinosporide | Tinospora cordifolia (Menispermaceae) | MCF-7 (IC50 = 2.4 μM) cells antiproliferative effect; ROS levels increase; expression of tumour suppressor genes | [141] |
| 50 | Teotihuacanin | Salvia amarissima (Lamiaceae) | MDA-MB-231 (IC50 = 12.3 μg/mL), HCT-15 (IC50 = 12.9 μg/mL), HCT116 (IC50 = 10.9 μg/mL), HeLa (IC50 = 13.7 μg/mL) cells anti-proliferative effect; modulator of multidrug resistance | [142] |
Publisher’s Note: MDPI stays neutral with regard to jurisdictional claims in published maps and institutional affiliations. |
© 2022 by the authors. Licensee MDPI, Basel, Switzerland. This article is an open access article distributed under the terms and conditions of the Creative Commons Attribution (CC BY) license (https://creativecommons.org/licenses/by/4.0/).
Share and Cite
Acquaviva, R.; Malfa, G.A.; Loizzo, M.R.; Xiao, J.; Bianchi, S.; Tundis, R. Advances on Natural Abietane, Labdane and Clerodane Diterpenes as Anti-Cancer Agents: Sources and Mechanisms of Action. Molecules 2022, 27, 4791. https://doi.org/10.3390/molecules27154791
Acquaviva R, Malfa GA, Loizzo MR, Xiao J, Bianchi S, Tundis R. Advances on Natural Abietane, Labdane and Clerodane Diterpenes as Anti-Cancer Agents: Sources and Mechanisms of Action. Molecules. 2022; 27(15):4791. https://doi.org/10.3390/molecules27154791
Chicago/Turabian StyleAcquaviva, Rosaria, Giuseppe A. Malfa, Monica R. Loizzo, Jianbo Xiao, Simone Bianchi, and Rosa Tundis. 2022. "Advances on Natural Abietane, Labdane and Clerodane Diterpenes as Anti-Cancer Agents: Sources and Mechanisms of Action" Molecules 27, no. 15: 4791. https://doi.org/10.3390/molecules27154791
APA StyleAcquaviva, R., Malfa, G. A., Loizzo, M. R., Xiao, J., Bianchi, S., & Tundis, R. (2022). Advances on Natural Abietane, Labdane and Clerodane Diterpenes as Anti-Cancer Agents: Sources and Mechanisms of Action. Molecules, 27(15), 4791. https://doi.org/10.3390/molecules27154791

