Use of a Hydrophobic Azo Dye for the Centrifuge-Less Cloud Point Extraction–Spectrophotometric Determination of Cobalt
Abstract
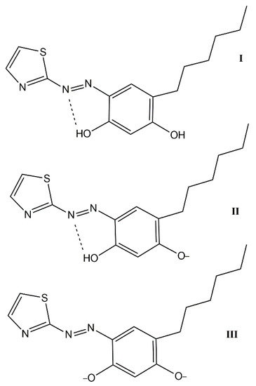
:1. Introduction
2. Results and Discussion
2.1. Optimimum Conditions
2.2. Composition of the Complex, Formula, Extraction Equation, and Equilibrium Constant
2.3. Analytical Characteristics, Effect of Foreign Ions and Application
2.4. Comparison with Existing Methods
3. Materials and Methods
3.1. Chemicals and Instrumentation
3.2. Samples and Sample Preparation
3.3. CL-CPE–Spectrophotometric Optimization
3.4. Recommended Procedure for the Determination of Co
4. Conclusions
Author Contributions
Funding
Institutional Review Board Statement
Informed Consent Statement
Data Availability Statement
Acknowledgments
Conflicts of Interest
References
- Kloprogge, J.T.; Ponce, C.P.; Loomis, T. The Periodic Table: Nature’s Building Blocks: An Introduction to the Naturally Occurring Elements, Their Origins and Their Uses; Elsevier: Amsterdam, The Netherlands, 2020; pp. 357–368. [Google Scholar] [CrossRef]
- Kabata-Pendias, A. Trace Elements in Soils and Plants, 4th ed.; CRC Press: Boca Raton, FL, USA, 2011; pp. 227–234. [Google Scholar]
- Rudnick, R.L.; Gao, S. Treatise on Geochemistry, 2nd ed.; Holland, H.D., Turekian, K.K., Eds.; Elsevier: Oxford, UK, 2014; Volume 4, pp. 1–51. [Google Scholar] [CrossRef]
- Dehaine, Q.; Tijsseling, L.T.; Glass, H.J.; Törmänen, T.; Butcher, A.R. Geometallurgy of cobalt ores: A review. Miner. Eng. 2021, 160, 106656. [Google Scholar] [CrossRef]
- IMA Database of Mineral Properties. Available online: https://rruff.info/ima/ (accessed on 7 July 2022).
- Jouini, M.; Perrin, M.; Coudert, L. Chemical leaching of inactive gold mine tailings as a secondary source of cobalt and nickel—A preliminary case study. In Proceedings of the Ni-Co 2021: The 5th International Symposium on Nickel and Cobalt, Online, 15–18 March 2021; Springer: Cham, Switzerland, 2021; pp. 179–194. [Google Scholar] [CrossRef]
- Chatterjee, K.K. Uses of Metals and Metallic Minerals; New Age International (P) Ltd.: New Delhi, India, 2007; pp. 149–153. [Google Scholar]
- Fröhlich, P.; Lorenz, T.; Martin, G.; Brett, B.; Bertau, M. Valuable metals—Recovery processes, current trends, and recycling strategies. Angew. Chem. Int. Ed. 2017, 56, 2544–2580. [Google Scholar] [CrossRef] [PubMed]
- Graedel, T.E.; Miatto, A.U.S. Cobalt: A Cycle of Diverse and Important Uses. Resour. Conserv. Recycl. 2022, 184, 106441. [Google Scholar] [CrossRef]
- Fu, X.; Beatty, D.N.; Gaustad, G.G.; Ceder, G.; Roth, R.; Kirchain, R.E.; Bustamante, M.; Babbitt, C.; Olivetti, E.A. Perspectives on cobalt supply through 2030 in the face of changing demand. Environ. Sci. Technol. 2020, 54, 2985–2993. [Google Scholar] [CrossRef] [PubMed]
- Vitamin B12. Fact Sheet for Consumers. Available online: https://ods.od.nih.gov/factsheets/VitaminB12-Consumer/ (accessed on 7 July 2022).
- Linhares, D.; Pimentel, A.; Borges, C.; Cruz, J.V.; Garcia, P.; dos Santos Rodrigues, A. Cobalt distribution in the soils of São Miguel Island (Azores): From volcanoes to health effects. Sci. Total Environ. 2019, 684, 715–721. [Google Scholar] [CrossRef]
- Dospatliev, L.; Ivanova, M. Spectrophotometric investigations on liquid-liquid extraction systems containing cobalt and tetrazolium salts. Application of the developed method for analysis of the cobalt content of biological samples (mushrooms and tobaccos). Bulg. Chem. Commun. 2017, 49, 787–791. [Google Scholar]
- Kosiorek, M.; Wyszkowski, M. Effect of cobalt on the environment and living organisms—A review. Appl. Ecol. Environ. Res. 2019, 17, 11419–11449. [Google Scholar] [CrossRef]
- Garcia, M.D.; Hur, M.; Chen, J.J.; Bhatti, M.T. Cobalt toxic optic neuropathy and retinopathy: Case report and review of the literature. Am. J. Ophthalmol. Case Rep. 2020, 17, 100606. [Google Scholar] [CrossRef]
- Mortada, W.I.; Kenawy, I.M.M.; Abdel-Rhman, M.H.; El-Gamal, G.G.; Moalla, S.M.N. A new thiourea derivative [2-(3-ethylthioureido)benzoic acid] for cloud point extraction of some trace metals in water, biological and food samples. J. Trace Elem. Med. Biol. 2017, 44, 266–273. [Google Scholar] [CrossRef]
- Altunay, N.; Elik, A.; Bulutlu, C.; Gürkan, R. Application of simple, fast and eco-friendly ultrasound-assisted-cloud point extraction for pre-concentration of zinc, nickel and cobalt from foods and vegetables prior to their flame atomic absorption spectrometric determinations. Int. J. Environ. Anal. Chem. 2018, 98, 655–675. [Google Scholar] [CrossRef]
- Temel, N.K.; Sertakan, K.; Gürkan, R. Preconcentration and determination of trace nickel and cobalt in milk-based samples by ultrasound-assisted cloud point extraction coupled with flame atomic absorption spectrometry. Biol. Trace Elem. Res. 2018, 186, 597–607. [Google Scholar] [CrossRef] [PubMed]
- Altunay, N.; Elik, A.; Gürkan, R. Vortex assisted-ionic liquid based dispersive liquid liquid microextraction of low levels of nickel and cobalt in chocolate-based samples and their determination by FAAS. Microchem. J. 2019, 147, 277–285. [Google Scholar] [CrossRef]
- Sorouraddin, S.M.; Nouri, S. Simultaneous temperature-assisted dispersive liquid–liquid microextraction of cobalt, copper, nickel and zinc ions from high-volume water samples and determination by graphite furnace atomic absorption spectrometry. Anal. Methods 2016, 8, 1396–1404. [Google Scholar] [CrossRef]
- Rohanifar, A.; Rodriguez, L.B.; Devasurendra, A.M.; Alipourasiabi, N.; Anderson, J.L.; Kirchhoff, J.R. Solid-phase microextraction of heavy metals in natural water with a polypyrrole/carbon nanotube/1, 10–phenanthroline composite sorbent material. Talanta 2018, 188, 570–577. [Google Scholar] [CrossRef]
- Bartosiak, M.; Jankowski, K.; Giersz, J. Determination of cobalt species in nutritional supplements using ICP-OES after microwave-assisted extraction and solid-phase extraction. J. Pharm. Biomed. Anal. 2018, 155, 135–140. [Google Scholar] [CrossRef]
- Han, Q.; Huo, Y.; Yang, X.; He, Y.; Wu, J.; Cai, H. Determination of ultra-trace levels of cobalt in water and wheat flour samples using cloud point extraction coupled with laser thermal lens spectrometry. Anal. Methods 2018, 10, 634–640. [Google Scholar] [CrossRef]
- Marczenko, Z.; Balcerzak, M. Separation, Preconcentration and Spectrophotometry in Inorganic Analysis; Elsevier: Amsterdam, The Netherlands, 2000; p. 168. [Google Scholar]
- Zezzi-Arruda, M.A.; Poppi, R.J. Encyclopedia of Analytical Science, 2nd ed.; Worsfold, P., Townshend, A., Poole, C., Eds.; Elsevier: Oxford, UK, 2005; pp. 351–358. [Google Scholar] [CrossRef]
- Passos, M.L.C.; Saraiva, L.M.F.S. Detection in UV-visible spectrophotometry: Detectors, detection systems, and detection strategies. Measurement 2019, 135, 896–904. [Google Scholar] [CrossRef]
- Saoud, A.; Mesdour, S.H.; Nabieva, A.; Hamada, B.; Amrane, A.; Nabiev, M. Liquid-liquid extraction and simultaneously spectrophotometric determination of Co (II) and W (VI) using crown ether (DB-18-C6) in aqueous media and in high speed steel. Int. J. Environ. Anal. Chem. 2022, 102, 1814–1824. [Google Scholar] [CrossRef]
- Al-Saidi, H.M.; Alharthi, S.S. Efficiency enhancement of the spectrophotometric estimation of cobalt in waters and pharmaceutical preparations using dispersive liquid–liquid microextraction and microcells with long optical paths. Spectrochim. Acta A Mol. Biomol. Spectrosc. 2021, 253, 119552. [Google Scholar] [CrossRef]
- Mohanna, E.; Moinfar, S.; Mohammadi, S.; Khayatian, G. A Continuous sample drop flow-based microextraction method for spectrophotometric determination of cobalt with 1-(2-pyridylazo)-2-naphthol in water samples. J. Anal. Chem. 2021, 76, 172–179. [Google Scholar] [CrossRef]
- Torabi, A.; Shirani, M.; Semnani, A.; Akbari, A. Deep eutectic solvent-based ligandless ultrasound-assisted liquid-phase microextraction for extraction of cobalt ions from food samples prior to spectrophotometric determination. J. Iran. Chem. Soc. 2021, 18, 893–902. [Google Scholar] [CrossRef]
- Safavi, A.; Abdollahi, H.; Hormozi Nezhad, M.R.; Kamali, R. Cloud point extraction, preconcentration and simultaneous spectrophotometric determination of nickel and cobalt in water samples. Spectrochim. Acta A Mol. Biomol. Spectrosc. 2004, 60, 2897–2901. [Google Scholar] [CrossRef] [PubMed]
- Afkhami, A.; Bahram, M. Cloud point extraction simultaneous spectrophotometric determination of Zn(II), Co(II) and Ni(II) in water and urine samples by 1-(2-pyridylazo)2-naphthol using partial least squares regression. Microchim. Acta 2006, 155, 403–408. [Google Scholar] [CrossRef]
- Wen, X.; He, L.; Shi, C.; Deng, Q.; Wang, J.; Zhao, X. Application of rapid cloud point extraction method for trace cobalt analysis coupled with spectrophotometric determination. Spectrochim. Acta A Mol. Biomol. Spectrosc. 2013, 115, 452–456. [Google Scholar] [CrossRef] [PubMed]
- Dhahir, S.A.; Bakir, S.R. Cloud point extraction spectrophotometric determination of copper, chromium and cobalt by salen as reagent in wastewater of Iraq. Asian J. Chem. 2014, 26, 5305–5310. [Google Scholar] [CrossRef]
- Elsheikh, R.; Gouda, A.A.; Elsayed, H.A.; Alamin, E.M. Cloud point extraction, preconcentration and spectrophotometric determination of cobalt in water samples. Int. J. Pharm. Pharm. Sci. 2015, 7, 213–221. [Google Scholar]
- Shyamala, P.; Kumar, K.R. Cloud point extraction with mixed micelles of TX-114/DOSS and derivative spectrophotometry for simultaneous determination of Fe2+ and Co2+ using 2,2′,6′,2″-terpyridine. Indian J. Chem. Sect. A 2016, 55, 1471–1475. [Google Scholar]
- Hayder, F.H.; Jawad, S.K. Onium system for separation, preconcentration and spectrophotometric determination of Co (II), via cloud point extraction methodology. J. Glob. Pharma Technol. 2017, 11, 83–91. [Google Scholar]
- Mussa, Y.O.; Ghali, A.A.; Hussei, A.S. Cloud point extraction, preconcentration and spectrophotometric determination of Co(II) and Cu(II) using 15-crown-5. Indian J. Forensic Med. Toxicol. 2020, 14, 1146–1152. [Google Scholar] [CrossRef]
- Kakitha, R.; Pulipaka, S.; Puranam, D. Simultaneous determination of iron and cobalt using spectrophotometry after catanionic mixed micellar cloud point extraction procedure. Orient. J. Chem. 2020, 36, 1168–1172. [Google Scholar] [CrossRef]
- Azooz, E.A.; Abd Wannas, F.; Jawad, S.K. Developed cloud point extraction coupled with onium system for separation and determination cobalt in biological samples. Res. J. Pharm. Technol. 2021, 14, 594–598. [Google Scholar] [CrossRef]
- Habibi, Z.; Bamdad, F. Simultaneous determination of traces of cobalt and iron ions after pre-concentration by surface-active ionic liquid-assisted cloud point microextraction. Anal. Bioanal. Chem. Res. 2022, 9, 243–250. [Google Scholar] [CrossRef]
- Bazel, Y.; Tupys, A.; Ostapiuk, Y.; Tymoshuk, O.; Matiychuk, V. A green cloud-point microextraction method for spectrophotometric determination of Ni(II) ions with 1-[(5-benzyl-1,3-thiazol-2-yl)diazenyl]naphthalene-2-ol. J. Mol. Liq. 2017, 242, 471–477. [Google Scholar] [CrossRef]
- Snigur, D.; Barbalat, D.; Chebotarev, A.; Synievyd, A.; Bevziuk, K. A rapid cloud point extraction of molybdenum(VI) with 6,7-dihydroxy-2,4-diphenylbenzopyrylium perchlorate prior to its spectrophotometric determination. Chem. Pap. 2021, 75, 1823–1830. [Google Scholar] [CrossRef]
- Snigur, D.; Duboviy, V.; Barbalat, D.; Zhukovetska, O.; Chebotarev, A.; Bevziuk, K. A rapid room-temperature cloud point extraction for spectrophotometric determination of copper (II) with 6,7-dihydroxy-2,4-diphenylbenzopyrylium chloride. Anal. Sci. 2022, 38, 949–954. [Google Scholar] [CrossRef]
- Gałuszka, A.; Migaszewski, Z.; Namieśnik, J. The 12 principles of green analytical chemistry and the SIGNIFICANCE mnemonic of green analytical practices. TrAC Trends Anal. Chem. 2013, 50, 78–84. [Google Scholar] [CrossRef]
- Mortada, W.I. Recent developments and applications of cloud point extraction: A critical review. Microchem. J. 2020, 157, 105055. [Google Scholar] [CrossRef]
- Lemos, V.A.; Santos, E.S.; Santos, M.S.; Yamaki, R.T. Thiazolylazo dyes and their application in analytical methods. Microchim. Acta 2007, 158, 189–204. [Google Scholar] [CrossRef]
- Pytlakowska, K.; Kozik, V.; Dabioch, M. Complex-forming organic ligands in cloud-point extraction of metal ions: A review. Talanta 2013, 110, 202–228. [Google Scholar] [CrossRef]
- amini, Y.; Ghambarian, M. Comprehensive Sampling and Sample Preparation; Pawliszyn, J., Ed.; Academic Press: Oxford, UK, 2012. [Google Scholar] [CrossRef]
- Samaddar, P.; Sen, K. Cloud point extraction: A sustainable method of elemental preconcentration and speciation. J. Ind. Eng. Chem. 2014, 20, 1209–1219. [Google Scholar] [CrossRef]
- Milcheva, N.P.; Genç, F.; Racheva, P.V.; Delchev, V.B.; Andruch, V.; Gavazov, K.B. An environmentally friendly cloud point extraction–spectrophotometric determination of trace vanadium using a novel reagent. J. Mol. Liq. 2021, 334, 116086. [Google Scholar] [CrossRef]
- Racheva, P.V.; Milcheva, N.P.; Genc, F.; Gavazov, K.B. A centrifuge-less cloud point extraction-spectrophotometric determination of copper(II) using 6-hexyl-4-(2-thiazolylazo)resorcinol. Spectrochim. Acta A Mol. Biomol. Spectrosc. 2021, 262, 120106. [Google Scholar] [CrossRef] [PubMed]
- Watanabe, H. Spectrophotometric determination of cobalt with 1-(2-pyridylazo)-2-naphthol and surfactants. Talanta 1974, 21, 295–302. [Google Scholar] [CrossRef]
- Mochizuki, K.; Imamura, T.; Ito, T.; Fujimoto, M. Bivalent and tervalent cobalt complexes of 4-(2-pyridylazo) resorcinol, 1-(2-pyridylazo)-2-naphthol, and their thiazolyl analogs in aqueous and aqueous dioxane media. Rapid-scan spectral and kinetic studies. Bull. Chem. Soc. Jpn. 1978, 51, 1743–1750. [Google Scholar] [CrossRef] [Green Version]
- Marić, L.; Široki, M.; Štefanac, Z.; Herak, M.J. Extraction of cobalt-[4-(2-thiazolylazo)resorcinol] complexes. J. Inorg. Nucl. Chem. 1981, 43, 3357–3361. [Google Scholar] [CrossRef]
- Cucinotta, V.; Caruso, R.; Giuffrida, A.; Messina, M.; Maccarrone, G.; Torrisi, A. Separation and quantitation of metal ions by 4-(2-pyridylazo)resorcinol complexation in capillary electrophoresis–electrospray ionisation mass spectrometry. J. Chromatogr. A 2008, 1179, 17–23. [Google Scholar] [CrossRef]
- Vyshcherevich, I.V.; Kalinichenko, I.E. Photometric determination in drinking water of cobalt and nickel with 4-(2-pyridylazo)-resorcinol. J. Water Chem. Technol. 2010, 32, 33–38. [Google Scholar] [CrossRef]
- Hristov, D.G.; Racheva, P.V.; Toncheva, G.K.; Gavazov, K.B. Extraction-chromogenic system for cobalt based on 5-methyl-4-(2-thiazolylazo)resorcinol and benzalkonium chloride. Acta Chim. Slov. 2021, 68, 37–43. [Google Scholar] [CrossRef]
- Özcan, R.; Kasa, N.A.; Bakırdere, E.G.; Bakırdere, S. Cloud point extraction-slotted quartz tube with four-exit holes-flame atomic absorption spectrometry combination for the determination of cobalt at trace levels in fennel tea samples after complexation with a Schiff base ligand. J. Food Meas. Charact. 2021, 15, 2943–2950. [Google Scholar] [CrossRef]
- Yamaki, R.T.; Nunes, L.S.; De Oliveira, H.R.; Araújo, A.S.; Bezerra, M.A.; Lemos, V.A. Synthesis and application of a new thiazolylazo reagent for cloud point extraction and determination of cobalt in pharmaceutical preparations. J. AOAC Int. 2011, 94, 1304–1309. [Google Scholar] [CrossRef] [Green Version]
- Jamali, M.R.; Gholinezhad, M.; Balarostaghi, S.; Rahnama, R.; Rahimi, S.H.A. Development of a cloud-point extraction method for cobalt determination in natural water samples. J. Chem. 2013, 2013, 615175. [Google Scholar] [CrossRef] [Green Version]
- Yoe, J.H.; Jones, A.L. Colorimetric determination of iron with disodium-1,2-dihydroxybenzene-3,5-disulfonate. Ind. Eng. Chem. Anal. Ed. 1944, 16, 111–115. [Google Scholar] [CrossRef]
- Zhiming, Z.; Dongsten, M.; Cunxiao, Y. Mobile equilibrium method for determining composition and stability constant of coordination compounds of the form MmRn. J. Rare Earths 1997, 15, 216–219. [Google Scholar]
- Pshinko, G.N. Impact of complexing agents on the processes of sorption treatment of waters containing cobalt. J. Water Chem. Technol. 2008, 30, 197–202. [Google Scholar] [CrossRef]
- Harvey, A.E.; Manning, D.L. Spectrophotometric methods of establishing empirical formulas of colored complexes in solution. J. Am. Chem. Soc. 1950, 72, 4488–4493. [Google Scholar] [CrossRef]
- Stefanova-Bahchevanska, T.; Milcheva, N.; Zaruba, S.; Andruch, V.; Delchev, V.; Simitchiev, K.; Gavazov, K. A green cloud-point extraction-chromogenic system for vanadium determination. J. Mol. Liq. 2017, 248, 135–142. [Google Scholar] [CrossRef]
- Pyatnitskii, I.V. Analiticheskaya Khimiya Kobal’ta (Analytical Chemistry of Cobalt); Vinogradov, A.P., Ed.; Nauka: Moscow, Russia, 1965; p. 177. [Google Scholar]
- Divarova, V.; Stojnova, K.; Racheva, P.; Lekova, V. Determination of cobalt in the form of an ion associate in vitamin B 12. Russ. J. Inorg. Chem. 2018, 63, 974–977. [Google Scholar] [CrossRef]
- Divarova, V.V. Investigation of Ternary Ion-Associated Complexes of Cobalt Involving Tetrazolium Salts. Ph.D. Thesis, Plovdiv University “Paissii Hilendarski”, Plovdiv, Bulgaria, 2015. Available online: https://procedures.uni-plovdiv.bg/docs/procedure/838/5477410121410613880.pdf (accessed on 7 July 2022).
- Anjaneyulu, Y.; Reddy, M.P.; Kumar, P.V.S.; Kavipurapu, C.; Rao, B. Selective and sensitive extraction spectrophotometric method for the determination of vanadium (V) as a mixed ligand complex withN-phenyl benzohydroxamic acid and 4-(2-pyridylazo)resorcinol in non-aqueous media. Microchim. Acta 1990, 100, 87–94. [Google Scholar] [CrossRef]
- Simeonova, Z.; Gavazov, K.; Alexandrov, A. Extraction-spectrophotometric study on the system vanadium(V)—2,3-dihydroxynaphthalene—Iodonitrotetrazolium chloride—Water—Chloroform and its analytical application. Cent. Eur. J. Chem. 2006, 4, 258–266. [Google Scholar] [CrossRef]
- Divarova, V.V.; Saravanska, A.D.; Toncheva, G.K.; Milcheva, N.; Delchev, V.B.; Gavazov, K.B. Spectrophotometric determination of molybdenum(VI) as a ternary complex with 4-nitrocatechol and benzalkonium chloride. Molecules 2022, 27, 1217. [Google Scholar] [CrossRef]








| Parameter | Optimization Range | Optimal Value | Figure |
|---|---|---|---|
| Wavelength, nm | Visible range | 553 | 1 |
| pH | 3.4–10.0 | 7.8 | 2 |
| Concentration of HTAR, mol L−1 | (0.1–4) × 10−5 | 1.0 × 10−5 | 3 |
| Mass fraction of TX-114, % | 0.2–2.4 | 1.64 | 4 |
| Incubation time at 50 °C, min | 5–40 | 20 | 5 |
| Foreign Ion (FI) Added | Added Salt Formula | Amount of FI Added, mg | FI: Co Mass Ratio | Amount of Co found, μg | R, % |
|---|---|---|---|---|---|
| Al(III) | Al(NO3)3⋅9H2O | 0.47 | 100 | 4.6 | 98.2 |
| Ba(II) | Ba(NO3)2 | 47 | 10,000 * | 4.9 | 105 |
| Ca(II) | Ca(NO3)2 | 47 | 10,000 * | 4.7 | 99.5 |
| Cd(II) | CdCl2 | 0.094 | 20 | 4.9 | 105 |
| Cr(III) | Cr2(SO4)3 | 0.094 | 20 | 4.5 | 95.0 |
| Cr(VI) | K2CrO4 | 1.18 4.7 | 250 1000 * | 4.7 4.5 | 101 95.8 |
| Cu(II) | CuSO4⋅5H2O | 0.0024 | 0.5 | 4.7 | 100 |
| F– | NaF | 47 | 10,000 * | 4.9 | 105 |
| Fe(III) | Fe2(SO4)3 | 0.024 | 5 | 4.8 | 103 |
| HPO42– | Na2HPO4⋅12H2O | 9.4 | 2000 | 4.6 | 97.6 |
| Hg(II) | Hg(NO3)2 | 0.235 | 50 | 4.6 | 97.1 |
| Mg(II) | MgSO4⋅7H2O | 47 | 10,000 * | 4.8 | 101 |
| Mn(II) | MnSO4⋅H2O | 0.094 | 20 | 4.8 | 102 |
| Mo(VI) | (NH4)6Mo7O24⋅4H20 | 2.35 | 500 * | 4.8 | 101 |
| Na+ | NaCl | 47 | 10,000 * | 4.7 | 99.0 |
| Ni(II) | NiSO4⋅7H2O | 0.0047 | 1 | 4.9 | 105 |
| NO3− | NH4NO3 | 47 | 10,000 * | 4.6 | 97.2 |
| Re(VII) | NH4ReO4 | 4.7 | 1000 * | 4.5 | 96.0 |
| Pb(II) | Pb(NO3)2 | 0.047 | 10 | 4.5 | 95.8 |
| V(V) | NH4VO3 | 0.0094 | 2 | 4.9 | 103 |
| W(VI) | Na2WO4⋅2H2O | 2.35 | 500 * | 4.7 | 100 |
| Zn(II) | ZnSO4⋅7H2O | 0.0047 | 1 | 4.7 | 100 |
| # | Sample | Cobalt Content, % | Content of Other Elements (Manufacturer’s Data) | Cobalt Found *, % |
|---|---|---|---|---|
| 1 | Steel | 4.71 | 17.7% W, 4.21% Cr, 1.58% V, 0.35% Mn, 0.081% C, 0.18% Si, and the balance Fe | 4.77 ± 0.08 |
| 2 | Dental alloy (Wirobond® C) | 63.3 | 24.8% Cr, 5.3% W, 5.1% Mo, 1.0% Si, and Ce | 62.8 ± 0.9 |
| # | Present Method, μg Co per ampoule | RSD, % | ICP-MS **, μg Co per ampoule | RSD, % |
|---|---|---|---|---|
| Sample 1 | 44 | 4.4 | 45 | 5.5 |
| Sample 2 | 44 | 5.9 | 45 | 5.5 |
| Sample | Co(II) Concentration, ng mL−1 | Recovery, % | |
|---|---|---|---|
| Added | Found * | ||
| Rainwater | 0 | <LOQ | – |
| 20 | 21.5 ± 5.6 | 106 | |
| 40 | 41.1 ± 3.9 | 103 | |
| 60 | 59.3 ± 6.3 | 98.2 | |
| Saline solution for infusion | 0 | <LOQ | – |
| 20 | 20.8 ± 5.7 | 104 | |
| 40 | 40.9 ± 1.0 | 102 | |
| 60 | 59.6 ± 2.1 | 99.4 | |
| Reagent(s) | Surfactant | SRP Diluting Agent | Sample | Wavelength, nm | Linear Range, ng mL−1 | LOD, ng mL−1 | Ref. |
|---|---|---|---|---|---|---|---|
| ACDA | TX-114 | DMF | Water | 452 | 20–200 | 7.5 | [31] |
| APDC + C16MeImCl | TX-114 | Ethanol | Water and alloy | 598 | 150–2000 | 70 | [41] |
| BTANP | TX-114 | Methanol | Water | 549 | 10–300 | 1.5 | [35] |
| 15-Crown-5 | TX-114 | Ethanol | Food | 290 | 500–5000 | 400 | [38] |
| MSE | TX-100 | Ethanol | Water, biological samples | 292 | 500–10,000 | 12 | [40] |
| NaSCN | CTAB + SDS | Methanol | Tap and sea water | 618 | 5890–35,400 | 6.18 | [39] |
| N-BAEH | TX-100 | Ethanol | – | 294 | 500–10,000 | 12.7 | [37] |
| PAN | TX-114 | Ethanol | Water and urine | 621 | 5–250 | – | [32] |
| PAN | TX-114 + octanol | 1 mol L−1 HNO3 in methanol | Water | 450 | 2–300 | 0.6 | [33] |
| Salen | TX-100 | DMF | Wastewater | 378 | 10–70 | 2.2 | [34] |
| TPY | TX-114 + DOSS | Methanol | Tap and sea water | 514 | 3140–18,960 | 4.54 | [36] |
| HTAR | TX-114 | Water | Dental alloy, steel, vitamin B12, rainwater, saline solution for infusion | 553 | 5.4–189 | 1.64 | This work |
Publisher’s Note: MDPI stays neutral with regard to jurisdictional claims in published maps and institutional affiliations. |
© 2022 by the authors. Licensee MDPI, Basel, Switzerland. This article is an open access article distributed under the terms and conditions of the Creative Commons Attribution (CC BY) license (https://creativecommons.org/licenses/by/4.0/).
Share and Cite
Gavazov, K.B.; Racheva, P.V.; Milcheva, N.P.; Divarova, V.V.; Kiradzhiyska, D.D.; Genç, F.; Saravanska, A.D. Use of a Hydrophobic Azo Dye for the Centrifuge-Less Cloud Point Extraction–Spectrophotometric Determination of Cobalt. Molecules 2022, 27, 4725. https://doi.org/10.3390/molecules27154725
Gavazov KB, Racheva PV, Milcheva NP, Divarova VV, Kiradzhiyska DD, Genç F, Saravanska AD. Use of a Hydrophobic Azo Dye for the Centrifuge-Less Cloud Point Extraction–Spectrophotometric Determination of Cobalt. Molecules. 2022; 27(15):4725. https://doi.org/10.3390/molecules27154725
Chicago/Turabian StyleGavazov, Kiril Blazhev, Petya V. Racheva, Nikolina P. Milcheva, Vidka V. Divarova, Denitsa Dimitrova Kiradzhiyska, Fatma Genç, and Antoaneta D. Saravanska. 2022. "Use of a Hydrophobic Azo Dye for the Centrifuge-Less Cloud Point Extraction–Spectrophotometric Determination of Cobalt" Molecules 27, no. 15: 4725. https://doi.org/10.3390/molecules27154725
APA StyleGavazov, K. B., Racheva, P. V., Milcheva, N. P., Divarova, V. V., Kiradzhiyska, D. D., Genç, F., & Saravanska, A. D. (2022). Use of a Hydrophobic Azo Dye for the Centrifuge-Less Cloud Point Extraction–Spectrophotometric Determination of Cobalt. Molecules, 27(15), 4725. https://doi.org/10.3390/molecules27154725

