Abstract
In order to discover pesticidal lead compounds with high activity and low toxicity, a series of novel benzamides substituted with pyrazole-linked 1,2,4-oxadiazole were designed via bioisosterism. The chemical structures of the target compounds were confirmed via 1H NMR, 13C NMR and HRMS analysis. The preliminary bioassay showed that most compounds exhibited good lethal activities against Mythimna separate, Helicoverpa armigera, Ostrinia nubilalis and Spodoptera frugiperda at 500 mg/L. Particularly in the case of Mythimna separate, compound 14q (70%) exhibited obvious insecticidal activity. In addition, compound 14h demonstrated good fungicidal activity against Pyricularia oryae with an inhibition rate of 77.8%, and compounds 14e, 14k, 14n and 14r also showed certain antifungal activities (55.6–66.7%). The zebrafish toxicity test showed that the LC50 of compound 14h was 14.01 mg/L, which indicated that it may be used as a potential leading compound for further structural optimization.
1. Introduction
Nitrogen- and oxygen-containing heterocyclic compounds have become a hotspot in the field of new pesticide development due to their diversity of molecular structures and their breadth of biological activities [1,2,3,4,5,6,7,8]. The 1,2,4-oxadiazole heterocycle, a bioisostere of amides, exhibits certain insecticidal [9,10], antifungal [11,12,13], herbicidal [14], hypotensive [15] and antitumor activities [16] in the biological field. In addition, pyrazoleamides exhibit good insecticidal and fungicidal activities [17,18,19,20], such as tebufenpyrad, penflufen, chlorantraniliprole [21], penthiopyrad [22], cyantraniliprole and sedaxane [23] (Figure 1).
Figure 1.
Chemical structures of tebufenpyrad, penflufen, chlorantraniliprole, penthiopyrad, cyantraniliprole and sedaxane.
Our previous studies showed that benzamides substituted with pyridine-linked 1,2,4-oxadiazole derivatives have certain insecticidal and fungicidal activities [24,25]. Therefore, changing amine fragments in pyrazoleamide of tebufenpyrad into 1,2,4-oxadiazole, a series of novel pyrazole-linked 1,2,4-oxadiazoles were designed according to the principle of bioisosterism (Figure 2). The chemical structures of the target compounds were confirmed via 1H NMR, 13C NMR and HRMS analysis, and their insecticidal activities and fungicidal activities were studied and a toxicity test with zebrafish embryos was performed.
Figure 2.
Design strategy for the target compounds.
2. Results and Discussion
2.1. Synthesis of Target Compounds
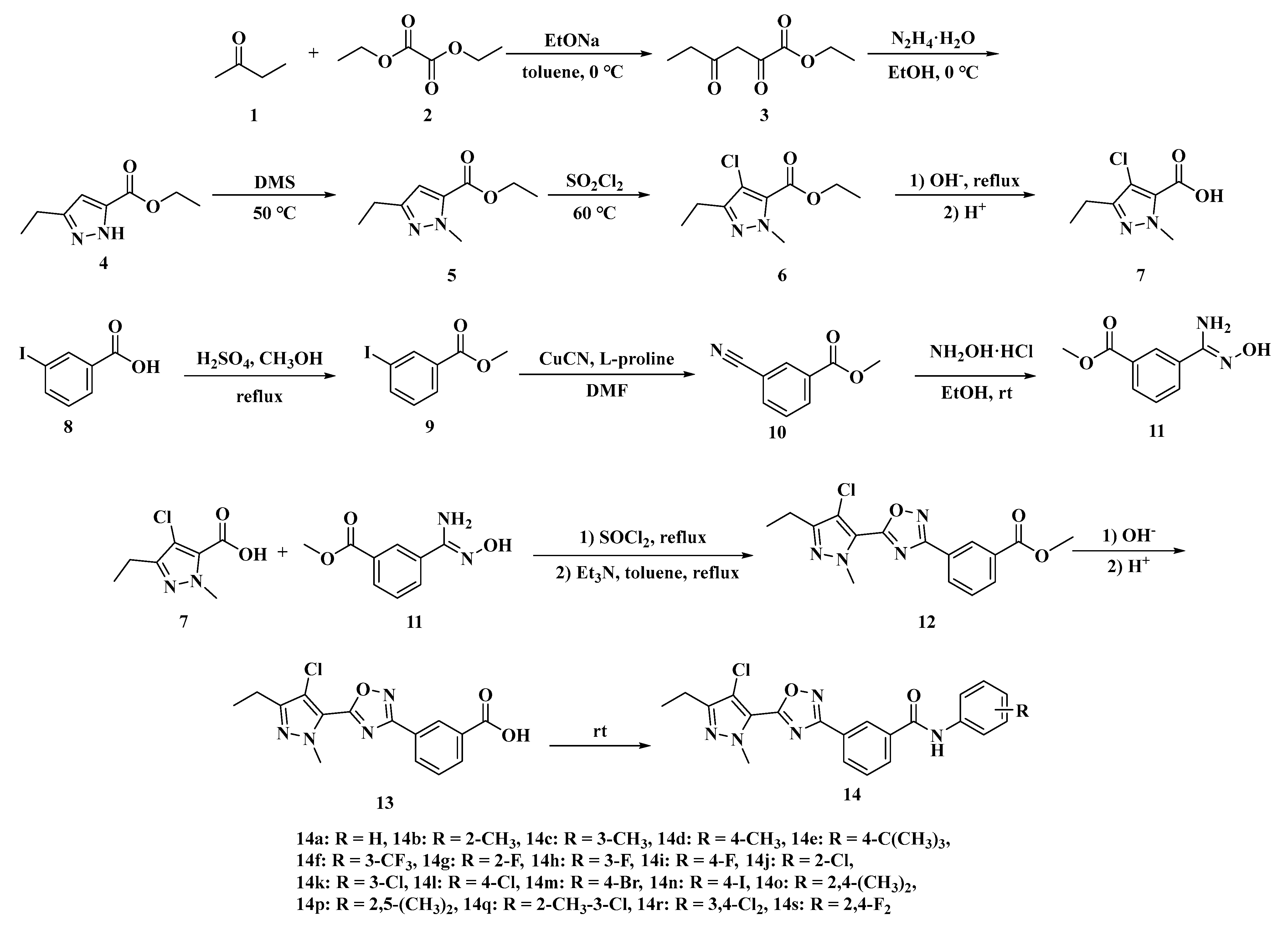
The synthetic pathways used to target compounds 14a–14s are shown in Scheme 1. The starting material, butanone 1 and diethyl oxalate 2, experienced Claisen condensation to give ethyl 2,4-dioxohexanoate 3. Then, this was reacted with N2H4·H2O to give ethyl 3-ethyl-1H-pyrazole-5-carboxylate 4. The reaction of intermediate 4 with dimethyl sulfate (DMS) yielded ethyl 3-ethyl-1-methyl-1H-pyrazole-5-carboxylate 5. Afterwards, compound 5 experienced chlorination and a hydrolysis reaction to give 5-pyrazole acid 7. Regarding the synthesis of intermediate 11, refer to our previous work [24]. Finally, the intermediates 7 and 11 went through cyclization, hydrolysis and condensation reactions to obtain the target compounds 14.
Scheme 1.
Synthetic route of target compounds 14.
In step 2, the Knorr cyclization reaction was carried out in an ice bath to avoid the formation of isomers (Scheme 2).
Scheme 2.
The Knorr cyclization reaction of compound 3, performed under high temperature.
2.2. Spectral Analysis of Target Compounds
Compound 14q was taken as an example to conduct spectral analysis. In the 1H NMR spectra of 14q, the -NH- proton signal was found at δ 10.43 ppm. The -CH- signals of the benzene ring were assigned at δ 8.67–7.29 ppm, and the single peak at δ 4.25 ppm was the peak of N-CH3 on the pyrazole ring. The signals at δ 2.65 ppm and δ 1.23 ppm were assigned to -CH2 and -CH3 of the pyrazole ring, respectively. In addition, the signal of -CH3 on the benzene ring was found at δ 2.28 ppm. In the 13C NMR spectra of compound 14q, the appearances of signals at 167.21 ppm and 165.13 ppm were assigned to the carbons of the 1,2,4-oxadiazole ring. In the HRMS spectrogram, the calculated value of the ion peak of this compound was [M + Na]+ 456.0989, and the measured value was [M + Na]+ 456.0983. The absolute error was within 0.003.
2.3. Biological Activities of Target Compounds
The results of the insecticidal activity tests of the target compounds are shown in Table 1. Overall, all the target compounds 14 were found to exhibit certain insecticidal activities against Mythimna separate, Helicoverpa armigera, Ostrinia nubilalis and Spodoptera frugiperda at 500 mg/L. Specifically, the mortality rate of compound 14q against Mythimna separate (70%) was higher than the control drug, tebufenpyrad (60%). At the same time, compounds 14a and 14f also showed moderate activities (50%). Furthermore, the insecticidal activities of compounds 14 against Helicoverpa armigera and Ostrinia nubilalis were all below 50%. For Spodoptera frugiperda, only compound 14i exhibited obvious lethality (70%). Moreover, the inhibitory activities of compounds 14 were all below 40% against Culex pipiens pallens at 10 mg/L. The structure–activity relationship (SAR) of the target compounds showed that when the substituents of the benzene ring were 4-F and 3-Cl-2-CH3, the inhibitory activities against the tested targets were superior to others. Compounds containing F and Cl groups are beneficial to enhance insecticidal activity. Comparing 14b, 14o, 14p and 14q, we can see that Cl was beneficial improving the insecticidal activity of the compound.
Table 1.
Insecticidal activities of compounds 14a–14s.
The results of the fungicidal activity tests of the target compounds are shown in Table 2. All the target compounds 14 were found to exhibit inhibitory activity against the 10 fungi at 50 mg/L. Compounds 14h (77.8%), 14e (55.6%), 14k (66.7%), 14n (66.7%) and 14r (55.6%) showed good inhibitory activities against Pyricularia oryae, which were lower than the control drug bixafen (100%). For Sclerotinia sclerotiorum, compounds 14g, 14n, 14o, 14p and 14q possessed moderately inhibitory activities (45.2%–58.1%). As can be seen, compound 14n exhibited good inhibitory activity against Alternaria solani (50.5%), Gibberella zeae (55.9%), Cercospora arachidicola (65.9%) and Riziocotinia solani (53.3%). From Table 3, we can see that compound 14h had good inhibitory activity against Pyricularia oryae with an EC50 of 16.95 mg/L. In addition, by comparing the control effects of compounds 14a, 14h, 14k, 14q and 14r on Pyricularia oryae, the aniline-containing substituents at the meta position were generally beneficial to improving the fungicidal activity.
Table 2.
Fungicidal activities of compounds 14a–14s at 50 mg/L.
Table 3.
EC50 of compound 14h and bixafen to Pyricularia oryae (PO).
2.4. Toxicity to Zebrafish Embryo
According to the fungicidal activity results, we selected compound 14h, which showed good activity, to study the lethal and teratogenic effects of exposure upon zebrafish embryos from 6 to 96 hpf (hours post-fertilization). When the concentration of 14h was lower than 40 mg/L, the mortality increased sharply with the increase in the concentration. At 40 mg/L, the mortality rate reached as high as 90%. The mortality rate of 14h showed concentration-dependent curves (Figure 3) with an LC50 value of 14.01 mg/L.
Figure 3.
Zebrafish embryo mortality rates after exposure to 14h.
At 0–24 hpf, zebrafish embryos showed no obvious developmental delay (Figure 4). However, a series of malformations appeared at 48–96 hpf, such as delayed yolk absorption, a significantly shortened body, pericardial cysts, bent spine, melanin deficiency and yolk sac. At 48 hpf, the yolk absorption rate of zebrafish in the 14 mg/L-exposed group was significantly inhibited compared with the control group. At 72 hpf, larval zebrafish exposed at 14 mg/L showed pericardial edema and shortened body lengths. At 96 hpf, bent spines were observed for the larval zebrafish exposed at 10 or 14 mg/L.
Figure 4.
Zebrafish embryo malformation after exposure to compound 14h.
3. Experimental Section
3.1. General Information
Melting points were determined using an X-4 digital microscopic melting point detector (Taike, Beijing, China) and the thermometer was uncorrected. 1H NMR and 13C NMR spectra were measured on a BRUKER Avance 500 MHz spectrometer (Bruker 500 MHz, Fallanden, Switzerland) using CDCl3 or DMSO as the solvent. High-resolution electrospray mass spectra (HR-ESI–MS) were determined using an UPLC H CLASS/QTOF G2 XS mass spectrometer (Waters, Milford, CT, USA). All the reagents were of analytical grade or synthesized in our laboratory. The characterization data for all synthetic compounds are provided in the Supplementary Materials.
Ethics statement: The Institutional Animal Care and Use Committee (IACUC) at Wenzhou Medical University (SYXK 2019-0009, 4 April 2019 to 4 April 2024) approved our study plan for the proper use of zebrafish. All studies were carried out in strict accordance with the guidelines of the IACUC. All dissections were performed on ice, and all efforts were made to minimize suffering.
3.2. Synthesis
3.2.1. Ethyl 2,4-Dioxohexanoate 3
Sodium (2.50 g), toluene (50 mL) and ethanol absolute (30 mL) were added to a three-necked flask successively. Then, the solution of diethyl oxalate (14.63 g, 0.10 mol) in butanone (7.25 g, 0.10 mol) was added dropwise at 0 °C and reacted for 5–6 h. The solvent was removed under reduced pressure and the pH was then adjusted to 2–3 with HCl. Afterwards, the mixture was extracted using toluene and the extraction was dried with MgSO4 and filtered. The filtration was concentrated to give 12.70 g yellow liquid. Yield: 73.9%.
3.2.2. Ethyl 3-Ethyl-1H-pyrazole-5-carboxylate 4
N2H4·H2O (4.40 g, 88.50 mmol) was added dropwise to the mixture of ethanol (60 mL) and compounds 3 (12.70 g, 73.80 mmol) at 0 °C to react for 4 h. The solvent was removed under reduced pressure. Then, the residue was extracted using toluene and separated via column chromatography to give 7.20 g light yellow liquid. Yield: 58.2%.
3.2.3. Ethyl 3-Ethyl-1-methyl-1H-pyrazole-5-carboxylate 5
The solution of compound 4 (7.20 g, 0.04 mol) in CHCl3 (50 mL) was heated to 35 °C. Then, dimethyl sulfate (7.60 g, 0.06 mol) was added dropwise, and the mixture continued to react at 50 °C for 3 h. At last, purification via column chromatography yielded 6.81 g yellow liquid. Yield: 93.4%. 1H NMR (500 MHz, chloroform-d) δ: 6.57 (s, 1H), 4.37 (q, J = 7.1 Hz, 2H), 3.83 (s, 3H), 2.61 (q, J = 8.0 Hz, 2H), 1.37 (t, J = 7.1 Hz, 3H), 1.27 (t, J = 7.5 Hz, 3H).
3.2.4. Ethyl 4-Chloro-3-ethyl-1-methyl-1H-pyrazole-5-carboxylate 6
The mixture of compound 5 (6.81 g) and CHCl3 (50 mL) was heated to 40 °C. Then, SO2Cl2 (7.60 g, 56.00 mmol) was added dropwise and reacted at 60 °C for 2 h. The mixture was washed with saturated Na2CO3 and extracted with ethyl acetate and dried with MgSO4. Next, the solvent was removed to give 7.53 g solid. The crude product was subjected to the next reaction without further purification.
3.2.5. Intermediate 7
To a three-necked flask, we added compound 6 (2.10 g 0.01 mol) and ethanol (30 mL), then stirred it to dissolve it completely. Subsequently, NaOH (5 mL, 30%) was added to reflux for 1 h. The solvent was removed and then the pH was adjusted to 2–3 with HCl to precipitate a white solid. The crude product was recrystallized in ethanol and water to afford the pure product.
3.2.6. Intermediate 11
For the synthesis of intermediate 11, refer to our previous work [24].
3.2.7. Methyl 3-(5-(4-Chloro-3-ethyl-1-methyl-1H-pyrazol-5-yl)-1,2,4-oxadiazol-3-yl)benzoate 12
The solution of intermediate 7 (0.94 g, 5.00 mmol) and thionyl chloride (10 mL) was added to a three-necked fask and refluxed. Afterwards, the solvent was removed to give 4-chloro-3-ethyl-1-methyl-1H-pyrazole-5-carbonyl chloride. Then, the mixture of intermediate 11 (0.97 g, 5.00 mmol), triethylamine (1.20 g, 12.00 mmol) and toluene (100 mL) was stirred at 0 °C for 2 h.
The newly prepared 4-chloro-3-ethyl-1-methyl-1H-py-razole-5-carbonyl chloride was added dropwise to react at 0 °C for 3 h, then heated to reflux for 2 h. The mixture was washed with water (150 mL) and a saturated sodium chloride solution, successively. Finally, the organic layer was dried with Na2SO4 and the solvent was removed to give 1.45 g product. Yield: 57.8%, m.p. 137–139 °C; 1H NMR (500 MHz, chloroform-d) δ: 7.65 (s, 1H), 7.42 (d, J = 7.8 Hz, 1H), 7.26 (d, J = 7.8 Hz, 1H), 6.86 (t, J = 7.8 Hz, 1H), 3.32 (s, 3H), 3.02 (s, 3H), 1.73 (q, J = 7.6 Hz, 2H), 0.32 (t, J = 7.6 Hz, 3H).
3.2.8. 3-(5-(4-Chloro-3-ethyl-1-methyl-1H-pyrazol-5-yl)-1,2,4-oxadiazol-3-yl)benzoic Acid 13
NaOH (5 mL, 40%) was added to the solution of compound 12 (0.68 g, 2.00 mmol) in THF (40 mL). Then, it was heated to reflux for 2 h and then cooled. THF was removed. Afterwards, 30 mL water was added and the pH was adjusted to 2–3 using HCl to precipitate 0.61 g white solid. Yield: 91.6%, m.p. 183 °C–185 °C.
3.2.9. Target Compounds 14
Compounds 13 (2.00 mmol) and thionyl chloride (10 mL) were added to a three-necked flask and heated to reflux for 3 h. Then, thionyl chloride was removed under reduced pressure, followed by the addition of THF (30 mL). Afterwards, the solution (2.20 mmol substituted aniline, 5.00 mmol triethylamine, 2 mL THF) was added dropwise at 0–5 °C. This was stirred overnight and purified by means of column chromatography to yield the target compounds 14a–14s.
3-(5-(4-chloro-3-ethyl-1-methyl-1H-pyrazol-5-yl)-1,2,4-oxadiazol-3-yl)-N-phenylbenzamide,14a, white solid, yield 73.3%, m.p. 204 °C–206 °C; 1H NMR (500 MHz, DMSO-d6) δ 10.50 (s, 1H), 8.62 (s, 1H), 8.24 (dd, J = 31.5, 7.5 Hz, 2H), 7.81 (d, J = 7.8 Hz, 2H), 7.77 (t, J = 7.7 Hz, 1H), 7.38 (t, J = 7.6 Hz, 2H), 7.13 (t, J = 7.0 Hz, 1H), 4.24 (s, 3H), 2.63 (q, J = 7.4 Hz, 2H), 1.22 (t, J = 7.5 Hz, 3H); 13C NMR (126 MHz, DMSO-d6) δ 167.67, 167.18, 165.06, 150.38, 139.41, 136.44, 131.32, 130.55, 129.99, 129.09, 126.95, 126.34, 124.87, 124.37, 120.98, 111.71, 41.05, 19.00, 12.93; HRMS calcd. for C21H19ClN5O2 [M + H]+ 408.1222, found 408.1224.
3-(5-(4-chloro-3-ethyl-1-methyl-1H-pyrazol-5-yl)-1,2,4-oxadiazol-3-yl)-N-(o-tolyl)benzamide, 14b, white solid, yield, 75.3%, m.p. 198 °C–201 °C; 1H NMR (500 MHz, DMSO-d6) δ 10.18 (s, 1H), 8.66 (s, 1H), 8.26 (dd, J = 25.5, 7.5 Hz, 2H), 7.77 (t, J = 7.8 Hz, 1H), 7.37 (d, J = 7.7 Hz, 1H), 7.30 (d, J = 7.3 Hz, 1H), 7.27–7.18 (m, 2H), 4.24 (s, 3H), 2.63 (q, J = 7.6 Hz, 2H), 2.27 (s, 3H), 1.22 (t, J = 7.5 Hz, 3H); 13C NMR (126 MHz, DMSO-d6) δ 167.71, 167.20, 164.92, 150.39, 136.64, 136.04, 134.27, 131.30, 130.83, 130.57, 130.09, 127.14, 127.00, 126.67, 126.52, 126.39, 124.91, 111.69, 41.05, 19.00, 18.37, 12.96; HRMS calcd. for C22H21ClN5O2 [M + H]+ 422.1378, found 422.1381.
3-(5-(4-chloro-3-ethyl-1-methyl-1H-pyrazol-5-yl)-1,2,4-oxadiazol-3-yl)-N-(m-tolyl)benzamide, 14c, white solid, yield 75.6%, m.p. 221 °C–224 °C; 1H NMR (500 MHz, DMSO-d6) δ 10.42 (s, 1H), 8.61 (s, 1H), 8.23 (dd, J = 33.0, 7.8 Hz, 2H), 7.75 (t, J = 7.8 Hz, 1H), 7.64 (s, 1H), 7.59 (d, J = 8.6 Hz, 1H), 7.25 (t, J = 7.8 Hz, 1H), 6.94 (d, J = 7.4 Hz, 1H), 4.24 (s, 3H), 2.62 (q, J = 7.6 Hz, 2H), 2.32 (s, 3H), 1.21 (t, J = 7.6 Hz, 3H); 13C NMR (126 MHz, DMSO-d6) δ 167.65, 167.13, 164.96, 150.37, 139.29, 138.26, 136.40, 131.24, 130.49, 129.93, 128.90, 126.92, 126.31, 125.05, 124.82, 121.51, 118.16, 111.72, 41.01, 21.65, 18.99, 12.89; HRMS calcd. for C22H21ClN5O2 [M + H]+ 422.1378, found 422.1379.
3-(5-(4-chloro-3-ethyl-1-methyl-1H-pyrazol-5-yl)-1,2,4-oxadiazol-3-yl)-N-(p-tolyl)benzamide, 14d, white solid, yield 76.7%, m.p. 215 °C–217 °C; 1H NMR (500 MHz, DMSO-d6) δ 10.45 (s, 1H), 8.63 (s, 1H), 8.25 (dd, J = 45.5, 7.8 Hz, 2H), 7.78 (t, J = 7.8 Hz, 1H), 7.68 (d, J = 8.3 Hz, 2H), 7.18 (d, J = 8.2 Hz, 2H), 4.26 (s, 3H), 2.66 (q, J = 7.5 Hz, 2H), 2.30 (s, 3H), 1.22 (t, J = 7.6 Hz, 3H); 13C NMR (126 MHz, DMSO-d6) δ 167.73, 167.22, 164.89, 150.40, 136.87, 136.56, 133.38, 131.32, 130.51, 130.04, 129.50, 126.93, 126.35, 124.94, 121.01, 111.69, 41.07, 20.98, 19.01, 12.98; HRMS calcd. for C22H21ClN5O2 [M + H]+ 422.1378, found 422.1375.
3-(5-(4-chloro-3-ethyl-1-methyl-1H-pyrazol-5-yl)-1,2,4-oxadiazol-3-yl)-N-(4-(tert-butyl)phenyl)benzamide, 14e, white solid, yield 74.8%, m.p. 216 °C–218 °C, 1H NMR (500 MHz, DMSO-d6) δ 10.46 (s, 1H), 8.63 (s, 1H), 8.25 (dd, J = 41, 7.5 Hz, 2H), 7.78 (t, J = 7.7 Hz, 1H), 7.72 (d, J = 8.5 Hz, 2H), 7.39 (d, J = 8.5 Hz, 2H), 4.26 (s, 3H), 2.65 (q, J = 7.5 Hz, 2H), 1.29 (s, 9H), 1.24 (t, J = 7.5 Hz, 3H); 13C NMR (126 MHz, DMSO-d6) δ 167.72, 167.21, 164.88, 150.40, 146.75, 136.83, 136.53, 131.31, 130.51, 130.01, 126.94, 126.34, 125.71, 124.92, 120.74, 111.70, 41.05, 34.55, 31.67, 19.01, 12.96; HRMS calcd. for C25H27ClN5O2 [M + H]+ 464.1848, found 464.1852.
3-(5-(4-chloro-3-ethyl-1-methyl-1H-pyrazol-5-yl)-1,2,4-oxadiazol-3-yl)-N-(3-(trifluoromethyl)phenyl)benzamide, 14f, yellow solid, yield 65.7%, m.p. 241 °C–243 °C; 1H NMR (500 MHz, DMSO-d6) δ 10.78 (s, 1H), 8.64 (s, 1H), 8.39–8.15 (m, 3H), 8.07 (d, J = 8.2 Hz, 1H), 7.78 (t, J = 7.0 Hz, 1H), 7.61 (t, J = 8.0 Hz, 1H), 7.47 (d, J = 7.8 Hz, 1H), 4.24 (s, 3H), 2.63 (q, J = 7.5 Hz, 2H), 1.21 (t, J = 7.5 Hz, 3H); 13C NMR (126 MHz, DMSO-d6) δ 167.60, 167.20, 165.40, 150.37, 140.21, 135.87, 131.37, 130.86, 130.33, 130.02 (d, J = 11.5 Hz), 126.97, 126.43, 125.69, 124.85, 124.38, 123.52, 120.63 (d, J = 3.7 Hz), 116.99 (d, J = 4.5 Hz), 111.72, 41.03, 18.98, 12.90, HRMS calcd. for C22H18ClF3N5O2 [M + H]+ 476.1096, found 476.1093.
3-(5-(4-chloro-3-ethyl-1-methyl-1H-pyrazol-5-yl)-1,2,4-oxadiazol-3-yl)-N-(2-fluorophenyl)benzamide, 14g, yellow solid, yield 63.3%, m.p. 236 °C–238 °C; 1H NMR (500 MHz, DMSO-d6) δ 10.43 (s, 1H), 8.66 (s, 1H), 8.27 (dd, J = 33.0, 7.8 Hz, 2H), 7.78 (t, J = 8.0 Hz, 1H), 7.65 (t, J = 8.0 Hz, 1H), 7.33 (d, J = 9.5 Hz, 2H), 7.26 (d, J = 7.8 Hz, 1H), 4.25 (s, 3H), 2.63 (q, J = 7.5 Hz, 2H), 1.22 (t, J = 7.5 Hz, 3H); 13C NMR (126 MHz, DMSO-d6) δ 167.65, 167.19, 165.05, 157.29, 155.32, 150.38, 135.43, 131.45, 130.83, 130.10, 127.63 (d, J = 9.1 Hz), 127.06, 126.40, 125.98 (d, J = 12.3 Hz), 124.87, 124.79 (d, J = 3.5 Hz), 116.33 (d, J = 19.9 Hz), 111.71, 41.03, 18.99, 12.92; HRMS calcd. for C21H18ClFN5O2 [M + H]+ 426.1128, found 426.1122.
3-(5-(4-chloro-3-ethyl-1-methyl-1H-pyrazol-5-yl)-1,2,4-oxadiazol-3-yl)-N-(3-fluorophenyl)benzamide, 14h yellow solid, yield 61.1%, m.p. 200 °C–203 °C; 1H NMR (500 MHz, DMSO-d6) δ: 10.71 (s, 1H), 8.64 (s, 1H), 8.27 (dd, J = 32.5, 7.5 Hz, 2H), 7.87–7.74 (m, 2H), 7.59 (d, J = 8.2 Hz, 1H), 7.49–7.37 (m, 1H), 6.97 (t, J = 10.5 Hz, 1H), 4.27 (s, 3H), 2.66 (q, J = 7.5 Hz, 2H), 1.24 (t, J = 7.5 Hz, 3H); 13C NMR (126 MHz, DMSO-d6) δ 167.10, 166.68, 164.79, 162.97, 161.05, 149.86, 140.67 (d, J = 11.2 Hz), 135.55, 130.85, 130.20 (d, J = 10.6 Hz), 129.53, 126.45, 125.89, 124.34, 116.06, 111.22, 110.29 (d, J = 20.6 Hz), 107.08 (d, J = 26.1 Hz), 40.54, 18.49, 12.41; HRMS calcd. for C21H18ClFN5O2 [M + H]+ 426.1128, found 426.1127.
3-(5-(4-chloro-3-ethyl-1-methyl-1H-pyrazol-5-yl)-1,2,4-oxadiazol-3-yl)-N-(4-fluorophenyl)benzamide, 14i, yellow solid, yield 66.4%, m.p. 209 °C–213 °C; 1H NMR (500 MHz, DMSO-d6) δ 10.56 (s, 1H), 8.62 (s, 1H), 8.28 (d, J = 7.7 Hz, 1H), 8.20 (d, J = 7.8 Hz, 1H), 7.89–7.68 (m, 3H), 7.22 (t, J = 8.7 Hz, 2H), 4.25 (s, 3H), 2.64 (q, J = 7.6 Hz, 2H), 1.22 (t, J = 7.5 Hz, 3H); 13C NMR (126 MHz, DMSO-d6) δ 167.68, 167.21, 165.00, 159.86, 157.95, 150.39, 136.29, 135.74, 131.32, 130.63, 130.06, 126.92, 126.38, 124.90, 122.84 (d, J = 7.9 Hz), 115.69 (d, J = 22.3 Hz), 111.70, 41.05, 19.00, 12.95; HRMS calcd. for C21H18ClFN5O2 [M + H]+ 426.1128, found 426.1128.
3-(5-(4-chloro-3-ethyl-1-methyl-1H-pyrazol-5-yl)-1,2,4-oxadiazol-3-yl)-N-(2-chlorophenyl)benzamide, 14j, yellow solid, yield 53.6%, m.p. 198 °C–202 °C; 1H NMR (500 MHz, DMSO-d6) δ 10.41 (s, 1H), 8.69 (s, 1H), 8.33 (d, J = 8.0 Hz, 1H), 8.25 (d, J = 8.0 Hz, 1H), 7.80 (t, J = 7.8 Hz, 1H), 7.61 (dd, J = 16.0, 7.9 Hz, 2H), 7.43 (t, J = 7.7 Hz, 1H), 7.36–7.32 (m, 1H), 4.26 (s, 3H), 2.65 (q, J = 7.6 Hz, 2H), 1.23 (t, J = 7.5 Hz, 3H), 13C NMR (126 MHz, DMSO-d6) δ 167.67, 167.23, 165.08, 150.41, 135.52, 135.35, 131.37, 130.86, 130.20, 130.17, 130.08, 129.09, 128.20, 128.00, 127.05, 126.47, 124.93, 111.70, 41.05, 19.01, 12.96; HRMS calcd. for C21H18Cl2N5O2 [M + H]+ 442.0832, found 442.0836.
3-(5-(4-chloro-3-ethyl-1-methyl-1H-pyrazol-5-yl)-1,2,4-oxadiazol-3-yl)-N-(3-chlorophenyl)benzamide,14k, white solid, yield 68.3%, m.p. 213 °C–216 °C; 1H NMR (500 MHz, DMSO-d6) δ: 10.68 (s, 1H), 8.64 (s, 1H), 8.33 (d, J = 7.8 Hz, 1H), 8.22 (d, J = 7.8 Hz, 1H), 8.00 (s, 1H), 7.81 (t, J = 7.8 Hz, 1H), 7.74 (d, J = 9.3 Hz, 1H), 7.42 (t, J = 8.1 Hz, 1H), 7.20 (dd, J = 7.7, 1.6 Hz, 1H), 4.27 (s, 3H), 2.67 (q, J = 7.6 Hz, 2H), 1.24 (t, J = 7.6 Hz, 3H); 13C NMR (126 MHz, DMSO-d6) δ 167.61, 167.18, 165.27, 150.37, 140.89, 135.99, 133.43, 131.36, 130.78, 130.05, 126.96, 126.40, 124.85, 124.03, 120.34, 119.22, 111.72, 41.04, 18.99, 12.91; HRMS calcd. for C21H18Cl2N5O2 [M + H]+ 442.0832, found 442.0833.
3-(5-(4-chloro-3-ethyl-1-methyl-1H-pyrazol-5-yl)-1,2,4-oxadiazol-3-yl)-N-(4-chlorophenyl)benzamide, 14l, white solid, yield 74.1%, m.p. 223 °C–225 °C; 1H NMR (500 MHz, DMSO-d6) δ 10.65 (s, 1H), 8.63 (s, 1H), 8.31 (d, J = 7.5 Hz, 1H), 8.21 (d, J = 8.0 Hz, 1H), 7.84 (d, J = 8.5 Hz, 2H), 7.79 (t, J = 7.7 Hz, 1H), 7.44 (d, J = 8.4 Hz, 2H), 4.26 (s, 3H), 2.66 (q, J = 7.6 Hz, 2H), 1.23 (t, J = 7.4 Hz, 3H); 13C NMR (126 MHz, DMSO-d6) δ 167.69, 167.25, 165.21, 150.41, 138.39, 136.23, 131.42, 130.75, 130.12, 129.04, 128.02, 126.96, 126.41, 124.94, 122.49, 111.70, 41.07, 19.01, 12.98; HRMS calcd. for C21H18Cl2N5O2 [M + H]+ 442.0832, found 442.0831.
3-(5-(4-chloro-3-ethyl-1-methyl-1H-pyrazol-5-yl)-1,2,4-oxadiazol-3-yl)-N-(4-bromophenyl)benzamide, 14m, yellow solid, yield 73.3%, m.p. 244 °C–246 °C; 1H NMR (500 MHz, DMSO-d6) δ 10.64 (s, 1H), 8.63 (s, 1H), 8.31 (d, J = 7.7 Hz, 1H), 8.21 (d, J = 7.8 Hz, 1H), 7.88–7.70 (m, 3H), 7.57 (d, J = 8.4 Hz, 2H), 4.26 (s, 3H), 2.66 (q, J = 7.5 Hz, 2H), 1.23 (t, J = 7.4 Hz, 3H); 13C NMR (126 MHz, DMSO-d6) δ 167.68, 167.24, 165.22, 150.41, 138.81, 136.22, 131.96, 131.41, 130.76, 130.12, 126.96, 126.41, 124.93, 122.85, 116.11, 111.70, 41.06, 19.01, 12.98; HRMS calcd. for C21H18BrClN5O2 [M + H]+ 486.0327, found 486.0326.
3-(5-(4-chloro-3-ethyl-1-methyl-1H-pyrazol-5-yl)-1,2,4-oxadiazol-3-yl)-N-(4-iodophenyl)benzamide, 14n, yellow solid, yield 66.3%, m.p. 253 °C–256 °C; 1H NMR (500 MHz, DMSO-d6) δ 10.61 (s, 1H), 8.62 (s, 1H), 8.31 (d, J = 7.5 Hz, 1H), 8.21 (d, J = 7.7 Hz, 1H), 7.79 (t, J = 7.7 Hz, 1H), 7.72 (d, J = 8.0 Hz, 2H), 7.66 (d, J = 8.0 Hz, 2H), 4.26 (s, 3H), 2.66 (q, J = 7.7 Hz, 2H), 1.23 (t, J = 7.6 Hz, 3H); 13C NMR (126 MHz, DMSO-d6) δ 167.68, 167.24, 165.20, 150.41, 139.29, 137.80, 136.25, 131.41, 130.75, 130.11, 126.97, 126.40, 124.93, 123.09, 111.70, 88.14, 41.06, 19.01, 12.98; HRMS calcd. for C21H18IClN5O2 [M + H]+ 534.0188, found 534.0188.
3-(5-(4-chloro-3-ethyl-1-methyl-1H-pyrazol-5-yl)-1,2,4-oxadiazol-3-yl)-N-(2,4-dimethylphenyl)benzamide, 14o, white solid, yield 68.7%, m.p. 203 °C–205 °C; 1H NMR (500 MHz, DMSO-d6) δ 10.10 (s, 1H), 8.66 (s, 1H), 8.29 (d, J = 7.5 Hz, 1H), 8.24 (d, J = 7.5 Hz, 1H), 7.77 (t, J = 8.5 Hz, 1H), 7.23 (d, J = 7.5 Hz, 1H), 7.11 (s, 1H), 7.06 (d, J = 9.0 Hz 1H), 4.26 (s, 3H), 2.66 (q, J = 7.5 Hz, 2H), 2.30 (s, 3H), 2.22 (s, 3H), 1.23 (t, J = 8.5 Hz, 3H); 13C NMR (126 MHz, DMSO-d6) δ 167.72, 167.17, 164.89, 150.38, 136.10, 135.75, 134.05, 131.34, 131.24, 130.47, 130.02, 127.05, 127.02, 126.98, 126.36, 124.89, 111.69, 41.03, 21.02, 19.00, 18.29, 12.93; HRMS calcd. for C23H23ClN5O2 [M + H]+ 436.1535, found 436.1533.
3-(5-(4-chloro-3-ethyl-1-methyl-1H-pyrazol-5-yl)-1,2,4-oxadiazol-3-yl)-N-(2,6-dimethylphenyl)benzamide, 14p, white solid, yield 66.6%, m.p. 183 °C–187 °C; 1H NMR (500 MHz, DMSO-d6) δ 10.06 (s, 1H), 8.69 (s, 1H), 8.28 (t, J = 9.4 Hz, 2H), 7.78 (t, J = 7.7 Hz, 1H), 7.15 (s, 3H), 4.25 (s, 3H), 2.63 (q, J = 7.6 Hz, 2H), 2.23 (s, 6H), 1.22 (t, J = 7.6 Hz, 3H); 13C NMR (126 MHz, DMSO-d6) δ 167.70, 167.18, 164.58, 150.38, 136.06, 135.85, 135.54, 131.11, 130.53, 130.11, 128.24, 127.28, 126.88, 126.46, 124.88, 111.69, 41.03, 19.00, 18.53, 12.92; HRMS calcd. for C23H23ClN5O2 [M + H]+ 436.1535, found 436.1537.
N-(3-chloro-2-methylphenyl)-3-(5-(4-chloro-3-ethyl-1-methyl-1H-pyrazol-5-yl)-1,2,4-oxadiazol-3-yl)benzamide, 14q, yellow solid, yield 62.3%, m.p. 214 °C–216 °C; 1H NMR (500 MHz, DMSO-d6) δ 10.43 (s, 1H), 8.67 (s, 1H), 8.31 (d, J = 7.8 Hz, 1H), 8.25 (d, J = 7.8 Hz, 1H), 7.79 (t, J = 7.7 Hz, 1H), 7.38 (dd, J = 33.5, 7.8 Hz, 2H), 7.29 (d, J = 7.9 Hz, 1H), 4.25 (s, 3H), 2.65 (q, J = 7.6 Hz, 2H), 2.28 (s, 3H), 1.23 (t, J = 7.5 Hz, 3H); 13C NMR (126 MHz, DMSO-d6) δ 167.67, 167.21, 165.13, 150.39, 138.31, 135.64, 134.30, 132.73, 131.37, 130.77, 130.14, 127.42, 127.40, 127.02, 126.43, 126.40, 124.90, 111.70, 41.05, 19.00, 15.83, 12.95; HRMS calcd. for C22H20Cl2N5O2 [M + H]+ 456.0989, found 456.0983.
3-(5-(4-chloro-3-ethyl-1-methyl-1H-pyrazol-5-yl)-1,2,4-oxadiazol-3-yl)-N-(3,4-dichlorophenyl)benzamide, 14r, yellow solid, yield 58.9%, m.p. 194 °C–195 °C; 1H NMR (500 MHz, DMSO-d6) δ 10.74 (s, 1H), 8.62 (s, 1H), 8.31 (d, J = 7.7 Hz, 1H), 8.19 (dd, J = 15.4, 5.0 Hz, 2H), 7.82–7.71 (m, 2H), 7.63 (d, J = 8.8 Hz, 1H), 4.26 (s, 3H), 2.65 (q, J = 7.5 Hz, 2H), 1.23 (t, J = 7.5 Hz, 3H); 13C NMR (126 MHz, DMSO-d6) δ 167.61, 167.23, 165.36, 150.40, 139.54, 135.80, 131.42, 131.36, 131.06, 130.96, 130.16, 126.96, 126.46, 125.85, 124.90, 122.06, 120.85, 111.71, 41.06, 19.00, 12.96; HRMS calcd. for C21H17Cl3N5O2 [M + H]+ 476.0442, found 476.0443.
3-(5-(4-chloro-3-ethyl-1-methyl-1H-pyrazol-5-yl)-1,2,4-oxadiazol-3-yl)-N-(2,4-difluorophenyl)benzamide, 14s, yellow solid, yield 54.7%, m.p. 207 °C–208 °C; 1H NMR (500 MHz, DMSO-d6) δ 10.44 (s, 1H), 8.66 (s, 1H), 8.30 (d, J = 7.8 Hz, 1H), 8.22 (d, J = 7.8 Hz, 1H), 7.78 (t, J = 7.8 Hz, 1H), 7.69–7.57 (m, 1H), 7.46–7.31 (m, 1H), 7.16 (t, J = 4.3 Hz, 1H), 4.25 (s, 3H), 2.63 (q, J = 7.5 Hz, 2H), 1.22 (t, J = 7.5 Hz, 3H); 13C NMR (126 MHz, DMSO-d6) δ 167.63, 167.20, 165.12, 161.26 (d, J = 11.6 Hz), 159.31 (d, J = 11.2 Hz), 157.58 (d, J = 12.4 Hz), 155.59 (d, J = 12.6 Hz), 150.38, 135.21, 131.16 (d, J = 67.0 Hz), 130.14, 129.02 (d, J = 9.9 Hz), 127.02, 126.43, 124.87, 122.53 (dd, J = 12.4, 3.5 Hz), 111.70, 104.89 (t, J = 25.2 Hz), 41.03, 18.99, 12.92; HRMS calcd. for C21H17ClF2N5O2 [M + H]+ 444.1033, found 444.1035.
4. Conclusions
In conclusion, a series of novel pyrazole-linked 1,2,4-oxadiazoles were designed by means of bioisosterism. The preliminary bioassay showed that most compounds exhibited good lethal activities against Mythimna separate, Helicoverpa armigera, Ostrinia nubilalis and Spodoptera frugiperda at 500 mg/L. Specifically, for Mythimna separate, compound 14q (70%) exhibited obvious insecticidal activity. At 50 mg/L, compound 14h (77.8%) displayed fungicidal activity against Pyricularia oryae. In addition, the acute toxicity of 14h to zebrafish embryos was 14.01 mg/L, and it was thus classified as a low-toxicity compound. Therefore, these compounds could potentially be selected as lead compounds for further studies.
Supplementary Materials
The following supporting information can be downloaded at: https://www.mdpi.com/article/10.3390/molecules27154692/s1, Figures S1–S19: 1H NMR spectra of 14a–14s; Figures S20–S38: 13C NMR spectra of 14a–14s; Figures S39–S57: ESI-HRMS spectra of 14a–14s.
Author Contributions
M.-T.T., Y.-Y.S., S.Y., B.-L.S. and Y.-Y.W. carried out experimental work, M.-T.T. prepared the manuscript, C.-X.T. designed the material and supervised the project. C.-X.T. and X.-D.W. revised the paper. All authors have read and agreed to the published version of the manuscript.
Funding
This work was funded by the Wynca Group and Siga Co., Ltd. R&D Program, grant numbers KYY-HX-20200138 and KYY-HX-20210049.
Institutional Review Board Statement
The animal study protocol was approved by the Institutional Animal Care and Use Committee (IACUC) at Wenzhou Medical University (SYXK 2019-0009, 4 April 2019 to 4 April 2024).
Informed Consent Statement
Not applicable.
Data Availability Statement
The data presented in this study are available in the article and Supplementary Materials.
Acknowledgments
We acknowledge Hui-Li Wang for support with the toxicity determination.
Conflicts of Interest
The authors declare no conflict of interest.
Sample Availability
Samples of the compounds are not available from the authors.
References
- Liu, X.H.; Qiao, L.; Zhai, Z.W.; Cai, P.P.; Cantrell, C.L.; Tan, C.X.; Weng, J.Q.; Han, L.; Wu, H.K. Novel 4-pyrazole carboxamide derivatives containing flexible chain motif: Design, synthesis and antifungal activity. Pest Manag. Sci. 2019, 75, 2892–2900. [Google Scholar] [CrossRef] [PubMed]
- Masumoto, E.; Kashige, N.; Nagabuchi, H.; Okabe-Nakahara, F.; Maruoka, H. Synthesis and Evaluation for Biological Activities of 2-Thio-Acylated Thiazoles Containing Pyrazole Moiety. Heterocycles 2019, 98, 1736–1746. [Google Scholar] [CrossRef]
- Shi, J.J.; Ren, G.H.; Wu, N.J.; Weng, J.Q.; Xu, T.M.; Liu, X.H.; Tan, C.X. Design, synthesis and insecticidal activities of novel anthranilic diamides containing polyfluoroalkyl pyrazole moiety. Chin. Chem. Lett. 2017, 28, 1727–1730. [Google Scholar] [CrossRef]
- Li, Y.Z.; Zhang, H.Q.; Liu, J.; Yang, X.P.; Liu, Z. Stereoselective Synthesis and Antifungal Activities of (E)-r-(Methoxyimino)benzeneacetate Derivatives Containing 1,3,5-Substituted Pyrazole Ring. Agric. Food Chem. 2006, 54, 3636–3640. [Google Scholar] [CrossRef]
- Fu, Q.; Cai, P.P.; Cheng, L.; Zhong, L.K.; Tan, C.X.; Shen, Z.H.; Han, L.; Xu, T.M.; Liu, X.H. Synthesis and herbicidal activity of novel pyrazole aromatic ketone analogs as HPPD inhibitor. Pest Manag. Sci. 2020, 76, 868–879. [Google Scholar] [CrossRef]
- Liu, X.H.; Zhao, W.; Shen, Z.H.; Xing, J.H.; Yuan, J.; Yang, G.; Xu, T.M.; Peng, W.L. Synthesis, nematocidal activity and docking study of novel chiral 1-(3-chloropyridin-2-yl)-3-(trifluoromethyl)-1H-pyrazole-4-carboxamide derivatives. Bioorg. Med. Chem. Lett. 2016, 26, 3626–3628. [Google Scholar] [CrossRef]
- Yao, Y.Y.; Ren, C.L.; Li, C.; Zhong, L.K.; Xu, T.M.; Tan, C.X. Synthesis and Insecticidal Activity of 3-Ethyl Sulfone Pyridine Substituted Aryl Triazole Compounds. Chin. J. Org. Chem. 2021, 41, 2055–2062. [Google Scholar] [CrossRef]
- Liu, Q.; Zhu, R.; Gao, S.; Ma, S.H.; Tang, H.J.; Yang, J.J.; Diao, Y.M.; Wang, H.L.; Zhu, H.J. Structure-based bioisosterism design, synthesis, insecticidal activity and structure-activity relationship (SAR) of anthranilic diamide analogues containing 1,2,4-oxadiazole rings. Pest Manag. Sci. 2017, 73, 917–924. [Google Scholar] [CrossRef]
- Haugwitz, R.D.; Martinez, A.J.; Venslavsky, J.; Angel, R.G.; Maurer, B.V.; Jacobs, G.A.; Narayanan, V.L.; Cruthers, L.R.; Szanto, J. Antiparasitic agents. 6. Synthesis and anthelmintic activities of novel isothiocyanatophenyl-1,2,4-oxadiazoles. J. Med. Chem. 1985, 28, 1234–1241. [Google Scholar] [CrossRef]
- King, W.F.; Wheeler, R.E. Substituted Oxadiazoles and Their Use as Corn Root Worm Insecticides. U.S. Patent US4237121A, 2 December 1981. [Google Scholar]
- Sangshetti, J.N.; Nagawade, R.R.; Shinde, D.B. Synthesis of novel 3-(1-(1-substituted piperidin-4-yl)-1H-1,2,3-triazol-4-yl)-1,2,4-oxadiazol-5(4H)-one as antifungal agents. Bioorg. Med. Chem. Lett. 2009, 19, 3564–3567. [Google Scholar] [CrossRef]
- Wiebe, C.; Terteryan-Seiser, V.; Grammenos, W.; Craig, I.R.; Quintero Palomar, M.A.; Mentzel, T.; Fehr, M.; Escribano Cuesta, A.; Grote, T.; Lohmann, J.K.; et al. New Substituted Oxadiazoles Useful for Combating Phytopathogenic Harmful Fungi. WO Patent WO2017178245A1, 19 October 2017. [Google Scholar]
- Liu, D.; Luo, L.; Wang, Z.X.; Ma, X.Y.; Gan, X.H. Design, Synthesis and Antifungal/Nematicidal Activity of Novel 1,2,4-Oxadiazole Derivatives Containing Amide Fragments. Int. J. Mol. Sci. 2022, 23, 2607. [Google Scholar] [CrossRef] [PubMed]
- Ryu, E.K.; Chung, K.H.; Lee, W.H.; Kim, J.N.; Hong, K.S. Herbicidal Quinolinyloxadiazoles. U.S. Patent US5489687, 6 February 1996. [Google Scholar]
- Vijaya Bhargavi, M.; Shashikala, P.; Sumakanth, M.; Krishna, C. Synthesis, Molecular Docking, Analgesic, and Anti-Inflammatory Activities of New 1,2,4-Oxadiazolo-Sulfonamides. Russ. J. Gen. Chem. 2018, 88, 804–811. [Google Scholar] [CrossRef]
- Maftei, C.V.; Fodor, E.; Jones, P.G.; Daniliuc, C.G.; Franz, M.H.; Kelter, G.; Fiebig, H.-H.; Tamm, M.; Neda, I. Novel 1,2,4-oxadiazoles and trifluoromethylpyridines related to natural products: Synthesis, structural analysis and investigation of their antitumor activity. Tetrahedron 2016, 72, 1185–1199. [Google Scholar] [CrossRef]
- Zhang, S.; Meng, S.Q.; Xie, Y.; Yang, Y.G.; Zhang, Y.M.; He, L.; Wang, K.; Qi, Z.Q.; Ji, M.S.; Qin, P.W.; et al. Synthesis, Fungicidal Activity and SAR of 2-Thiazolamide/Pyrazolamide-Cyclohexylsulfonamides against Botrytis cinerea. Molecules 2019, 24, 14. [Google Scholar] [CrossRef] [Green Version]
- Jiang, B.B.; Jin, X.Y.; Dong, Y.W.; Guo, B.B.; Cui, L.; Deng, X.L.; Zhang, L.; Yang, Q.; Li, Y.X.; Yang, X.L.; et al. Design, Synthesis, and Biological Activity of Novel Heptacyclic Pyrazolamide Derivatives: A New Candidate of Dual-Target Insect Growth Regulators. J. Agric. Food Chem. 2020, 68, 6347–6354. [Google Scholar] [CrossRef] [PubMed]
- Xiao, J.J.; Liao, M.; Chu, M.J.; Ren, Z.L.; Zhang, X.; Lv, X.H.; Cao, H.Q. Design, synthesis and anti-tobacco mosaic virus (TMV) activity of 5-chloro-N-(4-cyano-1-aryl-1H-pyrazol-5-yl)-1-aryl-3-methyl-1H-pyrazole-4-carboxa mide derivatives. Molecules 2015, 20, 807–821. [Google Scholar] [CrossRef] [Green Version]
- Wu, Z.; Hu, D.; Kuang, J.; Cai, H.; Wu, S.; Xue, W. Synthesis and antifungal activity of N-(substituted pyridinyl)-1-methyl(phenyl)-3-(trifluoromethyl)-1H-pyrazole-4-carboxamide derivatives. Molecules 2012, 17, 14205–14218. [Google Scholar] [CrossRef] [Green Version]
- Selby, T.P.; Lahm, G.P.; Stevenson, T.M. A retrospective look at anthranilic diamide insecticides: Discovery and lead optimization to chlorantraniliprole and cyantraniliprole. Pest Manag. Sci. 2017, 73, 658–665. [Google Scholar] [CrossRef]
- Culbreath, A.K.; Brenneman, T.B.; Kemerait, R.C.; Hammes, G.G. Effect of the new pyrazole carboxamide fungicide penthiopyrad on late leaf spot and stem rot of peanut. Pest Manag. Sci. 2009, 65, 66–73. [Google Scholar] [CrossRef]
- Oostendorp, M.; Zeun, R. Sedaxane, a new experimental active ingredient from Syngenta for seed treatment use. Phytopathology 2011, 101, S133. [Google Scholar]
- Yang, S.; Tian, X.Y.; Ma, T.Y.; Dai, L.; Ren, C.L.; Mei, J.C.; Liu, X.H.; Tan, C.X. Synthesis and Biological Activity of Benzamides Substituted with Pyridine-Linked 1,2,4-Oxadiazole. Molecules 2020, 25, 3500. [Google Scholar] [CrossRef] [PubMed]
- Yang, S.; Ren, C.L.; Ma, T.Y.; Zou, W.Q.; Dai, L.; Tian, X.Y.; Liu, X.H.; Tan, C.X. 1,2,4-Oxadiazole-Based Bio-Isosteres of Benzamides: Synthesis, Biological Activity and Toxicity to Zebrafish Embryo. Int. J. Mol. Sci. 2021, 22, 2367. [Google Scholar] [CrossRef] [PubMed]
Publisher’s Note: MDPI stays neutral with regard to jurisdictional claims in published maps and institutional affiliations. |
© 2022 by the authors. Licensee MDPI, Basel, Switzerland. This article is an open access article distributed under the terms and conditions of the Creative Commons Attribution (CC BY) license (https://creativecommons.org/licenses/by/4.0/).





