Next Article in Journal
Quantitative Raman Analysis of Carotenoid Protein Complexes in Aqueous Solution
Next Article in Special Issue
Regioselective Synthesis, Structural Characterization, and Antiproliferative Activity of Novel Tetra-Substituted Phenylaminopyrazole Derivatives
Previous Article in Journal
Supported Poly(Ionic Liquid)-Heteropolyacid Based Materials for Heterogeneous Catalytic Fructose Dehydration in Aqueous Medium
Previous Article in Special Issue
Revisiting the Chemistry of Vinylpyrazoles: Properties, Synthesis, and Reactivity
 
 
Font Type:
Arial Georgia Verdana
Font Size:
Aa Aa Aa
Line Spacing:
Column Width:
Background:
Review

Recent Applications of the Multicomponent Synthesis for Bioactive Pyrazole Derivatives

1
Escuela de Ciencias Química, Facultad de Ciencias, Universidad Pedagógica y Tecnológica de Colombia, Avenida Central del Norte, Tunja 150003, Colombia
2
Research Group of Heterocyclic Compounds, Department of Chemistry, Universidad del Valle, A.A. 25360, Cali 76001, Colombia
*
Author to whom correspondence should be addressed.
Molecules 2022, 27(15), 4723; https://doi.org/10.3390/molecules27154723
Submission received: 7 July 2022 / Revised: 19 July 2022 / Accepted: 20 July 2022 / Published: 23 July 2022

Abstract

Pyrazole and its derivatives are considered a privileged N-heterocycle with immense therapeutic potential. Over the last few decades, the pot, atom, and step economy (PASE) synthesis of pyrazole derivatives by multicomponent reactions (MCRs) has gained increasing popularity in pharmaceutical and medicinal chemistry. The present review summarizes the recent developments of multicomponent reactions for the synthesis of biologically active molecules containing the pyrazole moiety. Particularly, it covers the articles published from 2015 to date related to antibacterial, anticancer, antifungal, antioxidant, α-glucosidase and α-amylase inhibitory, anti-inflammatory, antimycobacterial, antimalarial, and miscellaneous activities of pyrazole derivatives obtained exclusively via an MCR. The reported analytical and activity data, plausible synthetic mechanisms, and molecular docking simulations are organized in concise tables, schemes, and figures to facilitate comparison and underscore the key points of this review. We hope that this review will be helpful in the quest for developing more biologically active molecules and marketed drugs containing the pyrazole moiety.

Graphical Abstract

1. Introduction

Multicomponent reactions (MCRs) are one-pot reactions employing three or more components to form a product, where most of the atoms of all starting materials are substantially incorporated in the final product [1]. To date, MCRs have innumerable advantages over sequential multistep synthesis such as operational simplicity, saving time and energy (step efficiency), proceeding with high convergence (process efficiency), exhibiting a very high bond-forming index (BFI), and are highly compatible with a range of unprotected orthogonal functional groups [1,2]. Thereby, MCRs are considered a powerful alternative to synthesize complex organic molecules in a high chemo-, regio-, and stereoselective manner with a plethora of applications in agrochemistry [3], polymer chemistry [4], combinational chemistry [5], medicinal chemistry [6], and especially drug discovery programs [7]. Importantly, MCRs allow the incorporation of diverse scaffold shapes by using MCR variants such as Strecker (1850) [8], Hantzsch (1881) [9], Biginelli (1891) [10], Mannich (1912) [11], Passerini (1921) [12], Kabachnik–Fields (1952) [13], Asinger (1956) [14], Ugi (1959) [15], Gewald (1966) [16], Van Leusen (1977) [17], and Groebke–Blackburn–Bienaymé (1998) [18], among others. Although most of the MCRs were discovered in the second half of the twentieth century, their use has grown enormously over the last four decades due to the demand for organic molecules in medicinal chemistry and drug discovery programs. It is estimated that approximately 5% of the commercially available drugs can be synthesized by an MCR strategy [19]. For instance, Nifedipine (Hantzsch), Telaprevir (Passerini), and Crixivan (Ugi) are valuable examples of marketed drugs obtained through this synthetic strategy [19].
On the other hand, pyrazole is a “biologically privileged” five-membered N-heteroaromatic compound containing two nitrogen atoms in adjacent positions. Nowadays, pyrazole and its derivatives have attracted considerable attention due to their broad spectrum of pharmaceutical and biological properties [20,21,22], proving to be significant structural components of active pharmaceutical ingredients (APIs) and diverse pyrazole-based compounds. It is exemplified by the number of FDA-approved drugs containing the pyrazole scaffold, such as Celecoxib, Lonazolac, Mepirizole, Rimonabant, Difenamizole, Betazole, Fezolamine, Tepoxalin, Pyrazofurin, and Deracoxib, among other marketed drugs [20,21]. The innumerable applications in medicinal chemistry, biomedical science, and drug discovery have stimulated the academia and pharmaceutical industry for developing new, efficient, and simple synthetic protocols to prepare structurally diverse pyrazole derivatives [23,24,25]. Quite impressively, 1241 publications and 148 reviews have been reported in the Scopus database from 2015 to date searching for the keywords “pyrazole derivatives” and “biological activity”. In particular, 64 of such publications have been dedicated to the use of MCRs for the synthesis of biologically active pyrazole derivatives or at least tested for any biological properties. This review tries to provide more insight into MCR-based synthetic routes of pyrazole derivatives, as well as the analysis of some plausible synthetic mechanisms, a comprehensive picture of its diverse biological activity data, and a detailed discussion of molecular docking studies showing how pyrazole-based compounds interact with therapeutically relevant targets. Hence, this review covers articles published from 2015 to date related to antibacterial, anticancer, antifungal, antioxidant, α-glucosidase and α-amylase inhibitory, anti-inflammatory, antimycobacterial, antimalarial, and miscellaneous activities of pyrazole derivatives obtained exclusively via an MCR (Figure 1). It is worth noting that 71% of the articles found suitable for this review corresponded mainly to pyrazole derivatives displaying antibacterial (29%), anticancer (23%), and antifungal (19%) activities, respectively. For better comprehension, the content of this review has been organized and discussed through different biological activities displayed or evaluated for the target pyrazole derivatives, as shown in Figure 1.

2. Multicomponent Synthesis of Biologically Active Pyrazole Derivatives

2.1. Antibacterial Activity

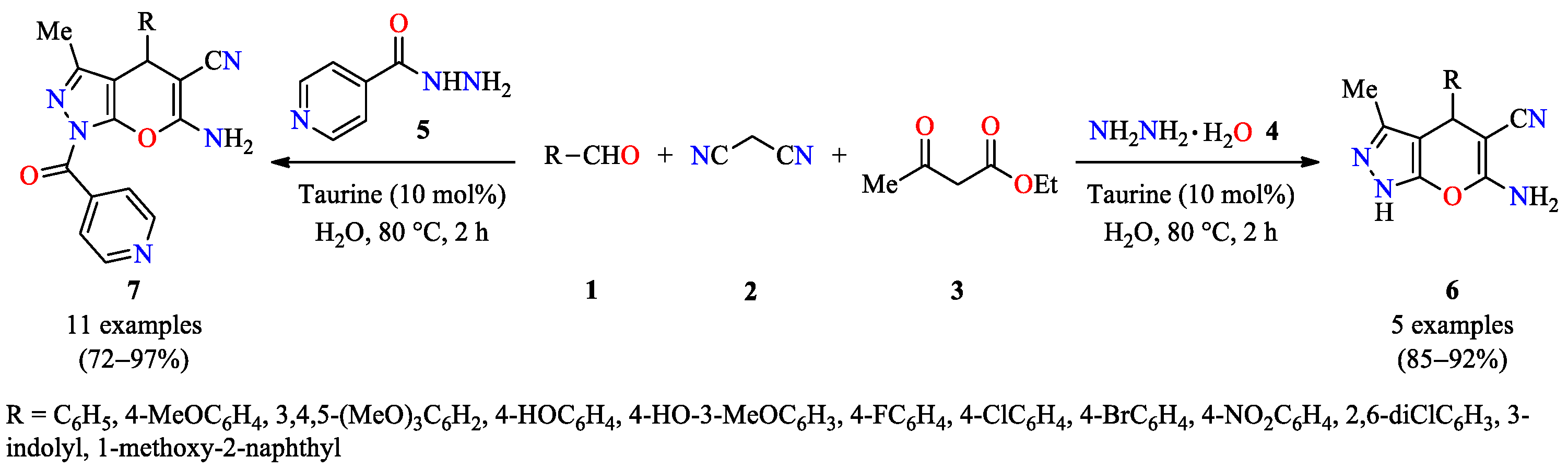
It is well known that over the past few decades antibiotic deposits have become less effective worldwide due to their overuse and the emerging antimicrobial drug resistance. Particularly, drug resistance has been developed by common bacterial pathogens against frequently prescribed drugs (amphotericin B, fluconazole, penicillin, and chloramphenicol, among others). Hence, it is an emerging field of study as it relates to a global health challenge, thereby numerous strategies will be required to develop new therapeutic compounds as antibacterial agents. In this regard, the broad-scale pharmaceutical applications of pyrano[2,3-c]pyrazole, including its appearance in numerous biologically important scaffolds, manifest its significant demand worldwide [26]. For example, the taurine-catalyzed four-component reaction of diverse (hetaryl)aldehydes 1, malononitrile 2, ethyl acetoacetate 3, and hydrazine hydrate 4 in water at 80 °C for 2 h afforded 1,4-dihydropyrano[2,3-c]pyrazoles 6 in 85−92% yields (Scheme 1) [26]. Under the same optimized conditions, the four-component reaction was extended to isoniazid 5 leading to densely substituted products 7 in 72−97% yields. After completion of the reaction by TLC, the formed solid was filtered, washed with hot water, and recrystallized in ethanol to afford the desired product. The recyclability of the taurine catalyst was studied under optimized conditions. Accordingly, the catalyst was reused for up to three recycles without an appreciable loss of catalytic activity. This protocol is distinguished by its broad substrate scope, short reaction times, low catalyst loading, and could be applied in various organic transformations to achieve the complexity of the targeted architecture. Later, all synthesized 1,4-dihydropyrano[2,3-c]pyrazoles 7 were evaluated for their plausible antibacterial potential through in silico molecular docking analysis against the Staphylococcal drug target enzyme DHFR (PDB ID: 2w9g) and its trimethoprim-resistant variant S1DHFR (PDB ID: 2w9s). Remarkably, compound 7 (R = 4-NO2C6H4) exhibited an excellent mode of binding against DHFR and S1DHFR with a binding energy of −8.8 Kcal/mol and −8.7 Kcal/mol, respectively. As shown in Figure 2, the docked 7 (R = 4-NO2C6H4) at the wild-type DHFR active site forms one hydrogen bond between the amino group and Ser49 residue.
The time-efficient synthesis of pyrano[2,3-c]pyrazole derivatives 9 and 10 in 85−93% yields could be easily accomplished by the Knoevenagel condensation/Michael addition/imine–enamine tautomerism/O-cyclization sequence through a four-component reaction of (hetero)aromatic aldehydes 1, hydrazine hydrate 4, β-ketoesters 8 as ethyl acetoacetate 8a or diethyl malonate 8b, and enolizable active methylene compounds as malononitrile 2 or diethyl malonate 8b, respectively, catalyzed by piperidine (5 mol%) with vigorous stirring in an aqueous medium for 20 min at room temperature (Table 1) [27]. The synthesized compounds were screened against Gram-positive (Bacillus subtilis, Clostridium tetani, and Streptococcus pneumoniae) and Gram-negative (Salmonella typhi, Pseudomonas aeruginosa, and Vibrio cholerae) bacterial strains using the broth microdilution method in the presence of ciprofloxacin as the standard drug. Remarkably, the compound 9k displayed better activity against Gram-positive and Gram-negative bacterial strains with MIC values of 0.10−1.00 μg/mL and 0.50−2.50 μg/mL, respectively, when compared to ciprofloxacin as a standard drug (MIC = 3.12−6.25 μg/mL and 3.12 μg/mL, respectively), (Table 1). Later, the compound 9k was evaluated for the binding mode determination and the antimicrobial in silico study against penicillin-binding protein PBPb (PDB ID: 3UDI). Molecular docking results showed that the compound 9k has a tremendous binding affinity towards PBPb with binding of energy of −7.3 Kcal/mol. The compound 9k was capable of forming four hydrogen bonds and five hydrophobic interactions with the key amino acid residues in the PBPb binding pocket.
In 2019, Reddy et al. developed the solvent-free synthesis of highly substituted pyrano[2,3-c]pyrazoles 12 in 81–91% yields through a five-component reaction of 5-methyl-1,3,4-thiadiazole-2-thiol 11, diverse aldehydes 1, malononitrile 2, ethyl 4-chloro-3-oxobutanoate 8 (R = CH2Cl), and hydrazine hydrate 4 catalyzed by montmorillonite K10 at 65–70 °C for 5 h (Table 2) [28]. The synthesized compounds were screened against Gram-positive (Staphylococcus aureus and Bacillus subtilis) and Gram-negative (Proteus vulgaris and Escherichia coli) bacterial strains using ciprofloxacin as a standard drug. It was found that at a 50 μg/well concentration, the pyrano[2,3-c]pyrazoles 12 showed a diameter of growth of the inhibition zone ranging from 0 to 21 mm and 0 to 31 mm against Gram-positive and Gram-negative bacterial strains, respectively, in comparison to ciprofloxacin (21 to 23 mm and 31 to 32 mm, respectively) [28]. Interestingly, the compounds 12d and 12f showed better antibacterial efficacy at a 50 μg/well concentration against Staphylococcus aureus, Bacillus subtilis, Proteus vulgaris, and Escherichia coli with a zone of inhibition in the range of 15–27 mm and 16–31 mm, respectively, when compared to ciprofloxacin (21–32 mm). In addition, the minimum inhibitory concentration (MIC) and minimum bactericidal concentration (MBC) results of most active compounds 12d and 12f were determined against Staphylococcus aureus, Bacillus subtilis, Proteus vulgaris, and Escherichia coli. Particularly, compound 12d showed better MIC and MBC values in the range of 12.5–50 μg/mL and 25–100 μg/mL, in comparison to ciprofloxacin (MIC = 6.25–12.5 μg/mL). It is noteworthy that compound 12d and ciprofloxacin displayed the same MIC value (6.25 μg/mL) against Bacillus subtilis.
In 2019, Kendre’s group published the microwave-assisted synthesis of pyrazoles 16ac in 78–90% yields by the three-component reaction of 1-phenyl-3-(2-(tosyloxy)phenyl)propane-1,3-dione 13, N,N-dimethylformamide dimethyl acetal 14, and different amines such as hydrazine 4 (R = H) and derivatives 15b,c catalyzed by acetic acid (2–5 drops) in water, maintaining the temperature in the range of 115–140 °C for 9–10 min (Scheme 2) [29]. The pyrazole derivatives 16 were screened against Gram-positive (Bacillus subtilis and Staphylococcus aureus) and Gram-negative (Escherichia coli and Pseudomonas aeruginosa) bacterial strains using ampicillin as the standard drug. It was found that pyrazoles 16a–c showed an inhibition zone in the range of 10–22, in comparison to ampicillin (21–24 mm). Interestingly, compound 16c showed better antibacterial efficacy against Escherichia coli, Bacillus Subtilis, and Pseudomonas aeruginosa with a zone of inhibition of 17, 20, and 22 mm, respectively, when compared to ampicillin (21, 24, and 22 mm, respectively).
Foroughifar’s group reported in 2018 the ultrasound-assisted synthesis of pyrano[2,3-c]pyrazoles 18 in 84−94% yields via a four-component reaction of aromatic aldehydes 1, malononitrile 2, ethyl 3-oxo-3-phenylpropanoate 17, and hydrazine hydrate 4 catalyzed by graphene oxide (10 mol%) with vigorous stirring in an aqueous medium for 2–6 min at room temperature (Table 3) [30]. The recyclability of the heterogeneous catalyst was studied under optimized conditions. Accordingly, the carbocatalyst was reused in up to five recycles without an appreciable loss of catalytic activity. Later, the synthesized compounds were screened against Gram-negative (Escherichia coli and Pseudomonas aeruginosa) and Gram-positive (Staphylococcus saprophyticus and Staphylococcus aureus) bacterial strains using the broth microdilution method in the presence of cefazolin as a standard drug. The synthesized compounds showed remarkable antibacterial activity against Gram-negative and Gram-positive bacterial strains with MIC values in the range of 20−45 μg/mL, in comparison to cefazolin (MIC > 35 μg/mL). Interestingly, the compounds 18a and 18h displayed the highest activity against Gram-negative bacterial strains with MIC values ranging from 20 to 25 μg/mL, while the compounds 18a, 18f, and 18g displayed the highest activity against Gram-positive bacterial strains with MIC values ranging from 20 to 25 μg/mL, in comparison to cefazolin (MIC > 35 μg/mL).
In 2018, Bakarat et al. reported the synthesis of pyrazole-dimedone derivatives 21 in 40–78% yields via a four-component reaction of 3-methyl-1-phenyl-1H-pyrazol-4(5H)-one 19, diverse aldehydes 1, and dimedone 20 mediated by Et2NH in water at an ambient temperature for 1–12 h (Table 4) [31]. The synthesized pyrazolic salts 21 were evaluated against three Gram-positive bacterial strains including Staphylococcus aureus, Enterococcus faecalis, and Bacillus subtilis using ciprofloxacin as the standard drug. The pyrazolic salts 21a–o showed a diameter of growth of the inhibition zone in the range of 10–24 mm and MIC values in the range of 8–64 μg/L against all Gram-positive bacterial strains, in comparison to ciprofloxacin (24–27 mm and ≤0.25 μg/L, respectively). Overall, the pyrazolic salts 21e and 21l were the most active compounds against Staphylococcus aureus with a MIC value of 16 μg/L. Moreover, compound 21b was the most active against Enterococcus faecalis with a MIC value of 16 μg/L. Ultimately, compound 21k displayed better antibacterial efficacy against Bacillus subtilis with a zone of inhibition of 20 mm and a MIC value of 8 μg/L, when compared to ciprofloxacin (25 mm and ≤0.25 μg/L, respectively). Later, a docking simulation was performed to predict the mode of inhibition against the thymidylate kinase (TMK) (PDB ID: 4QGG) from Staphylococcus aureus. Although compound 21a was moderately active against the Staphylococcus aureus bacterial strain, it showed more interactions with the TMK protein from Staphylococcus aureus. The docking molecular of 21a displayed the highest negative score of −6.86 kcal/mol, which is comparable to ciprofloxacin (−6.90 kcal/mol). As shown in Figure 3, the chlorine atoms at the 2 and 4 positions were engaged in the formation of two halogen bonds with the amino groups of Arg70 and Gln101, respectively. Moreover, the dichloro-substituted benzene ring along with the pyrazole ring displayed various π–π and π–cation interactions with the crucial residues Phe66 and Arg92. Apart from this, the carbon atom located at the R position and methyl of the pyrazole ring formed hydrophobic interactions with Arg48 and Phe66. Unfortunately, the authors did not show the docking molecular for compounds 21e and 21l, which were the most active against Staphylococcus aureus with a MIC value of 16 μg/L (Table 4).
On the other hand, an efficient one-pot multicomponent reaction of 3-(2-bromoacetyl)coumarins 22, thiosemicarbazide 23, and substituted acetophenones 24 in N,N-dimethylformamide, followed by Vilsmeier–Haack formylation reaction conditions, afforded the coumarin-containing thiazolyl-3-aryl-pyrazole-4-carbaldehydes 25 with high yields and short reaction times [32]. During this approach, thiazole and pyrazole rings are formed along with a functional group (-CHO) on the pyrazole ring in a regioselective manner. Subsequently, products 25 were screened against Gram-negative (Escherichia coli, Klebsiella pneumoniae, and Proteus vulgaris) and Gram-positive (Methicillin-resistant Staphylococcus aureus, Bacillus Subtilis, and Bacillus cereus) bacterial strains by using the agar well diffusion method in the presence of gentamycin sulfate and ampicillin as standard drugs [32]. As shown in Table 5, the synthesized compounds 25 showed low to moderate antibacterial activity with MIC values ranging from 72.8 to 150 μg/mL, in comparison to gentamycin sulfate (MIC = 2–45 μg/mL) and ampicillin (MIC = 4–10 μg/mL) as standard drugs. In particular, the compound 25n showed moderate MIC values of 86.5, 79.1, and 72.8 μg/mL against Escherichia coli, Klebsiella pneumonia, and Bacillus cereus, respectively. Similarly, the compound 25m also exhibited a moderate MIC value of 98.2 μg/mL against Bacillus subtilis.
Interestingly, a series of highly functionalized spiropyrrolidine-oxindoles 29 in 80–93% yields have been synthesized through a 1,3-dipolar cycloaddition reaction between dipolarophile (E)-3-(1,3-diphenyl-1H-pyrazol-4-yl)-2-(1H-indole-3-carbonyl)acrylonitrile 26 and an azomethine ylide formed in situ from isatin derivatives 27 and amino acids such as L-proline 28a and L-thioproline 28b in refluxing methanol for 2 h (Table 6) [33]. The reaction mixture was allowed to cool at room temperature, filtered, and the resulting crude was recrystallized in ethanol to afford spiropyrrolidine-oxindoles 29 in a diastereoselective manner. The spiropyrrolidine-oxindoles 29 were screened against Gram-negative (Salmonella typhimurium, Klebsiella pneumoniae, Proteus vulgaris, Shigella flexneri, and Enterobacter aerogenes) and Gram-positive (Micrococcus luteus, Staphylococcus epidermidis, Staphylococcus aureus, and Methicillin-resistant Staphylococcus aureus) bacterial strains using the disc diffusion method in the presence of streptomycin as a standard drug [33]. The synthesized compounds showed low to moderate antibacterial activity against Gram-negative and Gram-positive bacterial strains with MIC values in the range of 31.2–500 μg/mL, in comparison to streptomycin (MIC = 6.25–30 μg/mL). Interestingly, compound 29a displayed the highest activity against Gram-negative bacterial strains with MIC values in the range of 31.2–125 μg/mL, except for Salmonella typhimurium (MIC = 250 μg/mL). However, compounds 29c and 29e showed the highest activity against Salmonella typhimurium with a MIC value of 125 μg/mL. Furthermore, compound 29a showed better activity against Gram-positive bacterial strains with a MIC value of 31.2 μg/mL, except for Staphylococcus epidermidis (MIC = 62.5 μg/mL).
In 2017, Suresh et al. described an efficient synthesis of pyrazole-based pyrimido[4,5-d]pyrimidines 33 in 84–90% yields through a four-component reaction from 6-amino-1,3-dimethyluracil 30, N,N-dimethylformamide dimethyl acetal 14, 1-phenyl-3-(4-substituted-phenyl)-4-formyl-1H-pyrazoles 31, and primary aromatic amines 32 using the ionic liquid [Bmim]FeCl4 as both catalyst and solvent at 80 °C for 2–3 h (Scheme 3) [34]. Although the reaction was optimized with various solvents such as water, ethanol, acetic acid, DMF, nitrobenzene, and toluene under reflux or heating conditions, the yields were disappointing. However, the use of ionic liquids was conducted to improve the yields. An interesting trend was observed with the types of substituents on 1-phenyl-3-(4-phenyl)-4-formyl-1H-substituted pyrazoles 31 and primary aromatic amines 32. Overall, the presence of electron-withdrawing substituents (85–90%) generated higher yields than electron-donating substituents (78–84%). Finally, the ionic liquid catalyst was reused in up to four cycles without an appreciable loss in catalytic activity.
The plausible mechanism for the synthesis of pyrazole-based pyrimido[4,5-d]pyrimidines 33 is illustrated in Scheme 4. Initially, the [Bmim]FeCl4-catalyzed condensation reaction between 6-amino-1,3-dimethyluracil 30 and N,N-dimethylformamide dimethyl acetal 14 generated the amidine intermediate I, which reacted with 1-phenyl-3-(4-substituted-phenyl)-4-formyl-1H-pyrazole 31 to furnish intermediate II. Then, the [Bmim]FeCl4-catalyzed nucleophilic substitution of the hydroxyl group of the intermediate II by the amine group of the aromatic amine 32 gave the intermediate III, which participated in the intramolecular nucleophilic addition/elimination of the Me2NH sequence to form the pyrimido[4,5-d]pyrimidine system 33.
The synthesized compounds 33 were screened for their antibacterial activity against Gram-positive (Bacillus subtilis, Staphylococcus aureus, Staphylococcus aureus MLS-16, and Micrococcus luteus) and Gram-negative (Klebsiella planticola, Escherichia coli, and Pseudomonas aeruginosa) bacterial strains using ciprofloxacin as a positive control. Overall, the compounds 33c (R = 4-NO2C6H4, R1 = 4-Me), 33l (R = 4-MeC6H4, R1 = 4-Cl), and 33m (R = 4-MeC6H4, R1 = 4-Me) were the most active against Bacillus subtilis, Staphylococcus aureus, Staphylococcus aureus MLS16, and Micrococcus luteus with MIC values in the range of 3.9–15.6 µg/mL, in comparison to ciprofloxacin (MIC = 0.9 µg/mL). Notably, the compound 33l showed better activity against Bacillus subtilis and Staphylococcus aureus with an MBC value of 7.8 µg/mL, when compared to ciprofloxacin (MBC = 0.9 and 1.9 µg/mL, respectively).
Very recently, a series of 4-[(3-aryl-1-phenyl-1H-pyrazol-4-yl)methylidene]-2,4-dihydro-3H-pyrazol-3-ones 34 were synthesized through a one-pot three-component reaction of 3-aryl-1-phenyl-1H-pyrazole-4-carbaldehydes 31, ethyl acetoacetate 3, and hydrazine hydrate 4 in the presence of sodium acetate as a base under refluxing ethanol for 1 h (Table 7) [35]. After completion of the reaction (TLC), the mixture was cooled to room temperature, and the precipitate was filtered, washed with water, dried, and purified by column chromatography to afford compounds 34 in 82–92% yields. All synthesized compounds 34 were screened against Gram-positive (Staphylococcus aureus and Bacillus subtilis) and Gram-negative (Pseudomonas aeruginosa and Escherichia coli) bacterial strains using norfloxacin as a positive control. These compounds showed acceptable antibacterial activity against Gram-positive and Gram-negative bacterial strains with a zone of inhibition in the range of 7.9–17.2 mm, when compared to norfloxacin (19.2–25.6 mm). Interestingly, compound 34b exerted the better antibacterial potency against Staphylococcus aureus with a zone of inhibition of 17.2 mm, while the compound 34a displayed the highest activity against Bacillus subtilis, Pseudomonas aeruginosa, and Escherichia coli with a zone of inhibition of 12.0, 13.5, and 14.3 mm, respectively.
A series of thiazole-tethered indenopyrazoles 37 were efficiently synthesized through a one-pot three-component reaction (Table 8) [36]. Initially, a mixture of 2-acyl-(1H)-indene-1,3-(2H)-diones 35 and thiosemicarbazide 23 in dry methanol was refluxed for 10–15 min. Thereafter, sodium acetate, α-bromoketones 36, and methanol/glacial acetic acid (2:1, v/v) were slowly added. The resulting reaction mixture was refluxed for 5–8 h. On completion of the reaction, the formed solid was filtered and purified by column chromatography to afford the corresponding indenopyrazoles 37 in 53–80% yields (Table 8). All synthesized compounds 37 were screened for their antimicrobial activity against Gram-positive (Staphylococcus aureus and Bacillus subtilis) and Gram-negative (Pseudomonas aeruginosa and Escherichia coli) bacterial strains showing MIC values in the range of 0.0270–0.0652 μmol/mL and 0.0270–0.0629 μmol/mL, respectively, when compared to ciprofloxacin (MIC = 0.0094 μmol/mL) as a positive control. Interestingly, the indenopyrazole 37d displayed the highest potency against all the tested microbial strains with MIC values ranging from 0.0270 to 0.0541 μmol/mL, in comparison to the standard drug ciprofloxacin (MIC = 0.0094 μmol/mL). To determine the binding conformation, molecular docking of indenopyrazole 37d was performed in the binding site of DNA gyrase of Escherichia coli (PDB ID: 1KZN). As shown in Figure 4, the carbonyl group of indene moiety forms one hydrogen bond with Gly77. The pyrazole ring interacts with Ile78 via π–alkyl interactions, while the phenyl group present on the thiazole ring interacts with Asp49 via π–anion interactions. Finally, the π–electrons of the indene moiety interact with Glu50 and Arg76 via π–anion and π–cation interactions, respectively.
The Ugi multicomponent reaction (MCR) is one of the most predominant isocyanide-based MCRs, attracting a wide diversity of fascinated chemists owing to its four-component transformation and remarkable functional tolerance [37,38]. Viewing the significance of the N-containing heterocycles (particularly pyrazole and isoquinolone derivatives) in countless areas, mainly in medicinal chemistry, a Ugi-mediated research work focused on the synthesis of the hybrid molecules of these two structural pharmacophores was undertaken [39]. Thus, the microwave-assisted ligand-free palladium-catalyzed post-Ugi reaction for the synthesis of isoquinolone and pyrazole-mixed pharmacophore derivatives 41 was achieved from pyrazole-substituted amides 40 (synthesized using the Ugi reaction). In this approach, intermediate amides 40 were obtained in 77−96% yield from an Ugi four-component type reaction of anilines 32, t-butyl isocyanide 38, benzaldehydes 1, and a variety of pyrazole carboxylic acids 39 in MeOH at 40 °C for approximately 18 h, as shown in Table 9. Subsequently, after optimization of the reaction conditions, the isocyanide 38 insertion and successive intramolecular cyclization process of the intermediates 40 was achieved in the presence of PdCl2 and Cs2CO3 as a base in DMF as the solvent at 150 °C under microwave irradiation, affording the target pyrazole derivatives 41. It was found that irrespective of the substituents on the pyrazole scaffold in 40, all the representative reactions could produce moderate to good yields of 41. Moreover, among the various isocyanides 38 being tested with 40 for this transformation, only t-butyl isocyanide 38 was found to be constructed efficiently in the hybrid structures 41 and hence it was the only isocyanide employed in this investigation. Then, the synthesized target compounds 41 were subjected to in vitro antibacterial activity against five clinical bacterial strains (i.e., Staphylococcus aureus, Escherichia coli, Enterococcus faecalis, Streptococcus pyogens, and Vibrio cholera), according to Clinical and Laboratory Standard Institute (CLSI) protocols [40]. The activities of 41 in terms of their MICs ranged from 250 μM to 20.85 μM, as shown in Table 9. The results obtained were further described with the help of DFT and molecular orbital calculations, showing that pyrazole derivatives 41e and 41g revealed good antibacterial activity compared to the standard drug kanamycin.
On the basis that 4H-pyrans and 4H-pyran-annulated heterocyclic frameworks represent an excellent structural motif that is often found in naturally occurring compounds with a broad spectrum of remarkable biological activities, [41,42] a library of spiropyrans 45 were synthesized via a one-pot four-component reaction of various-type cyclic CH-acids 44, malononitrile 2, cyanoacetohydrazide 42, and ninhydrin 43 in EtOH at reflux under catalyst-free conditions, as shown in Table 10 [43]. The obtained products 45 were subsequently tested in vitro for antibacterial effects on the Gram-negative strain Escherichia coli and the Gram-positive strain Staphylococcus aureus by using the disk diffusion method and using tetracycline and DMSO as positive and negative controls, respectively. Results showed an inhibition zone of 4–15 mm for compounds 45 against Staphylococcus aureus (except 45d, 45h, and 45j), while Escherichia coli was resistant against all compounds 45 tested (Table 10). Moreover, it was found that compounds 45a, 45b, 45f, 45g, and 45i displayed the best MICs against Staphylococcus aureus.
As mentioned before, pyran-annulated heterocyclic compounds have interested synthetic organic chemists and biochemists because of their biological [44] and pharmacological activities [45]. Additionally, many chemical reactions have used ionic liquids such as green alternative media for volatile organic solvents because of their low vapor pressures, chemical and thermal stability, nonflammability, high ionic conductivity, and wide electrochemical potential window [46]. Based on the above findings, a simple and highly efficient synthesis of a series of pyrano[2,3-c]pyrazole-5-carbonitrile derivatives 46 by a one-pot, four-component reaction with ethyl benzoylacetate 17, malononitrile 2, aryl aldehydes 1, and hydrazine hydrate 4 was achieved [47]. Reactions were performed under several catalytic conditions such as choline chloride:thiourea (DES) and choline chloride:urea as ionic liquid catalysts under reflux and ultrasonic irradiation conditions in short reaction times with high yields (Table 11). It was also observed that the best results according to the reaction conditions in the presence of catalyst choline were with chloride:thiourea, because of the acidic strength of thiourea compared with urea. Overall, the method provided several advantages such as a shorter reaction time with high yields, mild reaction conditions, and environmental friendliness. Furthermore, all compounds 46 were subsequently evaluated for their in vitro antibacterial activity against two Gram-positive bacteria (Staphylococcus saprophyticus and Staphylococcus aureus) and two Gram-negative bacteria (Escherichia coli and Pseudomonas aeruginosa), compared with cefazolin regarding the minimum inhibitory concentration (MIC). Interestingly, several of the obtained compounds 46 were more active than cefazolin (MIC values < 35), as shown in Table 11.
Due to functionalized coumarins playing a prominent role in medicinal chemistry and being intensively used as scaffolds for drug development [48,49], an efficient synthesis of a series of pyrazolylbiscoumarin 47 and pyrazolylxanthenedione 48 hybrid derivatives was established [50]. The synthesis of the title compounds 47 was achieved using a simple acid-catalyzed pseudo three-component condensation reaction of the corresponding 1H-pyrazole-4-carbaldehydes 31 and two equivalents of type 4-hydroxycoumarin 44 in refluxing ethanol in the presence of concentrated HCl, as shown in Table 12. Similarly, treatment of 1H-pyrazole-4-carbaldehydes 31 and two equivalents of dimedone 20 under the same reaction conditions afforded the pyrazolylxanthenedione derivatives 48, as shown in Table 12. All the synthesized compounds 47 and 48 were screened for their antibacterial activity against the Gram-positive bacteria Staphylococcus aureus and the Gram-negative bacteria Klebsiella pneumoniae, using the commercial antibiotic streptomycin as the standard drug. The tested compounds exhibited a variable degree of antibacterial activity, showing the inhibition zone size ranging from 6 to 21 mm as shown in Table 12. Particularly, compounds 47a and 48a displayed higher biological activity; however, none of the synthesized compounds 47/48 were superior to the standard drug streptomycin.
Due to fluorine playing a crucial role in improving pharmacodynamic and pharmacokinetic properties of drugs molecules [51], and considering the fact that fluoro-substituted pyrazoles are a class of heterocycles occupying a remarkable position in medicinal chemistry because of their variety of pharmacological activities [52,53], a multicomponent cyclocondensation reaction was implemented for the synthesis of a series of fluorinated 5-(phenylthio)pyrazole-based polyhydroquinoline derivatives 51 [54]. This approach proceeded by incorporating various fluorinated enaminones 49, different active methylene compounds 50, and phenylthio-1-phenyl-1H-pyrazole-4-carbaldehydes 31 in a one-pot process in the presence of piperidine as a basic catalyst under refluxing EtOH, affording the targeted compounds 51 in good to excellent yield (71−84%), as shown in Table 13. All the synthesized compounds 51 were evaluated in vitro for their antibacterial activity using the broth microdilution method according to National Committee for Clinical Laboratory Standards [55]. Three Gram-positive (Bacillus subtilis, Clostridium tetani, and Streptococcus pneumoniae) and three Gram-negative (Salmonella typhi, Escherichia coli, and Vibrio cholerae) bacteria were chosen for antibacterial screening using ampicillin, ciprofloxacin, norfloxacin, and chloramphenicol as the standard antibacterial agents. The results indicated that compound 51 showed moderate to very good antibacterial activity in comparison with the activity displayed by the standard drugs, as shown in Table 13.
It is known that pyrazoles, imidazoles, dihydropyrimidinones (DHPMs), and 1,4-dihydropyridines (DHPs) are considered to be important chemical synthons of various physiological significance and pharmaceutical utility [56,57]. Based on these precedents, Viveka, et al. considered constructing hybrid molecular architectures by combining pyrazole with biologically active DHPMs, DHPs, and imidazole pharmacophores through a multicomponent reaction sequence [58]. In this sense, a series of pyrazole-containing pyrimidine 52, 1,4-dihydropyridine 53, and imidazole 54 derivatives were synthesized in acceptable to good yields using substituted type 4-formylpyrazole 31 as a key intermediate by following the Biginelli reaction, the classical Hantzsch condensation, and the Debus reaction, respectively, as described in Table 14. The synthesized products were screened for their in vitro antibacterial properties by the disc diffusion method against Staphylococcus aureus, Escherichia coli, Pseudomonas aeruginosa, and Klebsiella pneumoniae using streptomycin as the standard drug. The activities and the minimum inhibitory concentration (MIC) of the pyrazole derivatives 52, 53, and 54 are presented in Table 14. In general, the results showed that the various compounds 52, 53, and 54 displayed variable inhibitory effects on the growth of the bacteria depending on the nature of the substituents with the pyrazole; particularly, compounds 52c and 52f displayed the highest activity. Additionally, from these studies, it is concluded that pyrimidinone-incorporated halo-substituted 1,3-diarylpyrazole was shown to be a better molecule from a biological activity point of view, and these molecules could be designed as potential drugs after further structural modifications.
Research on the design of synthetic protocols with an efficient atom economy and catalyst-free under ultrasound irradiation conditions has received specific attention [59]. In this sense, an efficient multicomponent method for the synthesis of biologically active 1,3,4-thiadiazole-1H-pyrazol-4-yl thiazolidin-4-one hybrids 57 was reported [60], from the reaction of 5-(substituted phenyl)-1,3,4-thiadiazol-2-amines 55, type pyrazole-4-carbaldehyde 31, and 2-mercaptoacetic acid 56 in ethanol under ultrasound irradiation. It was found that reactions gave the desired products 57 in 91–97% yield, in short times (55–65 min) at 50 °C as shown in Table 15. All the obtained pyrazol-4-yl-thiazolidin-4-ones 57 were screened for their antibacterial activity. Among the screened hybrids 57, derivatives with 4-nitro and 3-nitro groups substituted on the phenyl ring showed fourfold (MBC = 156.3 μg/cm3) and twofold (MBC = 312.5 μg/cm3), respectively, stronger potency against the Pseudomonas aeruginosa strain as compared to the standard ciprofloxacin. Moreover, SAR studies revealed the importance of the functional groups on the phenyl ring of the 1,3,4-thiadiazol-2-amine moiety for varying bacterial activity. Thus, the electron-withdrawing (NO2) group at para- and meta-positions played a significant role in enhancing the antibacterial activity, as shown in Table 15.
Among all the various organocatalysts, the pyrrolidine-acetic acid catalyst is one of the most versatile for many important organic reactions and asymmetric transformations [61]. Based on this, an efficient method for the synthesis of fused pyran-pyrazole derivatives 59 was developed through a one-pot, three-component, solvent-free reaction of type 1H-pyrazole-4-carbaldehyde 31, various active methylenes 58, and malononitrile 2 under microwave irradiation in the presence of pyrrolidine-acetic acid (10 mol%) as a bifunctional catalyst, affording products 59 in good yields, as shown in Table 16 [62]. Some highlights of this protocol were associated with the solvent-free reaction conditions, shorter reaction time, greater selectivity, and straightforward workup procedure. The synthesized compounds 59 were investigated against a representative panel of six pathogenic strains using the broth microdilution MIC method for their in vitro antimicrobial activity. The investigation of the antimicrobial activity data revealed that some compounds 59 showed good to excellent antibacterial activity against the representative species when compared with the standard drugs such as ampicillin, ciprofloxacin, and norfloxacin. Particularly, compounds 59c, 59e, 59h, 59m, 59n, 59o, 59q, 59r, and 59t were found to be the most efficient antimicrobials in the series, as shown in Table 16.
Due to the fact pyrazole and pyrimidine-2,4,6-trione heterocycles are interesting pharmacophores for pharmaceutical targets in synthetic and natural products [63], as well as being used as a precursor for the construction of condensed heterocyclic systems [64], a series of pyrazole-thiopyrimidine–trione derivatives 61 was synthesized via a one-pot multi-component reaction in aqueous media with the purpose of identifying new drugs as antibacterial agents [65]. Thus, a cascade Aldol–Michael additions of N,N-diethyl thiobarbituric acid 60, 3-methyl-1-phenyl-1H-pyrazol-5(4H)-one 19, and aldehydes 1 mediated by aqueous Et2NH as a catalyst afforded the pyrazole-thiobarbituric acid derivatives 61 in (63−88%) yield with a broad substrate scope under mild reaction conditions, as shown in Table 17.
The new compounds 61 were evaluated for their antibacterial activity against three Gram-positive bacterial strains. Compound 61c exhibited the best activity against Staphylococcus aureus and Staphylococcus faecalis with MIC = 16 μg/L. However, compounds 61l and 61o were the most active against bacillus subtilis with MIC = 16 μg/L. Molecular docking studies for the final compounds 61 and the standard drug ciprofloxacin were performed using the OpenEye program, with different target proteins to explore their mode of action. Molecular modeling gave the comparative consensus scores of synthesized compounds 61 with two targets: DNA topoisomerase II (PDB ID 5BTC) [66] and gyrase B (PDB ID 4URM) proteins [67]. Thus, the docking with DNA Topoisomerase II (5BTC) for the standard drug ciprofloxacin had a consensus score of 1 through the hydrophobic–hydrophobic interaction and formed HB with ARG:128:A through the oxygen of its carbonyl (Figure 5).
Meanwhile, the docking mode with DNA Topoisomerase II (5BTC) for the most active compounds showed a hydrophobic–hydrophobic interaction with the receptor. Compound 61c with a consensus score of 29, compound 61o with a consensus score of 10, and compound 61l with a consensus score of 54 exhibited hydrophobic–hydrophobic interactions and overlay each other (Figure 6).
Regarding the molecular docking with Gyrase B (PDB ID 4URM), compound 61c (consensus score: 24) showed an HB interaction with ASN 145:A through the sulfur atom of the thiobarbiturate ring and overlay with 61a, 61d, and 61f with the same HB. However, 61a showed extra HB with GLN 196:A through the N of pyrazole (Figure 7).
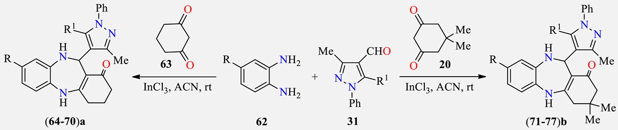
Diazepine and pyrazole, which represent seven- and five-membered nitrogen-containing rings, respectively, are structures of great importance in the development of newer molecular assemblies, finding a wide range of applications in diverse fields [68,69]. In this regard, pyrazole-appended benzodiazepines were envisaged as interesting molecular templates, anticipated to have new bioprofiles [70]. Thus, several pyrazolyl-dibenzo[b,e][1,4]diazepinone scaffolds (64–70)a/(71–77)b were synthesized in acceptable to good yields by assembling, via a three-component approach, 5-substituted 3-methyl-1-phenyl-pyrazole-4-carbaldehydes 31 of varied natures with different cyclic diketones 20/63 and aromatic diamines 62 in the presence of indium chloride in acetonitrile at room temperature, as shown in Table 18. It is assumed that the aprotic nature of acetonitrile might have favored this reaction, as it gave poor results in protic solvents such as ethanol and water.
Structures of the obtained compounds (64–70)a/(71–77)b were confirmed by spectroscopic techniques, and based on single-crystal X-ray diffraction data of the representative compound 75b. All obtained heterocycles (64–70)a/(71–77)b were screened, in vitro, for their antibacterial activity against three Gram-positive (Streptococcus pneumoniae, Clostridium tetani, and Bacillus subtilis) and three Gram-negative (Salmonella typhi, Vibrio cholera, and Escherichia coli) bacterial strains. Results showed that compounds 73b, 73′b, and 75′b bearing a chlorophenyl-tethered pyrazolyl moiety displayed excellent to moderate inhibitory power against all six bacterial species, compared with the standard drugs gentamycin, ampicillin, chloramphenicol, ciprofloxacin, and norfloxacin, as shown in Table 18.
Due to the rapidly increasing incidence of antimicrobial resistance representing a serious problem worldwide, the development of new and different antimicrobial drugs has been a very important objective for many research programs directed toward the design of new antimicrobial agents [71]. For this purpose, a series of pyrazole-integrated thiazolo[2,3-b]dihydropyrimidinone derivatives 80 were synthesized via the MCR approach in a single framework as potential antimicrobial agents [72]. In this protocol, the highly activated intermediates 31 and 78 were reacted with monochloroacetic acid 79 and anhydrous sodium acetate in an acetic acid-acetic anhydride medium, resulting in the formation of the target compounds 80 in acceptable to good yields, as shown in Table 19. The synthesized compounds 80 were evaluated for their in vitro antibacterial activity against a Gram-positive organism (Staphylococcus aureus), Gram-negative organisms (Klebsiella pneumoniae, Pseudomonas aeruginosa, and Escherichia coli), and compared with that of the standard drug streptomycin. The zone of inhibition was determined by the agar well diffusion method. Remarkably, as observed in the antibacterial activity described in Table 19, compounds 80a, 80b, and 80d showed good activity for all the tested species that contained electron-withdrawing 3,4-dichloro phenyl groups on the pyrazole ring, indicating that such a substitution is a favorable site for high activity in future developments.
Considering that molecular hybridization using a multicomponent approach is an effective strategy for the synthesis of new bioactive compounds and is being used in modern medicinal chemistry [73,74], a series of heterocyclic compounds containing pyrazolo[3,4-b]pyridin-6(7H)-one linked 1,2,3-triazoles 84 were synthesized to develop new pharmacophores with promising biological activities [75]. In this approach, the novel molecular hybrids 84 containing pyrazole, pyridinone, and 1,2,3-triazole were obtained from a one-pot four-component reaction of Meldrum’s acid 81, substituted aryl azides 82, 4-(prop-2-yn-1-yloxy)aryl aldehydes 1, and 3-methyl-1-phenyl-1H-pyrazol-5-amine 83 using L-proline as a basic organocatalyst, aq. solution of CuSO4.5H2O and aq. solution of sodium ascorbate as catalysts at 100 °C through click chemistry in PEG-400 as a highly efficient and green media. Thus, a diverse library of 4-(4-((1-(aryl)-1H-1,2,3-triazol-4-yl)aryl)-3-methyl-1-phenyl-4,5-dihydro-1H-pyrazolo[3,4-b]pyridin-6(7H)-ones 84 was obtained in high yields, as shown in Table 20.
The structure of the synthesized compounds 84 was confirmed by the single-crystal X-ray diffraction analysis for compound 84e. The in vitro antibacterial activity of all obtained compounds 84 was evaluated against six antibacterial strains. Four Gram-positive bacteria (Staphylococcus aureus, Staphylococcus epidermidis, Bacillus subtilis, and Bacillus cereus) and two Gram-negative bacteria (Escherichia coli and Pseudomonas aeruginosa) were used in this study. The antibacterial activity of all compounds 84 was evaluated by the agar well diffusion method using ciprofloxacin as a standard. The results of the antibacterial activity evaluation revealed that all compounds possessed good activity against Gram-positive bacterial strains and no activity against Gram-negative bacterial strains, that is, Escherichia coli and Pseudomonas aeruginosa, as shown in Table 20. Particularly, results showed that compound 84k displayed the best antibacterial activity with a diameter of growth of the inhibition zone of 21.6 mm against Staphylococcus aureus, 22.6 mm against Staphylococcus epidermidis, 22.3 mm against Bacillus subtilis, and 23.6 mm against Bacillus cereus bacteria. The structure–activity relationship study of these compounds revealed that compounds 84e, 84k, having a methyl group on phenyl group attached to the triazole ring in the molecule, showed better activity compared to other compounds.
It is well known that ionic liquids have become excellent alternatives to organic solvents and catalysts for a large array of organic reactions, due to their favorable properties [76]. To expand their previous application of the SO3H-functional Brønsted-acidic halogen-free ionic liquid 1,2-dimethyl-N-butanesulfonic acid imidazolium hydrogen sulfate ([DMBSI]HSO4) in the synthesis of heterocyclic compounds [77], Mamaghani, et al. reported a rapid, straightforward, and highly efficient one-pot synthesis of pyrano[2,3-c]pyrazole derivatives 86 and spiro-conjugated pyrano[2,3-c]pyrazoles 87 in the presence of [DMBSI]HSO4 as a catalyst via a one-pot four-component reaction under solvent-free conditions [78]. In this approach, the reaction of β-ketoesters 3/17, hydrazine hydrate 4, malononitrile 50 (R2 = CN), and aromatic aldehydes 1 in the presence of [DMBSI]HSO4 in solvent-free conditions at 60 °C afforded pyrano-pyrazole derivatives 86 in good to excellent yields (Table 21). Additionally, the reaction of equimolar amounts of β-ketoesters 3/17, hydrazine hydrate 4, alkyl cyanides 50, and 1,2-diketones 85a,b under the aforementioned optimized solvent-free conditions afforded the spiro-conjugated pyrano-pyrazoles 87 in high yields (85–96%), as shown in Table 22.
The antibacterial activity of some of the synthesized compounds 86a–o and 87a–g was examined against both Gram-negative (Pseudomonas aeruginosa and Escherichia coli) and Gram-positive (Micrococcus luteus and Bacillus subtilis) bacteria, using tetracycline and erythromycin as standard drugs. The results revealed that most of the compounds (86a–o and 87a–g) exhibited moderate activity toward Micrococcus luteus as revealed by the diameters of their inhibition zones. In addition, the results also showed that most of these compounds were not active against Escherichia coli and Pseudomonas aeruginosa, as shown in Table 21 and Table 22.
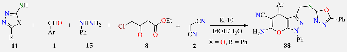
It is well known that eco-friendly reaction paths, environmentally friendly catalysts, solvents, and prepared novel biologically active heterocycles have been becoming imperative key points for several unending investigation programs [79,80]. In this way, the development of a method for the synthesis of thioether-linked pyranopyrazoles 88 was performed via a reusable green catalyst, green solvent, and multicomponent domino approach [81]. Thus, the five-component reaction between the commercially available type 5-phenyl-1,3,4-oxadiazole-2-thiol 11, aromatic aldehydes 1, type phenyl hydrazine 15, ethyl 4-chloro-3-oxobutanoate 8, and malononitrile 2 in an ethanol–water solvent mixture at 70 °C using the Montmorillonite K-10 clay catalyst afforded products 88 in the range of 81–89% yield, as shown in Table 23. In this way, the K-10 catalyst behaved as a key point to promote this scientific path. Because of its acid catalytic nature to rapidly initiate the reactions, reusability, simple work-up process, time minimization, inexpensive nature, natural solvent compatibility, suppression of the side products leading to its cost reduction and eco-friendliness, the use of the K-10 catalyst highly improved this protocol compared to its catalyst-free analog procedure. Subsequently, the obtained compounds 88 were tested for their antibacterial properties against Gram-positive Bacillus subtilis and Staphylococcus aureus and Gram-negative Escherichia coli and Pseudomonas aeruginosa human pathogens under the disc diffusion method, using tetracycline as a drug base, as shown in Table 23. The outcomes organized in Table 23 indicate that compound 88e revealed outstanding antibacterial inhibition compared to all other active compounds against the four bacteria. In addition, it showed noticeable activity towards Escherichia coli and Pseudomonas aeruginosa pathogens and inhibition zone values more than the reference drug tetracycline. Moreover, compound 88n also exhibited very good inhibition zone values, indicating that these two active compounds may be used to support further investigation as a way to ascertain new antibacterial agents.
Similarly to that previously described [78], Ambethkar, et al. reported an efficient grinding protocol for the synthesis of dihydropyrano[2,3-c]pyrazole derivatives 90, in excellent yields, from a four-component reaction between acetylene ester 89, hydrazine hydrate 4, aryl aldehydes 1, and malononitrile 2 in the presence of L-proline under solvent-free conditions, as shown in Table 24 [82]. The reaction tolerated various electron-withdrawing and electron-donating substituents in the ortho, meta, and para positions on the ring of the corresponding aromatic aldehydes 1, as well as heteroaromatic aldehydes. The structures of the synthesized compounds 90 were deduced by spectroscopic techniques and confirmed by X-ray crystallography for compound 90h. Compounds 90 were further evaluated for their in vitro antibacterial activities against four bacterial strains (Staphylococcus albus, Streptococcus pyogenes, Klebsiella pneumoniae, and Pseudomonas aeruginosa), using amikacin as the standard drug. This study was carried out by the agar well diffusion method using DMSO as a negative control. The antimicrobial data revealed that the compounds 90a, 90g, 90h, 90i, 90j, 90k, and 90l showed activity against the four bacterial strains evaluated, as shown in Table 24.
Propyl sulfonic acid-functionalized SBA-15 as a heterogeneous Brønsted acid, with its hexagonal structure, high surface area, and large pore size, exhibits efficient catalytic activity in a variety of organic reactions [83]. In this regard, the design and optimization of a convenient three-component approach for the synthesis of a series of tricyclic fused pyrazolopyranopyrimidine derivatives 91 using SBA-Pr-SO3H as a nanocatalyst was performed [84]. The morphology of the SBA-Pr-SO3H catalyst was verified by SEM and TEM images. The results confirmed that the hexagonally ordered mesoporous structure of SBA-15 silica was well retained after the chemical grafting reaction. In this approach, the one-pot three-component reaction of barbituric acids 60, aromatic aldehydes 1, and type 3-methyl-5-pyrazolone 19 under reflux conditions in water and the presence of a catalytic amount of SBA-Pr-SO3H afforded the target products 91 in 89–96%, as shown in Table 25. The mild reaction conditions, reusability, both electron-rich and electron-deficient aldehydes tolerance, high product yields, short reaction times, and simple work-up procedures were some advantages of this method.
The compounds 91 were screened in vitro using the disc diffusion method (IZ). The microorganisms used were Pseudomonas aeruginosa and Escherichia coli as Gram-negative bacteria, and Staphylococcus aureus and Bacillus subtilis as Gram-positive bacteria. The activities of each compound were compared with chloramphenicol and gentamicin as references. The inhibition zones of compounds 91 around the discs are shown in Table 25. All compounds 91 exhibited significant antibacterial activities against Staphylococcus aureus when compared with the reference drugs. All compounds 91 were able to inhibit the growth of Bacillus subtilis and Escherichia coli. No compound showed antibiotic activity against Pseudomonas aeruginosa.
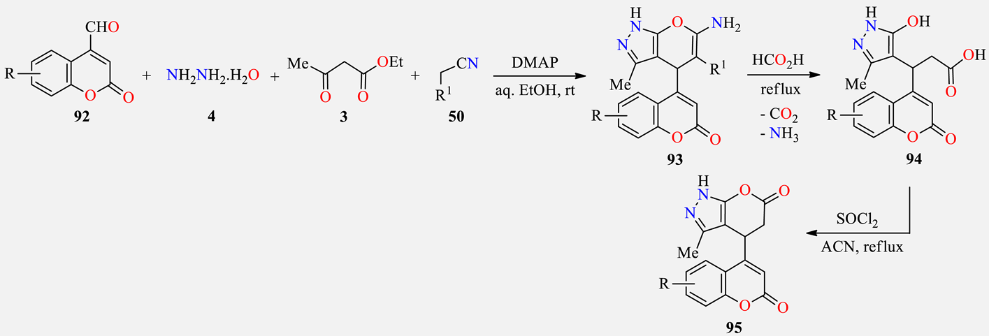
Coumarin analogs are a group of privileged bioactive oxygen heterocycles, found substantially in nature with a wide range of structural modifications [85,86]. Knowing the synthetic and biological value of coumarin, but also pyrazole and pyran scaffolds, an investigation directed toward hybridization of these three pharmacophoric motifs in a single molecule was performed. In this sense, the synthesis, characterization, and biological studies of a series of coumarin-based pyrano[2,3-c]pyrazoles 93, pyrazolylpropanoic acids 94, and dihydropyrano[2,3-c]pyrazol-6(1H)-ones 95 using conventional methods was established [87]. Products 93 were obtained through a base-catalyzed one-pot four-component approach when a mixture of hydrazine hydrate 4, ethyl acetoacetate 3, formylcoumarin 92, and type nitrile 50 in the presence of DMAP as a base was vigorously stirred at room temperature under an open atmosphere. The corresponding pyrano[2,3-c]pyrazole-5-carbonitriles 93 were obtained in a range of 86–94%. Subsequently, the treatment of compounds 93 with formic acid under reflux afforded the pyrazolylpropanoic acids 94 as pure white products in 77–89%. Finally, the intramolecular cyclization of propanoic acids 94 with thionyl chloride in ACN at reflux generated the tail-tail pyranone (pyranone-4-pyranone or C4-C4 pyranone) derivatives 95 in 81–85%, as shown in Table 26. The structures of the synthesized compounds were deduced by spectroscopic techniques and particularly confirmed by X-ray crystallography for compound 93b.
The synthesized compounds 93, 94, and 95 were also screened for their antibacterial activity using ciprofloxacin as a standard drug. The susceptibility of the test organisms to synthetic compounds was assessed using a broth dilution assay as the minimum inhibitory concentration (MIC) and four microorganisms for the study: Two Gram-positive (Staphylococcus aureus and Staphylococcus faecalis) and two Gram-negative (Escherichia coli and Pseudomonas aeruginosa) strains. The study revealed that almost all tested compounds showed excellent antibacterial activity against Gram-positive (Staphylococcus aureus and Staphylococcus faecalis) bacterial strains. However, in the case of Gram-negative (Escherichia coli and Pseudomonas aeruginosa) bacterial strains, only some of the synthesized compounds showed selective antibacterial activity, as shown in Table 26. Among all these synthesized scaffolds, compounds 93g and 94b were highly active and more potent than the remaining derivatives in both biological, as well as molecular docking simulation, studies performed with Staphylococcus aureus dihydropteroate synthetase (DHPS).

2.2. Anticancer Activity

Analysis of the database of U.S. FDA-approved drugs reveals that approximately 60% of unique small-molecule drugs contain an aza-heterocycle [88]. Particularly, aza-heterocycles play an important role in the development of clinically viable anticancer drugs [89,90]. As a result, innumerable synthetic approaches for preparing diversely functionalized aza-heterocycles with anticancer properties have been successfully described during the last decade [91,92,93,94,95]. In this way, the coumarin-containing thiazolyl-3-aryl-pyrazole-4-carbaldehydes 25a–o, obtained via the three-component synthetic approach discussed previously in Section 2.1. Antibacterial activity (Table 5) [32], were also evaluated for their in vitro cytotoxic activity against three human cancer cell lines (DU-145, MCF-7, and HeLa) at three different concentrations (2.5, 5.0, and 100 μM) by adopting the MTT assay method in the presence of Doxorubicin as a standard reference drug. As shown in Table 27, the synthesized compounds showed moderate to good anticancer activity with IC50 values ranging from 5.75 μM to 100 μM. In most cases, the compounds exhibited greater cytotoxic activity on the HeLa cell line. In particular, the compounds 25m and 25n showed excellent cytotoxic activity against the HeLa cell line with IC50 values of 5.75 μM and 6.25 μM, respectively, when compared to Doxorubicin (3.92 μM). Afterward, molecular docking studies were performed to validate in vitro results and elucidate the importance of different types of interactions to inhibit the function of the probable target human microsomal cytochrome P450 2A6 (1z11.pdb) enzyme. Overall, the compounds 25m and 25n showed the lowest binding energy with −11.72 kcal/mol and −11.95 kcal/mol, respectively. Among the most key interacting residues, Ile366 and Cys439 actively participate in the formation of hydrogen bonding with the compounds 25m and 25n.
In addition, Sharma et al. developed a time-efficient and simple synthesis of pyranopyrazole derivatives 96 in 77–94% yields through a four-component reaction of (hetero)aromatic aldehydes 1, malononitrile 2, hydrazine hydrate 4, ethyl acetoacetate 3, and triethylamine in EtOH at an ambient temperature for 1–2 h (Table 28) [96]. Alternatively, the same reaction was conducted under microwave irradiation at 60 °C for 3–5 min to afford the expected products in 70–87% yields. Later, the pyranopyrazole derivatives 96 were evaluated for their in vitro anticancer activity against the Hep3B Hepatocellular carcinoma cell line. As shown in Table 28, the synthesized compounds showed anticancer activity with IC50 values ranging from 10 μg/mL to 128 μg/mL. Overall, the presence of certain heteroatom substituents at the 3-position of the pharmacophore may be crucial to enhancing the anticancer activity.
The 1H-1,2,3-triazole tethered pyrazolo[3,4-b]pyridin-6(7H)-ones 84a–l, obtained via the multicomponent synthetic approach discussed previously in Section 2.1. Antibacterial activity, was also subjected to apoptosis studies on ovarian follicles of goats (Capra hircus) (Table 20) [75]. In summary, all compounds 84a–l caused cellular degeneration and induced apoptosis within the granulosa cells at a 10 μM dose concentration and 6 h exposure duration with tje percentage of apoptosis ranging from 22.15% to 41.35% in comparison with the control (9.21%) (Table 20). In particular, the compounds 84b (R = H, Ar = 3-Cl-4-FC6H3), 84e (R = H, Ar = 4-MeC6H4), and 84l (R = MeO, Ar = 3-ClC6H4) displayed the maximum incidence of apoptotic attributes within granulosa cells (37.50%, 36.08%, and 41.35%, respectively). To assess the DNA fragmentation within granulosa cells, an important hallmark of apoptosis, a TUNEL assay was performed using the DAB stain. Overall, the maximum incidence of DNA fragmentation was observed after treatment with compounds 84b, 84e, and 84l.
In 2017, Salama and collaborators designed the synthesis of bis-1,4-dihydropyrano[2,3-c]pyrazole-5-carbonitrile derivatives 97 in high yields by a pseudo-five-component reaction of bis-aldehydes 1*, malononitrile 2, and pyrazolone 19 catalyzed by piperidine in refluxing ethanol for 3 h (Table 29) [97]. All synthesized compounds 97a–f were evaluated for their in vitro anticancer activity against Lung A549, Breast MCF-7, and Liver HepG2 cell lines with IC50 values ranging from 0.014 mM to 3.34 mM. Overall, the compound 97e gave the highest cytotoxic values against the three selected lines of A549, MCF-7, and HEPG2 with IC50 values of 0.37, 0.31, and 0.014 mM, respectively. Later, a molecular docking simulation was performed to investigate the interactions of the compound 97e with vascular endothelial growth factor receptor 2 (VEGFRTK) (PDB code: 3wze). It forms two hydrogen bonds with Arg1066 through an amino group and His816 through a cyano group. Furthermore, the compound 97e forms three π–cation interactions between Arg1027 and the pyrazole ring, as well as His816 and Arg1027 with the 4-aryl group. Additionally, the compound 97e showed a higher potent binding mode than the standard inhibitor Sorafenib.
Some groups are interested in the use of α,β-unsaturated ketones to access functionalized pyrazoline derivatives. For instance, Yakaiah and colleagues described the synthesis of pyrazolo-oxothiazolidine derivatives 99 with 80–93% yields through a three-component reaction of benzofuran-based chalcones 98, thiosemicarbazide 23, and dialkyl acetylenedicarboxylates 89 catalyzed by NaOH (20 mol%) in ethanol at 80 °C (Scheme 5) [98]. The synthesized compounds were evaluated for their antiproliferative activity against the A549 Lung cancer cell line with IC50 values ranging from 0.81 μg/mL to > 5 μg/mL. Especially, the compound 99f (R = 4-F, R1 = Me, IC50 = 0.81 μg/mL) showed higher activity than the standard drug sorafenib (IC50 = 3.78 μg/mL). Molecular docking studies indicated that compound 99f had the greatest affinity for the catalytic site of the receptor VEGFR2 (PDB ID code: 4AGD and 4ASD). The binding mode of compound 99f with the active site of VEGFR2 (PDB ID code: 4AGD) showed one hydrogen bond between the oxothiazolidine-containing carbonyl group and CYS919. In the case of VEGFR2 (PDB ID code: 4ASD), the oxygen atom of the benzofuran ring and carbonyl group formed two hydrogen bonds with residues ASP1046 and ARG1027, respectively.
The multicomponent synthesis of highly functionalized N-heterocycles as apoptosis inducers has been successfully implemented. For instance, a mixture of 3-aryl-1-phenyl-1H-pyrazole-4-carbaldehydes 31, thiosemicarbazide 23, and α-bromoacetophenones 36 in refluxing ethanol for 5 min afforded a series of (E)-2-(2-((3-aryl-1-phenyl-1H-pyrazol-4-yl)methylene)hydrazinyl)-4-arylthiazoles 100 (Scheme 6) [99]. The solids were filtered and recrystallized from ethanol to afford pyrazole derivatives with high yields and short reaction times. The percentage of apoptosis was investigated in granulosa cells of ovarian antral follicles after treatment with compounds at a 10 μM concentration for a 6 h exposure duration. The compounds 100b (R = Br, R1 = Cl) and 100e (R = MeO, R1 = Cl) showed the maximum potency to induce apoptosis with percentages of apoptosis of 23.45% and 25.61%, respectively, in comparison with the control (5.14%). Moreover, the microphotograph of granulosa cells with a TUNEL assay revealed that all compounds induced DNA fragmentation. As expected, the compounds 100b and 100e induced the maximum DNA damage, indicating apoptotic cells with fragmented DNA.
Remarkably, the Groebke–Blackburn–Bienaymé reaction has been used to efficiently prepare diverse azole-fused imidazoles of biological interest. For instance, a series of imidazo[1,2-b]pyrazoles 101 were prepared in moderate to high yields through a GBB-type three-component reaction of 3-amino-1H-pyrazole-4-carboxamides 83, aldehydes 1, and isocyanides 38 catalyzed by HClO4 (20 mol%) in acetonitrile at an ambient temperature for 6 h (Scheme 7) [100]. Since an oxidative minor side reaction yielding dehydrogenated 3-imino derivatives of the target products was observed, an argon atmosphere was employed. The antitumor activity of all imidazo[1,2-b]pyrazole-7-carboxamides 101 was evaluated against two human (Acute promyelocytic leukemia HL-60 and Breast adenocarcinoma MCF-7) and one murine (Mammary carcinoma 4T1) cancer cell lines using doxorubicin as a positive control. Among 27 primary carboxamides, the compound 101a (R = R1 = R2 = H, R3 = t-Bu, R4 = 2,4,4-trimethylpentan-2-yl) showed the most significant cytotoxic activity against HL-60, MCF-7, and 4T1 cell lines with IC50 values of 1.24, 1.49, and 1.88 μM, respectively. From 38 secondary and tertiary carboxamides, the compound 101b (R = H, R1 = 4-FC6H4, R2 = H, R3 = t-Bu, R4 = 2,4,4-trimethylpentan-2-yl) displayed the highest potency against HL-60, MCF-7, and 4T1 cell lines with IC50 values ranging from 0.183 μM to 7.43 μM. Finally, the annexin V PI assay revealed that the most potent derivatives 101a and 101b induced apoptosis in HL-60 cells.
In 2019, Ansari and colleagues developed a Pd-catalyzed one-pot four-component protocol for the synthesis of highly functionalized pyrazolo[1,5-c]quinazolines 104/105 (Table 30) [101]. Initially, a mixture of type 2-azidobenzaldehyde 1, isocyanide 38, and tosyl hydrazide 103 in the presence of palladium acetate (7.5 mol%) as a catalyst in toluene was stirred at an ambient temperature for 15 min to generate azomethine imine in situ, then the acetonitrile derivative 50 and DABCO were added, and the reaction was stirred at 100 °C for 2 h to afford pyrazolo[1,5-c]quinazolines 104. For aroylacetonitrile 102, a similar methodology was developed for the synthesis of target compounds 105 with the addition of iodine (10 mol%) as a catalyst. The presence of electron-withdrawing groups on the α-position of acetonitrile such as CN, COOR2, and COR2 was essential for their participation in the reaction. For instance, compound 104d was not formed due to the absence of such groups. The reaction proceeds with good functional group tolerance, excellent regioselectivity, a high atom economy, and low catalyst loading under simple reaction conditions. Target compounds 104 and 105 were screened for their antiproliferative potential against MDA-MB-231, A549, and H1299 cell lines using erlotinib and gefitinib as standard drugs. Notably, compound 105b showed the most significant cytotoxic activity against MDA-MB-231, A549, and H1299 cell lines with IC50 values of 1.93, 1.06, and 1.32 μM, respectively, when compared to erlotinib and gefitinib. Next, the inhibition of 105b in comparison to erlotinib toward the ATP-dependent phosphorylation of EGFR was investigated at concentrations of 100, 250, and 500 nM. The results suggested that compound 105b possesses the most potent EGFR inhibition with an IC50 value of 157.63 nM, in comparison to erlotinib (IC50 = 201.34 nM). Additionally, compound 105b elevated ROS levels and altered the mitochondrial potential, resulting in apoptosis via the G1 phase.
Furthermore, the molecular docking studies of the most potent EGFR inhibitor 105b within the active site of the EGFR protein (PDB ID: 1M17) showed that the compound perfectly fits into the ATP domain of EGFR and has a much better docking score (−9.10 kcal/mol) than erlotinib (−7.20 kcal/mol); thus, revealing that smaller and polar substitutions on the pyrazole ring are essential for binding with EGFR.
Recently, the piperidine-catalyzed four-component reaction of 1-(naphthalen-1-yl)ethanone 24, 3-(4-fluorophenyl)-1-phenyl-1H-pyrazole-4-carbaldehyde 31, ethyl 2-cyanoacetate 106, and ammonium acetate in refluxing ethanol for 3 h was reported for the regioselective synthesis of 4-(3-(4-fluorophenyl)-1-phenyl-1H-pyrazol-4-yl)-2-hydroxy-6-(naphthalen-1-yl)nicotinonitrile 107 in 75% yields (Scheme 8) [102]. Although the scope of the reaction was not further studied, compound 107 was employed in the construction of an important library of diversely functionalized N-heterocycles containing pyridine and pyrazole moieties without using a multicomponent approach. Next, the anticancer activity of compound 107 was screened against HepG2 and HeLa cell lines using a standard MTT assay in the presence of doxorubicin as a standard drug. Thus, compound 107 showed a low cytotoxic effect with IC50 values of 20.00 μM and 35.58 μM for HepG2 and HeLa cell lines, respectively, when compared to doxorubicin (IC50 = 4.50 μM and 5.57 μM, respectively).
Importantly, a green and efficient synthesis of 4,5-dihydropyrano[2,3-c]pyrazol-6(2H)-one derivatives 108 is described by the four-component reaction of aromatic aldehydes 1, Meldrum’s acid 81, methyl acetoacetate 3, and hydrazine hydrate 4 catalyzed by potassium carbonate (10 mol%) in water–ethanol (5.0 mL, 1:1) at reflux for 2–4 h (Table 31) [103]. This protocol provides several advantages such as environmental friendliness, short reaction times, good yields (59–85%), and a simple workup procedure. The cytotoxic activity of synthesized compounds 108a–l was evaluated by MTT assay on A2780, MCF-7, and PC-3 cell lines using doxorubicin as a standard drug. The compounds 108g in the A2780 cell line (IC50 = 104 μM), 108g and 108i in the MCF-7 cell line (IC50 = 87 and 23 μM, respectively), and 108g–i in the PC-3 cell line (IC50 = 60, 50, and 31 μM, respectively) showed the best results close to the control drug doxorubicin (Table 31). Therefore, the compounds 108g and 108h were adopted for the identification of mechanisms of action on A2780 and MCF-7 cell lines. In summary, the compound 108h increased caspase-3 and caspase-9 activation in the A2780 cell line, while the compound 108g significantly increased caspase-9 activation in the MCF-7 cell line.
Additional to the antibacterial activity previously discussed in Table 10 (Section 2.1. Antibacterial activity) for the spiroindenopyridazine-4H-pyrans 45 obtained via a four-component synthesis [43], their cytotoxic activity on non-small cell lung cancer (A549), Breast cancer (MCF-7), Human malignant melanoma (A375), Prostate cancer (PC-3 and LNCaP), and normal cells HDF (human dermal fibroblast) were also investigated using the MTT colorimetric assay in the presence of etoposide as a positive control. As shown in Table 32, the compounds have no inhibition effect on two cancer cell lines (MCF-7 and PC-3) and Normal cells HDF. Moreover, the compound 45a displayed the highest cytotoxicity against A549, A375, and LNCaP cell lines with IC50 values of 40, 70.7, and 32.1 μM, respectively, when compared to etoposide (IC50 = 60, 25.3, and 90 μM, respectively). Interestingly, inverted fluorescent microscopy images showed that compound 45a induced cell death in A549 cells. Treatment with 45a leads to both the up-regulated expression of Bax and the down-regulated expression of Bcl-2 in A549 cells, confirming mitochondria-mediated apoptosis.
In 2020, Alharthy reported the synthesis of pyrazolo[3,4-d]pyrimidin-4-ol derivatives 109 via a three-component reaction of 1-aryl-3-methyl-1H-pyrazol-5-ones 19, urea, and (hetero)aromatic aldehydes 1 in refluxing EtOH for 18 h (Scheme 9) [104]. The reaction mixture was filtered, dried, and recrystallized from ethanol to afford compounds in 65–90% yields. The cytotoxic activity of all synthesized compounds was evaluated against MCF-7 (Breast cancer) and A549 (Lung cancer) cell lines using doxorubicin as a standard drug. Overall, the compound 109a (R = H, R1 = 4-ClC6H4) displayed better inhibitory activity against MCF-7 and A549 cell lines with IC50 values of 74 μM and 11.5 μM, respectively, when compared to doxorubicin (IC50 = 35.2 μM and 9.80 μM, respectively).
Considerable interest in pyrazole-containing copper(I) complexes have been stimulated by promising pharmacological applications, fluorescence sensing, and catalytic properties [105,106]. For instance, the copper(I) complexes 111 with pyrazole-linked triphenylphosphine moieties have been described as photostable and cost-effective fluorescent probes for simultaneously tracking mitochondria and nucleolus via live cell imaging techniques, in a single run and within a timeframe of just 30 min [107]. Both metallo-complexes 111 were synthesized via a three-component reaction of bis-pyrazole derivatives 110, copper(I) chloride, and triphenylphosphine in HPLC-grade acetonitrile at room temperature (Scheme 10). These metallo-complexes were found to be the least cytotoxic to HeLa cells, and even at a 20 μM treatment concentration, approximately 90% of cell viability was observed in both cases. Moreover, both complexes were found to be photostable when torched with 10% of a 100 mW laser for up to 10 min.
The pyrazolyl-dibenzo[b,e][1,4]diazepinones (64–70)a and (71–77)b were obtained via a multicomponent synthetic approach and previously discussed in Section 2.1. Antibacterial activity (Table 18) [70]. These compounds were also screened for their antiproliferative potential against six human cancer cell lines using a sulforhodamine B (SRB) assay in the presence of cisplatin, etoposide, and camptothecin as standard drugs. In particular, the compounds 73b (R = H, R1 = 4-ClC6H4O) and 75b (R = H, R1 = 4-ClC6H4S) showed better antiproliferative activity against A549 (Lung cancer), HBL-100 (Breast cancer), HeLa (Cervix cancer), SW1573 (Lung cancer), T-47D (Breast cancer), and WiDr (Colon cancer) cell lines with GI50 values ranging from 2.6–5.1 μM and 1.8–7.5 μM, respectively, when compared to cis-platin (GI50 = 1.9–26 μM), etoposide (GI50 = 1.4–23 μM), and camptothecin (GI50 = 0.23–2.0 μM). Docking studies were performed for compounds 73b and 75b along with etoposide in the active site of human topoisomerase II alpha (PDB ID: 5GWK) [70]. The oxygen atom of the carbonyl group of guanine, a part of DNA, forms a hydrogen bond with the NH group of the diazepine ring of the compound 73b. However, compound 75b did not form any hydrogen bond with the DNA. Etoposide showed a docking score of −3.59, which is better than compounds 73b (−1.37) and 75b (−0.95). In addition, etoposide displayed lower binding energy (−70.81 kcal/mol) than compounds 73b and 75b (−31.78 kcal/mol and −25.97 kcal/mol, respectively).
In 2021, Rashdan et al., described the synthesis of 1,2,3-triazolyl-pyridine hybrids 113 through a four-component reaction of 1,2,3-triazole derivatives 112, active methylene compounds 50, (hetero)aromatic aldehydes 1, and ammonium acetate in refluxing acetic acid for 6–8 h (Scheme 11) [108]. After the completion of the reaction, the mixture was cooled and the precipitated products were filtered, washed with water, dried, and recrystallized from ethanol to give 1,2,3-triazolyl-pyridine hybrids 113 in 62–87% yields. The cytotoxic activities of all synthesized compounds were screened against HepG2 Hepatocellular carcinoma and BALB/3T3 (Murine fibroblast) cell lines using an MTT assay and the standard drug doxorubicin. Overall, the compounds 113d (R = CN, R1 = 3-(1-(4-bromophenyl)-5-methyl-1H-1,2,3-triazol-4-yl)-1-phenyl-1H-pyrazole-4-yl) and 113e (R = CN, R1 = 3-(1-(3-nitrophenyl)-5-methyl-1H-1,2,3-triazol-4-yl)-1-phenyl-1H-pyrazole-4-yl) showed an excellent anticancer activity against HepG2 cell line with IC50 values of 0.64 μg/mL and 1.08 μg/mL, respectively, in comparison to the reference drug (IC50 = 3.56 μg/mL). Meanwhile, they did not show toxicity on the Normal cell lines (BALAB/3T3).
Very recently, novel 3H-pyrazolo[4,3-f]quinolines 116/117 were rapidly assembled through a one-pot Doebner/Povarov-type MCR utilizing arylamines 114 and (hetero)aromatic aldehydes 1 to form Schiff bases, which subsequently reacted with the enol form of cyclic or acyclic ketones 44 in the presence of catalytic acid to give an intermediate 115 that is readily oxidized by air to form a quinoline core (Scheme 12) [109]. Authors explored how various modifications on compounds 116/117 affected the proliferation of K562 (Chronic myelogenous leukemia, CML) and MV4–11 (Acute myeloid leukemia, AML) cell lines in the presence of quizartinib (GI50 = > 20 μM and 0.002 μM, respectively) and dinaciclib (GI50 = 0.013 μM and 0.007 μM, respectively) as positive controls. Overall, the compounds 116/117 exhibited antiproliferative activity against K562 and MV4–11 cell lines with GI50 values ranging from 3.28 to > 100 μM and 0.007 to > 100 μM, respectively. The most potent inhibitors 116a, 116b, 116c, and 116d caused the accumulation of >80% of treated MV4–11 cells in the G1 phase. These compounds blocked the proliferation of K562 and MV4–11 cell lines with GI50 values ranging from 7.23 to 9.82 μM and 7 to 70 nM, respectively (Scheme 12). Finally, molecular docking was performed between compound 116a and active (activation loop-out, DFG-in, homology model) and inactive kinase conformation (DFG-out, PDB: 4XUF). The compound 116a adopted a binding mode corresponding to type I FLT3 kinase inhibitors. The 3H-pyrazole ring formed a hydrogen bond with Cys694 in the hinge region, while the 3-trifluoromethyl moiety formed C−F···H−N and C−F···C=O interactions with Arg834 and Asp698, respectively.
Recently, pyrazole and dihydrothiadiazine skeletons were obtained by a one-pot four-component reaction [110]. Initially, a mixture of acetylacetone 118, 4-amino-5-hydrazinyl-4H-1,2,4-triazole-3-thiol 119, and diverse aldehydes 1 catalyzed by one drop of concentrated HCl in refluxing ethanol for 5–7 h afforded pyrazole-based intermediates 120 (Scheme 13). Then, substituted phenacyl bromides 36 and an excess of triethylamine (one drop of HCl was neutralized by one mole of Et3N) were added, and the resulting mixture was continued under reflux for 6–8 h. Finally, the reaction mixture was cooled to room temperature, and the formed solid was filtered and recrystallized from ethanol to afford pyrazole-based dihydrothiadiazine derivatives 121 in 83–94% yields. From the mechanistic perspective, the hydrazino functional group of compound 119 underwent cyclocondensation with acetylacetone 118 to form a pyrazole ring. Then, an appropriate amount of different aldehydes 1 and substituted phenacyl bromides 36 reacted with amine (–NH2) and thiol (–SH) groups mediated by HCl and Et3N, respectively, leading to dihydrothiadiazine derivatives 121 (Scheme 13). The synthesized compounds 121a–t were screened for their antitumoral activity against LN-229 (Glioblastoma), Capan-1 (Pancreatic adenocarcinoma), HCT-116 (Colorectal carcinoma), NCI-H460 (Lung carcinoma), DND-41 (Acute lymphoblastic leukemia), HL-60 (Acute myeloid leukemia), K-562 (Chronic myeloid leukemia), and Z-138 (Non-Hodgkin lymphoma) cell lines using docetaxel (a microtubule depolymerization inhibitor) and staurosporine (a pan-kinase inhibitor) as positive controls. Overall, the compounds 121j (R = 3,4,5-(F)3C6H2, R1 = Me) and 121q (R = 2-Furanyl, R1 = MeO) displayed better activity against eight cancer cell lines with IC50 values in the range of 1.9–56.0 μM and 0.4–2.5 μM, respectively, in comparison to docetaxel (IC50 = 0.0009–0.0087 μM) and staurosporine (IC50 = 0.0004–0.0229 μM) as standard drugs. In addition, immune fluorescence analysis of tubulin in HEp-2 cells was performed with compounds 121j and 121q and compared to DMSO (vehicle control) and vincristine (positive control). Remarkably, these compounds inhibit the polymerization of tubulin in a dose-dependent manner.
Importantly, pyrazole-based 1,4-naphthoquinones 123 were rapidly assembled through a four-component reaction of ethylacetoacetate 3, 2-hydroxy-1,4-naphthaquionone 122, hydrazine derivatives 4/15, and diverse aromatic aldehydes 1 catalyzed by V2O5 (5 mol%) in refluxing ethanol for 1 h (Table 33) [111]. This protocol was distinguished by its short reaction times, high yields, the use of a green solvent, and broad substrate scope. Moreover, some compounds were screened for their anticancer activity against the HeLa (Cervical cancer) cell line using the MTT colorimetric assay and doxorubicin as a positive control. These compounds showed good to excellent anticancer activity with IC50 values in the range of 2.9–25.12 μM, in comparison to doxorubicin (IC50 = 5.1 μM). Notably, the compounds 123i, 123f, and 123b resulted in being more active than doxorubicin with IC50 values of 2.9, 4.36, and 4.81 μM, respectively.
Very recently, 1,4-dihydropyrano[2,3-c]pyrazole derivatives 124 were obtained in excellent yields through a piperidine-catalyzed four-component reaction of β-ketoesters 8, malononitrile 2, aryl/heteroaryl aldehydes 1, and hydrazine hydrate 4 in ethanol under microwave heating at 140 °C for 2 min (Scheme 14) [112]. After completion of the reaction, the product was filtered, washed with methanol, and recrystallized from ethanol. The pyrazole derivatives 124a–f were evaluated for their antitumor activity against four human cancer cell lines: PC-3 (Prostate cancer), SKOV-3 (Ovarian cancer), HeLa (Cervical cancer), and A549 (Non-small cell lung cancer), and two normal cell lines: Human fetal lung (HFL-1) and Human diploid fibroblasts (WI-38) using the MTT colorimetric assay in the presence of vinblastine and doxorubicin as standard drugs. These compounds displayed good cytotoxicity against PC-3, SKOV-3, HeLa, and A549 with IC50 values in the range of 2.0–5.5, 2.0–4.2, 1.1–3.9, and 1.1–20.9 μM, respectively, when compared to vinblastine and doxorubicin (IC50 = 2.7–3.1 and 1.4–2.2 μM, respectively). Overall, the compound 124c (R = Me, R1 = 4-(1H-pyrrol-1-yl)phenyl) displayed the highest cytotoxicity against PC-3 and HeLa cell lines with IC50 values of 2.0 and 1.1 μM, respectively. In addition, the compounds 124a (R = Me, R1 = 4-fluorophenyl) and 124e (R = Me, R1 = 4-(piperidin-1-yl)phenyl) showed better cytotoxicity against SKOV-3 and A549 cell lines with IC50 values of 2.0 and 1.1 μM, respectively. Molecular docking studies were performed for all synthesized compounds against His-tag human thymidylate synthase (HT-hTS) in a complex with 2′-deoxyuridine 5′-monophosphate (dUMP) (PDB: 6QXH) [112]. The compounds 124a (R = Me, R1 = 4-fluorophenyl), 124b (R = C6H5, R1 = 4-fluorophenyl), and 124f (R = C6H5, R1 = 4-(piperidin-1-yl)phenyl) stabilized in a TS binding pocket similar to dUMP through an arrangement of the pyranopyrazole cluster in perpendicular mode with Tyr270 via a hydrogen bond interaction, while the compounds 124c (R = Me, R1 = 4-(1H-pyrrol-1-yl)phenyl) and 124d (R = C6H5, R1 = 4-(1H-pyrrol-1-yl)phenyl) occupied the binding pocket by interaction with Asn238.
Interestingly, thiazolyl-based pyrazoles 126 were obtained in good yields through a three-component reaction of substituted phenacyl bromides 36, thiosemicarbazide 23, and 1-boc-3-cyano-4-piperidone 125 catalyzed by acetic acid (30 mol%) in refluxing ethanol for 5–7 h (Scheme 15) [113]. After the completion of the reaction, the mixture was cooled to room temperature, and the precipitate was filtered, washed, and recrystallized from ethanol. The anticancer activity of synthesized compounds was screened against three human cancer cell lines: HeLa (Cervical cancer), A549 (Lung cancer), and MDA-MB-231 (Breast cancer) using the MTT colorimetric assay in the presence of combretastatin A-4 as a positive control. The compounds 126a (R = 4-MeO) and 126b (R = 4-Me) showed good cytotoxicity against HeLa, A549, and MDA-MB-231 cell lines with IC50 values in the range of 3.60–4.17 μM and 4.61–5.29 μM, respectively. Besides, thiazolyl-based pyrazoles and combretastatin A-4 were docked into the colchicine binding site of β-tubulin (PDB: 4YJ2), finding that compounds 126a (−8.79 kcal/mol) and 126b (−8.77 kcal/mol) have better docking scores than combretastatin A-4 (−8.45 kcal/mol). The compound 126a interacted via two hydrogen bonds with Gln136 and Glh200.
A series of 6-amino-1,4-dihydropyrano[2,3-c]pyrazole-5-carbonitriles 127 were synthesized in high yields via a one-pot multicomponent approach [114]. Initially, a mixture of β-keto esters 8, aryl hydrazines 15, and zinc triflate (10 mol%) was irradiated under microwave at 80 °C for 10 min. Then, aromatic aldehydes 1 and malononitrile 2 were added to the above reaction mixture. The resulting mixture was further irradiated under microwave at 120 °C for 15 min to afford pyrazole derivatives 127a–f under solvent-free conditions. The anticancer activity of compounds was investigated against four human cancer cell lines: 786-0 (Renal cancer), A431 (Epidermal carcinoma), MCF-7 (Breast cancer), and U-251 (Human glioblastoma) employing doxorubicin as a positive control. As shown in Table 34, the compound 127h with –NO2 and –OMe groups displayed significant activity with an IC50 value of 9.9 μg/mL against the 786-0 cell line. Furthermore, the compounds 127b (IC50 = 22.78 μg/mL), 127i (IC50 = 21.98 μg/mL), and 127j (IC50 = 19.98 μg/mL) with –OH or –Br groups on phenyl ring showed moderate activity against the A431 cell line, when compared to doxorubicin (IC50 = 1.6 μg/mL). Moreover, the compounds 127h and 127j showed better activity against MCF-7 and U-251 cell lines with IC50 values of 31.87 and 25.78 μg/mL, respectively, in comparison to doxorubicin (IC50 = 2.1 and 1.9 μg/mL, respectively).
Ali and colleagues described a one-pot three-component reaction of 4-oxo-4H-chromene-3-carbaldehyde 1, malononitrile 2, and cyclic active methylene compounds such as pyrazolones 19a−d and diverse pyrimidinones 44a−d in water at 80 °C for 60−90 min to afford a series of new 4-(4-oxo-4H-chromen-3-yl)pyrano[2,3-c]pyrazoles 128a−d and 5-(4-oxo-4H-chromen-3-yl)pyrano[2,3-d]pyrimidines 129a−d in 91−93% and 89−91% yields, respectively (Scheme 16) [115].
The antiproliferative activity of synthesized compounds 128a−d and 129a−d was evaluated against three human cancer cell lines: PC-3 (Prostate cancer), SKOV3 (Ovarian cancer), and HeLa (Cervical cancer) using the sulforhodamine B (SRB) assay in the presence of doxorubicin as a standard drug [115]. The IC50 values obtained after 72 h of incubation are reported in Table 35. The compounds 128 showed antiproliferative activity against PC-3, SKOV3, and HeLa cell lines with IC50 values in the range of 9.7–190.3, 16.5–234.3, and 8.4–91.3 μg/mL, respectively, in comparison to doxorubicin (IC50 = 2.1, 2.3, and 1.9 μg/mL, respectively). In addition, compounds 129 showed antiproliferative activity against PC-3, SKOV3, and HeLa cell lines with IC50 values in the range of 8.9–73.4, 4.7–35.5, and 11.3–32.8 μg/mL, respectively. Particularly, compound 129a displayed the best cytotoxic effect against PC-3, SKOV3, and HeLa cell lines with IC50 values of 8.9, 4.7, and 11.3 μg/mL, respectively (Table 35). Furthermore, compound 128c showed a promising cytotoxic effect in Cervical cancer (HeLa) with an IC50 value of 8.4 μg/mL, and a moderate cytotoxicity against Prostate cancer (PC-3) and Ovarian cancer (SKOV3) with IC50 values of 13.2 and 16.5 μg/mL, respectively. In general, the 5-(4-oxo-4H-chromen-3-yl)pyrano[2,3-d]pyrimidines 129 resulted in being more active than 4-(4-oxo-4H-chromen-3-yl)pyrano[2,3-c]pyrazoles 128. It should be noted that the 3-methyl-1-phenylpyrazole fragment in 128c improved the cytotoxicity in comparison to other pyrazole derivatives. Likewise, the barbituric acid fused to the pyran core in 129a showed higher activity than thiobarbituric acid moiety in 129b, while the 6-phenylthiouracil moiety in 129d displayed a better antiproliferative effect than the 6-methylthiouracil moiety in 129c.

2.3. Antifungal Activity

Currently, the incidence and severity of fungal diseases have increased in patients with increased vulnerability such as neonates, burns patients, cancer patients receiving chemotherapy, patients with acquired immunodeficiency syndrome, and organ transplant patients [116]. Moreover, the use of standard antifungal therapies has been limited due to problems of toxicity, low efficacy rates, and resistance to antifungal drugs [117]. These reasons have given rise to the design and production of new chemical libraries of aza-heterocycles with distinct action or multitargeted combination therapy [116,117,118,119]. In this way, several pyrazole-containing pyrimidines 52, 1,4-dihydropyridines 53, and imidazoles 54 were prepared via multicomponent synthetic approaches and discussed in Section 2.1. Antibacterial activity (Table 14) [58]. Moreover, all of these compounds were screened for their antifungal activity against Aspergillus niger and Aspergillus flavus using itraconazole as a positive control. In most cases, the pyrimidines 52 showed appreciable antifungal activity against Aspergillus niger and Aspergillus flavus with MIC values of 6.25–25 μg/mL and 12.5–25 μg/mL, respectively. In particular, the compound 52f (R = F, R1 = MeO) showed excellent antifungal activity against Aspergillus niger and Aspergillus flavus with MIC values of 6.25 μg/mL and 12.5 μg/mL, respectively, in comparison to itraconazole (MIC = 6.25 μg/mL for both strains). Moreover, the 1,4-dihydropyridines 53 showed some degree of inhibition for both fungal strains with MIC values ranging from 12.5 to > 100 μg/mL. However, imidazoles 54 showed that imidazole and pyrazole rings did not contribute to antifungal efficacy.
The Mannich reaction has provided elegant and efficient solutions for the carbon–carbon and carbon–nitrogen bond formation via an iminium intermediate [120,121]. According to thione-thiol tautomerism, Wang et al. reported that the thione form undergoes a Mannich reaction via the N-H at the α-position of the thiocarbonyl group [121]. As a result, the Mannich reaction of 1,2,4-triazole-3-thiol forms 130, formaldehyde solution (37 wt. % in H2O), and 4-(substituted benzyl)piperazines 131 in ethanol at room temperature for 2–3 h afforded 1,2,4-triazole-5(4H)-thiones 132 in acceptable yields (Scheme 17). The reaction was successfully extended to 4-(substituted pyrimidyl/phenyl/pyridyl)piperazines 133 under the same reaction conditions to give 1,2,4-triazole-5(4H)-thiones 134 in good yields. The crude reaction was placed in a refrigerator overnight, and the resulting precipitate was filtered and recrystallized from ethanol to give products. Later, the 1,2,4-triazole-5(4H)-thiones 132 and 134 were screened for their in vitro fungicidal activity against six plant fungal pathogens, including Alternaria solani Sorauer, Gibberella sanbinetti, Fusarium omysporum, Cercospora arachidicola, Physalospora piricola, and Rhizoctonia cerealis using triadimefon, carbendazim, and chlorothalonil as positive controls. It was found that at a 50 μg/mL concentration, most of the compounds 132 and 134 exhibited significant fungicidal activities against Alternaria solani Sorauer, Physalospora piricola, and Rhizoctonia cerealis with the inhibition of 26.7–47.6%, 12.5–75.0%, and 35.7–98.0%, respectively, when compared to triadimefon (31.3%, 71.4%, and 98.0%, respectively). Several compounds displayed favorable activities against other plant fungal pathogens, such as compound 134g (R = CF3, R1 = Me, R3 = Me, R4 = H, X = Y = N) with 62.5% inhibition against Gibberella sanbinetti, and compounds 132g (R = R1 = CF3, R2 = Cl) and 134p (R = R1 = CF3, R3 = R4 = Me, X = Y = N) with 75.0% inhibition against Cercospora arachidicola, which were more effective than triadimefon (52.9% and 66.7%, respectively).
On the other hand, a series of 1H-1,2,3-triazole tethered pyrazolo[3,4-b]pyridin-6(7H)-ones 84a–l was obtained via the multicomponent synthetic approach discussed in Section 2.1. Antibacterial activity (Table 20) [75]. The antifungal activity of these compounds was evaluated against Candida albicans and Saccharomyces cerevisiae. The diameter of growth of the inhibition zone (mm) and MIC value (μg/mL) of all compounds was determined using amphotericin-B as a standard drug. Overall, the pyrazolo[3,4-b]pyridin-6(7H)-ones 84a–l showed a diameter of growth of the inhibition zone in the range of 12.3–16.3 mm and 14.3–16.6 mm for Candida albicans and Saccharomyces cerevisiae, respectively, when compared to amphotericin-B (17.6 mm and 18.3 mm, respectively). Moreover, the compounds 84a–l showed MIC values in the range of 64–256 μg/mL for both Candida albicans and Saccharomyces cerevisiae, when compared to amphotericin-B (100 μg/mL for both cases). Interestingly, the compound 84k (R = MeO, Ar = 4-MeC6H4) showed the highest activity against Candida albicans with a diameter of growth of the inhibition zone of 16.3 mm and a MIC value of 64 μg/mL. Furthermore, compound 84k displayed the highest activity against Saccharomyces cerevisiae with a diameter of growth of the inhibition zone of 16.6 mm and a MIC value of 64 μg/mL.
In the same way, the series of pyrazole-thiobarbituric acid derivatives 61, obtained via a four-component synthetic approach and discussed in Section 2.1. Antibacterial activity (Table 17) [65], was also evaluated for their antifungal activity against Candida albicans by the diffusion method and serial dilution method using fluconazole as a standard drug (Table 36). Overall, compounds 61 showed MIC values in the range of 4–64 μg/L against Candida albicans. In particular, the compounds 61h and 61l exerted significant activity against Candida albicans with a MIC value of 4 μg/L, in comparison to fluconazole (MIC = 0.5 μg/L). Later, docking molecular was performed for all compounds and fluconazole against Lanosterol 14 α-demethylase (CYP51A1) (PDB ID code: 4WMZ). The fluconazole (consensus score of 57) forms two hydrogen bonds with Thr318 via the nitrogen atom of the triazole moiety and Leu312 via the oxygen atom of the hydroxyl group. The compound 61h (consensus score of 55) forms one hydrogen bond between Thr318 and the sulfur atom of the thiocarbonyl group (Figure 8A), while the compound 61l (consensus score of 48) interacts with Thr318 via hydrophobic–hydrophobic interactions (Figure 8B).
The pyrazole-dimedone derivatives 21a–o, obtained via a three-component synthetic approach and discussed in Section 2.1. Antibacterial activity (Table 4) [31], were also evaluated for their antifungal activity against Candida albicans with MIC values in the range of 4–32 μg/L and a diameter of growth of the inhibition zone in the range of 13–21 mm, when compared to fluconazole as a standard drug (0.5 μg/L and 28 mm, respectively) (Table 37). Remarkably, the pyrazole-dimedone 21o bearing thiophene was the most active against Candida albicans with a MIC value of 4 μg/L. The docking molecular of the compound 21o against N-myristoyl transferase (NMT) (PDB ID code: 1IYL) from Candida albicans displayed a docking score of −8.7 kcal/mol and molecular interactions with the NMT enzyme. As shown in Figure 9, the hydroxyl group of the dimedone ring formed one hydrogen bond with Tyr107 at a distance of 2.48 Å. Apart from this, multiple hydrophobic and π–π electrostatic interactions were observed with crucial residues such as Tyr107, Phe117, Tyr119, Tyr225, and Tyr335.
Similarly, the polyhydroquinoline derivatives 51a–p, obtained via a three-component process and discussed in Section 2.1. Antibacterial activity (Table 13) [54], wee also screened for their antifungal activity against Candida albicans and Aspergillus fumigatus using griseofulvin as a positive control (Table 38). The compounds 51j, 51k, and 51n were found to be more active than griseofulvin (MIC = 500 μg/mL) against Candida albicans. Moreover, the compounds 51i and 51l showed the same antifungal activity as griseofulvin (MIC = 100 μg/mL) against Aspergillus fumigatus.
The pyrano[2,3-c]pyrazole derivatives 12, obtained via a four-component process and discussed in Section 2.1. Antibacterial activity (Table 2) [28], were also screened for their antifungal activity against Aspergillus flavus and Aspergillus niger using ketoconazole as a standard drug (Table 39). It was found that at a 50 μg/well concentration, the compounds showed a diameter of growth of the inhibition zone in the range of 2–23 mm and 8–30 mm against Aspergillus flavus and Aspergillus niger, respectively, in comparison to ketoconazole (28 mm and 33 mm, respectively). In particular, compound 12f showed better antifungal efficacy against Aspergillus flavus and Aspergillus niger with a diameter of growth of the inhibition zone of 23 mm and 30 mm, respectively, at a 50 μg/well concentration.
The pyrazolyl-dibenzo[b,e][1,4]diazepinones (64–70)a and (71–77)b, obtained via a multicomponent process and discussed in Section 2.1. Antibacterial (Table 18) [70], were also evaluated for their antifungal activity. The MIC values for such compounds against Aspergillus fumigates and Candida albicans were determined using griseofulvin as a standard drug. The compounds showed MIC values ranging from 250 to > 500 μg/mL and 250 to 1000 μg/mL against Aspergillus fumigates and Candida albicans, respectively, when compared to griseofulvin (MIC = 100 μg/mL and 500 μg/mL, respectively). Although compounds are very poor in their antifungal potency against Aspergillus fumigates, the resistance in many cases against Candida albicans is not disappointing. For instance, the compounds 65a (R = H, R1 = 4-MeC6H4O), 75b (R = H, R1 = 4-ClC6H4S), 66a (R = H, R1 = 4-ClC6H4O), 66′a (R = COC6H5, R1 = 4-ClC6H4O), and 74b (R = H, R1 = C6H5S) displayed better activity against Candida albicans with MIC values of 250 μg/mL, in comparison to griseofulvin (MIC = 500 μg/mL).
Recently, Makhanya et al. reported the InCl3-catalyzed synthesis of fused indolo-pyrazoles (FIPs) 136 up to 96% yield. In this approach, FIPs 136 were successfully obtained through a three-component reaction between aromatic aldehydes 1, thiosemicarbazide derivatives 23, and indole 135 in the presence of a catalytic amount of InCl3 in acetonitrile under reflux conditions (Scheme 18a) [122]. This approach shows a broad substrate scope and excellent functional group tolerance with diverse electron-rich and electron-deficient aromatic substrates. A plausible mechanism proposed by the authors is shown in Scheme 18b. The mechanism is triggered by the InCl3-catalyzed condensation reaction between aromatic aldehyde 1 and thiosemicarbazide derivative 23 to afford intermediate 137. Thereafter, the [3+2] annulation reaction between indole 135 and Schiff base 137 and subsequent aromatization of the intermediate 138 enables the construction of a fused indolo-pyrazole scaffold. The antifungal activity was evaluated based on the diameter of the zone of inhibition (mm) against Candida albicans, Candida utilis, Saccharomyces cerevisiae, Aspergillus flavus, and Aspergillus niger using Amphotericin B as a standard drug. Overall, the compounds 136a–z showed a diameter of growth of the inhibition zone ranging from 0 to 23 mm, in comparison to amphotericin-B (22 to 32 mm). Particularly, compound 136t (R = 4-Cl, R1 = Me) showed moderate potency against Candida albicans and Candida utilis with an inhibition diameter of 15 and 14 mm, respectively, while the compound 136x (R = 4-MeO, R1 = Me) showed good activity against Saccharomyces cerevisiae with an inhibition diameter of 20 mm, when compared to amphotericin-B (32, 30, and 29 mm, respectively).
Some spiropyrrolidine-oxindoles 29, obtained from a three-component process and discussed in Section 2.1. Antibacterial (Table 6) [33], were also screened for their antifungal activity against Candida albicans and Malassezia pachydermatis using ketoconazole as a positive control (Table 40). Overall, the compounds showed a diameter of growth of the inhibition zone in the range of 9–12 mm and 8–10 mm for Candida albicans and Malassezia pachydermatis, respectively, when compared to ketoconazole (28 mm and 26 mm, respectively). Moreover, the compounds showed MIC values in the range of 125–500 μg/mL for Candida albicans and Malassezia pachydermatis, when compared to ketoconazole (MIC = 25 μg/mL). Remarkably, compound 29j showed better activity against Candida albicans and Malassezia pachydermatis with a MIC value of 125 μg/mL. Unfortunately, the diameter of the growth of the inhibition zone for compound 29j was not reported.
All the pyrazole derivatives 9 and 10, synthesized from four-component processes, each one, and discussed in Section 2.1. Antibacterial (Table 1) [27], were also screened against Candida krusei, Aspergillus fumigatus, and Aspergillus niger using the Broth microdilution method in the presence of griseofulvin and nystatin as standard drugs (Table 41). Overall, the compounds showed a good antifungal activity with MIC values in the range of 3.75–12.5 μg/mL against three strains of fungi, in comparison to griseofulvin (MIC = 1.25–3.12 μg/mL) and nystatin (MIC = 1.00–1.25 μg/mL). Notably, compounds 9c and 10e displayed better antifungal activity against Candida krusei with a MIC value of 3.75 μg/mL. In addition, the compounds 9e and 10c showed a MIC value of 3.75 μg/mL against Aspergillus fumigatus and Aspergillus niger, respectively, which were almost equally active compared to griseofulvin (MIC = 1.25 μg/mL) and nystatin (MIC = 1.00 μg/mL) as standard drugs.
The synthesis of 4-[(3-aryl-1-phenyl-1H-pyrazol-4-yl)methylidene]-2,4-dihydro-3H-pyrazol-3-ones 34a–j was reported by Sivaganesh et al. [35] and previously discussed in Section 2.1. Antibacterial (Table 7). The obtained compounds were also screened against Aspergillus niger and Sclerotium rolfsii fungal strains at a 500 μg/mL concentration by the disc diffusion method using ketoconazole as a standard drug (Table 42). These compounds showed acceptable activity against Aspergillus niger and Sclerotium rolfsii with a zone of inhibition in the range of 6.8–9.8 mm and 8.5–13.2 mm, respectively, when compared to ketoconazole (18.3 mm and 22.1 mm, respectively). Interestingly, compounds 34a and 34j showed the best antifungal potency against Aspergillus niger and Sclerotium rolfsii with a zone of inhibition of 9.8 mm and 13.2 mm, respectively. In addition, the compounds 34h, 34c, and 34a displayed moderate activity against Sclerotium rolfsii with a zone of inhibition of 11.3, 12.0, and 12.8 mm, respectively.
In the same way, a series of 3-alkyl-1-(4-(aryl/heteroaryl)thiazol-2-yl)indeno[1,2-c]pyrazol-4(1H)-ones 37a–l was reported by Mor et al. [36], and previously discussed in Section 2.1. Antibacterial (Table 8). These compounds were also screened for their antifungal activity against Candida albicans and Aspergillus niger showing MIC values in the range of 0.0067–0.0635 μmol/mL and 0.0270–0.1258 μmol/mL, respectively, when compared to fluconazole (MIC = 0.0408 μmol/mL) as a positive control (Table 43). Interestingly, the indenopyrazole 37d displayed the highest potency against Candida albicans and Aspergillus niger with MIC values of 0.0067 and 0.0270 μmol/mL, respectively, in comparison to the standard drug fluconazole (MIC = 0.0408 μmol/mL).
Alternatively, a one-pot multicomponent protocol has been described for the synthesis of various benzylpyrazolyl-coumarins 139 in 16–65% yields through a reaction of 4-hydroxycoumarin 44, ethyl acetoacetate 3, diverse aldehydes 1, and hydrazine hydrate 4 catalyzed by sodium dodecyl benzene sulfonate (SDBS, 2 mol%) in an ethanol–water mixture at reflux for 2 h (Scheme 19) [123]. This new approach is distinguished by its short reaction time, recovery of the catalyst, and reuse without loss of activity. The synthesized compounds 139a–i were screened against Candida albicans by the disk diffusion technique using ketoconazole as a standard drug. The compounds 139a–i showed moderate antifungal activity with a diameter of the inhibition zone in the range of 7–11 mm at a 5 mg/mL concentration, in comparison to ketoconazole (22 mm). Moreover, the compounds 139a–i showed MIC values ranging from ≥125 to ≥500 μg/mL against Candida albicans, when compared to ketoconazole (6.25 μg/mL). Interestingly, the compound 139e (R1 = 2-OHC6H4) showed the highest antifungal activity with a MIC value of ≥125 μg/mL. Docking molecular was performed for compound 139e and ketoconazole against N-myristoyl transferase (NMT) (PDB ID code: 1IYL) from Candida albicans. The compound 139e showed better binding energy (−14.16 kcal/mol) than the standard drug ketoconazole (−12.91 kcal/mol). According to the docking calculations results, the phenyl ring of chromen-2-one and the 2-hydroxyphenyl moiety of compound 139e formed π–π interactions with Phe176 and Phe117. The hydroxyl group of chromen-2-one ring formed a hydrogen bond with Leu451. In addition, the oxygen atom and phenyl ring of the chromen-2-one moiety formed a hydrogen bond and π–anion interaction with Tyr107 and Leu451, respectively. Apart from this, multiple hydrophobic interactions were observed with crucial residues such as Val108 and Leu415.

2.4. Antioxidant Activity

Antioxidants are radical scavengers that help in delaying or preventing oxidation by trapping free radicals such as the superoxide radical (O2•–), hydroxyl radical (OH), and lipid peroxide radicals [124,125]. In consequence, they are essential to relieve the oxidative stress and production of reactive oxygen species (ROS), and subsequently decrease diverse degenerative diseases of aging [125,126]. Due to their protective roles in food and pharmaceutical products, the discovery of heterocyclic compounds with antioxidant properties continues to be of great interest to the scientific community. For instance, a series of dihydropyrano[2,3-c]pyrazole derivatives 90 was reported by Ambethkar et al. [82], and previously discussed in Section 2.1. Antibacterial (Table 24). These compounds were also screened for their antioxidant activity against 2,2-diphenyl-1-picrylhydrazyl (DPPH) radical scavenger at concentrations ranging from 25 to 100 µg/mL using ascorbic acid as a reference (Table 44). Notably, the compounds 90i and 90k at a 100 µg/mL concentration displayed significant scavenging capacity with 60.65% and 57.82% inhibition, respectively, when compared to the ascorbic acid (98.85%). These results revealed that the presence of a hydroxyl group at the para position could extend the π-conjugation for stabilizing the formed free radical.
A series of pyrazole-containing pyrimidines 52, 1,4-dihydropyridines 53, and imidazoles 54, obtained via a multicomponent approach and previously discussed in Section 2.1. Antibacterial activity (Table 14) [58], were also screened for their antioxidant activity. In summary, the pyrimidine derivatives 52c (R = Cl, R1 = Me) and 52f (R = F, R1 = Me) displayed better DPPH radical scavenging activity with 89.41% and 83.34%, respectively, as compared to glutathione (89.09%). By comparing the antioxidant results, a gradual decrease in the activity of the acetyl (–CO–Me) substituent was observed, followed by methoxy (–CO–OMe) and ethoxy (–CO–OEt) ester substituents. These results showed that modulation of the basic structure through ring substituents and/or additional functionalization decreases the antioxidant activity.
Additional to the antibacterial activity previously discussed in Table 2 (Section 2.1. Antibacterial activity) for the pyranopyrazole derivatives 12 obtained via a five-component synthesis [28], their DPPH and H2O2 radical scavenging activity were also investigated using ascorbic acid as a standard drug. In a DPPH assay, the compounds 12a (R = 4-MeOC6H4) and 12j (R = 2-MeOC6H4) showed higher IC50 values of 34.35 μg/mL and 35.93 μg/mL, respectively, when compared to the standard drug (39.51 μg/mL). In the H2O2 radical scavenging assay, compound 12a (38.71 μg/mL) displayed similar activity to standard ascorbic acid (39.47 μg/mL), whereas compound 12j (44.05 μg/mL) exhibited moderate activity. Importantly, the results of DPPH and H2O2 radical scavenging activity studies showed a linear correlation.
The pyrazolyl-dibenzo[b,e][1,4]diazepinones (64–70)a and (71–77)b were obtained via a multicomponent synthetic approach and previously discussed in Section 2.1. Antibacterial activity (Table 18) [70]. In addition, ferric reducing antioxidant power (FRAP) values were determined using Benzie and Strain’s modified FRAP method. Overall, the compounds 65a (R = R1 = H, R2 = 4-MeC6H4O), 77b (R = H, R1 = Me, R2 = PhCH2S), and 75b (R = H, R1 = Me, R2 = 4-ClC6H4S) registered better FRAP values with 459, 464, and 468 (mm/100 g), respectively, indicating that they are good in resistance to the reduction of the ferric tripyridyl triazine (Fe(III)-TPTZ) complex into a blue color ferrous tripyridyl triazine (Fe(II)-TPTZ) complex.
Recently, the Na2CaP2O7-catalyzed synthesis of pyrano[2,3-c]pyrazoles derivatives 140 has been successfully implemented through a four-component reaction of aromatic aldehydes 1, ethyl acetoacetate 3, malononitrile 2, and hydrazine hydrate 4 in refluxing water for 1 h (Scheme 20) [127]. In the DPPH assay, the compounds 140a (R = H) and 140b (R = Me) showed significant scavenging effects, while the compound 140c (R = NO2) displayed a very low effect. In addition, the pyrano[2,3-c]pyrazole derivatives 140 had cytoprotective properties against the harmful effects of stressors, such as H2O2 and SNP (sodium nitroprusside) by quenching free radicals, while improving the activities of antioxidant enzymes.
Very recently, the nano-ZnO-catalyzed reaction of 5-methyl-2-phenyl-2,4-dihydro-3H-pyrazol-3-one 19, thiophene-2-carbaldehyde 1*, and malononitrile 2 in refluxing ethanol for 2 h has been reported for the synthesis of the pyrano 2,3-c]pyrazole-5-carbonitrile 141 in 85% yield (Scheme 21) [128]. Although the scope of the reaction was not further studied, compound 141 was used in the construction of an important library of highly functionalized pyrano[2,3-c]pyrazole derivatives without using a multicomponent approach. The synthesized compound 141 was screened for its antioxidant activity. As a result, it exhibited a total antioxidant activity of 22.26 U/mL, which is similar to standard ascorbic acid (29.40 U/mL).
The eco-friendly three-component reaction of 3-aryl-1-phenyl-1H-pyrazole-4-carbaldehydes 31, dimedone 20, and malononitrile 2 catalyzed by L-proline (10 mol%) in refluxing aqueous ethanol for 30–60 min has been reported for the synthesis of tetrahydrobenzo[b]pyran derivatives 142 (Scheme 22) [129]. The solids were filtered and washed with a mixture of ethanol/water (1:1, v/v) to afford pyrazole derivatives 142 in 71–83% yields. All the synthesized compounds 142a–i were screened for their antioxidant activity against the 2,2-diphenyl-1-picrylhydrazyl (DPPH) radical scavenger at the concentration of 1.0 mM using ascorbic acid as a positive control. Notably, the compounds 142a (R1 = 4-NO2) and 142b (R1 = 4-Br) at a 1.0 mM concentration showed better scavenging capacity with 61.87% and 60.62% inhibition, respectively, when compared to the ascorbic acid (72.00%).

2.5. α- Glucosidase and α-Amylase Inhibitory Activity

Type 2 diabetes is the most common form of diabetes, which is a challenging metabolic disease characterized by insulin resistance, leading to hyperglycemia or abnormal blood glucose levels and damage to various physiological processes in the body [130]. The significant increase in the number of people affected by this disease and its worldwide spread makes blood glucose control very complex in patients affected by type 2 diabetes [131,132]. Other problems are the side effects of antidiabetic drugs currently used for its treatment [133,134]. One aspect to be taken into account in the development of new antidiabetic drugs is the relationship between diabetes mellitus and the inhibition of hydrolase enzymes such as α-glucosidases and α-amylases, showing that the incorporation of azole-type heterocycles such as pyrazole, imidazole, and triazole, among others, is required in the design of new antihyperglycemic agents with higher activity than acarbose [135]. For instance, Chaudhry et al. described a multicomponent Debus–Radiszewski reaction to efficiently prepare imidazolylpyrazoles 144 in 77–90% yields from pyrazole-4-carbaldehydes 31 obtained by the Vilsmeier–Haack formylation reaction [24,136], benzil 143, and ammonium acetate in refluxing acetic acid for 2 h (Scheme 23). The same reaction was conducted under microwave heating using a domestic oven to afford products 144 in 84–91% yields after short reaction times (2–3 min) [137]. Finally, the use of glutamic acid (15 mol%) as a catalyst at reflux for 15–20 min furnished products 144 in 85–94% yields.
In vitro α-glucosidase inhibition assays of imidazolylpyrazoles 144a–k showed an inhibitory effect compared to control acarbose (IC50 = 38.25 µM), with the most potent inhibitors being those that contain substituents such as the coumarinyl ring, which exhibited percentages of inhibition at 98.56% (0.5 mM) with an IC50 value of 2.78 µM in compound 144j (R1 = coumarin-3-yl, R = R2 = H) and 97.69% (0.5 mM) with an IC50 value of 2.95 µM in compound 144k (R1 = 6-Br-coumarin-3-yl, R = R2 = H) [137]. According to molecular docking studies, the activity of the compound 144j can be explained through a hydrogen bond interaction between the oxygen atom of the coumarin ring and Arg312 at the active site of the oligo-1,6-glucosidase (PDB ID: 3A4A) from Saccharomyces cerevisiae (Figure 10). The imidazolylpyrazoles containing electron-withdrawing groups such as R1 = 4-ClC6H4 (144b), 4-BrC6H4 (144c), and 4-NO2C6H4 (144h), where R and R2 = H, have markedly improved activity via the binding of the substrate with the target positions. Therefore, the comparative study has helped to find some key structural elements that could give rise to promising anti-diabetic compounds.
The same authors carried out structural modifications to generate imidazole–pyrazole hybrids as potent α-glucosidase inhibitors [138]. Thus, the multicomponent Debus–Radziszewski reaction of pyrazole-4-carbaldehydes 31, benzyl 143, substituted anilines 32, and ammonium acetate under microwave irradiation afforded a series of imidazole–pyrazole hybrids 145 in 69–88% yields. This multicomponent approach shows high compatibility with pyrazole-4-carbaldehydes 31 containing electron-donating and electron-withdrawing groups. The imidazolylpyrazoles 145 were screened against α-glucosidase using acarbose as a standard drug (Table 45). In particular, the compounds containing electron-withdrawing substituents such as 145f and 145m showed a better inhibitory effect with IC50 values of 25.19 μM and 33.62 μM, respectively, when compared to acarbose (IC50 = 38.25 μM).
Later, a homology model was constructed using oligo-1,6-glucosidase (PDB ID: 3A4A) from Saccharomyces cerevisiae as the protein template because it exhibits one of the best results and also shares 72% identity and 85% similarity of the α-glucosidase sequence. Figure 11 shows 3D and 2D interactions of the most likely coupled conformation of the compound 145f with the homology model. It was found that imidazoylpyrazole 145f presented a significant fit to the binding cavity, with the hydrogen bond interaction between the unsubstituted nitrogen atom of the pyrazole ring and Asn241 being important [138].
Remarkably, Pogaku et al. described an interesting one-pot multicomponent approach to synthesize new pyrazole-triazolopyrimidine hybrids 147 as potent α-glucosidase inhibitors (Scheme 24) [139]. The synthesis of compounds involved an optimization process varying the base, solvent, and reaction time. Thus, the one-pot three-component reaction of pyrazole-4-carbaldehydes 31*, substituted acetophenones 24, 4H-1,2,4-triazol-3-amine 146, and a slight excess of piperidine in refluxing DMF for 6–10 h afforded pyrazole-triazolopyrimidine hybrids 147 in 74–88% yields. The plausible mechanism for the synthesis of pyrazole derivatives 147 is illustrated in Scheme 25. Initially, Claisen–Schmidt condensation of pyrazole-4-carbaldehydes 31* with substituted acetophenones 24 afforded chalcones 148, which subsequently reacted with 4H-1,2,4-triazol-3-amine 146 to generate enol/keto intermediates 149a/149a’. Finally, keto forms suffered an intramolecular cyclization/dehydration sequence to give pyrazole-triazolopyrimidine hybrids 147.
The synthesized compounds 147 were tested against α-glucosidase using acarbose as a standard drug [139]. It was observed that compounds substituted with electron-withdrawing groups on the phenyl ring showed higher inhibitory activity against α-glucosidase than compounds with electron-donating groups. Among them, the compounds 147h (R = 4-Cl), 147f (R = 4-F), and 147l (R = 4-NO2) exhibited the highest inhibitory activity with IC50 values of 12.45, 14.47, and 17.27 µM, when compared to acarbose (IC50 = 12.68 µM). Moreover, in silico docking studies of the ligand 147h with the active site of the α-glucosidase (PDB ID: 3WY1) were performed using the GOLD 5.6 tool. From the two chains of α-glucosidase, the A chain with the polyacrylic acid as the crystalline co-ligand was selected. The compound 147h forms hydrophobic, van der Waals, and hydrogen bond interactions with various amino acids of the active site of α-glucosidase. The formation of a hydrogen bond between the nitrogen atom of the triazole and the oxygen atom of the Asp202 was observed, as well as a hydrogen bond between Asp62 and the nitrogen atom of the pyrazole moiety. In addition, the residue Asp333 forms two hydrogen bonds with nitrogen atoms of triazole and pyrimidine rings.
In 2019, Duhan et al. described the three-component synthesis of thiazole-clubbed pyrazole hybrids 151 from 1-aryl-3-phenyl-1H-pyrazole-4-carbaldehydes 31, thiosemicarbazide 23, and substituted α-bromoacetophenones 36 in refluxing EtOH for 5 min (Table 46) [140]. The formed solids were filtered, dried, and recrystallized from ethanol to afford thiazole–pyrazole hybrids 151 in 71–89% yields after short reaction times. All synthesized pyrazole derivatives 151 were screened for their α-amylase activity at three different concentrations (12.5, 25, and 50 μg/mL) using acarbose as a standard drug. At a 50 μg/mL concentration, the synthesized compounds 151a–r exhibited a percentage of inhibition in the range from 70.04% to 89.15%, when compared to acarbose (77.96%). In particular, the compounds 151g and 151h displayed a significant percentage of inhibition with values of 89.15% and 88.42%, respectively, in comparison to acarbose (77.96%).
Additionally, molecular docking studies of the most potent compounds 151g and 151h were performed with the active site residues of Aspergillus oryzae α-amylase (PDB ID: 7TAA) to establish the binding conformation and interactions associated with the activity [140]. As shown in Figure 12, compound 151g showed four hydrophobic, one hydrogen bond, and one electrostatic interaction, while compound 151h displayed one electrostatic, one hydrogen bond, and eleven hydrophobic interactions. As a result, the binding interactions found for compounds 151g and 151h with α-amylase were similar to those responsible for α-amylase inhibition by acarbose.
On the other hand, a series of 3-alkyl-1-(4-(aryl/heteroaryl)thiazol-2-yl)indeno[1,2-c]pyrazol-4(1H)-ones 37a–l was obtained via the one-pot three-component approach discussed in Section 2.1. Antibacterial activity (Table 8) [36]. The pyrazole derivatives 37a–l were also screened for their α-amylase activity by using the starch-iodine method in the presence of acarbose as a standard drug (Table 47). Overall, compounds 37a–l showed IC50 values in the range of 0.46−20.51 μM, when compared to acarbose (IC50 = 0.11 μM). Interestingly, compounds 37j and 37k resulted in being the best inhibitors of α-amylase with IC50 values of 0.79 μM and 0.46 μM, respectively. In addition, the compounds 37i and 37l displayed good inhibitory activity with IC50 values of 0.94 μM and 0.89 μM, respectively, whereas the compounds 37a, 37e, 37f, and 37h were found to be moderately active with IC50 values in the range of 3.21−6.88 μM. To determine the binding conformation, molecular docking for indenopyrazoles 37j and 37k was performed in the active site of Aspergillus oryzae α-amylase (PDB ID: 7TAA). The binding affinity of compounds 37j, 37k, and acarbose are −8.7, −9.0, and −10.1 kcal/mol, respectively. As shown in Figure 13, the oxygen atom of the benzofuran ring forms a hydrogen bond with Arg344, while the nitrogen atom of the pyrazole ring interacts with Gln35 via a hydrogen bond. The indenopyrazole and benzofuran ring form π–π stacked interactions with Tyr75 and the aromatic ring of the Tyr82, respectively. Finally, the thiazole ring forms π–anion interactions with Asp340 in both compounds, and π–cation interactions with Arg344 only in compound 37k.

2.6. Anti-Inflammatory Activity

Inflammation is part of the complex biological response of vascular tissues to harmful stimuli, such as pathogens, damaged cells, or irritants [141,142]. Essentially, inflammation involves the production of pro-inflammatory mediators, an influx of innate immune cells, and tissue destruction [141,142]. In this sense, steroidal and non-steroidal anti-inflammatory drugs have been extensively employed to inhibit the production of pro-inflammatory prostaglandins (PGs) [143]. In recent decades, NSAIDs have become a widely used therapeutic group due to fewer adverse effects or other side effects such as renal impairment and gastric ulcers [143]. In consequence, the development of efficient and safer anti-inflammatory drugs is still highly desired in chemical biology and drug design. In this way, the series of 4-coumarinylpyrano[2,3-c]pyrazole derivatives 93, obtained via a one-pot four-component approach and discussed in Section 2.1. Antibacterial activity (Table 26) [87], was also subjected to an anti-inflammatory effect against the denaturation of hen’s egg albumin method at the concentration of 31.25 μM with aceclofenac as a standard drug (Table 48). Compounds 93 showed very high activity against the denaturation of protein with inhibition percentages ranging from 7.60% to 51.43%. Remarkably, the compounds 93g, 93h, and 93j showed excellent activity with inhibition percentages of 51.43%, 39.06%, and 37.65%, respectively, which are more active compared to the standard aceclofenac drug (5.50%). Moreover, the anti-inflammatory activity was also screened using the Human Red Blood Cell (HRBC) membrane stabilization technique at the concentration of 100 μM with the standard acetyl salicylic acid drug. Notably, the compounds 93g, 93h, and 93j exhibited good activity with inhibition percentages of 54.06%, 39.86%, and 38.56%, respectively, in comparison with the standard acetyl salicylic acid drug (36.16%).
The thiazolo[2,3-b]dihydropyrimidinones 80ap, obtained via a three-component synthetic approach and discussed in Section 2.1. Antibacterial activity (Table 19) [72], was also screened for its anti-inflammatory activity using the carrageenan-induced paw edema method of inflammation in rats at successive intervals of 1, 2, and 4 h compared with the standard indomethacin drug. The tested compounds 80ap exhibited moderate anti-inflammatory activity within 2 h, while the activity increased and reached peak level at 4 h and declined after 4 h. Remarkably, the compounds 80a (R = 3-F-4-Me, R1 = R2 = Cl), 80e (R = 3-F-4-Me, R1 = R2 = F), and 80i (R = 3-F-4-Me, R1 = Cl, R2 = H) showed potent anti-inflammatory activity at 4 h with 85.33%, 81.32%, and 80.75% inhibition of the edema, respectively, which is comparable with the standard indomethacin drug (86.76%). Later, the synthesized compounds 80ap were docked into the active sites of the COX-2 enzyme. The molecular docking revealed that compounds 80a, 80e, and 80i were more selective towards the COX-2 active site with calculated binding energy of −540.47, −315.73, and −129.88 kcal/mol, respectively, involving a hydrogen bonding between the nitrogen atom of the pyrimidine ring and hydrogen atom of the amino group into ARG 120. These results are in good agreement with experimental results.
Similarly, the pyrazole derivatives 16a–c, obtained via a three-component process and discussed in Section 2.1. Antibacterial activity (Scheme 2) [29], were also screened for their anti-inflammatory activity in rats at successive intervals of 1, 2, 4, and 6 h. The standard indomethacin drug (10 mg/kg) and tested heterocycles (50 mg/kg) were administered to the rats 30 min before the injection of 0.1 mL of 1% carrageenan suspension in normal saline. The reduction in edema volume reached a maximum level at 6 h ranging from 9.30% to 13.31%, which is compared to the standard indomethacin drug (16.27%). In particular, pyrazole derivatives 16a (R = H) and 16c (R = 2,4-(NO2)2C6H3) displayed the highest reduction in edema volume with 13.31% and 12.26%, respectively.
The pyrano[2,3-c]pyrazole-5-carbonitrile 141, obtained via a multicomponent process and discussed in Section 2.4. Antioxidant (Scheme 21) [128], was also evaluated for its anti-inflammatory activity using celecoxib and quercetin as standard drugs. Notably, the compound 141 exhibited significant activity against COX-1 and COX-2 enzymes with values of 5.47 and 0.25 μM, respectively, in comparison to the standard celecoxib (14.60 and 0.04 μM, respectively). It also inhibited the LOX enzyme with a value of 4.43 μM, which is comparable to the standard quercetin (3.35 μM).
Tetrahydrobenzo[b]pyran derivatives 142, obtained from a three-component process and discussed in Section 2.4. Antioxidant (Scheme 22) [129], were also screened for their anti-inflammatory activity using the protein denaturation method at the concentration of 1.0 mM using diclofenac as a standard drug. Importantly, the compounds 142i (R1 = 3-NO2), 142a (R1 = 4-NO2), and 142d (R1 = 4-MeO) exhibited good activity with inhibition percentages of 69.72%, 65.13%, and 63.30%, respectively, in comparison with the standard diclofenac drug (90.21%).

2.7. Antimycobacterial Activity

Tuberculosis (TB) is a disease caused by Mycobacterium tuberculosis that claims approximately 1.5 million deaths every year [144]. When M. tuberculosis is not treated adequately, it takes the form of MDR-TB (multidrug-resistant TB) and XDR-TB (extensive-drug resistant TB) [144]. Thus, the re-emergence of tuberculosis has stimulated the search for new drugs against drug-resistant organisms, preferably acting on new targets [145,146]. Screening of new compounds has been carried out in several mycobacteria models. The main model used remains the infective agent, M. tuberculosis with H37Rv and H37Ra as virulent and avirulent reference strains, respectively [145,146]. In this way, Patel’s group reported the synthesis of thirteen examples of pyrazole-linked triazolo[1,5-a]pyrimidines 153 through a three-component reaction of pyrazole-4-carbaldehyde derivatives 31, 1H-1,2,4-triazol-3-amine 146, and β-ketoamides 152 containing a pyridine nucleus in refluxing DMF for specific time intervals as visualized by TLC (Table 49) [147]. After cooling, acetone (10 mL) was added, and the reaction mixture was stirred overnight at room temperature. Then, the solid was filtered, recrystallized from ethanol, and dried in the air. Later, the compounds 153 were evaluated for their anti-tuberculosis activity against Mycobacterium tuberculosis strain H37Rv using the Lowenstein–Jensen medium and broth dilution technique. The most significant results are summarized in Table 49. Particularly, the compounds 153a–e inhibited Mycobacterium tuberculosis ranging from 95% to 99% at a 6.25 μg/mL concentration. Further, the secondary screening results showed that the compounds 153a and 153b inhibited the mycobacterium strain at MIC 3.13 and 1.56 μg/mL, respectively, while the compounds 153c, 153d, and 153e inhibited Mycobacterium tuberculosis at a MIC lower than 1.0 μg/mL. In summary, the triazolo[1,5-a]pyrimidine derivatives 153 exhibited moderate anti-TB activity as compared to Isoniazid (MIC = 0.3 μg/mL) but good anti-TB activity as compared to Ethambutol and Rifampicin (MIC = 0.5 and 3.12 μg/mL, respectively).
It should be noted that compounds 153a–e were found to be non-toxic against Vero cells (IC50 ≥ 20 μg/mL), while compounds 153c–e displayed good mycobacterial enoyl-reductase (InhA) inhibitory potency with IC50 values of 0.11, 0.16, and 0.11 μg/mL, respectively (Table 49). In addition, molecular docking studies were performed for the most active compounds 153a–e against the active site of the InhA enzyme (PDB: 2B35). As shown in Figure 14, the significant binding affinities with docking energies ranging from −44.89 to −56.60 kcal/mol and the RMS deviation values were observed to fall in the range of 2–3 Å, which can be considered to be an acceptable value of deviation [147]. As shown in Figure 14, the compound 153c with binding energy of −49.48 kcal/mol and the considerably high XP glide score of −9.07 binds with the InhA active site forming a hydrogen bond between NH of the dihydropyrimidine ring and oxygen of the carboxylate group of Gly14 at a distance of 2.17 Å. Furthermore, π–π stacking was observed between the two phenyl rings linked to the pyrazole ring with the phenyl ring of Phe97 and amine group of Arg43, respectively.
Similarly, the polyhydroquinoline derivatives 51a–p, obtained via a three-component process and discussed in Section 2.1. Antibacterial activity (Table 13) [54], were also screened against the Mycobacterium tuberculosis H37Rv strain at a 250 μg/mL concentration using isoniazid and rifampicin as standard drugs (Table 50). Remarkably, the polyhydroquinoline derivatives 51e, 51i, and 51l exhibited significant antituberculosis activity with percentages of inhibition of 94%, 95%, and 91%, respectively, which are comparable to isoniazid and rifampicin (99% and 98%, respectively).
Ultrasonic irradiation has been frequently used in the synthesis of diverse N-heterocyclic systems of biological interest [105]. For instance, a series of 1,2,4-triazol-1-yl-pyrazole-based spirooxindolopyrrolizidines 157 have been synthesized in 76–92% yields by an ultrasound-assisted three-component reaction of pyrazole-based chalcones 156, substituted isatins 27, and L-proline 28 using an ionic liquid ([Bmim]BF4) at 60 °C for 6–16 min (Table 51) [148]. The [Bmim]BF4 is reused in up to five cycles without a significant change in yields and catalytic activity. This multicomponent approach is distinguished by its operational simplicity, high yielding, short reaction time, as well as easy separation and recyclability of the [Bmim]BF4. The plausible mechanism for the synthesis of compounds 157 is depicted in Scheme 26. It should be mentioned that the ionic liquid can act as both a solvent and catalyst through the interaction of its electron-deficient hydrogen atom with the oxygen atom of carbonyl groups. This interaction facilitates the polarization of the carbonyl group of isatin 27 to react with L-proline 28 for the formation of intermediate 154, and subsequent decarboxylation leads to the highly reactive azomethine ylide 155. Ultimately, the 1,3-dipolar cycloaddition reaction between the adjacent double bond of dipolarophile 156 and azomethine ylide 155 affords the spirooxindolopyrrolizidine system 157.
The compounds 157a–p were screened against the Mycobacterium tuberculosis H37Rv strain using ethambutol as a standard drug (Table 51) [148]. Most compounds 157 exhibited significant anti-TB activity with MIC values ranging from 0.78 to 12.5 μg/mL, except for compounds 157a, 157b, 157f, 157i, and 157p, which presented MIC values equal to or greater than 20 μg/mL. Remarkably, the compound 157h displayed higher anti-TB activity (MIC = 0.78 μg/mL) than the standard drug ethambutol (MIC = 1.56 μg/mL). Additionally, the cytotoxicity of the most potent anti-TB compounds was screened against the RAW 264.7 cell line at a 25 μg/mL concentration by adopting the MTT assay. In summary, the promising antituberculosis active compounds 157e, 157h, 157k, 157l, 157n, 157q, and 157r exhibited a lower percentage of inhibition ranging from 17.91% to 27.15%.
The pyrazolyl-dibenzo[b,e][1,4]diazepinones (64–70)a and (71–77)b were obtained via a multicomponent synthetic approach and previously discussed in Section 2.1. Antibacterial activity (Table 18) [70]. These compounds exhibited anti-TB activity ranging from 6% to 90% at a 250 μg/mL concentration using isoniazid as a standard drug. In particular, the synthesized compounds 66a (R = H, R1 = 4-ClC6H4O), 66′a (R = COPh, R1 = 4-ClC6H4O), 75b (R = H, R2 = 4-ClC6H4S), and 75′b (R = COPh, R2 = 4-ClC6H4S) displayed better anti-TB activity with percentages of inhibition of 86%, 85%, 90%, and 88%, respectively, which are comparable to the standard drug isoniazid (99%).

2.8. Antimalarial Activity

Malaria is a disease caused by the parasite Plasmodium, which is transmitted by the bite of an infected mosquito belonging to the Anopheles genus [149]. Among the five Plasmodium species, Plasmodium falciparum is considered responsible for approximately 90% of malaria deaths worldwide [150,151]. For that reason, developing novel antimalarials with remarkable activity against all five human-infecting Plasmodium species is still highly desirable [150,151]. In this way, the polyhydroquinoline derivatives 51a–p, obtained via a three-component process and discussed in Section 2.1. Antibacterial activity (Table 13) [54], were also screened for their in vitro antimalarial activity using chloroquine and quinine as standard drugs. Overall, the compounds 51a (R = 4-F, R1 = CN, R2 = 4-Cl), 51c (R = 4-F, R1 = CONH2, R2 = 4-Cl), and 51d (R = 4-F, R1 = CN, R2 = 4-Me) exhibited IC50 values of 0.065, 0.085, and 0.076 μM, respectively, which is remarkable against Plasmodium falciparum as compared to chloroquine and quinine (IC50 = 0.020 and 0.268 μM, respectively). Later, molecular docking was performed between ligands (51a, 51c, 51d, chloroquine, and quinine) and the receptor wild-type Plasmodium falciparum dihydrofolate reductase-thymidylate synthase (PDB ID: 4DPD) [54]. The molecules interacted with the active pockets of protein by forming an H-bond. The docking scores of molecules 51a, 51c, and 51d were found to be −27.88, −28.78, and −27.82, respectively, which were not as good compared to the standard drugs chloroquine and quinine with values of −49.93 and −45.82, respectively. The cyano group of compounds 51a and 51d and the carbonyl group of the amide 51c interacted with the active pockets of the enzyme, forming hydrogen bonds with TYR 365. In addition, the C=O of the cyclohexane ring formed a hydrogen bond with LYS 297.
The pyrazolo[3,4-b]pyridine core has been proven to be antimalarial for overcoming the burden of resistance in Plasmodium falciparum [151]. Consequently, the simple and efficient synthesis of functionalized pyrazolo[3,4-b]pyridines continues to be an important factor in modern drug discovery [152]. In this way, Eagon et al. developed the three-component reaction of aryl-3-oxopropanenitrile derivatives 102, aromatic aldehydes 1, and N-aryl-5-aminopyrazoles 83 in DMF at 100 °C for 16 h to afford densely substituted pyrazolo[3,4-b]pyridines 158 (Scheme 27) [153]. In most cases, compounds 158 were obtained in low to moderate yields because the crude product was purified via trituration with methanol or absolute ethanol, and subsequent filtration and drying. Later, all synthesized compounds 158 were tested against the chloroquine-sensitive Plasmodium falciparum 3D7 strain grown in the presence of O-positive erythrocytes with EC50 values ranging from 0.0692 to 2.04 µM. Overall, most compounds displayed sub-micromolar potency against the intraerythrocytic stage of the parasite, with the most potent compound 158w (R = 4-tButC6H4, R1 = 2-OH, R2 = Me, R3 = C6H5) presenting an EC50 value of 0.0692 μM. Additional blood stage assays of the compound 158w showed a moderate killing profile with no activity against the gametocyte stage of the parasite.

2.9. Miscellaneous Activities

2.9.1. AChE and BChE Inhibitory Activity

Alzheimer′s disease (AD) is a progressive neurological disorder and the most common cause of dementia in the elderly. It is widely known that one of the possible treatments is the inhibition of acetylcholinesterase (AChE) and butyrylcholinesterase (BChE) to maintain the levels of the neurotransmitter ACh [154,155]. Currently, three AChE inhibitors have been approved by the US Food and Drug Administration for AD therapy: Donepezil, rivastigmine, and galantamine; however, these drugs neither cure nor stop the progression of the disease [154,155]. In the search for new ChE inhibitors, Derabli et al. provided the synthesis, docking studies, and in vitro anticholinesterase activity of new tacrine-pyranopyrazole analogs via a one-pot four-component reaction [156]. By mixing (hetero)aromatic aldehydes 1, malononitrile 2, and 3-methyl-1H-pyrazol-5-one 19 in refluxing 1,2-dichloroethane (DCE) generates pyrano[2,3-c]pyrazole intermediates 160. Then, AlCl3-mediated Friedländer condensation with cyclohexanone 159 in the same flask gave rise to a library of tacrine-pyranopyrazoles 161 with good to excellent yields (Table 52). The use of aromatic or heterocyclic aldehydes did not have a significant impact on the yields.
The corresponding tacrine-pyranopyrazoles were evaluated on their in vitro anticholinesterase activity [156]. The data obtained for the inhibition of AChE/BChE by target compounds 161a–l demonstrated that the majority of compounds had higher selectivity towards AChE than BChE with IC50 values ranging from 0.044 to 5.80 μM, wherein compounds 161e and 161j were found to be most active inhibitors against AChE with IC50 values of 0.058 and 0.044 μM, respectively, in comparison to Galantamine as the reference drug (IC50 = 21.82 μM). Afterward, molecular modeling simulation of compound 161j with the AChE receptor showed two hydrogen bonds with Ser286 and one hydrogen bond with Tyr70. The S configuration was rotated in the opposite way to direct the biphenyl ring in the same direction as the R isomer. Since it was inversely oriented, it formed three hydrogen bonds with different amino acid residues such as Arg289 (two hydrogen bonds) and Tyr334 (one hydrogen bond). The amino group and pyrazole ring seemed to act as the pharmacophores for these interactions.

2.9.2. Antihyperuricemic Activity

Xanthine oxidase (XO) is a complex molybdoflavoprotein that catalyzes the hydroxylation of xanthine and hypoxanthine by using molecular oxygen as an electron acceptor [157]. However, XO produces reactive oxygen species leading to oxidative damage to the tissue and a variety of clinical disorders [157]. In this sense, purine-based xanthine oxidase inhibitors such as allopurinol, pterin, and 6-formylpterin have been successfully utilized to prevent XO-mediated tissue damage. However, these inhibitors have been reported to be associated with Steven–Johnson syndrome and worsening of renal function in some patients [157,158]. In 2015, Kaur et al. developed the solvent-free four-component reaction of (hetero)aromatic aldehydes 1, malononitrile 2, ethyl 3-oxobutanoate 3, and hydrazine hydrate 4 in the presence of DMAP as a catalyst under microwave heating at 150 °C for 20 min, affording pyrano[2,3-c]pyrazole derivatives 162 in high yields (Table 53) [158]. Later, an in vitro xanthine oxidase assay was conducted by the authors. Among a series of 19 compounds, 6 compounds were found to display a % age inhibition of >80%. It should be noted that molecules exhibiting % age inhibition of more than 80% at 50 μM were further tested for the xanthine oxidase inhibitory activity using allopurinol as a reference inhibitor (IC50 = 8.29 μM). Remarkably, non-purine xanthine oxidase inhibitors 162l and 162m displayed the most potent inhibition against the enzyme with IC50 values of 3.2 and 2.2 μM, respectively.

2.9.3. Antileishmanial Activity

Leishmaniasis is a chronic infection caused by a protozoan parasite that belongs to the genus Leishmania. Among all forms of leishmaniasis, visceral leishmaniasis (VL) is the most serious form of the disease [159]. In recent years, several therapeutic options for VL have been employed such as the oral drug miltefosine, the aminoglycoside antibiotic paromomycin, and pentamidine [159,160]. Nevertheless, major concerns such as teratogenicity, nephrotoxicity, hepatotoxicity, ototoxicity, and unaffordable cost are associated with current antileishmanial chemotherapeutic agents [159,160]. Note that combining two or more potentially bioactive moieties to construct heterocyclic scaffolds is a known process in drug discovery [160]. In 2017, Anand et al. reported the three-component reaction of indole-based 5-aminopyrazoles 163, aryl aldehydes 1, and cyclic 1,3-diketones 44 in acetic acid at 100–110 °C for 2 h to afford pyrazolodihydropyridine derivatives 164 in 55–80% yields (Table 54) [161]. Most of the compounds were purified by crystallization in EtOH without the need for column chromatography. Later, in vitro antileishmanial activity of pyrazolodihydropyridines was evaluated at 25 μM and 50 μM concentrations against extracellular promastigotes and intracellular amastigotes of luciferase-expressing Leishmania donovani. As shown in Table 54, the compounds 164d and 164j displayed excellent activity with parasite killing >95% at 50 μM. Remarkably, IC50 values of 164d and 164j were found to be 7.36 μM and 4.05 μM against amastigotes, respectively, which is better than the antileishmanial drug miltefosine (IC50 = 9.46 μM).

2.9.4. Antiurease Activity

From a medicinal perspective, urease is the major virulence factor of some lethal bacterial pathogens such as Mycobacterium tuberculosis, Proteus mirabilis, and Helicobacter pylori, among others [162]. Generally, it causes infections of the gastrointestinal tract, gastric ulcers, kidney stones, hepatic coma, and the risk of developing gastric cancer [163]. As a contribution to this topic, Chaudhry et al. reported a pseudo-four-component reaction of pyrazole-4-carbaldehyde 31, symmetrical 1,2-diarylethane-1,2-diones 143, and ammonium acetate catalyzed by p-toluenesulfonic acid in ethanol at ambient temperature, affording a series of imidazolylpyrazole derivatives 165 up to 94% yield in short reaction times (4 h) (Scheme 28) [164]. This TsOH-catalyzed approach resulted in being a simple and convergent method to prepare products via the formation of four C-N bonds in one-step.
The twelve synthesized compounds were tested for their antiurease activity with IC50 values ranging from 0.7 to 154.6 µM. Seven compounds were more potent compared to the standard thiourea (IC50 = 21.26 µM) as a positive control. Remarkably, the compounds 165k (R = R1 = H, R2 = 3-NO2C6H4, and R3 = Br) and 165l (R = NO2, R1 = R2 = Me, and R3 = Br) have excellent activity with IC50 values of 0.7 and 1.0 μM, respectively. Afterward, molecular docking studies were performed to understand the interaction mode of best inhibitors 165k and 165l with the active site of urease. The crystal structure of Jack bean’s (Canavalia ensiformis) urease [PDB ID: 4GY7, 1.49 Å] was selected for the study. As shown in Figure 15, the oxygen of the nitro group of inhibitor 165k bonded with NH of ARG609 amino acid through a hydrogen bond, whereas, in the case of inhibitor 165l, the nitro group seemed to interact with the embedded Ni2+ ion.

2.9.5. GSK3α and GSK3β Inhibitors

Glycogen Synthase Kinase 3 (GSK3) is a key regulator of insulin-dependent glycogen synthesis, which has been shown to function as a master regulator of multiple signaling pathways, including insulin signaling, neurotrophic factor signaling, neurotransmitter signaling, and microtubule dynamics [165,166]. In this context, Wagner et al. reported the discovery of a novel pyrazolo-tetrahydroquinolinone scaffold 166 with selective and potent GSK3 inhibition. The tricyclic compounds 166 were prepared through a three-component reaction of 5-methyl-1H-pyrazol-3-amine 83, aldehydes 1, 5,5-dimethylcyclohexane-1,3-dione 20, and triethylamine in ethanol under microwave heating at 150 °C for 15 min (Scheme 29) [167]. The racemic compounds 166 were obtained in low to moderate yields after a simple filtration process. IC50 values for GSK3α and GSK3β inhibition were measured in a mobility shift microfluidic assay measuring the phosphorylation of a synthetic substrate. It was noted that the tested racemic compounds 166 inhibit GSK3α and GSK3β with IC50 values ranging from 0.018 to >33.33 μM and 0.051 to >33.33 μM, respectively. Afterward, the enantiomers of BRD4003 (R = C6H5) were separated by chiral HPLC and the absolute stereochemistry of each enantiomer was determined indirectly via a high-resolution hGSK3β co-crystal structure of the closely related analog. Remarkably, the (S)-enantiomer strongly inhibits GSK3α and GSK3β (IC50 0.343 μM and 0.468 μM, respectively). In contrast, the (R)-enantiomer weakly inhibits GSK3α and GSK3β (IC50 4.27 μM and 7.27 μM, respectively).

2.9.6. Larvicidal and Insecticidal Activity

Malaria remains a major public health challenge with an estimated 229 million cases recorded in 2019 [168]. The disease spreads from one person to another via the bite of a female mosquito of the genus Anopheles [169]. There are 465 to 474 described Anopheles species with 70 of its members recognized to transmit the Plasmodium parasite to humans [170]. Therefore, the control of Anopheles arabiensis populations still represents the best line of defense. In this way, fused indolo-pyrazoles (FIPs) 136 were prepared via a multicomponent approach and discussed in Section 2.3. Antifungal activity (Scheme 18) [122] and were also screened for larvae mortality. It should be mentioned that Anopheles arabiensis mosquitoes were obtained from a colonized strain from Zimbabwe, which had been reared according to the WHO (1975) guidelines in an insectary simulating the temperature (27.5 °C), humidity (70 %), and lighting (12/12) of a malaria-endemic environment. Each container was monitored for larval mortality at 24 h intervals for three days [122]. The percentage mortality was calculated relative to the initial number of exposed larvae. Overall, seven FIPs produced more than 60% mortality at a dose of 4.0 μM. The highest activity was detected for 136c (R = 4-Cl, R1 = H), 136r (R = H, R1 = Me), and 136v (R = 4-CF3, R1 = Me), which was comparable to the positive control Temephos, an effective emulsifiable organophosphate larvicidal used by the malarial control program. Additionally, the insecticidal activity assessment was conducted by exposing susceptible adult mosquitoes to a treated surface, by following WHO protocol (1975). Deltamethrin (15 g/ L, K-Othrine) was used as a positive control. The effect of FIPs 136 was measured by determining the knock-down rate, which was based on temporary paralysis of mosquitoes during a 60 min exposure period, and mortality 24 h post-exposure. Overall, the FIPs 136a (R = R1 = H), 136c (R = 4-Cl, R1 = H), and 136p (R = 3-MeO-4-OH, R1 = C6H5) showed a 40% knock-down of activity within the first 60 min of exposure. After 24 h, the mortality of Anopheles arabiensis adults exposed to FIPs 136a, 136c, and 136p was nearly 80%, which was comparable to the positive control K-Othrine.

3. Conclusions

In the present comprehensive review, a variety of MCR-based approaches applied to the synthesis of biologically active pyrazole derivatives was described. Particularly, it covered the articles published from 2015 to date related to antibacterial, anticancer, antifungal, antioxidant, α-glucosidase and α-amylase inhibitory, anti-inflammatory, antimycobacterial, and antimalarial activities, among others, of pyrazole derivatives obtained exclusively through MCRs, giving significant insight into reported MCR-based synthetic routes of pyrazole derivatives, as well as various plausible synthetic mechanisms, a comprehensive view of their diverse biological activity data, and some discussions on molecular docking studies showing how the obtained pyrazole-based compounds interacted with therapeutically relevant targets for potential pharmaceutical applications.

Author Contributions

Conceptualization; writing—original draft preparation; writing—review and editing, D.B., R.A. and J.-C.C.; supervision, J.-C.C. All authors have read and agreed to the published version of the manuscript.

Funding

This research received no external funding.

Institutional Review Board Statement

Not applicable.

Informed Consent Statement

Not applicable.

Data Availability Statement

Data sharing is not applicable.

Acknowledgments

D.B. and J.-C.C. acknowledge the Dirección de Investigaciones at the Universidad Pedagógica y Tecnológica de Colombia (Project SGI 3312). R.A. thanks MINCIENCIAS and Universidad del Valle for partial financial support. The authors thank Daniela Becerra-Córdoba for designing the graphical abstract.

Conflicts of Interest

The authors declare no conflict of interest.

References

  1. Hulme, C. Applications of multicomponent reactions in drug discovery–lead generation to process development. In Multicomponent Reactions, 1st ed.; Zhu, J., Bienaymé, H., Eds.; WILEY-VCH: Weinheim, German, 2005; Volume 1, pp. 311–341. [Google Scholar]
  2. Dömling, A.; Wang, W.; Wang, K. Chemistry and biology of multicomponent reactions. Chem. Rev. 2012, 112, 3083–3135. [Google Scholar] [CrossRef]
  3. Ramachary, D.B.; Jain, S. Sequential one-pot combination of multi-component and multi-catalysis cascade reactions: An emerging technology in organic synthesis. Org. Biomol. Chem. 2011, 9, 1277–1300. [Google Scholar] [CrossRef] [PubMed]
  4. Kakuchi, R. Multicomponent reactions in polymer synthesis. Angew. Chem. Int. Ed. 2014, 53, 46–48. [Google Scholar] [CrossRef] [PubMed]
  5. Abonia, R.; Castillo, J.; Insuasty, B.; Quiroga, J.; Nogueras, M.; Cobo, J. Efficient catalyst-free four-component synthesis of novel γ-aminoethers mediated by a Mannich type reaction. ACS Comb. Sci. 2013, 15, 2–9. [Google Scholar] [CrossRef] [PubMed]
  6. Insuasty, D.; Castillo, J.; Becerra, D.; Rojas, H.; Abonia, R. Synthesis of biologically active molecules through multicomponent reactions. Molecules 2020, 25, 505. [Google Scholar] [CrossRef]
  7. Younus, H.A.; Al-Rashida, M.; Hameed, A.; Uroos, M.; Salar, U.; Rana, S.; Khan, K.M. Multicomponent reactions (MCR) in medicinal chemistry: A patent review (2010–2020). Expert. Opin. Ther. Pat. 2021, 31, 267–289. [Google Scholar] [CrossRef]
  8. Strecker, A. Ueber die künstliche Bildung der Milchsäure und einen neuen, dem glycocoll homologen körper. Ann. Chem. Pharm. 1850, 75, 27–45. [Google Scholar] [CrossRef]
  9. Hantzsch, A. Condensationprodukte aus aldehydammoniak und ketoniartigen verbindungen. Chem. Ber. 1881, 14, 1637–1638. [Google Scholar] [CrossRef]
  10. Biginelli, P. Ueber aldehyduramide des acetessigäthers. Chem. Ber. 1891, 24, 1317. [Google Scholar] [CrossRef]
  11. Mannich, C.; Krösche, W. Ueber ein kondensationsprodukt aus formaldehyd, ammoniak und antipyrin. Arch. Pharm. 1912, 250, 647–667. [Google Scholar] [CrossRef]
  12. Passerini, M. Sopra gli isonitrili (I). Composto del p-isonitrilazobenzolo con acetone ed acido acetico. Gazz. Chim. Ital. 1921, 51, 126–129. [Google Scholar]
  13. Fields, E.K. The synthesis of esters of substituted amino phosphonic acids. J. Am. Chem. Soc. 1952, 74, 1528–1531. [Google Scholar] [CrossRef]
  14. Asinger, F. Über die gemeinsame einwirkung von schwefel und ammoniak auf ketone. Angew. Chem. 1956, 68, 413. [Google Scholar] [CrossRef]
  15. Ugi, I.; Meyr, R.; Fetzer, U.; Steinbrückner, C. Versuche mit isonitrilen. Angew. Chem. 1959, 71, 373–388. [Google Scholar] [CrossRef]
  16. Gewald, K.; Schinke, E.; Böttcher, H. Heterocyclen aus CH-aciden nitrilen, VIII. 2-Amino-thiophene aus methylenaktiven nitrilen, carbonylverbindungen und schwefel. Chem. Ber. 1966, 99, 94–100. [Google Scholar] [CrossRef]
  17. Oldenziel, O.H.; Van Leusen, D.; Van Leusen, A.M. Chemistry of sulfonylmethyl isocyanides. 13. A general one-step synthesis of nitriles from ketones using tosylmethyl isocyanide. Introduction of a one-carbon unit. J. Org. Chem. 1977, 42, 3114–3118. [Google Scholar] [CrossRef]
  18. Bienaymé, H.; Bouzid, K. A new heterocyclic multicomponent reaction for the combinatorial synthesis of fused 3-aminoimidazoles. Angew. Chem. Int. Ed. 1998, 37, 2234–2237. [Google Scholar] [CrossRef]
  19. Boltjes, A.; Dömling, A. The Groebke-Blackburn-Bienaymé reaction. Eur. J. Chem. 2019, 2019, 7007–7049. [Google Scholar] [CrossRef]
  20. Naim, M.J.; Alam, O.; Nawaz, F.; Alam, J.; Alam, P. Current status of pyrazole and its biological activities. J. Pharm. Bioallied Sci. 2016, 8, 2–17. [Google Scholar] [CrossRef] [PubMed]
  21. Karrouchi, K.; Radi, S.; Ramli, Y.; Taoufik, J.; Mabkhot, Y.N.; Al-aizari, F.A.; Ansar, M. Synthesis and pharmacological activities of pyrazole derivatives: A review. Molecules 2018, 23, 134. [Google Scholar] [CrossRef]
  22. Ebenezer, O.; Shapi, M.; Tuszynski, J.A. A review of the recent development in the synthesis and biological evaluations of pyrazole derivatives. Biomedicines 2022, 10, 1124. [Google Scholar] [CrossRef]
  23. Maddila, S.; Jonnalagadda, S.B.; Gangu, K.K.; Maddila, S.N. Recent advances in the synthesis of pyrazole derivatives using multicomponent reactions. Curr. Org. Synth. 2017, 14, 634–6531. [Google Scholar] [CrossRef]
  24. Castillo, J.-C.; Portilla, J. Recent advances in the synthesis of new pyrazole derivatives. In TARGETS IN HETEROCYCLIC SYSTEMS: Chemistry and Properties; Attanasi, O.A., Merino, P., Spinelli, D., Eds.; Società Chimica Italiana: Rome, Italy, 2018; Volume 22, pp. 194–223. Available online: https://www.soc.chim.it/sites/default/files/ths/22/chapter_9.pdf (accessed on 6 July 2022).
  25. Sadeghpour, M.; Olyaei, A. Recent advances in the synthesis of bis(pyrazolyl)methanes and their applications. Res. Chem. Intermed. 2021, 47, 4399–4441. [Google Scholar] [CrossRef]
  26. Mali, G.; Shaikh, B.A.; Garg, S.; Kumar, A.; Bhattacharyya, S.; Erande, R.D.; Chate, A.V. Design, synthesis, and biological evaluation of densely substituted dihydropyrano[2,3-c]pyrazoles via a taurine-catalyzed green multicomponent approach. ACS Omega 2021, 6, 30734–30742. [Google Scholar] [CrossRef]
  27. El-Assaly, S.A.; Ismail, A.E.H.A.; Bary, H.A.; Abouelenein, M.G. Synthesis, molecular docking studies, and antimicrobial evaluation of pyrano[2,3-c]pyrazole derivatives. Curr. Chem. Lett. 2021, 10, 309–328. [Google Scholar] [CrossRef]
  28. Reddy, G.M.; Garcia, J.R.; Zyryanov, G.V.; Sravya, G.; Reddy, N.B. Pyranopyrazoles as efficient antimicrobial agents: Green, one-pot and multicomponent approach. Bioorg. Chem. 2019, 82, 324–331. [Google Scholar] [CrossRef] [PubMed]
  29. Kendre, B.V.; Landge, M.G.; Bhusare, S.R. Synthesis and biological evaluation of some novel pyrazole, isoxazole, benzoxazepine, benzothiazepine and benzodiazepine derivatives bearing an aryl sulfonate moiety as antimicrobial and anti-inflammatory agents. Arab. J. Chem. 2019, 12, 2091–2097. [Google Scholar] [CrossRef]
  30. Dehbalaei, M.G.; Foroughifar, N.; Pasdar, H. Facile green one-pot synthesis of pyrano[2,3-c]pyrazole and 1,8-dioxo-decahydroacridine derivatives using graphene oxide as a carbocatalyst and their biological evaluation as potent antibacterial agents. Biointerface Res. Appl. Chem. 2018, 8, 3016–3022. [Google Scholar]
  31. Barakat, A.; Al-Majid, A.M.; Al-Qahtany, B.M.; Ali, M.; Teleb, M.; Al-Agamy, M.H.; Naz, S.; Ul-Haq, Z. Synthesis, antimicrobial activity, pharmacophore modeling and molecular docking studies of new pyrazole-dimedone hybrid architectures. Chem. Cent. J. 2018, 12, 29. [Google Scholar] [CrossRef]
  32. Vaarla, K.; Kesharwani, R.K.; Santosh, K.; Rao, R.; Kotamraju, S.; Toopurani, M.K. Synthesis, biological activity evaluation and molecular docking studies of novel coumarin substituted thiazolyl-3-aryl-pyrazole-4-carbaldehydes. Bioorg. Med. Chem. Lett. 2015, 25, 5797–5803. [Google Scholar] [CrossRef]
  33. Kathirvelan, D.; Haribabu, J.; Reddy, B.S.R.; Balachandran, C.; Duraipandiyan, V. Facile and diastereoselective synthesis of 3,2′-spiropyrrolidine-oxindoles derivatives, their molecular docking and antiproliferative activities. Bioorg. Med. Chem. Lett. 2015, 25, 389–399. [Google Scholar] [CrossRef] [PubMed]
  34. Suresh, L.; Kumar, P.S.V.; Poornachandra, Y.; Kumar, C.G.; Chandramouli, G.V.P. Design, synthesis and evaluation of novel pyrazolo-pyrimido[4,5-d]pyrimidine derivatives as potent antibacterial and biofilm inhibitors. Bioorg. Med. Chem. Lett. 2017, 27, 1451–1457. [Google Scholar] [CrossRef] [PubMed]
  35. Sivaganesh, T.; Padmaja, P.; Reddy, P.N. Efficient one-pot synthesis of pyrazole–pyrazol-3-one hybrid analogs and evaluation of their antimicrobial activity. Russ. J. Org. Chem. 2022, 58, 81–86. [Google Scholar] [CrossRef]
  36. Mor, S.; Khatri, M. Synthesis, antimicrobial evaluation, α-amylase inhibitory ability and molecular docking studies of 3-alkyl-1-(4-(aryl/heteroaryl)thiazol-2-yl)indeno[1,2-c]pyrazol-4(1H)-ones. J. Mol. Struct. 2022, 1249, 131526. [Google Scholar] [CrossRef]
  37. Zidan, A.; El-Naggar, A.M.; Abd El-Sattar, N.E.A.; Ali, A.K.; El Kaïm, L. Raising the diversity of Ugi reactions through selective alkylations and allylations of Ugi adducts. Front. Chem. 2019, 7, 20. [Google Scholar] [CrossRef] [PubMed]
  38. Rocha, R.O.; Rodrigues, M.O.; Neto, B.A.D. Review on the Ugi multicomponent reaction mechanism and the use of fluorescent derivatives as functional chromophores. ACS Omega 2020, 5, 972–979. [Google Scholar] [CrossRef]
  39. Pandya, K.M.; Battula, S.; Naik, P.J. Pd-catalyzed post-Ugi intramolecular cyclization to the synthesis of isoquinolone-pyrazole hybrid pharmacophores & discover their antimicrobial and DFT studies. Tetrahedron Lett. 2021, 81, 153353. [Google Scholar] [CrossRef]
  40. Anantharaman, A.; Rizvi, M.S.; Sahal, D. Synergy with rifampin and kanamycin enhances potency, kill kinetics, and selectivity of DeNovo-designed antimicrobial peptides. Antimicrob. Agents Chemother. 2010, 54, 1693–1699. [Google Scholar] [CrossRef]
  41. Makino, M.; Fujimoto, Y. Flavanones from Baeckea frutescens. Phytochemistry 1999, 50, 273–277. [Google Scholar] [CrossRef]
  42. Bhavanarushi, S.; Kanakaiah, V.; Yakaiah, E.; Saddanapu, V.; Addlagatta, A.; Rani, V.J. Synthesis, cytotoxic, and DNA binding studies of novel fluorinated condensed pyrano pyrazoles. Med. Chem. Res. 2013, 22, 2446–2454. [Google Scholar] [CrossRef]
  43. Safari, F.; Hosseini, H.; Bayat, M.; Ranjbar, A. Synthesis and evaluation of antimicrobial activity, cytotoxic and pro-apoptotic effects of novel spiro-4H-pyran derivatives. RSC Adv. 2019, 9, 24843–24851. [Google Scholar] [CrossRef] [PubMed]
  44. Mobinikhaledi, A.; Foroughifar, N.; Mosleh, T.; Hamta, A. Synthesis of some novel chromenopyrimidine derivatives and evaluation of their biological activities. Iran. J. Pharm. Res. 2014, 13, 873–879. [Google Scholar]
  45. Parmar, N.J.; Pansuriya, B.R.; Parmar, B.D.; Barad, H.A. Solvent-free, one-pot synthesis and biological evaluation of some new dipyrazolo[3,4-b:4′,3′-e]pyranylquinolones and their precursors. Med. Chem. Res. 2014, 23, 42–56. [Google Scholar] [CrossRef]
  46. Plechkova, N.V.; Seddon, K.R. Applications of ionic liquids in the chemical industry. Chem. Soc. Rev. 2008, 37, 123–150. [Google Scholar] [CrossRef]
  47. Dehbalaei, M.G.; Foroughifar, N.; Pasdar, H.; Khajeh-Amiri, A.; Foroughifar, N.; Alikarami, M. Choline chloride based thiourea catalyzed highly efficient, eco-friendly synthesis and anti-bacterial evaluation of some new 6-amino-4-aryl-2,4-dihydro-3-phenylpyrano[2,3-c]pyrazole-5-carbonitrile derivatives. Res. Chem. Intermed. 2017, 43, 3035–3051. [Google Scholar] [CrossRef]
  48. Jung, J.-C.; Park, O.-S. Synthetic approaches and biological activities of 4-hydroxycoumarin derivatives. Molecules 2009, 14, 4790–4803. [Google Scholar] [CrossRef]
  49. Hussain, H.; Hussain, J.; Al-Harrasi, A.; Krohn, K. The chemistry and biology of bicoumarins. Tetrahedron 2012, 68, 2553–2578. [Google Scholar] [CrossRef]
  50. Neena; Nain, S.; Bhardwaj, V.; Kumar, R. Efficient synthesis and antibacterial evaluation of a series of pyrazolylbiscoumarin and pyrazolylxanthenedione derivatives. Pharm. Chem. J. 2015, 49, 254–258. [Google Scholar] [CrossRef]
  51. Böhm, H.J.; Banner, D.; Bendels, S.; Kansy, M.; Kuhn, B.; Müller, K.; Obst-Sander, U.; Stahl, M. Fluorine in medicinal chemistry. ChemBioChem 2004, 5, 637–643. [Google Scholar] [CrossRef]
  52. Karad, S.C.; Purohit, V.B.; Avalani, J.R.; Sapariya, N.H.; Raval, D.K. Design, synthesis, and characterization of a fluoro substituted novel pyrazole nucleus clubbed with 1, 3, 4-oxadiazole scaffolds and their biological applications. RSC Adv. 2016, 6, 41532–41541. [Google Scholar] [CrossRef]
  53. Karad, S.C.; Purohit, V.B.; Raval, D.K.; Kalaria, P.N.; Avalani, J.R.; Thakor, P.; Thakkar, V.R. Green synthesis and pharmacological screening of polyhydroquinoline derivatives bearing a fluorinated 5-aryloxypyrazole nucleus. RSC Adv. 2015, 5, 16000–16009. [Google Scholar] [CrossRef]
  54. Sapariya, N.H.; Vaghasiya, B.K.; Thummar, R.P.; Kamani, R.D.; Patel, K.H.; Thakor, P.; Thakkar, S.S.; Ray, A.; Raval, D.K. Synthesis, characterization, in silico molecular docking study and biological evaluation of a 5-(phenylthio)pyrazole based polyhydroquinoline core moiety. New J. Chem. 2017, 41, 10686–10694. [Google Scholar] [CrossRef]
  55. NCCLS (National Committee for Clinical Laboratory Standards). Performance Standards for Antimicrobial Susceptibility Testing: Twelfth Informational Supplement (2002); NCCLS: Albany, NY, USA, 2002; ISBN 1-56238-454-6. [Google Scholar]
  56. Malladi, S.; Isloor, A.M.; Peethambar, S.K.; Fun, H.K. Synthesis of new 3-aryl-4-(3-aryl-4, 5-dihydro-1H-pyrazol-5-yl)-1-phenyl-1H-pyrazole derivatives as potential antimicrobial agents. Med. Chem. Res. 2013, 22, 2654–2664. [Google Scholar] [CrossRef]
  57. Baranda, A.B.; Alonso, R.M.; Jimenez, R.M.; Weinmann, W. Instability of calcium channel antagonists during sample preparation for LC–MS–MS analysis of serum samples. Forensic Sci. Int. 2006, 156, 23–34. [Google Scholar] [CrossRef]
  58. Viveka, S.; Dinesha; Madhu, L.N.; Nagaraja, G.K. Synthesis of new pyrazole derivatives via multicomponent reaction and evaluation of their antimicrobial and antioxidant activities. Monatsh. Chem. 2015, 146, 1547–1555. [Google Scholar] [CrossRef]
  59. Aboelnaga, A.; El-Sayed, T.H. Click synthesis of new 7-chloroquinoline derivatives by using ultrasound irradiation and evaluation of their biological activity. Green. Chem. Lett. Rev. 2018, 11, 254–263. [Google Scholar] [CrossRef]
  60. Kerru, N.; Gummidi, L.; Bhaskaruni, S.V.H.S.; Maddila, S.N.; Jonnalagadda, S.B. Ultrasound-assisted synthesis and antibacterial activity of novel 1,3,4-thiadiazole-1H-pyrazol-4-yl-thiazolidin-4-one derivatives. Monatsh. Chem. 2020, 151, 981–990. [Google Scholar] [CrossRef]
  61. Adib, M.; Ansari, S.; Fatemi, S.; Bijanzadeh, H.R.; Zhu, L.G. A multi-component synthesis of 3-aryl-1-(arylmethylideneamino)pyrrolidine-2,5-diones. Tetrahedron 2010, 66, 2723–2727. [Google Scholar] [CrossRef]
  62. Patel, H.B.; Gohil, J.D.; Patel, M.P. Microwave-assisted, solvent-free, one-pot, three-component synthesis of fused pyran derivatives containing benzothiazole nucleus catalyzed by pyrrolidine-acetic acid and their biological evaluation. Monatsh. Chem. 2017, 148, 1057–1067. [Google Scholar] [CrossRef]
  63. Abunada, N.M.; Hassaneen, H.H.; Kandile, N.G.; Miqdad, O.A. Synthesis and antimicrobial activity of some new pyrazole, fused pyrazolo[3,4-d]pyrimidine and pyrazolo[4,3-e][1,2,4]-triazolo[1,5-c]pyrimidine derivatives. Molecules 2008, 13, 1501–1517. [Google Scholar] [CrossRef]
  64. Barakat, A.; Al-Majid, A.M.; Shahidu, M.I.; Warad, I.; Masand, V.H.; Yousuf, S.; Choudhary, M.I. Molecular structure investigation and biological evaluation of Michael adducts derived from dimedone. Res. Chem. Intermed. 2016, 42, 4041–4053. [Google Scholar] [CrossRef]
  65. Elshaier, Y.A.M.M.; Barakat, A.; Al-Qahtany, B.M.; Al-Majid, A.M.; Al-Agamy, M.H. Synthesis of pyrazole-thiobarbituric acid derivatives: Antimicrobial activity and docking studies. Molecules 2016, 21, 1337. [Google Scholar] [CrossRef]
  66. Blower, T.R.; Williamson, B.H.; Kerns, R.J.; Berger, J.M. Crystal structure and stability of gyrase-fluoroquinolone cleaved complexes from Mycobacterium tuberculosis. Proc. Natl. Acad. Sci. USA 2016, 113, 1706–1713. [Google Scholar] [CrossRef] [PubMed]
  67. Lu, J.; Patel, S.; Sharma, N.; Soisson, S.M.; Kishii, R.; Takei, M.; Fukuda, Y.; Lumb, K.J.; Singh, S.B. Structures of kibdelomycin bound to Staphylococcus aureus GyrB and ParE showed a novel U-shaped binding mode. ACS Chem. Biol. 2014, 19, 2023–2031. [Google Scholar] [CrossRef] [PubMed]
  68. Reddy, T.S.; Kulhari, H.; Reddy, V.G.; Rao, A.V.S.; Bansal, V.; Kamal, A.; Shukla, R. Synthesis and biological evaluation of pyrazolo–triazole hybrids as cytotoxic and apoptosis inducing agents. Org. Biomol. Chem. 2015, 13, 10136–10149. [Google Scholar] [CrossRef]
  69. Thurston, D.E.; Bose, D.S. Synthesis of DNA–interactive pyrrolo[2,1-c][1,4]benzodiazepines. Chem. Rev. 1994, 94, 433–465. [Google Scholar] [CrossRef]
  70. Brahmbhatt, G.C.; Sutariya, T.R.; Atara, H.D.; Parmar, N.J.; Gupta, V.K.; Lagunes, I.; Padrón, J.M.; Murumkar, P.R.; Yadav, M.R. New pyrazolyl-dibenzo[b,e][1,4]diazepinones: Room temperature one-pot synthesis and biological evaluation. Mol. Divers. 2020, 24, 355–377. [Google Scholar] [CrossRef] [PubMed]
  71. Li, X.; Ma, S. Advances in the discovery of novel antimicrobials targeting the assembly of bacterial cell division protein FtsZ. Eur. J. Med. Chem. 2015, 95, 1–15. [Google Scholar] [CrossRef]
  72. Viveka, S.; Dinesha; Nagaraja, G.K.; Shama, P.; Basavarajaswamy, G.; Rao, K.P.; Sreenivasa, M.Y. One pot synthesis of thiazolo[2,3-b]dihydropyrimidinone possessing pyrazole moiety and evaluation of their anti-inflammatory and antimicrobial activities. Med. Chem. Res. 2018, 27, 171–185. [Google Scholar] [CrossRef]
  73. Gediya, L.K.; Njar, V.C. Promise and challenges in drug discovery and development of hybrid anticancer drugs. Expert. Opin. Drug Discov. 2009, 4, 1099–1111. [Google Scholar] [CrossRef]
  74. Viegas-Junior, C.; Danuello, A.; da Silva Bolzani, V.; Barreiro, E.J.; Fraga, C.A.M. Molecular hybridization: A useful tool in the design of new drug prototypes. Curr. Med. Chem. 2007, 14, 1829–1852. [Google Scholar] [CrossRef]
  75. Sindhu, J.; Singh, H.; Khurana, J.M.; Bhardwaj, J.K.; Saraf, P.; Sharma, C. Synthesis and biological evaluation of some functionalized 1H-1,2,3-triazole tethered pyrazolo[3,4-b]pyridin-6(7H)-ones as antimicrobial and apoptosis inducing agents. Med. Chem. Res. 2016, 25, 1813–1830. [Google Scholar] [CrossRef]
  76. Song, C.E. Enantioselective chemo- and bio-catalysis in ionic liquids. Chem. Commun. 2004, 1033–1043. [Google Scholar] [CrossRef] [PubMed]
  77. Nia, R.H.; Mamaghani, M.; Shirini, F.; Tabatabaeian, K.; Heidary, M. Rapid and efficient synthesis of 1,4-dihydropyridines using a sulfonic acid functionalized ionic liquid. Org. Prep. Proc. Int. 2014, 46, 152–163. [Google Scholar] [CrossRef]
  78. Mamaghani, M.; Nia, R.H.; Shirini, F.; Tabatabaeian, K.; Rassa, M. An efficient and eco-friendly synthesis and evaluation of antibactrial activity of pyrano[2,3-c]pyrazole derivatives. Med. Chem. Res. 2015, 24, 1916–1926. [Google Scholar] [CrossRef]
  79. Reddy, G.M.; Garcia, J.R. Synthesis of pyranopyrazoles under eco-friendly approach by using acid catalysis. J. Heterocycl. Chem. 2017, 54, 89–94. [Google Scholar] [CrossRef]
  80. Zaki, M.E.A.; Soliman, H.A.; Hiekal, O.A.; Rashad, A.E.Z. Pyrazolopyranopyrimidines as a class of anti-inflammatory agents. Naturforsch. 2006, 61, 1–5. [Google Scholar] [CrossRef] [PubMed]
  81. Reddy, G.M.; Garcia, J.R.; Reddy, V.H.; Kumari, A.K.; Zyryanov, G.V.; Yuvaraja, G. An efficient and green approach: One pot, multi component, reusable catalyzed synthesis of pyranopyrazoles and investigation of biological assays. J. Saudi Chem. Soc. 2019, 23, 263–273. [Google Scholar] [CrossRef]
  82. Ambethkar, S.; Padmini, V.; Bhuvanesh, N. A green and efficient protocol for the synthesis of dihydropyrano[2,3-c]pyrazole derivatives via a one-pot, four component reaction by grinding method. J. Adv. Res. 2015, 6, 975–985. [Google Scholar] [CrossRef][Green Version]
  83. Ziarani, G.M.; Lashgari, N.; Badiei, A. Sulfonic acid-functionalized mesoporous silica (SBA-Pr-SO3H) as solid acid catalyst in organic reactions. J. Mol. Catal. A: Chem. 2015, 397, 166–191. [Google Scholar] [CrossRef]
  84. Ziarani, G.M.; Aleali, F.; Lashgari, N.; Badiei, A.; Soorki, A.A. Efficient synthesis and antimicrobial evaluation of pyrazolopyranopyrimidines in the presence of SBA-Pr-SO3H as a nanoporous acid catalyst. Iran. J. Pharm. Res. 2018, 17, 525–534. [Google Scholar]
  85. Souza, L.G.; Rennó, M.N.; Figueroa-Villar, J.D. Coumarins as cholinesterase inhibitors: A review. Chem. Biol. Interact. 2016, 254, 11–23. [Google Scholar] [CrossRef] [PubMed]
  86. Sahoo, C.R.; Sahoo, J.; Mahapatra, M.; Lenka, D.; Sahu, P.K.; Dehury, B.; Padhy, R.N.; Paidesetty, S.K. Coumarin derivatives as promising antibacterial agent(s). Arab. J. Chem. 2021, 14, 102922. [Google Scholar] [CrossRef]
  87. Chougala, M.M.; Samundeeswari, S.; Holiyachi, M.; Shastri, L.A.; Dodamani, S.; Jalalpure, S.; Dixit, S.R.; Joshi, S.D.; Sunagar, V.A. Synthesis, characterization and molecular docking studies of substituted 4-coumarinylpyrano[2,3-c]pyrazole derivatives as potent antibacterial and anti-inflammatory agents. Eur. J. Med. Chem. 2017, 125, 101–116. [Google Scholar] [CrossRef] [PubMed]
  88. Vitaku, E.; Smith, D.T.; Njardarson, J.T. Analysis of the structural diversity, substitution patterns, and frequency of nitrogen heterocycles among US. FDA approved pharmaceuticals. J. Med. Chem. 2014, 57, 10257–10274. [Google Scholar] [CrossRef]
  89. Martins, P.; Jesus, J.; Santos, S.; Raposo, L.R.; Roma-Rodrigues, C.; Baptista, P.V.; Fernandes, A.R. Heterocyclic anticancer compounds: Recent advances and the paradigm shift towards the use of nanomedicine’s tool box. Molecules 2015, 20, 16852–16891. [Google Scholar] [CrossRef]
  90. Lang, D.K.; Kaur, R.; Arora, R.; Saini, B.; Arora, S. Nitrogen-containing heterocycles as anticancer agents: An overview. Anticancer Agents Med. Chem. 2020, 20, 2150–2168. [Google Scholar] [CrossRef]
  91. Abonia, R.; Insuasty, D.; Castillo, J.; Insuasty, B.; Quiroga, J.; Nogueras, M.; Cobo, J. Synthesis of novel quinoline-2-one based chalcones of potential anti-tumor activity. Eur. J. Med. Chem. 2012, 57, 29–40. [Google Scholar] [CrossRef]
  92. Insuasty, B.; Becerra, D.; Quiroga, J.; Abonia, R.; Nogueras, M.; Cobo, J. Microwave-assisted synthesis of pyrimido[4,5-b][1,6]naphthyridin-4(3H)-ones with potential antitumor activity. Eur. J. Med. Chem. 2013, 60, 1–9. [Google Scholar] [CrossRef]
  93. Castillo, J.-C.; Jiménez, E.; Portilla, J.; Insuasty, B.; Quiroga, J.; Moreno-Fuquen, R.; Kennedy, A.R.; Abonia, R. Application of a catalyst-free Domino Mannich/Friedel-Crafts alkylation reaction for the synthesis of novel tetrahydroquinolines of potential antitumor activity. Tetrahedron 2018, 74, 932–947. [Google Scholar] [CrossRef]
  94. Serrano-Sterling, C.; Becerra, D.; Portilla, J.; Rojas, H.; Macías, M.; Castillo, J.-C. Synthesis, biological evaluation and X-ray crystallographic analysis of novel (E)-2-cyano-3-(het)arylacrylamides as potential anticancer agents. J. Mol. Struct. 2021, 1244, 130944. [Google Scholar] [CrossRef]
  95. Insuasty, D.; García, S.; Abonia, R.; Insuasty, B.; Quiroga, J.; Nogueras, M.; Cobo, J.; Borosky, G.L.; Laali, K.K. Design, synthesis, and molecular docking study of novel quinoline-based bis-chalcones as potential antitumor agents. Arch. Pharm. 2021, 354, e2100094. [Google Scholar] [CrossRef]
  96. Sharma, A.; Chowdhury, R.; Dash, S.; Pallavi, B.; Shukla, P. Fast microwave assisted synthesis of pyranopyrazole derivatives as new anticancer agents. Curr. Microw. Chem. 2016, 3, 78–84. [Google Scholar] [CrossRef]
  97. Salama, S.K.; Mohamed, M.F.; Darweesh, A.F.; Elwahy, A.H.M.; Abdelhamid, I.A. Molecular docking simulation and anticancer assessment on human breast carcinoma cell line using novel bis(1,4-dihydropyrano[2,3-c]pyrazole-5-carbonitrile) and bis(1,4-dihydropyrazolo[4’,3’:5,6]pyrano[2,3-b]pyridine-6-carbonitrile)derivatives. Bioorg. Chem. 2017, 71, 19–29. [Google Scholar] [CrossRef] [PubMed]
  98. Yakaiah, S.; Kumar, P.S.V.; Rani, P.B.; Prasad, K.D.; Aparna, P. Design, synthesis and biological evaluation of novel pyrazolo-oxothiazolidine derivatives as antiproliferative agents against human lung cancer cell line A549. Bioorg. Med. Chem. Lett. 2018, 28, 630–636. [Google Scholar] [CrossRef]
  99. Kumar, P.; Duhan, M.; Kadyan, K.; Bhardwaj, J.K.; Saraf, P.; Mittal, M. Multicomponent synthesis of some molecular hybrid containing thiazole pyrazole as apoptosis inducer. Drug Res. 2018, 68, 72–79. [Google Scholar] [CrossRef]
  100. Demjén, A.; Alföldi, R.; Angyal, A.; Gyuris, M.; Hackler, L.; Szebeni, G.J.; Wölfling, J.; Puskás, L.G.; Kanizsai, I. Synthesis, cytotoxic characterization, and SAR study of imidazo[1,2-b]pyrazole-7-carboxamides. Arch. Pharm. 2018, 351, e1800062. [Google Scholar] [CrossRef]
  101. Ansari, A.J.; Joshi, G.; Yadav, U.P.; Maurya, A.K.; Agnihotri, V.K.; Kalra, S.; Kumar, R.; Singh, S.; Sawant, D.M. Exploration of Pd-catalysed four-component tandem reaction for one-pot assembly of pyrazolo[1,5-c]quinazolines as potential EGFR inhibitors. Bioorg. Chem. 2019, 93, 103314. [Google Scholar] [CrossRef]
  102. El-Sayed, A.A.; Amr, A.E.G.E.; EL-Ziaty, A.K.; Elsayed, E.A. Cytotoxic effects of newly synthesized heterocyclic candidates containing nicotinonitrile and pyrazole moieties on hepatocellular and cervical carcinomas. Molecules 2019, 24, 1965. [Google Scholar] [CrossRef]
  103. Hosseinzadeh, L.; Mahmoudian, N.; Ahmadi, F.; Adibi, H. Synthesis of 4-phenyl-4,5-dihydropyranopyrazolone derivatives with activated potassium carbonate: Evaluation of anticancer activity on cancer cell lines and apoptosis mechanism. J. Rep. Pharm. Sci. 2019, 8, 262–269. [Google Scholar] [CrossRef]
  104. Alharthy, R.D. Design and synthesis of novel pyrazolo[3,4-d]pyrimidines: In vitro cytotoxic evaluation and free radical scavenging activity studies. Pharm. Chem. J. 2020, 54, 273–278. [Google Scholar] [CrossRef]
  105. Castillo, J.-C.; Bravo, N.-F.; Tamayo, L.-V.; Mestizo, P.-D.; Hurtado, J.; Macías, M.; Portilla, J. Water-compatible synthesis of 1,2,3-triazoles under ultrasonic conditions by a Cu(I) complex-mediated click reaction. ACS Omega 2020, 5, 30148–30159. [Google Scholar] [CrossRef] [PubMed]
  106. Komarnicka, U.K.; Starosta, R.; Płotek, M.; Almeida, R.F.M.; Jeżowska-Bojczuk, M.; Kyzioł, A. Copper(I) complexes with phosphine derived from sparfloxacin. Part II: A first insight into the cytotoxic action mode. Dalton Trans. 2016, 45, 5052–5063. [Google Scholar] [CrossRef]
  107. Rani, M.R.; Singh, A.; Garg, N.; Kaur, N.; Singh, N. Mitochondria- and nucleolus-targeted copper(I) complexes with pyrazole-linked triphenylphosphine moieties for live cell imaging. Analyst 2020, 145, 83–90. [Google Scholar] [CrossRef]
  108. Rashdan, H.R.M.; Shehadi, I.A.; Abdelmonsef, A.H. Synthesis, anticancer evaluation, computer-aided docking studies, and ADMET prediction of 1,2,3-triazolyl-pyridine hybrids as human aurora B kinase inhibitors. ACS Omega 2021, 6, 1445–1455. [Google Scholar] [CrossRef] [PubMed]
  109. Dayal, N.; Řezníčková, E.; Hernandez, D.E.; Peřina, M.; Torregrosa-Allen, S.; Elzey, B.D.; Škerlová, J.; Ajani, H.; Djukic, S.; Vojáčková, V.; et al. 3H-Pyrazolo[4,3-f]quinoline-based kinase inhibitors inhibit the proliferation of acute myeloid leukemia cells in vivo. J. Med. Chem. 2021, 64, 10981–10996. [Google Scholar] [CrossRef] [PubMed]
  110. Jilloju, P.C.; Persoons, L.; Kurapati, S.K.; Schols, D.; De Jonghe, S.; Daelemans, D.; Vedula, R.R. Discovery of (±)-3-(1H-pyrazol-1-yl)-6,7-dihydro-5H-[1,2,4]triazolo[3,4-b][1,3,4]thiadiazine derivatives with promising in vitro anticoronavirus and antitumoral activity. Mol. Divers. 2021, 1–15. [Google Scholar] [CrossRef]
  111. Vairaperumal, V.; Perumal, M.; Sengodu, P.; Shanumuganthan, S.; Paramasivam, M. V2O5-Catalyzed one-pot multicomponent of pyrazol naphthoquinone as scaffolds for potential bioactive compounds: Synthesis, structural study and cytotoxic activity. ChemistrySelect 2019, 4, 3006–3010. [Google Scholar] [CrossRef]
  112. Fouda, A.M.; El-Nassag, M.A.A.; Elhenawy, A.A.; Shati, A.A.; Alfaifie, M.Y.; Elbehairi, S.E.I.; Alam, M.M.; El-Agrody, A.M. Synthesis of 1,4-dihydropyrano[2,3-c]pyrazole derivatives and exploring molecular and cytotoxic properties based on DFT and molecular docking studies. J. Mol. Struct. 2022, 1249, 131555. [Google Scholar] [CrossRef]
  113. Mamidala, S.; Aravilli, R.K.; Vaarla, K.; Peddi, S.R.; Gondru, R.; Manga, V.; Vedula, R.R. A facile one-pot, three-component synthesis of a new series of thiazolyl pyrazoles: Anticancer evaluation, ADME and molecular docking studies. Polycycl. Aromat. Compd. 2022; in press. [Google Scholar] [CrossRef]
  114. Parikh, P.H.; Timaniya, J.B.; Patel, M.J.; Patel, K.P. Microwave-assisted synthesis of pyrano[2,3-c]pyrazole derivatives and their anti-microbial, anti-malarial, anti-tubercular, and anti-cancer activities. J. Mol. Struct. 2022, 1249, 131605. [Google Scholar] [CrossRef]
  115. Ali, T.E.; Assiria, M.A.; Shatic, A.A.; Alfaific, M.Y.; Elbehairic, S.E.I. Facile green one-pot synthesis and antiproliferative activity of some novel functionalized 4-(4-oxo-4H-chromen-3-yl)-pyrano[2,3-c]pyrazoles and 5-(4-oxo-4H-chromen-3-yl)-pyrano[2,3-d]pyrimidines. Russ. J. Org. Chem. 2022, 58, 106–113. [Google Scholar] [CrossRef]
  116. Kathiravan, M.K.; Salake, A.B.; Chothe, A.S.; Dudhe, P.B.; Watode, R.P.; Mukta, M.S.; Gadhwe, S. The biology and chemistry of antifungal agents: A review. Bioorg. Med. Chem. 2012, 20, 5678–5698. [Google Scholar] [CrossRef] [PubMed]
  117. Shafiei, M.; Peyton, L.; Hashemzadeh, M.; Foroumadi, A. History of the development of antifungal azoles: A review on structures, SAR, and mechanism of action. Bioorg. Chem. 2020, 104, 104240. [Google Scholar] [CrossRef]
  118. Abonia, R.; Garay, A.; Castillo, J.C.; Insuasty, B.; Quiroga, J.; Nogueras, M.; Cobo, J.; Butassi, E.; Zacchino, S. Design of two alternative routes for the synthesis of naftifine and analogues as potential antifungal agents. Molecules 2018, 23, 520. [Google Scholar] [CrossRef] [PubMed]
  119. Elejalde, N.-R.; Macías, M.; Castillo, J.-C.; Sortino, M.; Svetaz, L.; Zacchino, S.; Portilla, J. Synthesis and in vitro antifungal evaluation of novel N-substituted 4-aryl-2-methylimidazoles. ChemistrySelect 2018, 3, 5220–5227. [Google Scholar] [CrossRef]
  120. Abonia, R.; Castillo, J.; Insuasty, B.; Quiroga, J.; Nogueras, M.; Cobo, J. An efficient synthesis of 7-(arylmethyl)-3-tert-butyl-1-phenyl-6,7-dihydro-1H,4H-pyrazolo[3,4-d][1,3]oxazines. Eur. J. Org. Chem. 2010, 2010, 6454–6463. [Google Scholar] [CrossRef]
  121. Wang, B.-L.; Zhang, L.-Y.; Zhan, Y.-Z.; Zhang, Y.; Zhang, X.; Wang, L.-Z.; Li, Z.-M. Synthesis and biological activities of novel 1,2,4-triazole thiones and bis(1,2,4-triazole thiones) containing phenylpyrazole and piperazine moieties. J. Fluor. Chem. 2016, 184, 36–44. [Google Scholar] [CrossRef]
  122. Makhanya, T.R.; Gengan, R.M.; Kasumbwe, K. Synthesis of fused indolo-pyrazoles and their antimicrobial and insecticidal activities against anopheles arabiensis mosquito. ChemistrySelect 2020, 5, 2756–2762. [Google Scholar] [CrossRef]
  123. Halit, S.; Benazzouz-Touami, A.; Makhloufi-Chebli, M.; Bouaziz, S.T.; Ahriz, K.I. Sodium dodecyl benzene sulfonate-catalyzed reaction for green synthesis of biologically active benzylpyrazolyl-coumarin derivatives, mechanism studies, theoretical calculations. J. Mol. Struct. 2022, 1261, 132908. [Google Scholar] [CrossRef]
  124. Apak, R.; Özyürek, M.; Güçlü, K.; Çapanoğlu, E. Antioxidant activity/capacity measurement. 1. Classification, physicochemical principles, mechanisms, and electron transfer (ET)-based assays. J. Agric. Food Chem. 2016, 64, 997–1027. [Google Scholar] [CrossRef] [PubMed]
  125. Chanda, K.; Rajeshwaria; Hiremathada, A.; Singh, M.; Santos, M.A.; Keria, R.S. A review on antioxidant potential of bioactive heterocycle benzofuran: Natural and synthetic derivatives. Pharmacol. Rep. 2017, 69, 281–295. [Google Scholar] [CrossRef] [PubMed]
  126. Gulcin, I. Antioxidants and antioxidant methods: An updated overview. Arch. Toxicol. 2020, 94, 651–715. [Google Scholar] [CrossRef] [PubMed]
  127. Addoum, B.; Khalfi, B.E.; Idiken, M.; Sakoui, S.; Derdak, R.; Filali, O.A.; Elmakssoudi, A.K.; Soukri, A. Synthesis, characterization of pyrano[2,3-c]pyrazoles derivatives and determination of their antioxidant activities. Iran. J. Toxicol. 2021, 15, 175–194. [Google Scholar] [CrossRef]
  128. Amer, M.M.K.; Abdellattif, M.H.; Mouneir, S.M.; Zordok, W.A.; Shehab, W.S. Synthesis, DFT calculation, pharmacological evaluation, and catalytic application in the synthesis of diverse pyrano[2,3-c]pyrazole derivatives. Bioorg. Chem. 2021, 114, 105136. [Google Scholar] [CrossRef]
  129. Kate, P.; Pandit, V.; Jawale, V.; Bachute, M. L-Proline catalyzed one-pot three-component synthesis and evaluation for biological activities of tetrahydrobenzo[b]pyran: Evaluation by green chemistry metrics. J. Chem. Sci. 2022, 134, 4. [Google Scholar] [CrossRef]
  130. Suresh, L.; Onkara, P.; Kumar, P.S.V.; Pydisetty, Y.; Chandramouli, G.V.P. Ionic liquid-promoted multicomponent synthesis of fused tetrazolo[1,5-a]pyrimidines as α-glucosidase inhibitors. Bioorg. Med. Chem. Lett. 2016, 26, 4007–4014. [Google Scholar] [CrossRef]
  131. Naim, M.J.; Alam, M.J.; Nawaz, F.; Naidu, V.; Aaghaz, S.; Sahu, M.; Siddiqui, N.; Alam, O. Synthesis, molecular docking and anti-diabetic evaluation of 2,4-thiazolidinedione based amide derivatives. Bioorg. Chem. 2017, 73, 24–36. [Google Scholar] [CrossRef]
  132. Cho, N.; Shaw, J.; Karuranga, S.; Huang, Y.; da Rocha Fernandes, J.; Ohlrogge, A.; Malanda, B. IDF Diabetes Atlas: Global estimates of diabetes prevalence for 2017 and projections for 2045. Diabetes Res. Clin. Pract. 2018, 38, 271–281. [Google Scholar] [CrossRef]
  133. Özil, M.; Emirik, M.; Etlik, S.Y.; Ülker, S.; Kahveci, B. A simple and efficient synthesis of novel inhibitors of alpha-glucosidase based on benzimidazole skeleton and molecular docking studies. Bioorg. Chem. 2016, 68, 226–235. [Google Scholar] [CrossRef]
  134. Nikookar, H.; Khanaposhtani, M.M.; Imanparast, S.; Faramarzi, M.A.; Ranjbar, P.R.; Mahdavi, M.; Larijani, B. Design, synthesis and in vitro α-glucosidase inhibition of novel dihydropyrano[3,2-c]quinoline derivatives as potential anti-diabetic agents. Bioorg. Chem. 2018, 77, 280–286. [Google Scholar] [CrossRef] [PubMed]
  135. Ozil, M.; Emirik, M.; Belduz, A.; Ulker, S. Molecular docking studies and synthesis of novel bisbenzimidazole derivatives as inhibitors of α-glucosidase. Bioorg. Med. Chem. 2016, 24, 5103–5114. [Google Scholar] [CrossRef] [PubMed]
  136. Abdel-Wahab, B.F.; Khidre, R.E.; Farahat, A.A. Pyrazole-3(4)-carbaldehyde: Synthesis, reactions and biological activity. ARKIVOC 2011, (i), 196–245. [Google Scholar] [CrossRef]
  137. Chaudhry, F.; Naureen, S.; Huma, R.; Shaukat, A.; al-Rashida, M.; Asif, N.; Ashraf, M.; Munawar, M.; Ain Khan, M. In search of new α-glucosidase inhibitors: Imidazolylpyrazole derivatives. Bioorg. Chem. 2017, 71, 102–109. [Google Scholar] [CrossRef]
  138. Chaudhry, F.; Naureen, S.; Ashraf, M.; al-Rashida, M.; Jahan, B.; Ali Munawar, M.; Ain Khan, M. Imidazole-pyrazole hybrids: Synthesis, characterization and in-vitro bioevaluation against α-glucosidase enzyme with molecular docking studies. Bioorg. Chem. 2019, 82, 267–273. [Google Scholar] [CrossRef]
  139. Pogaku, V.; Gangarapu, K.; Basavoju, S.; Tatapudic, K.K.; Katragadda, S.B. Design, synthesis, molecular modelling, ADME prediction and antihyperglycemic evaluation of new pyrazole-triazolopyrimidine hybrids as potent α-glucosidase inhibitors. Bioorg. Chem. 2019, 93, 103307. [Google Scholar] [CrossRef]
  140. Duhan, M.; Singh, R.; Devi, M.; Sindhu, J.; Bhatia, R.; Kumar, A.; Kumar, P. Synthesis, molecular docking and QSAR study of thiazole clubbed pyrazole hybrid as α-amylase inhibitor. J. Biomol. Struct. Dyn. 2019, 39, 91–107. [Google Scholar] [CrossRef]
  141. Bertolini, A.; Ottani, A.; Sandrini, M. Selective COX-2 inhibitors and dual acting anti-inflammatory drugs: Critical remarks. Curr. Med. Chem. 2002, 9, 1033–1043. [Google Scholar] [CrossRef]
  142. Rao, P.P.N.; Kabir, S.N.; Mohamed, T. Nonsteroidal anti-inflammatory drugs (NSAIDs): Progress in small molecule drug development. Pharmaceuticals 2010, 3, 1530–1549. [Google Scholar] [CrossRef]
  143. Sharma, S.; Kumar, D.; Singh, D.; Monga, V.; Kumar, B. Recent advancements in the development of heterocyclic anti-inflammatory agents. Eur. J. Med. Chem. 2020, 200, 112438. [Google Scholar] [CrossRef]
  144. Kumar, V.; Patel, S.; Jain, R. New structural classes of antituberculosis agents. Med. Res. Rev. 2018, 38, 684–740. [Google Scholar] [CrossRef] [PubMed]
  145. Campaniço, A.; Moreira, R.; Lopes, F. Drug discovery in tuberculosis. New drug targets and antimycobacterial agents. Eur. J. Med. Chem. 2018, 150, 525–545. [Google Scholar] [CrossRef] [PubMed]
  146. Shetye, G.S.; Franzblau, S.G.; Cho, S. New tuberculosis drug targets, their inhibitors, and potential therapeutic impact. Transl. Res. 2020, 220, 68–97. [Google Scholar] [CrossRef] [PubMed]
  147. Bhatt, J.D.; Chudasama, C.J.; Patel, K.D. Pyrazole clubbed triazolo[1,5-a]pyrimidine hybrids as an anti-tubercular agents: Synthesis, in vitro screening and molecular docking study. Bioorg. Med. Chem. 2015, 23, 7711–7716. [Google Scholar] [CrossRef]
  148. Pogaku, V.; Krishna, V.S.; Sriram, D.; Rangan, K.; Basavoju, S. Ultrasonication-ionic liquid synergy for the synthesis of new potent anti-tuberculosis 1,2,4-triazol-1-yl-pyrazole based spirooxindolopyrrolizidines. Bioorg. Med. Chem. Lett. 2019, 29, 1682–1687. [Google Scholar] [CrossRef] [PubMed]
  149. Ashton, T.D.; Devine, S.M.; Möhrle, J.J.; Laleu, B.; Burrows, J.N.; Charman, S.A.; Creek, D.J.; Sleebs, B.E. The development process for discovery and clinical advancement of modern antimalarials. J. Med. Chem. 2019, 62, 10526–10562. [Google Scholar] [CrossRef] [PubMed]
  150. Insuasty, B.; Montoya, A.; Becerra, D.; Quiroga, J.; Abonia, R.; Robledo, S.; Vélez, I.D.; Upegui, Y.; Nogueras, M.; Cobo, J. Synthesis of novel analogs of 2-pyrazoline obtained from [(7-chloroquinolin-4-yl)amino]chalcones and hydrazine as potential antitumor and antimalarial agents. Eur. J. Med. Chem. 2013, 67, 252–262. [Google Scholar] [CrossRef] [PubMed]
  151. Silva, T.B.; Bernardino, A.M.R.; Ferreira, M.L.G.; Rogerio, K.R.; Carvalho, L.J.M.; Beochat, N.; Pinheiro, L.C.S. Design, synthesis, and anti-P. falciparum activity of pyrazolopyridine-sulfonamide derivatives. Bioorg. Med. Chem. 2016, 24, 4492–4498. [Google Scholar] [CrossRef]
  152. Charris-Molina, A.; Castillo, J.-C.; Macías, M.; Portilla, J. One-step synthesis of fully functionalized pyrazolo[3,4-b]pyridines via isobenzofuranone ring opening. J. Org. Chem. 2017, 82, 12674–12681. [Google Scholar] [CrossRef]
  153. Eagon, S.; Hammill, J.T.; Sigal, M.; Ahn, K.J.; Tryhorn, J.E.; Koch, G.; Belanger, B.; Chaplan, C.A.; Loop, L.; Kashtanova, A.S.; et al. Synthesis and structure–activity relationship of dual-stage antimalarial pyrazolo[3,4-b]pyridines. J. Med. Chem. 2020, 63, 11902–11919. [Google Scholar] [CrossRef]
  154. Bautista-Aguilera, Ó.M.; Ismaili, L.; Iriepa, I.; Diez-Iriepa, D.; Chabchoub, F.; Marco-Contelles, J.; Pérez, M. Tacrines as Therapeutic Agents for Alzheimer’s Disease. V. Recent Developments. Chem. Rec. 2021, 21, 162–174. [Google Scholar] [CrossRef]
  155. Dighe, S.N.; Deora, G.S.; De la Mora, E.; Nachon, F.; Chan, S.; Parat, M.-O.; Brazzolotto, X.; Ross, B.P. Discovery and structure–activity relationships of a highly selective butyrylcholinesterase inhibitor by structure-based virtual screening. J. Med. Chem. 2016, 59, 7683–7689. [Google Scholar] [CrossRef] [PubMed]
  156. Derabli, C.; Boualia, I.; Abdelwahab, A.B.; Boulcina, R.; Bensouici, C.; Kirsch, G.; Debache, A. A cascade synthesis, in vitro cholinesterases inhibitory activity and docking studies of novel Tacrine-pyranopyrazole derivatives. Bioorg. Med. Chem. Lett. 2018, 28, 2481–2484. [Google Scholar] [CrossRef]
  157. Prusis, P.; Dambrova, M.; Andrianov, V.; Rozhkov, E.; Semenikhina, V.; Piskunova, I.; Ongwae, E.; Lundstedt, T.; Kalvinsh, I.; Wikberg, J.E.S. Synthesis and quantitative structure−activity relationship of hydrazones of N-amino-N‘-hydroxyguanidine as electron acceptors for xanthine oxidase. J. Med. Chem. 2004, 47, 3105–3110. [Google Scholar] [CrossRef]
  158. Kaur, R.; Naaz, F.; Sharma, S.; Mehndiratta, S.; Gupta, M.K.; Bedi, P.M.S.; Nepali, K. Screening of a library of 4-aryl/heteroaryl-4H-fused pyrans for xanthine oxidase inhibition: Synthesis, biological evaluation and docking studies. Med. Chem. Res. 2015, 24, 3334–3349. [Google Scholar] [CrossRef]
  159. Sangshetti, J.N.; Khan, F.A.K.; Kulkarni, A.A.; Arote, R.; Patil, R.H. Antileishmanial drug discovery: Comprehensive review of the last 10 years. RSC Adv. 2015, 5, 32376–32415. [Google Scholar] [CrossRef]
  160. Insuasty, B.; Ramírez, J.; Becerra, D.; Echeverry, C.; Quiroga, J.; Abonia, R.; Robledo, S.M.; Vélez, I.D.; Upegui, Y.; Muñoz, J.A.; et al. An efficient synthesis of new caffeine-based chalcones, pyrazolines and pyrazolo[3,4-b][1,4]diazepines as potential antimalarial, antitrypanosomal and antileishmanial agents. Eur. J. Med. Chem. 2015, 93, 401413. [Google Scholar] [CrossRef]
  161. Anand, D.; Yadav, P.K.; Patel, O.P.S.; Parmar, N.; Maurya, R.K.; Vishwakarma, P.; Raju, K.S.R.; Taneja, I.; Wahajuddin, M.; Kar, S.; et al. Antileishmanial activity of pyrazolopyridine derivatives and their potential as an adjunct therapy with miltefosine. J. Med. Chem. 2017, 60, 1041–1059. [Google Scholar] [CrossRef]
  162. Rutherford, J.C. The emerging role of urease as a general microbial virulence factor. PLoS Pathog. 2014, 10, e1004062. [Google Scholar] [CrossRef]
  163. Valenzuela-Valderrama, M.; Cerda-Opazo, P.; Backert, S.; González, M.F.; Carrasco-Véliz, N.; Jorquera-Cordero, C.; Wehinger, S.; Canales, J.; Bravo, D.; Quest, A.F.G. The Helicobacter pylori urease virulence factor is required for the induction of hypoxia-induced factor-1α in gastric cells. Cancers 2019, 11, 799. [Google Scholar] [CrossRef] [PubMed]
  164. Chaudhry, F.; Naureen, S.; Aslam, M.; Al-Rashida, M.; Rahman, J.; Huma, R.; Fatima, J.; Khan, M.; Munawar, M.A.; Khan, M.A. Identification of imidazolylpyrazole ligands as potent urease inhibitors: Synthesis, antiurease activity and in silico docking studies. ChemistrySelect 2020, 5, 11817–11821. [Google Scholar] [CrossRef]
  165. Vasdev, N.; Garcia, A.; Stableford, W.T.; Young, A.B.; Meyer, J.H.; Houle, S.; Wilson, A.A. Synthesis and ex vivo evaluation of carbon-11 labelled N-(4-methoxybenzyl)-N′-(5-nitro-1,3-thiazol-2-yl)urea ([11C]AR-A014418): A radiolabelled glycogen synthase kinase-3β specific inhibitor for PET studies. Bioorg. Med. Chem. Lett. 2005, 15, 5270–5273. [Google Scholar] [CrossRef]
  166. Monte, F.L.; Kramer, T.; Gu, J.; Anumala, U.R.; Marinelli, L.; La Pietra, V.; Novellino, E.; Franco, B.; Demedts, D.; Van Leuven, F.; et al. Identification of glycogen synthase kinase-3 inhibitors with a selective sting for glycogen synthase kinase-3α. J. Med. Chem. 2012, 55, 4407–4424. [Google Scholar] [CrossRef] [PubMed]
  167. Wagner, F.F.; Bishop, J.A.; Gale, J.P.; Shi, X.; Walk, M.; Ketterman, J.; Patnaik, D.; Barker, D.; Walpita, D.; Campbell, A.J.; et al. Inhibitors of glycogen synthase kinase 3 with exquisite kinome-wide selectivity and their functional effects. ACS Chem. Biol. 2016, 11, 1952–1963. [Google Scholar] [CrossRef]
  168. Vantaux, A.; Riehle, M.M.; Piv, E.; Farley, E.J.; Chy, S.; Kim, S.; Corbett, A.G.; Fehrman, R.L.; Pepey, A.; Eiglmeier, K.; et al. Anopheles ecology, genetics and malaria transmission in northern Cambodia. Sci. Rep. 2021, 11, 6458. [Google Scholar] [CrossRef]
  169. Rich, S.M.; Xu, G. Resolving the phylogeny of malaria parasites. Proc. Natl. Acad. Sci. USA 2011, 108, 12973–12974. [Google Scholar] [CrossRef] [PubMed]
  170. Sinka, M.E.; Bangs, M.J.; Mangiun, S.; Rubio-Palis, Y.; Chareoviriyaphap, T.; Coetzee, M.; Mbogo, C.M.; Hemingway, J.; Patil, A.P.; Temperley, W.H.; et al. A global map of dominant malaria vectors. Parasite Vectors 2012, 5. [Google Scholar] [CrossRef]
Figure 1. Bibliometric graphic depicting the percentage of articles associated with each biological activity screened from 2015 to date [data were collected searching in Scopus for the keywords: “pyrazole derivatives”, “biological activity”, and “multicomponent reactions”].
Figure 1. Bibliometric graphic depicting the percentage of articles associated with each biological activity screened from 2015 to date [data were collected searching in Scopus for the keywords: “pyrazole derivatives”, “biological activity”, and “multicomponent reactions”].
Molecules 27 04723 g001
Scheme 1. Taurine-catalyzed four-component synthesis and in silico-based analysis of 1,4-dihydropyrano[2,3-c]pyrazoles 6 and 7.
Scheme 1. Taurine-catalyzed four-component synthesis and in silico-based analysis of 1,4-dihydropyrano[2,3-c]pyrazoles 6 and 7.
Molecules 27 04723 sch001
Figure 2. Molecular docking of compound 7 (R = 4-NO2C6H4) with Staphylococcus aureus wild-type DHFR (PDB ID: 2w9g). The left panel shows the zoomed-in view of the ligand interactions with the DHFR active site amino acid residues in the 3D space. The right panel shows the 2D representation of the array of ligand−protein interactions. Hydrogen bond formation is indicated by the green dotted line, whereas hydrophobic interactions are indicated by the spiked arcs. Image adapted from Mali et al. [26].
Figure 2. Molecular docking of compound 7 (R = 4-NO2C6H4) with Staphylococcus aureus wild-type DHFR (PDB ID: 2w9g). The left panel shows the zoomed-in view of the ligand interactions with the DHFR active site amino acid residues in the 3D space. The right panel shows the 2D representation of the array of ligand−protein interactions. Hydrogen bond formation is indicated by the green dotted line, whereas hydrophobic interactions are indicated by the spiked arcs. Image adapted from Mali et al. [26].
Molecules 27 04723 g002
Scheme 2. Three-component synthesis of pyrazoles 16ac with antimicrobial activity.
Scheme 2. Three-component synthesis of pyrazoles 16ac with antimicrobial activity.
Molecules 27 04723 sch002
Figure 3. Docking molecular of the compound 21a (magenta) with crucial residues of thymidylate kinase target protein (PDB ID: 4QGG) from Staphylococcus aureus. Image adapted from Barakat et al. [31].
Figure 3. Docking molecular of the compound 21a (magenta) with crucial residues of thymidylate kinase target protein (PDB ID: 4QGG) from Staphylococcus aureus. Image adapted from Barakat et al. [31].
Molecules 27 04723 g003
Scheme 3. Four-component synthesis of pyrazole-based pyrimido[4,5-d]pyrimidines 33 mediated by [Bmim]FeCl4.
Scheme 3. Four-component synthesis of pyrazole-based pyrimido[4,5-d]pyrimidines 33 mediated by [Bmim]FeCl4.
Molecules 27 04723 sch003
Scheme 4. Proposed mechanism for the synthesis of pyrazole-based pyrimido[4,5-d]pyrimidines 33 mediated by [Bmim]FeCl4 (IL).
Scheme 4. Proposed mechanism for the synthesis of pyrazole-based pyrimido[4,5-d]pyrimidines 33 mediated by [Bmim]FeCl4 (IL).
Molecules 27 04723 sch004
Figure 4. Docking molecular of indenopyrazole 37d with crucial residues of DNA gyrase of Escherichia coli (PDB ID: 1KZN). Image adapted from Mor et al. [36].
Figure 4. Docking molecular of indenopyrazole 37d with crucial residues of DNA gyrase of Escherichia coli (PDB ID: 1KZN). Image adapted from Mor et al. [36].
Molecules 27 04723 g004
Figure 5. Visual representation of ciprofloxacin docked with 5BTC, showing hydrophobic–hydrophobic interaction and hydrogen bonding with ARG 128:A, as shown by Vida. Image adapted from Elshaier et al. [65].
Figure 5. Visual representation of ciprofloxacin docked with 5BTC, showing hydrophobic–hydrophobic interaction and hydrogen bonding with ARG 128:A, as shown by Vida. Image adapted from Elshaier et al. [65].
Molecules 27 04723 g005
Figure 6. Visual representation of compounds 61c, 61o, and 61l docked with 5BTC, showing no hydrogen bond interaction, as shown by Vida. Image adapted from Elshaier et al. [65].
Figure 6. Visual representation of compounds 61c, 61o, and 61l docked with 5BTC, showing no hydrogen bond interaction, as shown by Vida. Image adapted from Elshaier et al. [65].
Molecules 27 04723 g006
Figure 7. Visual representation of compound 61d docked with 4URM and overlay with 61c, 61a, and 61f. The compounds showed hydrogen bonding between the sulfur of the pyrimidine ring and ASN 145:A, as shown by Vida. Image adapted from Elshaier et al. [65].
Figure 7. Visual representation of compound 61d docked with 4URM and overlay with 61c, 61a, and 61f. The compounds showed hydrogen bonding between the sulfur of the pyrimidine ring and ASN 145:A, as shown by Vida. Image adapted from Elshaier et al. [65].
Molecules 27 04723 g007
Scheme 5. Three-component synthesis of pyrazolo-oxothiazolidine derivatives 99 as antiproliferative agents.
Scheme 5. Three-component synthesis of pyrazolo-oxothiazolidine derivatives 99 as antiproliferative agents.
Molecules 27 04723 sch005
Scheme 6. Three-component synthesis of (E)-2-(2-((3-aryl-1-phenyl-1H-pyrazol-4-yl)methylene)hydrazinyl)-4-arylthiazoles 100 as apoptosis inducers.
Scheme 6. Three-component synthesis of (E)-2-(2-((3-aryl-1-phenyl-1H-pyrazol-4-yl)methylene)hydrazinyl)-4-arylthiazoles 100 as apoptosis inducers.
Molecules 27 04723 sch006
Scheme 7. Three-component synthesis and anticancer activity of imidazo[1,2-b]pyrazole-7-carboxamide derivatives 101.
Scheme 7. Three-component synthesis and anticancer activity of imidazo[1,2-b]pyrazole-7-carboxamide derivatives 101.
Molecules 27 04723 sch007
Scheme 8. Four-component synthesis of 4-(3-(4-fluorophenyl)-1-phenyl-1H-pyrazol-4-yl)-2-hydroxy-6-(naphthalen-1-yl)nicotinonitrile 107 with anticancer activity.
Scheme 8. Four-component synthesis of 4-(3-(4-fluorophenyl)-1-phenyl-1H-pyrazol-4-yl)-2-hydroxy-6-(naphthalen-1-yl)nicotinonitrile 107 with anticancer activity.
Molecules 27 04723 sch008
Scheme 9. Three-component synthesis of pyrazolo[3,4-d]pyrimidin-4-ol derivatives 109 with anticancer activity.
Scheme 9. Three-component synthesis of pyrazolo[3,4-d]pyrimidin-4-ol derivatives 109 with anticancer activity.
Molecules 27 04723 sch009
Scheme 10. Three-component synthesis of copper(I) complexes 111 with pyrazole-linked triphenylphosphine moieties as mitochondria- and nucleolus-labelling probes.
Scheme 10. Three-component synthesis of copper(I) complexes 111 with pyrazole-linked triphenylphosphine moieties as mitochondria- and nucleolus-labelling probes.
Molecules 27 04723 sch010
Scheme 11. Four-component synthesis and anticancer evaluation of 1,2,3-triazolyl-pyridine hybrids 113.
Scheme 11. Four-component synthesis and anticancer evaluation of 1,2,3-triazolyl-pyridine hybrids 113.
Molecules 27 04723 sch011
Scheme 12. Three-component synthesis and anticancer evaluation of 3H-pyrazolo[4,3-f]quinoline derivatives 116 and 117. Reaction conditions: (a) (i) EtOH, reflux, 2 h, and (ii) cyclic ketone 44, catalyst HCl, reflux, 12 h; (b) (i) THF, reflux, 2 h, and (ii) acyclic ketone or acetophenone 44 and I2 (10 mol%), reflux, 12 h.
Scheme 12. Three-component synthesis and anticancer evaluation of 3H-pyrazolo[4,3-f]quinoline derivatives 116 and 117. Reaction conditions: (a) (i) EtOH, reflux, 2 h, and (ii) cyclic ketone 44, catalyst HCl, reflux, 12 h; (b) (i) THF, reflux, 2 h, and (ii) acyclic ketone or acetophenone 44 and I2 (10 mol%), reflux, 12 h.
Molecules 27 04723 sch012
Scheme 13. One-pot four-component synthesis and anticancer evaluation of 3-(1H-pyrazol-1-yl)-6,7-dihydro-5H-[1,2,4]triazolo[3,4-b][1,3,4]thiadiazine derivatives 121.
Scheme 13. One-pot four-component synthesis and anticancer evaluation of 3-(1H-pyrazol-1-yl)-6,7-dihydro-5H-[1,2,4]triazolo[3,4-b][1,3,4]thiadiazine derivatives 121.
Molecules 27 04723 sch013
Scheme 14. Microwave-assisted four-component synthesis of 1,4-dihydropyrano[2,3-c]pyrazoles 124 as anticancer agents.
Scheme 14. Microwave-assisted four-component synthesis of 1,4-dihydropyrano[2,3-c]pyrazoles 124 as anticancer agents.
Molecules 27 04723 sch014
Scheme 15. Three-component synthesis and anticancer evaluation of thiazolyl-based pyrazoles 126.
Scheme 15. Three-component synthesis and anticancer evaluation of thiazolyl-based pyrazoles 126.
Molecules 27 04723 sch015
Scheme 16. Three-component synthesis and anticancer activity of new 4-(4-oxo-4H-chromen-3-yl)pyrano[2,3-c]pyrazoles 128a−d and 5-(4-oxo-4H-chromen-3-yl)pyrano[2,3-d]pyrimidines 129a−d.
Scheme 16. Three-component synthesis and anticancer activity of new 4-(4-oxo-4H-chromen-3-yl)pyrano[2,3-c]pyrazoles 128a−d and 5-(4-oxo-4H-chromen-3-yl)pyrano[2,3-d]pyrimidines 129a−d.
Molecules 27 04723 sch016
Scheme 17. Three-component synthesis and antifungal activity of highly functionalized 1,2,4-triazole-5(4H)-thiones 132 and 134.
Scheme 17. Three-component synthesis and antifungal activity of highly functionalized 1,2,4-triazole-5(4H)-thiones 132 and 134.
Molecules 27 04723 sch017
Figure 8. Ligand–receptor interaction profiles by molecular docking. (A) Interactions between 4WMZ and 61h, and (B) interactions between 4WMZ and 61l. Image adapted from Elshaier et al. [65].
Figure 8. Ligand–receptor interaction profiles by molecular docking. (A) Interactions between 4WMZ and 61h, and (B) interactions between 4WMZ and 61l. Image adapted from Elshaier et al. [65].
Molecules 27 04723 g008
Figure 9. Docking molecular of the compound 21o with N-myristoyl transferase (PDB ID code: 1IYL) from Candida albicans. Image adapted from Barakat et al. [31].
Figure 9. Docking molecular of the compound 21o with N-myristoyl transferase (PDB ID code: 1IYL) from Candida albicans. Image adapted from Barakat et al. [31].
Molecules 27 04723 g009
Scheme 18. (a) Three-component synthesis of fused indolo-pyrazoles 136 for evaluation of their antifungal activity, (b) plausible mechanism for the synthesis of compounds 136.
Scheme 18. (a) Three-component synthesis of fused indolo-pyrazoles 136 for evaluation of their antifungal activity, (b) plausible mechanism for the synthesis of compounds 136.
Molecules 27 04723 sch018
Scheme 19. One-pot four-component synthesis and antifungal activity of benzylpyrazolyl-coumarin derivatives 139.
Scheme 19. One-pot four-component synthesis and antifungal activity of benzylpyrazolyl-coumarin derivatives 139.
Molecules 27 04723 sch019
Scheme 20. Na2CaP2O7-Catalyzed four-component synthesis of pyrano[2,3-c]pyrazole derivatives 140 and evaluation of their antioxidant activity.
Scheme 20. Na2CaP2O7-Catalyzed four-component synthesis of pyrano[2,3-c]pyrazole derivatives 140 and evaluation of their antioxidant activity.
Molecules 27 04723 sch020
Scheme 21. Three-component synthesis of the pyrano[2,3-c]pyrazole-5-carbonitrile 141 and evaluation of its antioxidant activity.
Scheme 21. Three-component synthesis of the pyrano[2,3-c]pyrazole-5-carbonitrile 141 and evaluation of its antioxidant activity.
Molecules 27 04723 sch021
Scheme 22. Three-component synthesis of tetrahydrobenzo[b]pyran derivatives 142 with antioxidant activity.
Scheme 22. Three-component synthesis of tetrahydrobenzo[b]pyran derivatives 142 with antioxidant activity.
Molecules 27 04723 sch022
Scheme 23. Pseudo four-component synthesis of imidazolylpyrazoles 144 as α-glucosidase inhibitors.
Scheme 23. Pseudo four-component synthesis of imidazolylpyrazoles 144 as α-glucosidase inhibitors.
Molecules 27 04723 sch023
Figure 10. (A) Overall structure of the oligo-1,6-glucosidase (PDB ID: 3A4A) from Saccharomyces cerevisiae with compound 144j, and (B) 2D interactions for compound 144j. Image adapted from Chaudhry et al. [137].
Figure 10. (A) Overall structure of the oligo-1,6-glucosidase (PDB ID: 3A4A) from Saccharomyces cerevisiae with compound 144j, and (B) 2D interactions for compound 144j. Image adapted from Chaudhry et al. [137].
Molecules 27 04723 g010
Figure 11. (A) The overall structure of the oligo-1,6-glucosidase (PDB ID: 3A4A) from Saccharomyces cerevisiae with compound 145f, and (B) 2D interactions for compound 145f. Image adapted from Chaudhry et al. [138].
Figure 11. (A) The overall structure of the oligo-1,6-glucosidase (PDB ID: 3A4A) from Saccharomyces cerevisiae with compound 145f, and (B) 2D interactions for compound 145f. Image adapted from Chaudhry et al. [138].
Molecules 27 04723 g011
Scheme 24. Three-component synthesis of pyrazole-triazolopyrimidine hybrids 147 as α-glucosidase inhibitors.
Scheme 24. Three-component synthesis of pyrazole-triazolopyrimidine hybrids 147 as α-glucosidase inhibitors.
Molecules 27 04723 sch024
Scheme 25. The plausible mechanism for the synthesis of pyrazole-triazolopyrimidine hybrids 147.
Scheme 25. The plausible mechanism for the synthesis of pyrazole-triazolopyrimidine hybrids 147.
Molecules 27 04723 sch025
Figure 12. 3D Interactions of compounds 151g, 151h, and acarbose with binding sites of Aspergillus oryzae α-amylase (PDB ID: 7TAA). Image adapted from Duhan et al. [140].
Figure 12. 3D Interactions of compounds 151g, 151h, and acarbose with binding sites of Aspergillus oryzae α-amylase (PDB ID: 7TAA). Image adapted from Duhan et al. [140].
Molecules 27 04723 g012
Figure 13. 3D Interactions of indenopyrazoles 37j (left) and 37k (right) with binding sites of Aspergillus oryzae α-amylase (PDB ID: 7TAA). Image adapted from Mor et al. [36].
Figure 13. 3D Interactions of indenopyrazoles 37j (left) and 37k (right) with binding sites of Aspergillus oryzae α-amylase (PDB ID: 7TAA). Image adapted from Mor et al. [36].
Molecules 27 04723 g013
Figure 14. (a) 2D model enumerating the interactions between ligand 153c and InhA enzyme, (b) 3D model of compound 153c in the binding pocket of the InhA enzyme. Image adapted from Bhatt et al. [147].
Figure 14. (a) 2D model enumerating the interactions between ligand 153c and InhA enzyme, (b) 3D model of compound 153c in the binding pocket of the InhA enzyme. Image adapted from Bhatt et al. [147].
Molecules 27 04723 g014
Scheme 26. Plausible mechanism for the ultrasound-assisted multicomponent synthesis of spirooxindolopyrrolizidine derivatives 157.
Scheme 26. Plausible mechanism for the ultrasound-assisted multicomponent synthesis of spirooxindolopyrrolizidine derivatives 157.
Molecules 27 04723 sch026
Scheme 27. Three-component synthesis of densely substituted pyrazolo [3,4-b]pyridines 158 as antimalarial agents.
Scheme 27. Three-component synthesis of densely substituted pyrazolo [3,4-b]pyridines 158 as antimalarial agents.
Molecules 27 04723 sch027
Scheme 28. Pseudo-four-component synthesis of imidazolylpyrazoles 165 as antiurease agents.
Scheme 28. Pseudo-four-component synthesis of imidazolylpyrazoles 165 as antiurease agents.
Molecules 27 04723 sch028
Figure 15. 3D and 2D Interactions of compounds 165k and 165l with the amino acids of 4GY7. Image adapted from Chaudhry et al. [164].
Figure 15. 3D and 2D Interactions of compounds 165k and 165l with the amino acids of 4GY7. Image adapted from Chaudhry et al. [164].
Molecules 27 04723 g015
Scheme 29. Microwave-assisted three-component synthesis of pyrazolo-tetrahydroquinolinones 166 as GSK3α and GSK3β inhibitors.
Scheme 29. Microwave-assisted three-component synthesis of pyrazolo-tetrahydroquinolinones 166 as GSK3α and GSK3β inhibitors.
Molecules 27 04723 sch029
Table 1. Four-component synthesis and antimicrobial evaluation of pyrano[2,3-c]pyrazole derivatives 9 and 10.
Table 1. Four-component synthesis and antimicrobial evaluation of pyrano[2,3-c]pyrazole derivatives 9 and 10.
Molecules 27 04723 i001
CompoundRR1Yield 9 (%)Yield 10 (%)MIC (μg/mL)
BSCTSPSTPAVC
9a2-OHC6H4Me92--3.573.575.001.871.253.125
9b4-MeC6H4Me91--1.250.103.1253.577.501.87
9c4-MeOC6H4Me91--3.1257.502.506.251.251.00
9dC6H5Me93--3.571.001.255.001.876.25
9e2-FuranylMe90--2.501.875.006.253.571.25
9f2-OHC6H4EtO91--3.1251.872.505.003.1256.25
9g4-MeC6H4EtO89--1.001.253.753.1255.000.93
9h4-MeOC6H4EtO90--0.751.001.253.752.505.00
9iC6H5EtO91--1.002.503.752.503.1256.25
9j9-AnthracenylEtO86--1.250.931.873.753.1257.50
9k2-FuranylEtO91--0.101.000.100.500.752.50
10a2-OHC6H4Me--891.870.931.253.1251.875.00
10b4-MeC6H4Me--851.871.002.505.003.576.25
10c4-MeOC6H4Me--861.873.1256.251.876.257.50
10dC6H5Me--883.1251.002.503.751.255.00
10e2-FuranylMe--860.750.101.251.872.503.125
Ciprofloxacin b--------6.256.253.1253.1253.1253.125
a Reaction conditions: (hetero)aromatic aldehyde 1 (1 mmol), hydrazine hydrate 4 (1 mmol), ethyl acetoacetate 8a or diethyl malonate 8b (1 mmol), malononitrile 2 or diethyl malonate 8b (1 mmol), and piperidine (5 mol%) at room temperature for 20 min. b Positive control for the study. BS (Bacillus subtilis), CT (Clostridium tetani), SP (Streptococcus pneumoniae), ST (Salmonella typhi), PA (Pseudomonas aeruginosa), VC (Vibrio cholerae).
Table 2. Solvent-free five-component synthesis of pyrano[2,3-c]pyrazoles 12 as antimicrobial agents.
Table 2. Solvent-free five-component synthesis of pyrano[2,3-c]pyrazoles 12 as antimicrobial agents.
Molecules 27 04723 i002
CompoundRYield 12 (%)Zone of Inhibition (mm)
SABSPVEC
50 μg/Well100 μg/Well50 μg/Well100 μg/Well50 μg/Well100 μg/Well50 μg/Well100 μg/Well
12aC6H5851113131516202024
12b2-MeOC6H4813656691012
12c3-OHC6H486698910131216
12d4-ClC6H4911516182122262731
12e2-OHC6H48281091111151418
12f4-NO2C6H4901619212425283134
12g4-FC6H4871618192223272933
12h4-OHC6H489910101213181721
12i4-MeOC6H48457678111113
12j2-MeC6H48200000000
12k4-MeC6H48600000000
12l2-ClC6H4831416171920242529
12m3-FC6H4881315141617232226
12n4-BrC6H4851012111314191923
Ciprofloxacin b----2124232631333236
a Reaction conditions: 2-thiolyl-5-methyl-1,3,4-thiadiazole 11 (1.1 mmol), aldehyde 1 (1 mmol), malononitrile 2 (1 mmol), ethyl 4-chloro-3-oxobutanoate 8 (1 mmol), hydrazine hydrate 4 (1 mmol), and montmorillonite K10, 65–70 °C, 5 h. b Positive control for the study. SA (Staphylococcus aureus), BS (Bacillus subtilis), PV (Proteus vulgaris), EC (Escherichia coli).
Table 3. Ultrasound-assisted four-component synthesis of pyrano[2,3-c]pyrazoles 18 as antimicrobial agents.
Table 3. Ultrasound-assisted four-component synthesis of pyrano[2,3-c]pyrazoles 18 as antimicrobial agents.
Molecules 27 04723 i003
CompoundRYield 18 (%)MIC (μg/mL)
ECPASSSA
18aH9420302520
18b4-Me8525354525
18c3-NO28930454540
18d3-OH8430303030
18e2-Me8725403535
18f2-NO29235453520
18g4-MeO8535302535
18h4-Br9340254545
18i4-iPr8645403540
18j2-Cl9035304535
Cefazolin b---->35>35>35>35
a Reaction conditions: Aldehyde 1 (1 mmol), malononitrile 2 (1 mmol), ethyl 3-oxo-3-phenylpropanoate 17 (1 mmol), hydrazine hydrate 4 (1.5 mmol), and graphene oxide (10 mol%) in H2O (5 mL) at r.t for 2–6 min under ultrasound irradiation. b Positive control for the study. EC (Escherichia coli), PA (Pseudomonas aeruginosa), SS (Staphylococcus saprophyticus), SA (Staphylococcus aureus).
Table 4. Four-component synthesis and antibacterial evaluation of pyrazole-dimedone derivatives 21.
Table 4. Four-component synthesis and antibacterial evaluation of pyrazole-dimedone derivatives 21.
Molecules 27 04723 i004
CompoundRYield 21 (%)SAEFBS
CPM (mm)MIC (μg/L)CPM (mm)MIC (μg/L)CPM (mm)MIC (μg/L)
21a2,4-diClC6H378133214321232
21bC6H562153213161516
21c4-ClC6H450133224321632
21d4-MeC6H462163216321832
21e3-MeC6H466191615321464
21f4-BrC6H471143213641532
21g3-BrC6H470143215321632
21h4-NO2C6H452126414321632
21i3-NO2C6H463143212641732
21j4-MeOC6H464106413321032
21k4-FC6H45713321332208
21l4-CF3C6H476161616321632
21m2,6-diClC6H340153213321232
21n2-Naphthyl76143213321532
21o2-Thienyl75133220321516
Ciprofloxacin a----27≤0.2524≤0.2525≤0.25
a Positive control for the study. SA (Staphylococcus aureus), EF (Enterococcus faecalis), BS (Bacillus subtilis).
Table 5. One-pot three-component synthesis and antibacterial activity of coumarin substituted thiazolyl-3-aryl-pyrazole-4-carbaldehydes 25.
Table 5. One-pot three-component synthesis and antibacterial activity of coumarin substituted thiazolyl-3-aryl-pyrazole-4-carbaldehydes 25.
Molecules 27 04723 i005
CompoundRR1R2Yield 25 (%)MIC (μg/mL)
ECKPPVMRSABSBC
25aHHH84135150133150132145
25bHClH80134.6129130150129.5138.6
25cClClH75119.6118131.5115123117
25dHBrH80118.1116.8124116125129
25eBrBrH85115.6119120116.8118119
25fHBenzoH78132.8150150135122.8138.9
25gHClCl77126.3117.4130.7134112.2110.8
25hClClCl73110.9105113112.5110.7112
25iHBrCl83117.5115127.5122.9119.7115
25jMeOHCl82125.3129132.3139132.6126
25kHHMe77132.5150150150150135
25lHBrMe82134.6124121.8138.1125126
25mClClMe81101.3100.9105115.698.2100.1
25nBrBrMe8586.579.1100.7105.992.472.8
25oMeOHMe82132.7150142150150136
Gentamycin b--------244224510
Ampicillin b--------10-- c-- c454
a Reaction conditions: 3-(2-bromoacetyl)coumarin derivative 22 (1 mmol), thiosemicarbazide 23 (1 mmol), substituted acetophenone 24 (1 mmol), DMF (5 mL), POCl3 (5 mmol), 0–60 °C, 5–6 h. b Positive control for the study. c Not determined. EC (Escherichia coli), KP (Klebsiella pneumoniae), PV (Proteus vulgaris), MRSA (Methicillin-resistant Staphylococcus aureus), BS (Bacillus subtilis), and BC (Bacillus cereus).
Table 6. Three-component synthesis and antibacterial activity of spiropyrrolidine-oxindoles 29.
Table 6. Three-component synthesis and antibacterial activity of spiropyrrolidine-oxindoles 29.
Molecules 27 04723 i006
CompoundRR1XYield 29 (%)MIC (μg/mL)
STKPPVSFMLEASESAMRSA
29aHHCH29225031.212531.231.262.562.531.231.2
29bAllylHCH286500500250250250250125125250
29cn-ButylHCH290125250250-- c50050062.5125500
29dMeHCH293500500250250500250250250125
29ePropargylHCH287125250250500500250125500250
29fHNO2CH280250250125500500250250125500
29gHHS91500500500500500500500500500
29hAllylHS88250500500500500250125250500
29iBenzylHS8625025050050025025012562.5500
29jn-ButylHS93250500500500250500250250500
29kMeHS89-- c500500500-- c250500125500
Streptomycin b--------306.25-- c6.256.25256.256.256.25
a Reaction conditions: (E)-3-(1,3-diphenyl-1H-pyrazol-4-yl)-2-(1H-indole-3-carbonyl)acrylonitrile 26 (1 mmol), isatin derivative 27 (1 mmol), and amino acid 28 (1.1 mmol), MeOH (5 mL), reflux, 3 h. b Positive control for the study. c Not determined. ST (Salmonella typhimurium), KP (Klebsiella pneumoniae), PV (Proteus vulgaris), SF (Shigella flexneri), ML (Micrococcus luteus), EA (Enterobacter aerogenes), SE (Staphylococcus epidermidis), SA (Staphylococcus aureus), MRSA (Methicillin-resistant Staphylococcus aureus).
Table 7. One-pot three-component synthesis and antibacterial activity of 4-[(3-aryl-1-phenyl-1H-pyrazol-4-yl)methylidene]-2,4-dihydro-3H-pyrazol-3-ones 34.
Table 7. One-pot three-component synthesis and antibacterial activity of 4-[(3-aryl-1-phenyl-1H-pyrazol-4-yl)methylidene]-2,4-dihydro-3H-pyrazol-3-ones 34.
Molecules 27 04723 i007
CompoundRYield 34 (%)Zone of Inhibition (mm)
SABSPAEC
34aC6H58415.812.013.514.3
34b4-FC6H48517.211.612.011.5
34c4-ClC6H48814.08.910.910.8
34d4-BrC6H48814.18.011.210.5
34e4-MeC6H4909.08.49.610.2
34f4-MeOC6H49210.07.98.89.2
34g3-MeOC6H48512.29.412.08.0
34h4-OHC6H4829.611.09.79.7
34i4-NO2C6H48214.88.810.311.8
34j2,4-(Cl)2C6H38615.610.812.112.0
Norfloxacin b----25.619.224.224.0
a Reaction conditions: 3-aryl-1-phenyl-1H-pyrazole-4-carbaldehyde 31 (1 mmol), ethyl acetoacetate 3 (1 mmol), hydrazine hydrate 4 (1 mmol), and sodium acetate (2 mmol), EtOH (5 mL), reflux, 1 h. b Positive control for the study. SA (Staphylococcus aureus), BS (Bacillus subtilis), PA (Pseudomonas aeruginosa), EC (Escherichia coli).
Table 8. One-pot three-component synthesis of 3-alkyl-1-(4-(aryl/heteroaryl)thiazol-2- yl)indeno[1,2-c]pyrazol-4(1H)-ones 37 as antibacterial agents.
Table 8. One-pot three-component synthesis of 3-alkyl-1-(4-(aryl/heteroaryl)thiazol-2- yl)indeno[1,2-c]pyrazol-4(1H)-ones 37 as antibacterial agents.
Molecules 27 04723 i008
CompoundRR1Yield 37 (%)MIC (μmol/mL)
SABSPAEC
37aMeBiphenyl740.02970.05950.02970.0297
37bEtBiphenyl780.02880.05760.02880.0288
37ciPrBiphenyl720.05590.05590.05590.0559
37diBuBiphenyl800.02700.05410.02700.0270
37eMe2-Naphthyl720.03170.06350.03170.0317
37fEt2-Naphthyl750.06130.06130.03060.0613
37giPr2-Naphthyl790.05930.05930.05930.0593
37hiBu2-Naphthyl760.02870.05740.02870.0287
37iMe2-Benzofuranyl630.03260.06520.03260.0326
37jEt2-Benzofuranyl600.06290.06290.06290.0629
37kiPr2-Benzofuranyl580.06070.06070.06070.0607
37liBu2-Benzofuranyl530.02930.05870.02930.0293
Ciprofloxacin b------0.00940.00940.00940.0094
a Reaction conditions: 2-acyl-(1H)-indene-1,3-(2H)dione 35 (1 mmol), thiosemicarbazide 23 (1 mmol), MeOH (30 mL), reflux, 10–15 min, then α-bromoketone 36 (5 mmol), sodium acetate (5 mmol), MeOH/AcOH (2:1, v/v) (20 mL), reflux, 5–8 h. b Positive control for the study. SA (Staphylococcus aureus), BS (Bacillus subtilis), PA (Pseudomonas aeruginosa), EC (Escherichia coli).
Table 9. Schematic route for the multicomponent synthesis of pyrazole-based Ugi products 41 and their in vitro antibacterial activities (MIC) against five bacterial strains.
Table 9. Schematic route for the multicomponent synthesis of pyrazole-based Ugi products 41 and their in vitro antibacterial activities (MIC) against five bacterial strains.
Molecules 27 04723 i009
CompoundRR1Yield of 41 (%)Antibacterial Activity of the Synthesized Compounds 41 (in μM)
SAECEFEPVC
41aHH91>250>250>250>250>250
41b4-BrH51>250>250>250>250>250
41c4-MeH76>250>250>250>250>250
41dH4-F88>250>250>250>250>250
41eH4-NO27920.8531.5>25020041.25
41fH4-Cl8790.5100200>250125
41gH3,5-diCl8137.2537.25>250>25090.5
Kanamycin c------31.33.962.562.562.5
a Reaction conditions: 32 (1 mmol), 38 (1 mmol), 1 (1 mmol), 39 (1.2 mmol) in MeOH (3 mL), 35–40 C, 15–18 h, 77–96%. b Reaction conditions: 40a (1 mmol), t-butyl isocyanide 38 (1.2 mmol), catalyst Pd(OAc)2 (10 mol%), base Cs2CO3 (2 mmol), solvent DMF (2.5 mL), MWI (150 °C), 15 min under inert (N2) conditions. SA (Staphylococcus aureus), EC (Escherichia coli), EF (Enterococcus faecalis), EP (Streptococcus pyogens), VC (Vibrio cholera). c Positive control for the study, commonly used antibacterial drug.
Table 10. Multicomponent synthesis and antimicrobial activity of spiroindenopyridazine-4H-pyrane derivatives 45.
Table 10. Multicomponent synthesis and antimicrobial activity of spiroindenopyridazine-4H-pyrane derivatives 45.
Molecules 27 04723 i010
CompoundReagent 44Yield of 45 (%)Antibacterial Activity of the Synthesized Compounds 45 (in μM)
MIC’S (mM)
SA
Inhibition Zone (mm)
SA
Inhibition Zone (mm)
EC
45aMolecules 27 04723 i0119557--- a
45bMolecules 27 04723 i0129755---
45cMolecules 27 04723 i01393507---
45dMolecules 27 04723 i01498---------
45eMolecules 27 04723 i01597109---
45fMolecules 27 04723 i0169355---
45gMolecules 27 04723 i01798515---
45hMolecules 27 04723 i01896---------
45iMolecules 27 04723 i0199054---
45jMolecules 27 04723 i02092---------
Tetracycline b---------3023
DMSO---------00
a inactive at concentration 50 mM. b Positive control for the study. SA (Staphylococcus aureus), EC (Escherichia coli).
Table 11. Multicomponent synthesis and their in vitro antibacterial activity of pyranopyrazole derivatives 46 using ChCl•2 thiourea and ChCl•2 thiourea as catalysts, under both ultrasonic irradiation and reflux conditions.
Table 11. Multicomponent synthesis and their in vitro antibacterial activity of pyranopyrazole derivatives 46 using ChCl•2 thiourea and ChCl•2 thiourea as catalysts, under both ultrasonic irradiation and reflux conditions.
Molecules 27 04723 i021
CompoundRYield of 46 (%)Antibacterial Activity of the Synthesized Compounds 46 (MIC in μg•mL·1)
ECPASSSA
46aH(98) a, (95)c25203035
46b4-Me(94) a, (80) b, (90) c, (76) d30403530
46c3-NO2(93) a, (83) b, (92) c, (80) d30402540
46d3-OH(94) a, (89) b35203535
46e2-Me(97) a35203040
46f4-OH(97) a, (88) b25403025
46g2-NO2(93) a30203530
46h2-OH(88) a, (69) b40204035
46i4-OMe(98) a, (73) b40453030
46j4-Cl(91) a, (80) b, (90) c, (82) d30353535
46k4-Br(89) a35303030
46l4-N(Me)2(96) a, (75) b30252535
46m4-iPr(89) a, (80) b30453535
46n4-NO2(91) a, (89) b30451535
46o2-Cl(89) a25303515
46p3-Br(96) a15203525
Cefazolin e---->35>35>35>35
a Reaction conditions: a (EtOH, reflux at 80 °C, catalyst ChCl•2 thiourea 10 mol%), b (EtOH, reflux at 80 °C, catalyst ChCl•2 urea 10 mol%), c (sonication at rt, catalyst ChCl•2 thiourea 10 mol%), d (sonication at rt, catalyst ChCl•2 urea 10 mol%). EC (Escherichia coli), PA (Pseudomonas aeruginosa), SS (Staphylococcus saprophyticus), SA (Staphylococcus aureus). e Cefazolin is taken as a standard drug for this study.
Table 12. Pseudo three-component synthesis and antibacterial evaluation of pyrazolylbiscoumarins 47 and pyrazolylxanthenediones 48.
Table 12. Pseudo three-component synthesis and antibacterial evaluation of pyrazolylbiscoumarins 47 and pyrazolylxanthenediones 48.
Molecules 27 04723 i022
CompoundRYield of 47/48 (%)Activity (Zone of Inhibition in mm) at Various Concentrations in ppm
SAKP
5010015025050100150250
47aH801113151913141617
47bMe827911129111214
47cOMe84--81014691215
47dBr866811138111316
47eNO2821013141711121416
48aH831317181916182022
48bMe8281113149111417
48cOMe86--7912--8911
48dBr80681011791012
48eNO284--7913--81214
Streptomycin a----2125
SA (Staphylococcus aureus), KP (Klebsiella pneumoniae). a Positive control for the study.
Table 13. Three-component synthesis of pyrazolo-quinolines 51 and their in vitro antibacterial activity (MIC) against six bacterial strains.
Table 13. Three-component synthesis of pyrazolo-quinolines 51 and their in vitro antibacterial activity (MIC) against six bacterial strains.
Molecules 27 04723 i023
CompoundRR1R2Yield of 51 (%)Antibacterial Activity of Compounds 51 (MIC in μg/mL)
SPBSCTECSTVC
51a4-FCNCl81500500250100250250
51b4-FCO2EtCl7910050062.5200500200
51c4-FCONH2Cl73200200500250200200
51d4-FCNMe8462.52501252002001000
51e4-FCO2EtMe7650025010002502501000
51f4-CF3CNMe7250050050025010062.5
51g4-CF3CO2EtMe80100100500500200500
51h2,4-FCNMe7910062.5100100500500
51i2,4-FCO2EtMe73200500250500100100
51j2,4-FCNCl75500500200100200200
51k2,4-FCO2EtCl781001000250200200100
51l2,4-FCONH2Cl81500500200500500500
51m4-FCNF8320010020062.5100500
51n4-FCO2EtF71500100500100200500
51oCF3CNF7220020062.562.5100100
51pCF3CO2EtF775001000200500500100
Ampicillin a--------100250250100100100
Norfloxacin a--------1010050101010
Chloramphenicol a--------505050505050
Ciprofloxacin a--------2550100252525
SP (Streptococcus pneumoniae), BS (Bacillus subtilis), CT (Clostridium tetani), EC (Escherichia coli), ST (Salmonella typhi), VC (Vibrio cholerae). a Positive control for the study.
Table 14. Multicomponent synthesis of pyrimidine-, dihydropyridine-, and imidazole-based pyrazoles 52, 53, and 54 and their in vitro antibacterial activity.
Table 14. Multicomponent synthesis of pyrimidine-, dihydropyridine-, and imidazole-based pyrazoles 52, 53, and 54 and their in vitro antibacterial activity.
Molecules 27 04723 i024
CompoundRR1Yield of 52, 53, 54 (%)Antibacterial Activity of the Synthesized Compounds 52, 53, 54(MIC in μg·mL−1) c
SAECPAKP
52aClOEt9025 (13)25 (14)NP50 (9)
52bClOme8812.5 (15)12.5 (15)25 (10)25 (11)
52cClMe776.25 (18)6.25 (18)6.25 (19)12.5 (12)
52dFOet8912.5 (12)12.5 (14)0NP12.5 (11)
52eFOme8025 (12)12.5 (13)50 (10)25 (11)
52fFMe7212.5 (16)6.25 (16)6.25 (17)6.25 (19)
53aClOet7412.5 (14)12.5 (14)25 (11)25 (12)
53bClOme7950 (9)25 (11)NP100 (4)
53cClMe6450 (10)50 (11)50 (9)NP
53dFOet7225 (11)25 (10)NP12.5 (12)
53eFOme6512.5 (13)12.5 (15)25 (10)12.5 (15)
53fFMe6250 (7)50 (8)100 (8)NP
54aCl--86NP25 (12)12.5 (10)NP
54bF--7850 (10)25 (11)25 (9)100 (5)
Streptomycin d-- --6.25 (20)6.25 (17)6.25 (19)6.25 (18)
a Biginelli reaction conditions: A mixture of compound 31 (2 mol), type keto-derivative 3 (2.2 mol), urea (3 mol), and HCl (0.5 mL) in ethanol was heated to reflux for 6 h. b Hantzsch reaction conditions: A mixture of compound 31 (1.0 mol), type keto-derivative 3 (2 mol), and ammonium acetate (1.1 mol) in ethanol (20 mL) was refluxed for 8 h. c Values in brackets correspond to zone of inhibition in mm. SA (Staphylococcus aureus), EC (Escherichia coli), PA (Pseudomonas aeruginosa), KP (Klebsiella pneumonia). d Positive control for the study.
Table 15. Three-component synthesis of thiadiazole-1H-pyrazol-4-yl-thiazolidin-4-ones 57 and their in vitro antibacterial activity (MBC) against six bacterial strains.
Table 15. Three-component synthesis of thiadiazole-1H-pyrazol-4-yl-thiazolidin-4-ones 57 and their in vitro antibacterial activity (MBC) against six bacterial strains.
Molecules 27 04723 i025
CompoundRYield of 57 (%) aAntibacterial Activity of Compounds 57 (MBC in μg/mL)
MRSASAECPASTKP
57aH96 (74)125062525002500625625
57b4-F94 (62)625625625312.5625625
57c4-Br95 (56)625312.5312.5312.5625625
57d3-F91 (55)125078.5312.52500312.5625
57e3-Cl94 (58)1250625312.512509.8625
57f3-Br93 (60)156.3625156.3312.5625625
57g4-NO297 (64)62539.14.9156.3312.5500
57h3-NO292 (56)312.5156.339.1625625156.3
57i4-Me96 (57)250025001250125025001250
57j4-OMe95 (61)12506251250125012501250
57k3,4,5-OMe91 (62)125062512502500625625
57l3,4-OMe93 (60)250062562525006251250
Ciprofloxacin b----62539.11.226251.224.9
a Yields in brackets were obtained under conventional heating at 50 °C. MRSA (Methicillin-resistant Staphylococcus aureus), SA (Staphylococcus aureus), EC (Escherichia coli), PA (Pseudomonas aeruginosa), ST (Salmonella typhimurium), KP (Klebsiella pneumonia). b Positive control for the study.
Table 16. Microwave-assisted three-component synthesis of pyrano-pyrazole derivatives 59 and their in vitro antibacterial activity evaluation against a panel of six pathogenic strains.
Table 16. Microwave-assisted three-component synthesis of pyrano-pyrazole derivatives 59 and their in vitro antibacterial activity evaluation against a panel of six pathogenic strains.
Molecules 27 04723 i026
CompoundReagent 58RR1Yield of 59 (%)Antibacterial Activity of Compounds 59 (MIC in μg/mL)
BSCTSAECSTVC
59aMolecules 27 04723 i027HF71250250500200200250
59bHMe83250100250500500250
59cMeF78250100125200250200
59dMeMe79500500500200250500
59eMolecules 27 04723 i028HF78100250500250500250
59fHMe72200500100250250200
59gMeF75250250250200250250
59hMeMe70250250250125100125
59iMolecules 27 04723 i029HF73250100500100200100
59jHMe83200250500125100250
59kMeF8110010062.5200125125
59lMeMe84500200200100200100
59mMolecules 27 04723 i030HF75200100500200250200
59nHMe86500500200200200500
59oMeF70125500500125100100
59pMeMe82100100500200250100
59qMolecules 27 04723 i031HF68250500250100125250
59rHMe73500250250250250500
59sMeF7525025025062.5100250
59tMeMe76250250500250500250
Ampicillin a--------100250100100100250
Norfloxacin a--------1050101010100
Chloramphenicol a--------505050505050
Ciprofloxacin a--------5010025252550
BS (Bacillus subtilis), CT (Clostridium tetani), SA (Staphylococcus aureus), EC (Escherichia coli), ST (Salmonella typhi), VC (Vibrio cholerae). a Positive control for the study.
Table 17. Three-component synthesis of pyrazole-thiobarbituric derivatives 61 and their in vitro antibacterial activity against three Gram-positive bacterial strains.
Table 17. Three-component synthesis of pyrazole-thiobarbituric derivatives 61 and their in vitro antibacterial activity against three Gram-positive bacterial strains.
Molecules 27 04723 i032
CompoundArYield of 61 (%) aAntibacterial Activity of Compounds 61 (MBC in μg/L) a
SAEFBS
CPM
(mm)
MIC
(μg/L)
CPM
(mm)
MIC
(μg/L)
CPM
(mm)
MIC
(μg/L)
133215321232
61bPh83123212321032
61c4-ClC6H484141612161132
61d4-MeC6H473Nil12891281164
61e3-MeC6H478Nil12810641164
61f4-BrC6H488Nil12810641164
61g3-BrC6H473133212641164
61h4-NO2C6H473133216321164
61i3-NO2C6H472143216321332
61j4-MeOC6H469143218161332
61k4-CF3C6H463136410321132
61l2,4-Cl2C6H368133220321516
61m2,6-Cl2C6H365133224321632
61n2-Naphthyl67143211321132
61oThiophen-2-yl781432Nil321116
Ciprofloxacin b----27≤0.2524≤0.2525≤0.25
aSA (Staphylococcus aureus), EF (Staphylococcus faecalis), BS (Bacillus subtilis), ST (Salmonella typhimurium), KP (Klebsiella pneumonia). b Standard drug.
Table 18. Three-component synthesis of pyrazolo-diazepinones (64–70)a/(71–77)b and their in vitro antibacterial activity (MIC) against six bacterial strains.
Table 18. Three-component synthesis of pyrazolo-diazepinones (64–70)a/(71–77)b and their in vitro antibacterial activity (MIC) against six bacterial strains.
Molecules 27 04723 i033
CompoundRR1Yield of
(64–70)a/(71–77)b (%)
Antibacterial Activity of Compounds (64–70)a/(71–77)b (MIC in μg/mL)
Gram-Positive BacteriaGram-Negative Bacteria
SPVCECECECEC
64aHPhO87250500250500500500
64′aCOPhPhO76100250500500250500
65aHMeC6H4O67250250500250500250
65′aCOPhMeC6H4O78200250250500250200
66aHClC6H4O79250250500200500500
66′aCOPhClC6H4O89125125500250250250
67aHPhS87200200500500500500
67′aCOPhPhS74250250250250500500
68aHClC6H4S87125250250500250250
68′aCOPhClC6H4S73200200200250250200
69aHAllyl-S86125250500250500500
69′aCOPhAllyl-S64250250500100500500
70aHBn-S64200250500200500500
70′aCOPhBn-S69500200500250500500
71bHPhO79200200500200250250
71′bCOPhPhO6962.5125500250250500
72bHMeC6H4O7720020025050250200
72′bCOPhMeC6H4O72125125200200100125
73bHClC6H4O87125200125125125200
73′bCOPhClC6H4O7562.562.510062.510062.5
74bHPhS89200250500250250200
74′bCOPhPhS86200200250200200200
75bHClC6H4S79125200250200250200
75′bCOPhClC6H4S6862.512562.512550100
76bHAllyl-S58250250500250250500
76′bCOPhAllyl-S76200200500250200250
77bHBn-S70250250500500250500
77′bCOPhBn-S72250500500500500500
Gentamycin a------0.551550.05
Ampicillin a------100250250100100100
Chloramphenicol a------505050505050
Ciprofloxacin a------5010050252525
Norfloxacin a------1050100101010
SP (Streptococcus pneumoniae), CT (Clostridium tetani), BS (Bacillus subtilis), ST (Salmonella typhi), VC (Vibrio cholera), EC (Escherichia coli). a Standard drugs.
Table 19. Three-component synthesis of thiazolo[2,3-b]dihydropyrimidinones 80 and their in vitro antibacterial activity against four bacterial strains.
Table 19. Three-component synthesis of thiazolo[2,3-b]dihydropyrimidinones 80 and their in vitro antibacterial activity against four bacterial strains.
Molecules 27 04723 i034
CompoundRR1R2Yield of 80 (%)Antibacterial Activity of Compounds 80 (Zone of Inhibition in mm)
ECSAPAKP
80a3-F, 4-MeClCl9117.915.915.915.4
80b2,5-(OMe)2ClCl8917.515.214.416.2
80cHClCl6711.211.910.612.9
80d4-OMeClCl8816.313.715.214.4
80e3-F, 4-MeFF7212.212.411.110.4
80f2,5-(OMe)2FF749.99.511.710.3
80gHFF817.15.310.68.1
80h4-OMeFF739.39.17.29.4
80i3-F, 4-MeClH599.511.212.210.6
80j2,5-(OMe)2ClH7211.68.211.612.4
80kHClH707.75.210.45.1
80l4-OMeClH4910.911.510.17.0
80m3-F, 4-MeFH668.19.95.49.6
80n2,5-(OMe)2FH7510.111.411.612.8
80oHFH867.29.611.49.1
80p4-OMeFH767.410.011.211.1
Streptomycin a--------18.516.219.216.6
EC (Escherichia coli), SA (Staphylococcus aureus), PA (Pseudomonas aeruginosa), KP (Klebsiella pneumoniae). a Standard drug for the study.
Table 20. Four-component synthesis of 1H-1,2,3-triazole-tethered pyrazolo[3,4-b]pyridin-6(7H)-ones 84 and their in vitro antibacterial activity against four bacterial strains.
Table 20. Four-component synthesis of 1H-1,2,3-triazole-tethered pyrazolo[3,4-b]pyridin-6(7H)-ones 84 and their in vitro antibacterial activity against four bacterial strains.
Molecules 27 04723 i035
CompoundArRYield of 84 (%)Antibacterial Activity of Compounds 84 (Diameter of Growth of Inhibition Zone (mm))
SABSSEBC
84a4-MeOC6H4H8216.017.319.618.6
84b3-Cl,4-FC6H3H9015.316.317.314.3
84c4-FC6H4H8615.315.616.316.3
84d4-BrC6H4H8414.316.315.317.0
84e4-MeC6H4H8018.620.319.321.6
84f3-ClC6H4H8416.017.320.619.3
84g3-Cl,4-FC6H3MeO9217.319.320.618.6
84h4-FC6H4MeO8415.315.617.316.6
84i4-BrC6H4MeO8614.616.315.316.3
84j4-MeOC6H4MeO8019.321.620.321.3
84k4-MeC6H4MeO8221.622.322.623.6
84l3-ClC6H4MeO8418.620.318.619.3
Ciprofloxacin a------26.624.019.623.0
SA (Staphylococcus aureus), BS (Bacillus subtilis), SE (Staphylococcus epidermidis), BC (Bacillus cereus). a Standard drug for the study.
Table 21. Four-component synthesis of pyrano[2,3-c]pyrazoles 86 and their in vitro antibacterial activity against three bacterial strains.
Table 21. Four-component synthesis of pyrano[2,3-c]pyrazoles 86 and their in vitro antibacterial activity against three bacterial strains.
Molecules 27 04723 i036
CompoundArR1Yield of 86 (%)Antibacterial Activity of Compounds 86 (Diameter of Growth of Inhibition Zone (mm))
MLBSPA
86a4-ClC6H4Me95--11--
86b4-MeC6H4Me90------
86c4-MeOC6H4Me88------
86d3-ClC6H4Me95------
86ePyridine-3-ylMe95------
86f3-MeOC6H4Me90------
86gNaphtalen-1-ylMe85------
86hThiophen-2-ylMe95------
86i9H-Fluoren-2-ylMe86108--
86j2,4-Cl2C6H3Me96------
86k3,4-(MeO)2C6H3Me8714----
86lNaphtalen-2-ylMe861611--
86m4-ClC6H4Ph90------
86n3-NO2C6H4Ph9588--
86o3-BrC6H4Ph94------
Erythromycin a------101210
Tetracycline a------161418
ML (Micrococcus Luteus), BS (Bacillus subtilis), PA (Pseudomonas aeruginosa). a Standard drug for the study.
Table 22. Four-component synthesis of spiro-conjugated pyrano[2,3-c]pyrazoles 87 and their in vitro antibacterial activity against three bacterial strains.
Table 22. Four-component synthesis of spiro-conjugated pyrano[2,3-c]pyrazoles 87 and their in vitro antibacterial activity against three bacterial strains.
CompoundR2R1RYield of 87 (%)Antibacterial Activity of Compounds 87 (Diameter of Growth of Inhibition Zone (mm))
MLBSPA
87aCNMe--96------
87bCO2EtMe--9388--
87cCNPr--9685--
87dCNMeH96----10
87eCNPrH958----
87fCNPhH88------
87gCNMeCl8514----
Erythromycin a--------101210
Tetracycline a--------161418
ML (Micrococcus Luteus), BS (Bacillus subtilis), PA (Pseudomonas aeruginosa). a Standard drug for the study.
Table 23. Five-component synthesis of dihydropyrano[2,3-c]pyrazoles 88 and their in vitro antibacterial activity against four bacterial strains.
Table 23. Five-component synthesis of dihydropyrano[2,3-c]pyrazoles 88 and their in vitro antibacterial activity against four bacterial strains.
Molecules 27 04723 i037
CompoundArYield of 88 (%)Antibacterial Activity of Compounds 88 (Zone of Inhibition (in mm) at conc. 100 mg/mL after 24 h)
Gram-Positive BacteriaGram-Negative Bacteria
BSSAECPA
88a4-MeOC6H481--------
88b4-MeC6H4853.83.02.92.6
88c4-HOC6H4849.18.88.78.0
88dPh824.94.64.54.3
88e4-FC6H48018.817.117.515.2
88f3-FC6H48313.612.210.99.6
88g3-HOC6H4845.65.15.65.6
88h2-HOC6H4867.57.46.37.0
88i2-MeC6H483--2.8----
88j2-MeOC6H489--------
88k2-ClC6H48811.410.410.29.1
88l4-ClC6H48215.613.112.711.0
88m4-BrC6H4849.89.38.98.2
88n4-NO2C6H48316.215.215.313.7
Tetracycline a----19.418.116.814.2
BS (Bacillus subtilis), SA (Staphylococcus aureus), EC (Escherichia coli), PA (Pseudomonas aeruginosa). a Standard drug for this study.
Table 24. Four-component synthesis of dihydropyrano[2,3-c]pyrazole 90 and their in vitro antibacterial activity against four bacterial strains.
Table 24. Four-component synthesis of dihydropyrano[2,3-c]pyrazole 90 and their in vitro antibacterial activity against four bacterial strains.
Molecules 27 04723 i038
CompoundArYield of 90 (%)Antibacterial Activity of Compounds 90 (Inhibition Zone (mm))
SAlSPKPPA
90aPh79177912
90b4-MeC6H48012RR10
90c2-ClC6H46912RR10
90d4-ClC6H488RRRR
90e4-FC6H493R410R
90f2-furyl65RR133
90g2-thienyl697954
90h4-EtC6H482151577
90i4-HOC6H48822131512
90j2-MeOC6H4721511177
90k4-HO, 3-MeOC6H378108129
90l4-MeOC6H48181097
90m4-NO2C6H492119138
Control a----RRRR
Amikacin b----26.624.019.623.0
SAl (Staphylococcus albus), SP (Streptococcus pyogenes), KP (Klebsiella pneumonia), PA (Pseudomonas aeruginosa). a DMSO. b Standard drug for the study. Not active (R, inhibition zone < 2 mm); weak activity (2−8 mm); moderate activity (9−15 mm); strong activity (> 15 mm).
Table 25. SBA-Pr-SO3H-Catalyzed three-component synthesis of pyrazolopyranopyrimidines 91 and their in vitro antibacterial activity against four bacterial strains.
Table 25. SBA-Pr-SO3H-Catalyzed three-component synthesis of pyrazolopyranopyrimidines 91 and their in vitro antibacterial activity against four bacterial strains.
Molecules 27 04723 i039
CompoundArRXYield of 91 (%)Antibacterial Activity of Compounds 91 (Inhibition Zone (mm))
BSEAECPA
91a4-ClC6H4HO922024120
91b4-MeC6H4HO931822120
91cPhHO941521130
91d2-MeOC6H4HO951419120
91e3-NO2C6H4HO89162400
91f4-ClC6H4MeO902124120
91g4-MeC6H4MeO911923140
91hPhMeO962125260
91i4-MeC6H4HS911620120
Chloramphenicol a--------2622248
Gentamicin a--------28202018
BS (Bacillus subtilis), SA (Staphylococcus aureus), EC (Escherichia coli), PA (Pseudomonas aeruginosa). a Standard drugs for the study.
Table 26. Four-component synthesis of coumarin-substituted pyrazoles 93, 94, and 95 and their in vitro antibacterial activity (MIC) against four bacterial strains.
Table 26. Four-component synthesis of coumarin-substituted pyrazoles 93, 94, and 95 and their in vitro antibacterial activity (MIC) against four bacterial strains.
Molecules 27 04723 i040
CompoundRR1Yield of 93, 94 and 95 (%)Antibacterial Activity of Compounds 93, 94 and 95 (Minimum Inhibitory Concentration in μg/mL (MIC))
SASFECPA
93a6-MeCN946.2512.512.512.5
93b6-OMeCN913.12512.56.251.56
93c6-ClCN893.1256.253.12512.5
93d7-MeCN926.2512.50.783.125
93e7,8-BenzoCN906.2512.525.025.0
93f6-MeCO2Et923.1256.2512.56.25
93g6-OMeCO2Et891.563.1256.256.25
93h6-ClCO2Et863.12512.56.2550.0
93i7-MeCO2Et913.12525.03.12512.5
93j7,8-BenzoCO2Et883.12512.56.256.25
94a6-Me--893.12512.512.525.0
94b6-OMe--800.781.563.1256.25
94c6-Cl--771.566.2525.050.0
94d7-Me--823.1256.256.2512.5
94e7,8-Benzo--896.2512.56.2512.5
95a6-Me--856.2512.53.12512.5
95b6-OMe--823.1256.256.256.25
95c6-Cl--816.2512.56.2512.5
95d7-Me--846.256.2512.56.25
95e7,8-Benzo--8312.512.512.56.25
Ciprofloxacin a------6.256.253.1256.25
SA (Staphylococcus aureus), SF (Staphylococcus faecalis), EC (Escherichia coli), PA (Pseudomonas aeruginosa). a Standard drug for the study.
Table 27. Cytotoxic activity of coumarin-substituted thiazolyl-3-aryl-pyrazole-4-carbaldehydes 25.
Table 27. Cytotoxic activity of coumarin-substituted thiazolyl-3-aryl-pyrazole-4-carbaldehydes 25.
Molecules 27 04723 i041
CompoundRR1R2IC50 (μM)
DU-145MCF-7HeLa
25aHHH-- a-- a-- a
25bHClH-- a-- a12.82
25cClClH41.0576.3313.75
25dHBrH35.0118.1611.02
25eBrBrH27.9722.2313.69
25fHBenzoH11.9139.4613.11
25gHClCl14.8618.679.51
25hClClCl30.9021.7410.29
25iHBrCl22.3285.039.46
25jMeOHCl38.1871.6841.89
25kHHMe50.2369.4537.36
25lHBrMe20.8635.1714.13
25mClClMe14.7114.565.75
25nBrBrMe10.8124.526.25
25oMeOHMe31.4242.5728.19
Doxorubicin b------2.493.183.92
a Not determined. b Standard drug for the study.
Table 28. Four-component synthesis and anticancer activity of pyranopyrazole derivatives 96.
Table 28. Four-component synthesis and anticancer activity of pyranopyrazole derivatives 96.
Molecules 27 04723 i042
CompoundRYield 96 (%)IC50 (μg/mL)
Method AMethod BHep3B
96a3-HOC6H4888232
96b4-BrC6H4828016
96c3-BrC6H4807710
96d3-NO2C6H4868132
96e3-Thiophenyl888024
96f2-Pyrrolyl8580128
96g3-Indolyl817964
96h4-ClC6H4777096
96i2-IC6H4807596
96jC6H58681128
96kn-Butyl828320
96l4-MeC6H4888720
96m4-Pyridinyl948548
96n2-FC6H4908732
Method A: Aldehyde 1 (2.2 mmol), malononitrile 2 (2.2 mmol), hydrazine hydrate 4 (2.0 mmol), ethyl acetoacetate 3 (2.0 mmol), Et3N (3.0 mmol), EtOH (4 mL), 1–2 h, r.t. Method B: Aldehyde 1 (2.2 mmol), malononitrile 2 (2.2 mmol), hydrazine hydrate 4 (2.0 mmol), ethyl acetoacetate 3 (2.0 mmol), Et3N (3.0 mmol), EtOH (4 mL), 3–5 min, 60 °C, MWI.
Table 29. Pseudo five-component synthesis and anticancer activity of bis-1,4-dihydropyrano[2,3-c]pyrazole-5-carbonitrile derivatives 97.
Table 29. Pseudo five-component synthesis and anticancer activity of bis-1,4-dihydropyrano[2,3-c]pyrazole-5-carbonitrile derivatives 97.
Molecules 27 04723 i043
CompoundRYYield 97 (%)IC50 (mM)
A549MCF-7HEPG2
97aH(CH2)2870.462.303.34
97bBr(CH2)2850.981.990.99
97cH(CH2)3820.780.290.42
97dBr(CH2)3790.711.560.46
97eH(CH2)4850.370.310.014
97fBr(CH2)4830.640.790.33
a Reaction conditions: bis-aldehyde 1* (1 mmol), malononitrile 2 (2.2 mmol), 3-methyl-1H-pyrazol-5(4H)-one 19 (2.2 mmol), piperidine (0.2 mL), EtOH (5 mL), reflux, 3 h.
Table 30. Pd-Catalyzed one-pot four-component reaction of pyrazolo[1,5-c]quinazolines 104 and 105 as potential EGFR inhibitors.
Table 30. Pd-Catalyzed one-pot four-component reaction of pyrazolo[1,5-c]quinazolines 104 and 105 as potential EGFR inhibitors.
Molecules 27 04723 i044
CompoundRR1R2Yield 104/105 (%)IC50 (μM)
MDA-MB-231A549H1299
104aHtBuCN936.863.984.97
104bHCMe2CH2CMe3CN861.962.872.02
104c4-BrtBuCN755.894.986.35
104d4-BrtBuPh0------
104e4-CltBuCN827.985.934.86
104f4-ClCMe2CH2CMe3CN785.654.564.93
104g5-ClCMe2CH2CMe3CN898.5410.449.34
104h5-ClCMe2CH2CMe3CO2Me767.835.275.01
104iHtBuCO2Me847.908.336.65
104jHCMe2CH2CMe3CO2Me734.692.784.94
104kHtBuCO2Et778.834.896.99
104lHCMe2CH2CMe3CO2Et797.825.894.75
104mHtBuCO2iPr774.763.293.47
104nHCMe2CH2CMe3CO2iPr809.366.355.96
105aHCMe2CH2CMe3C6H5875.286.847.22
105bHCMe2CH2CMe34-FC6H4711.931.061.32
105cHCMe2CH2CMe32-ClC6H4655.976.457.84
105dHCMe2CH2CMe34-MeOC6H4752.451.742.04
105e5-ClCMe2CH2CMe3C6H5703.492.693.22
Erlotinib c--------4.562.983.33
Gefitinib c--------6.852.653.02
a Reaction conditions: 2-azidobenzaldehyde 1 (1 equiv), isocyanide 38 (1.2 equiv), TsNHNH2 103 (1 equiv), Pd(OAc)2 (7.5 mol%), 4Ǻ MS (200 mg), PhMe (1.0 mL), 100 °C, 10 min, then active methylene compound 50 (2 equiv), DABCO (3 equiv), 100 °C, 3 h. b Reaction conditions: 2-azidobenzaldehyde 1 (1 equiv), isocyanide 38 (1.2 equiv), TsNHNH2 103 (1.1 equiv), Pd(OAc)2 (7.5 mol%), 4Ǻ MS (200 mg), PhMe (1.0 mL), 100 °C, 10 min, then aroylacetonitrile 102 (2 equiv), DABCO (3 equiv), I2 (10 mol%), 100 °C, 3 h. c Standard drug for the study.
Table 31. Four-component synthesis and in vitro anticancer activity of 4,5-dihydropyrano[2,3-c]pyrazol-6(2H)-one derivatives 108.
Table 31. Four-component synthesis and in vitro anticancer activity of 4,5-dihydropyrano[2,3-c]pyrazol-6(2H)-one derivatives 108.
Molecules 27 04723 i045
CompoundRYield 108 (%)IC50 (μM)
A2780MCF-7PC-3
108a3-MeO6615016590
108b4-MeO65150NA165
108c2,3-(MeO)260150120100
108d2-OH-4-MeO80NA bNANA
108e2,4-(OH)285150NA75
108f2,4-(MeO)268NA101NA
108g2,5-(MeO)2741048760
108h3,4-(MeO)275150NA50
108i3,5-(MeO)270NA2331
108j2,3,4-(OH)380NANANA
108k2,3,4-(MeO)360NANANA
108l3,4,5-(MeO)359NANANA
Doxorubicin a----3.704.765.25
a Standard drug for the study. b NA = not active.
Table 32. Evaluation of spiroindenopyridazine-4H-pyrans 45 against the cancer cell lines A549, PC-3, MCF-7, A375, LNCaP, and Normal cell HDF a.
Table 32. Evaluation of spiroindenopyridazine-4H-pyrans 45 against the cancer cell lines A549, PC-3, MCF-7, A375, LNCaP, and Normal cell HDF a.
Molecules 27 04723 i046
CompoundCyclic CH-Acid 44
in Table 10
IC50 (μM)
A549PC-3MCF-7A375LNCaPHDF
45aMolecules 27 04723 i04740>100>10070.732.1>100
45bMolecules 27 04723 i048>100>100>100>100>100>100
45cMolecules 27 04723 i049>100>100>100>100>100>100
45dMolecules 27 04723 i050>100>100>100>100>100>100
45eMolecules 27 04723 i051>100>100>100>100>100>100
45fMolecules 27 04723 i052>100>100>100>100>100>100
45gMolecules 27 04723 i053>100>100>100>100>100>100
45hMolecules 27 04723 i054>100>100>100>100>100>100
45iMolecules 27 04723 i055>100>100>100>100>100>100
45jMolecules 27 04723 i056>100>100>100>100>100>100
Etoposide b--60403025.390>100
a Reaction conditions: Cyanoacetohydrazide 42 (1 mmol), ninhydrin 43 (1 mmol), malononitrile 2 (1 mmol), cyclic CH-acid 44 (1 mmol), EtOH (10 mL), reflux, 6–12 h. b Standard drug for the study.
Table 33. Four-component synthesis and anticancer evaluation of pyrazole-based 1,4-naphthoquinones 123.
Table 33. Four-component synthesis and anticancer evaluation of pyrazole-based 1,4-naphthoquinones 123.
Molecules 27 04723 i057
CompoundRR1Yield 123 (%)IC50 (μM)
HeLa
123aC6H54-MeOC6H495-- c
123bC6H53-OHC6H4964.81
123cC6H5C6H59322.08
123dC6H53-Me-4-ClC6H39225.12
123eC6H52-OHC6H491-- c
123fC6H53-MeO-4-BzOC6H3934.36
123gC6H52-OH-3-MeOC6H389-- c
123hC6H52-BrC6H4869.18
123iH2-OH-4-MeOC6H3882.9
123j2-EtC6H42-OH-3-MeOC6H394-- c
123k4-MeOC6H42-OH-3-MeOC6H392-- c
123l2-BrC6H42-OH-3-MeOC6H398-- c
Doxorubicin b------5.1
a Reaction conditions: Ethyl acetoacetate 3 (1 mmol), 2-hydroxy-1,4-naphthaquinone 122 (1 mmol), hydrazine derivative 4/15 (1 mmol), aldehyde 1 (1 mmol), V2O5 (5 mol%), EtOH (5 mL), 80 °C, 1 h. b Standard drug for the study. c Not determined.
Table 34. Zn(OTf)2-catalyzed one-pot four-component synthesis of 6-amino-1,4-dihydropyrano[2,3-c]pyrazole-5-carbonitriles 127 as anticancer agents.
Table 34. Zn(OTf)2-catalyzed one-pot four-component synthesis of 6-amino-1,4-dihydropyrano[2,3-c]pyrazole-5-carbonitriles 127 as anticancer agents.
Molecules 27 04723 i058
CompoundRR1R2Yield 127 (%)IC50 (μg/mL)
786-0A431MCF-7U-251
127aCF3C6H5C6H59319.8155.8789.7630.89
127bCF3C6H54-BrC6H49821.9822.7847.8833.98
127cCF34-ClC6H4C6H59566.4155.9854.8755.78
127dCF34-ClC6H44-MeOC6H49231.8641.3444.6597.98
127eCH33-NO2C6H4C6H59255.78>10066.5455.98
127fCH33-NO2C6H43-Br-4-MeO-C6H39978.98>10055.7897.98
127gCH33-NO2C6H44-NO2C6H49717.43>100>100>100
127hCH33-NO2C6H44-MeOC6H4989.966.5431.8773.67
127iCH33-NO2C6H42-OHC6H49421.9821.9847.8933.98
127jCH33-NO2C6H45-Br-2-OH-C6H39645.8919.9839.8725.78
Doxorubicin b--------0.991.62.11.9
a Reaction conditions: β-keto esters 8 (1 mmol), aryl hydrazines 15 (1.1 mmol), and zinc triflate (10 mol%), MWI, 80 °C, 10 min, then aromatic aldehydes 1 (1 mmol) and malononitrile 2 (1.1 mmol), MWI, 120 °C, 15 min. b Standard drug for the study.
Table 35. Anticancer activity of compounds 128 and 129 against PC-3, SKOV3, and HeLa cell lines.
Table 35. Anticancer activity of compounds 128 and 129 against PC-3, SKOV3, and HeLa cell lines.
Molecules 27 04723 i059
CompoundRR1XYield 128/129 (%)IC50 (µg/mL)
PC-3SKOV3HeLa
128aHMe--929.735.625.9
128bHC6H5--9334.255.432.5
128cMeC6H5--9113.216.58.4
128dC6H5C6H5--93190.3234.391.3
129a----O898.94.711.3
129b----S9073.49.314.3
129c--Me--9142.135.532.8
129d--C6H5--9018.95.415.9
Doxorubicin a--------2.12.31.9
a Standard drug for the study.
Table 36. Antifungal evaluation of pyrazole-thiobarbituric acid derivatives 61.
Table 36. Antifungal evaluation of pyrazole-thiobarbituric acid derivatives 61.
Molecules 27 04723 i060
CompoundArCandida albicans
CPM (mm)MIC (μg/L)
61a4-FC6H4188
61bC6H51616
61c4-ClC6H41616
61d4-MeC6H41164
61e3-MeC6H41264
61f4-BrC6H41532
61g3-BrC6H41432
61h4-NO2C6H4204
61i3-NO2C6H41432
61j4-MeOC6H41716
61k4-CF3C6H41616
61l2,4-diClC6H3214
61m2,6-diClC6H31516
61n2-Naphthyl1616
61o2-Thiophenyl178
Fluconazole a--280.5
a Standard drug for the study.
Table 37. Antifungal evaluation of pyrazole-dimedone derivatives 21.
Table 37. Antifungal evaluation of pyrazole-dimedone derivatives 21.
Molecules 27 04723 i061
CompoundRCandida albicans
CPM (mm)MIC (μg/L)
21a2,4-diClC6H31432
21bC6H51532
21c4-ClC6H41516
21d4-MeC6H41616
21e3-MeC6H41432
21f4-BrC6H41432
21g3-BrC6H41432
21h4-NO2C6H41716
21i3-NO2C6H41432
21j4-MeOC6H41332
21k4-FC6H41516
21l4-CF3C6H41432
21m2,6-diClC6H31616
21n2-Naphthyl1432
21o2-Thiophenyl214
Fluconazole a--280.5
a Standard drug for the study.
Table 38. Antifungal activity of polyhydroquinoline derivatives 51.
Table 38. Antifungal activity of polyhydroquinoline derivatives 51.
Molecules 27 04723 i062
CompoundRR1R2C. albicansA. fumigatus
MIC (μg/mL)MIC (μg/mL)
51a4-FCN4-Cl>1000>1000
51b4-FCOOEt4-Cl1000>1000
51c4-FCONH24-Cl1000500
51d4-FCN4-Me500500
51e4-FCOOEt4-Me500>1000
51f4-CF3CN4-Me1000>1000
51g4-CF3COOEt4-Me10001000
51h2,4-diFCN4-Me500>1000
51i2,4-diFCOOEt4-Me500100
51j2,4-diFCN4-Cl2501000
51k2,4-diFCOOEt4-Cl2501000
51l2,4-diFCONH24-Cl1000100
51m4-FCN4-F10001000
51n4-FCOOEt4-F2501000
51o4-CF3CN4-F500500
51p4-CF3COOEt4-F500250
Griseofulvin a------500100
a Standard drug for the study.
Table 39. Antifungal activity of pyrano[2,3-c]pyrazole derivatives 12.
Table 39. Antifungal activity of pyrano[2,3-c]pyrazole derivatives 12.
Molecules 27 04723 i063
CompoundRZone of Inhibition (mm)
AspergillusflavusAspergillusniger
50 μg/Well100 μg/Well50 μg/Well100 μg/Well
12aC6H515202225
12b2-MeOC6H4591012
12c3-OHC6H410141619
12d4-ClC6H420242729
12e2-OHC6H411151820
12f4-NO2C6H423273033
12g4-FC6H422262831
12h4-OHC6H413171922
12i4-MeOC6H49111315
12j2-MeC6H426811
12k4-MeC6H47101113
12l2-ClC6H419232528
12m3-FC6H418212326
12n4-BrC6H413182123
Ketoconazole a--28313335
a Standard drug for the study.
Table 40. Antifungal activity of spiropyrrolidine-oxindoles 29.
Table 40. Antifungal activity of spiropyrrolidine-oxindoles 29.
Molecules 27 04723 i064
CompoundRR1XC. albicansM. pachydermatis
CPM (mm)MIC (μg/mL)CPM (mm)MIC (μg/mL)
29aHHCH2101258500
29bAllylHCH2-- b250-- b500
29cn-ButylHCH2-- b500-- b-- b
29dMeHCH2-- b-- b-- b-- b
29ePropargylHCH210-- b9-- b
29fHNO2CH211250-- b500
29gHHS91258250
29hAllylHS1225010-- b
29iBenzylHS-- b500-- b500
29jn-ButylHS-- b125-- b125
29kMeHS-- b-- b-- b-- b
Ketoconazole a------28252625
a Standard drug for the study. b Not determined.
Table 41. Antifungal evaluation of pyrazole derivatives 9 and 10.
Table 41. Antifungal evaluation of pyrazole derivatives 9 and 10.
Molecules 27 04723 i065
CompoundRR1MIC (μg/mL)
Candida kruseiAspergillus fumigatusAspergillus niger
9a2-OHC6H4Me5.006.257.50
9b4-MeC6H4Me7.5010.012.5
9c4-MeOC6H4Me3.755.007.50
9dC6H5Me5.006.257.50
9e2-FuranylMe10.03.757.50
9f2-OHC6H4EtO12.58.756.25
9g4-MeC6H4EtO8.7510.07.50
9h4-MeOC6H4EtO8.757.506.25
9iC6H5EtO12.510.08.75
9j9-AnthracenylEtO12.55.007.50
9k2-FuranylEtO8.757.5010.0
10a2-OHC6H4Me8.757.506.25
10b4-MeC6H4Me8.7512.56.25
10c4-MeOC6H4Me6.2510.03.75
10dC6H5Me7.505.008.75
10e2-FuranylMe3.758.7512.5
Griseofulvin a----3.121.251.25
Nystatin a----1.251.001.00
a Positive control for the study.
Table 42. Antifungal activity of 4-[(3-aryl-1-phenyl-1H-pyrazol-4-yl)methylidene]-2,4-dihydro-3H-pyrazol-3-ones 34.
Table 42. Antifungal activity of 4-[(3-aryl-1-phenyl-1H-pyrazol-4-yl)methylidene]-2,4-dihydro-3H-pyrazol-3-ones 34.
Molecules 27 04723 i066
CompoundRZone of Inhibition (mm)
Aspergillus nigerSclerotium rolfsii
34aC6H59.812.8
34b4-FC6H48.210.2
34c4-ClC6H46.912.0
34d4-BrC6H47.79.8
34e4-MeC6H48.010.2
34f4-MeOC6H47.88.5
34g3-MeOC6H46.89.0
34h4-OHC6H46.911.3
34i4-NO2C6H47.910.8
34j2,4-(Cl)2C6H38.913.2
Ketoconazole a--18.322.1
a Standard drug for the study.
Table 43. Antifungal activity of 3-alkyl-1-(4-(aryl/heteroaryl)thiazol-2-yl)indeno[1,2-c]pyrazol-4(1H)-ones 37.
Table 43. Antifungal activity of 3-alkyl-1-(4-(aryl/heteroaryl)thiazol-2-yl)indeno[1,2-c]pyrazol-4(1H)-ones 37.
Molecules 27 04723 i067
CompoundRR1MIC (μmol/mL)
Candida albicansAspegillus niger
37aMeBiphenyl0.02970.0595
37bEtBiphenyl0.01440.1153
37ciPrBiphenyl0.01390.1118
37diBuBiphenyl0.00670.0270
37eMe2-Naphthyl0.06350.0635
37fEt2-Naphthyl0.01530.1227
37giPr2-Naphthyl0.01480.0593
37hiBu2-Naphthyl0.00710.0574
37iMe2-Benzofuranyl0.01630.0652
37jEt2-Benzofuranyl0.01570.1258
37kiPr2-Benzofuranyl0.01510.0607
37liBu2-Benzofuranyl0.01460.0293
Fluconazole a----0.04080.0408
a Standard drug for the study.
Table 44. Antioxidant activity of dihydropyrano[2,3-c]pyrazole derivatives 90.
Table 44. Antioxidant activity of dihydropyrano[2,3-c]pyrazole derivatives 90.
Molecules 27 04723 i068
CompoundAr% Inhibition
at 25 μg/mL
% Inhibition
at 50 μg/mL
% Inhibition
at 75 μg/mL
% Inhibition
at 100 μg/mL
90aC6H516.1625.5437.2348.45
90b4-MeC6H413.1223.6434.8643.84
90c2-ClC6H415.5225.1338.5247.69
90d4-ClC6H415.8625.2336.1445.70
90e4-FC6H416.2625.1735.2346.81
90f2-Furanyl14.5421.2225.3132.21
90g2-Thiophenyl18.1426.4639.7642.11
90h4-EtC6H414.1424.2230.5239.50
90i4-HOC6H422.7530.4648.1160.65
90j2-MeOC6H417.2426.6138.5449.41
90k3-MeO-4-OHC6H321.6227.4245.1257.82
90l4-MeOC6H417.6424.2534.3644.11
90m4-NO2C6H417.2528.4136.1945.64
Ascorbic acid a--29.3455.8490.0798.85
a Reference compound.
Table 45. Multicomponent Debus–Radziszewski synthesis of imidazolylpyrazoles 145 as α-glucosidase inhibitors.
Table 45. Multicomponent Debus–Radziszewski synthesis of imidazolylpyrazoles 145 as α-glucosidase inhibitors.
Molecules 27 04723 i069
CompoundRR1Yield of 145 (%)α-Glucosidase Inhibition
Percentage Inhibition (%)IC50 (µM)
145a4-MeO4-MeO7599.56178.82
145b4-MeO4-Br7091.12162.93
145c4-MeO3,5-(Me)28196.13182.17
145d4-Cl4-MeO7898.65168.92
145e4-Cl4-Cl6993.1985.71
145f4-Cl4-Br7396.2125.19
145g4-Cl3,5-(Me)28489.54132.81
145h4-Br4-MeO8289.76104.75
145i4-Br4-Cl7187.2584.61
145j4-Br3,5-(Me)28175.23412.42
145k3-NO24-Cl7796.7642.23
145l3-NO24-MeO8495.7943.14
145m3-NO24-Br8197.5233.62
145n3-NO23,5-(Me)28891.2558.73
Acarbose b------92.2338.25
a Reaction conditions: Pyrazole-4-carbaldehydes 31, benzil 143, substituted anilines 32, and ammonium acetate, AcOH, MWI. b Reference compound.
Table 46. Three-component synthesis and α-amylase activity of thiazole–pyrazole hybrids 151.
Table 46. Three-component synthesis and α-amylase activity of thiazole–pyrazole hybrids 151.
Molecules 27 04723 i070
CompoundRR1Yield 151 (%)% Inhibition at 12.5 μg/mL% Inhibition at 25 μg/mL% Inhibition at 50 μg/mL
151aBrBr8556.8061.2182.72
151bBrCl8061.0368.3880.33
151cBrNO28868.5771.5182.90
151dMeOBr8258.8267.4679.04
151eMeOCl8069.4975.5582.17
151fMeONO28955.1564.7177.94
151gMeBr8565.8172.0689.15
151hMeCl8762.1371.6988.42
151iMeNO28348.3552.2179.96
151jFBr7957.3570.5981.25
151kFCl8660.2964.7177.21
151lFNO27855.3367.8386.03
151mClBr7167.2876.8483.82
151nClCl8368.8771.3284.74
151oClNO28356.0767.1081.99
151pHBr8152.3961.4075.18
151qHCl8240.9958.8270.04
151rHNO28752.9460.4878.13
Acarbose b------67.2571.1777.96
a Reaction conditions: 1-aryl-3-phenyl-1H-pyrazole-4-carbaldehydes 31 (1 mmol), thiosemicarbazide 23 (1.1 mmol), and substituted α-bromoacetophenones 36 (1 mmol), EtOH (10 mL), reflux, 5 min. b Reference compound.
Table 47. α-Amylase activity of 3-alkyl-1-(4-(aryl/heteroaryl)thiazol-2-yl)indeno[1,2-c]pyrazol-4(1H)-ones 37.
Table 47. α-Amylase activity of 3-alkyl-1-(4-(aryl/heteroaryl)thiazol-2-yl)indeno[1,2-c]pyrazol-4(1H)-ones 37.
Molecules 27 04723 i071
CompoundRR1IC50 (μM)
37aMeBiphenyl5.29
37bEtBiphenyl10.05
37ciPrBiphenyl20.51
37diBuBiphenyl10.78
37eMe2-Naphthyl6.88
37fEt2-Naphthyl4.17
37giPr2-Naphthyl18.31
37hiBu2-Naphthyl3.21
37iMe2-Benzofuranyl0.94
37jEt2-Benzofuranyl0.79
37kiPr2-Benzofuranyl0.46
37liBu2-Benzofuranyl0.89
Acarbose a----0.11
a Reference compound.
Table 48. Anti-inflammatory activity of 4-coumarinylpyrano[2,3-c]pyrazoles 93.
Table 48. Anti-inflammatory activity of 4-coumarinylpyrano[2,3-c]pyrazoles 93.
Molecules 27 04723 i072
CompoundRR1% Inhibition of Egg Albumin in 31.25 μM% Inhibition of Erythrocyte in 100 μM
93a6-MeCN10.3328.36
93b6-MeOCN19.1332.66
93c6-ClCN28.0436.06
93d7-MeCN7.6028.16
93e7,8-BenzoCN14.4428.86
93f6-MeCOOEt24.8236.06
93g6-MeOCOOEt51.4354.06
93h6-ClCOOEt39.0639.86
93i7-MeCOOEt28.6736.16
93j7,8-BenzoCOOEt37.6538.56
Aceclofenac a----5.50--
Acetyl salicylic acid a------36.16
a Reference compound.
Table 49. Three-component synthesis of pyrazole-linked triazolo[1,5-a]pyrimidines 153 as anti-tubercular agents.
Table 49. Three-component synthesis of pyrazole-linked triazolo[1,5-a]pyrimidines 153 as anti-tubercular agents.
Molecules 27 04723 i073
CompoundRR1R2% Inhibition
at 6.25 μg/mL
MIC
(μg/mL)
IC50 Enzyme
Inhibition (μg/mL)
CC50 VERO
Cells (μg/mL)
153aHBrMe953.130.8525
153bNO2BrMe961.560.2825
153cClBrMe980.780.1120
153dFHMe990.780.1620
153eFBrMe990.390.1120
Isoniazid a------990.3----
Rifampicin a------990.5----
Ethambutol a------993.12----
a Reference compounds.
Table 50. Antituberculosis activity of polyhydroquinoline derivatives 51.
Table 50. Antituberculosis activity of polyhydroquinoline derivatives 51.
Molecules 27 04723 i074
CompoundRR1R2% Inhibition at 250 μg/mL
51a4-FCN4-Cl65
51b4-FCOOEt4-Cl20
51c4-FCONH24-Cl30
51d4-FCN4-Me46
51e4-FCOOEt4-Me94
51f4-CF3CN4-Me46
51g4-CF3COOEt4-Me50
51h2,4-diFCN4-Me73
51i2,4-diFCOOEt4-Me95
51j2,4-diFCN4-Cl79
51k2,4-diFCOOEt4-Cl89
51l2,4-diFCONH24-Cl91
51m4-FCN4-F67
51n4-FCOOEt4-F80
51o4-CF3CN4-F65
51p4-CF3COOEt4-F87
Isoniazid a------99
Rifampicin a------98
a Reference compounds.
Table 51. Ultrasound-assisted three-component synthesis of 1,2,4-triazol-1-yl-pyrazole-based spirooxindolopyrrolizidines 157 as antitubercular agents.
Table 51. Ultrasound-assisted three-component synthesis of 1,2,4-triazol-1-yl-pyrazole-based spirooxindolopyrrolizidines 157 as antitubercular agents.
Molecules 27 04723 i075
CompoundRR1Yield 157 (%)MIC (μg/mL)Cytotoxicity
% Inhibition at 25 μg/mL c
157aHH92>25-- d
157b4-MeH83>25-- d
157c4-MeOH7812.5-- d
157d4-ClH866.2516.85
157e4-BrH841.5627.15
157f3-NO2H92>25-- d
157g4-NO2H906.2529.61
157hHCl890.7819.76
157i4-MeCl8025.0-- d
157j4-MeOCl763.1221.65
157k4-ClCl821.5617.91
157l4-BrCl811.5626.43
157m3-NO2Cl906.2518.96
157n4-NO2Cl881.5624.94
157oHBr853.1218.62
157p4-MeOBr7925.0-- d
157q4-ClBr851.5622.36
157r4-BrBr801.5621.97
157s3-NO2Br866.2520.08
157t4-NO2Br856.2526.40
Ethambutol b------1.56-- d
a Reaction conditions: Pyrazole-based chalcones 156 (1.0 mmol), substituted isatins 27 (1.0 mmol), and L-proline 28 (1.0 mmol) in [Bmim]BF4 (3.0 mL) at 60 °C for 6–16 min under ultrasound irradiation. b Reference compound. c The cytotoxicity was determined in the RAW 264.7 cell line. d Not determined.
Table 52. One-pot four-component synthesis and in vitro anticholinesterase activity of new tacrine-pyranopyrazole analogues 161.
Table 52. One-pot four-component synthesis and in vitro anticholinesterase activity of new tacrine-pyranopyrazole analogues 161.
Molecules 27 04723 i076
CompoundRAChE IC50 (μM)BChE IC50 (μM)
161aC6H51.2336.01
161b4-ClC6H41.66>68.15
161c4-Br-C6H41.8011.64
161d4-NO2C6H45.802.73
161e4-MeSC6H40.058>66.05
161f2,4-(Me)2C6H30.2939.03
161g2,4-(MeO)2C6H30.2631.11
161h2-Cl-5-NO2C6H31.042.50
161i2-Cl-6-NO2C6H31.771.84
161jBiphenyl-4-yl0.044>61.20
161k3-Pyridinyl0.334.26
161l2-MeO-1-naphthyl0.1311.35
Galantamine a--21.8240.72
Tacrine a--0.260.05
a Reference compounds.
Table 53. Microwave-assisted four-component synthesis of pyrano[2,3-c]pyrazoles 162 as non-purine xanthine oxidase inhibitors.
Table 53. Microwave-assisted four-component synthesis of pyrano[2,3-c]pyrazoles 162 as non-purine xanthine oxidase inhibitors.
Molecules 27 04723 i077
CompoundR% Age Inhibition (50 μM) bXO IC50 (μM)
162aC6H58312.4
162b4-FC6H445--
162c3-OHC6H424--
162d3-ClC6H462--
162e2-OHC6H427--
162f4-BrC6H4856.4
162g2-MeOC6H448--
162h4-MeOC6H438--
162i4-NO2C6H4828.4
162j4-OHC6H445--
162k1-Naphthyl54--
162l2-Furanyl843.2
162m2-Thiophenyl892.2
162n2-Indolyl44--
162o3,4-(MeO)2C6H355--
162p2,3,4-(MeO)3C6H252--
162q4-ClC6H4884.0
162r4-Pyridinyl79--
162s3-Me-2-thiophenyl74--
Allopurinol a----8.29
a Reference compound. b The compounds exhibiting % age inhibition of more than 80% at 50 μM were further tested for the XO inhibitory activity.
Table 54. Three-component synthesis and in vitro antileishmanial activity of pyrazolodihydropyridines 164.
Table 54. Three-component synthesis and in vitro antileishmanial activity of pyrazolodihydropyridines 164.
Molecules 27 04723 i078
CompoundRR1Reagent 44Promastigotes
GI (%)
Amastigotes
GI (%)
25 μM50 μM25 μM50 μM
164a4-ClC6H44-ClC6H4Molecules 27 04723 i07962.565.4NSI bNSI b
164b4-FC6H44-ClC6H4Molecules 27 04723 i08054.365.3NSINSI
164c4-ClC6H43,4,5-(MeO)3C6H2Molecules 27 04723 i08179.386.723.628.2
164d3,4-(Cl)2C6H32,5-(MeO)2C6H3Molecules 27 04723 i08285.990.691.595.8
164e3,4-(Cl)2C6H33,4-(MeO)2C6H3Molecules 27 04723 i08352.359.5NSINSI
164f4-ClC6H42-ThiophenylMolecules 27 04723 i08482.586.543.851.7
164g4-ClC6H42,5-(MeO)2C6H3Molecules 27 04723 i08585.593.237.342.6
164h4-ClC6H43,4,5-(MeO)3C6H2Molecules 27 04723 i08678.481.245.259.6
164i4-ClC6H44-OH-3,5-(MeO)2C6H2Molecules 27 04723 i08779.189.625.230.7
164j3,4-(Cl)2C6H33,4-(MeO)2C6H3Molecules 27 04723 i08891.793.396.897.3
164k4-FC6H44-OH-3,5-(MeO)2C6H2Molecules 27 04723 i08956.566.9NSINSI
164l4-ClC6H44-ClC6H4Molecules 27 04723 i09049.162.4NSINSI
164m4-FC6H44-ClC6H4Molecules 27 04723 i09154.268.3NSINSI
164n4-ClC6H42,3,4-(MeO)3C6H2Molecules 27 04723 i09264.267.4NSINSI
164o4-ClC6H42-ThiophenylMolecules 27 04723 i09365.369.2NSINSI
Miltefosine a------10010099.8100
a Reference compound. b NSI (no significant inhibition).
Publisher’s Note: MDPI stays neutral with regard to jurisdictional claims in published maps and institutional affiliations.

Share and Cite

MDPI and ACS Style

Becerra, D.; Abonia, R.; Castillo, J.-C. Recent Applications of the Multicomponent Synthesis for Bioactive Pyrazole Derivatives. Molecules 2022, 27, 4723. https://doi.org/10.3390/molecules27154723

AMA Style

Becerra D, Abonia R, Castillo J-C. Recent Applications of the Multicomponent Synthesis for Bioactive Pyrazole Derivatives. Molecules. 2022; 27(15):4723. https://doi.org/10.3390/molecules27154723

Chicago/Turabian Style

Becerra, Diana, Rodrigo Abonia, and Juan-Carlos Castillo. 2022. "Recent Applications of the Multicomponent Synthesis for Bioactive Pyrazole Derivatives" Molecules 27, no. 15: 4723. https://doi.org/10.3390/molecules27154723

APA Style

Becerra, D., Abonia, R., & Castillo, J.-C. (2022). Recent Applications of the Multicomponent Synthesis for Bioactive Pyrazole Derivatives. Molecules, 27(15), 4723. https://doi.org/10.3390/molecules27154723

Article Metrics

Back to TopTop