Isolating Fe-O2 Intermediates in Dioxygen Activation by Iron Porphyrin Complexes
Abstract
:1. Introduction
2. Nature of Iron–Dioxygen Bond
3. Strategies to Stabilize Iron–Dioxygen Intermediates in O2 Activation
3.1. Sterically Hindered Metal Porphyrin Complexes
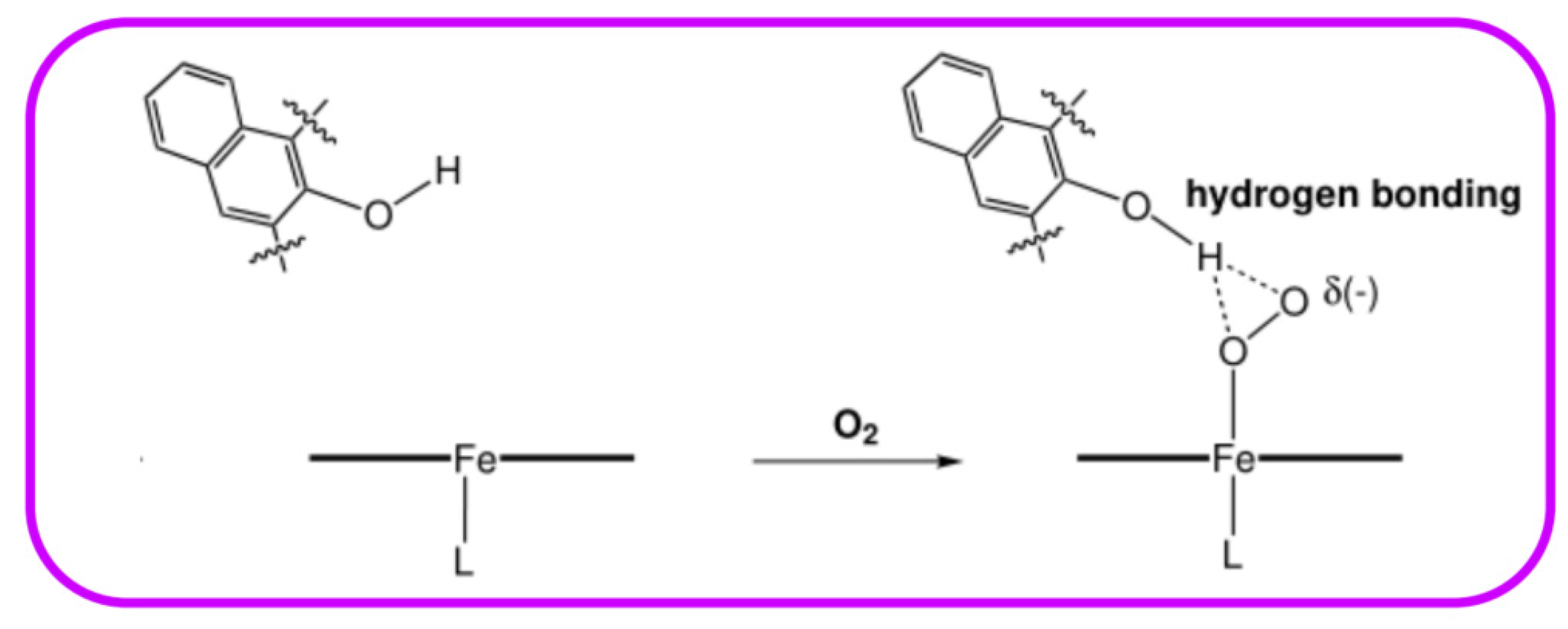
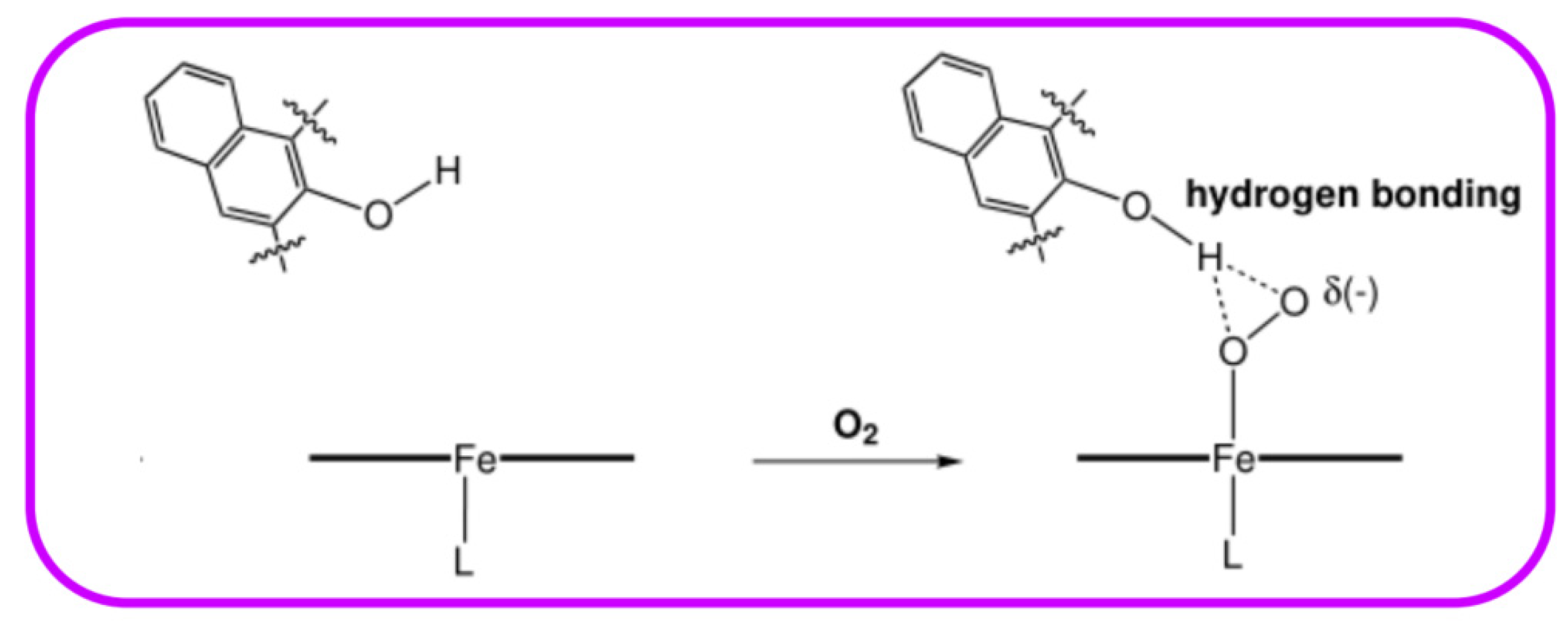
3.2. Secondary Coordination Sphere Interactions
3.3. Cryogenic Temperature
3.4. Encapsulation of the Metalloporphyrin in Metal–Organic Frameworks (MOFs)
4. Conclusions
Author Contributions
Funding
Institutional Review Board Statement
Informed Consent Statement
Data Availability Statement
Conflicts of Interest
References
- Kovaleva, E.G.; Lipscomb, J.D. Versatility of Biological Non Heme Fe(II) Centers in Oxygen Activation Reactions. Nat. Chem. Biol. 2008, 4, 186–193. [Google Scholar] [CrossRef] [PubMed] [Green Version]
- Guo, M.; Corona, T.; Ray, K.; Nam, W. Heme and Nonheme High-Valent Iron and Manganese Oxo Cores in Biological and Abiological Oxidation Reactions. ACS Cent. Sci. 2019, 5, 13–28. [Google Scholar] [CrossRef] [PubMed]
- Pau, M.Y.M.; Lipscomb, J.D.; Solomon, E.I. Substrate activation for O2 reactions by oxidized metal centers in biology. Proc. Natl. Acad. Sci. USA 2007, 104, 18355–18362. [Google Scholar] [CrossRef] [Green Version]
- Kovacs, J.A. How Iron Activates O2. Science 2003, 299, 1024–1025. [Google Scholar] [CrossRef]
- Sawyer, D.T. Oxygen Chemistry; Oxford University Press: New York, NY, USA, 1991. [Google Scholar]
- Nam, W. Dioxygen Activation by Metalloenzymes and Models. Acc. Chem. Res. 2007, 40, 465. [Google Scholar] [CrossRef] [Green Version]
- Zaragoza, J.P.T.; Goldberg, D.P. Dioxygen Binding and Activation Mediated by Transition Metal Porphyrinoid Complexes. In Dioxygen-Dependent Heme Enzymes; The Royal Society of Chemistry: London, UK, 2018; pp. 1–36. [Google Scholar]
- Ortiz de Montellano, P.R. Hydrocarbon Hydroxylation by Cytochrome P450 Enzymes. Chem. Rev. 2010, 110, 932–948. [Google Scholar] [CrossRef] [Green Version]
- McQuarters, A.B.; Wolf, M.W.; Hunt, A.P.; Lehnert, N. 1958–2014: After 56 years of research, cytochrome P450 reactivity is finally explained. Angew. Chem. Int. Ed. 2014, 53, 4750–4752. [Google Scholar] [CrossRef] [Green Version]
- Denisov, I.G.; Makris, T.M.; Sligar, S.G.; Schlichting, I. Structure and Chemistry of Cytochrome P450. Chem. Rev. 2005, 105, 2253–2278. [Google Scholar] [CrossRef]
- Huang, X.; Groves, J.T. Beyond ferryl-mediated hydroxylation: 40 years of the rebound mechanism and C–H activation. J. Biol. Inorg Chem. 2017, 22, 185–207. [Google Scholar] [CrossRef] [Green Version]
- Noh, H.; Cho, J. Synthesis, characterization and reactivity of non-heme 1st row transition metal-superoxo intermediates. Coord. Chem. Rev. 2019, 382, 126–144. [Google Scholar] [CrossRef]
- Huang, X.; Groves, J.T. Oxygen Activation and Radical Transformations in Heme Proteins and Metalloporphyrins. Chem. Rev. 2018, 118, 2491–2553. [Google Scholar] [CrossRef] [PubMed] [Green Version]
- Fukuzumi, S.; Karlin, K.D. Kinetics and thermodynamics of formation and electron-transfer reactions of Cu–O2 and Cu2–O2 complexes. Coord. Chem. Rev. 2013, 257, 187–195. [Google Scholar] [CrossRef] [PubMed] [Green Version]
- Adam, S.M.; Wijeratne, G.B.; Rogler, P.J.; Diaz, D.E.; Quist, D.A.; Liu, J.J.; Karlin, K.D. Synthetic Fe/Cu Complexes: Toward Understanding Heme-Copper Oxidase Structure and Function. Chem. Rev. 2018, 118, 10840–11022. [Google Scholar] [CrossRef] [PubMed]
- Nam, W.; Lee, Y.-M.; Fukuzumi, S. Hydrogen Atom Transfer Reactions of Mononuclear Nonheme Metal–Oxygen Intermediates. Acc. Chem. Res. 2018, 51, 2014–2022. [Google Scholar] [CrossRef]
- Solomon, E.I.; Stahl, S.S. Introduction: Oxygen Reduction and Activation in Catalysis. Chem. Rev. 2018, 118, 2299–2301. [Google Scholar] [CrossRef]
- Elwell, C.E.; Gagnon, N.L.; Neisen, B.D.; Dhar, D.; Spaeth, A.D.; Yee, G.M.; Tolman, W.B. Copper–Oxygen Complexes Revisited: Structures, Spectroscopy, and Reactivity. Chem. Rev. 2017, 117, 2059–2107. [Google Scholar] [CrossRef] [Green Version]
- Pegis, M.L.; Wise, C.F.; Martin, D.J.; Mayer, J.M. Oxygen Reduction by Homogeneous Molecular Catalysts and Electrocatalysts. Chem. Rev. 2018, 118, 2340–2391. [Google Scholar] [CrossRef]
- Sankaralingam, M.; Lee, Y.-M.; Nam, W.; Fukuzumi, S. Amphoteric reactivity of metal–oxygen complexes in oxidation reactions. Coord. Chem. Rev. 2018, 365, 41–59. [Google Scholar] [CrossRef]
- Baglia, R.A.; Zaragoza, J.P.T.; Goldberg, D.P. Biomimetic Reactivity of Oxygen-Derived Manganese and Iron Porphyrinoid Complexes. Chem. Rev. 2017, 117, 13320–13352. [Google Scholar] [CrossRef]
- Jasniewski, A.J.; Que, L., Jr. Dioxygen Activation by Nonheme Diiron Enzymes: Diverse Dioxygen Adducts, High-Valent Intermediates, and Related Model Complexes. Chem. Rev. 2018, 118, 2554–2592. [Google Scholar] [CrossRef]
- Nam, W. Synthetic mononuclear nonheme iron–oxygen intermediates. Acc. Chem. Res. 2015, 48, 2415–2423. [Google Scholar] [CrossRef]
- Hong, S.; Lee, Y.-M.; Ray, K.; Nam, W. Dioxygen activation chemistry by synthetic mononuclear nonheme iron, copper and chromium complexes. Coord. Chem. Rev. 2017, 334, 25–42. [Google Scholar] [CrossRef]
- Zhang, W.; Lai, W.; Cao, R. Energy-Related Small Molecule Activation Reactions: Oxygen Reduction and Hydrogen and Oxygen Evolution Reactions Catalyzed by Porphyrin- and Corrole-Based Systems. Chem. Rev. 2017, 117, 3717–3797. [Google Scholar] [CrossRef] [PubMed]
- Nastri, F.; Chino, M.; Maglio, O.; Bhagi-Damodaran, A.; Lu, Y.; Lombardi, A. Design and engineering of artificial oxygen-activating metalloenzymes. Chem. Soc. Rev. 2016, 45, 5020–5054. [Google Scholar] [CrossRef] [PubMed]
- Sacramento, J.J.D.; Albert, T.; Siegler, M.; Moënne-Loccoz, P.; Goldberg, D.P. An Iron (III) Superoxide Corrole from Iron (II) and Dioxygen. Angew. Chem., Int. Ed. 2022, 61, e202111492. [Google Scholar] [CrossRef]
- Ray, K.; Pfaff, F.F.; Wang, B.; Nam, W. Status of Reactive Non-Heme Metal–Oxygen Intermediates in Chemical and Enzymatic Reactions. J. Am. Chem. Soc. 2014, 136, 13942–13958. [Google Scholar] [CrossRef]
- Fukuzumi, S.; Lee, Y.-M.; Nam, W. Structure and reactivity of the first-row d-block metal-superoxo complexes. Dalton Trans. 2019, 48, 9469–9489. [Google Scholar] [CrossRef]
- Zhang, X.-P.; Chandra, A.; Lee, Y.-M.; Cao, R.; Ray, K.; Nam, W. Transition metal-mediated O–O bond formation and activation in chemistry and biology. Chem. Soc. Rev. 2021, 50, 4804–4811. [Google Scholar] [CrossRef]
- Cho, J.; Sarangi, R.; Nam, W. Mononuclear Metal-O2 Complexes Bearing Macrocyclic N-Tetramethylated Cyclam Ligands. Acc. Chem. Res. 2012, 45, 1321–1330. [Google Scholar] [CrossRef] [Green Version]
- Winslow, C.; Lee, H.B.; Field, M.J.; Teat, S.J.; Rittle, J. Structure and Reactivity of a High-Spin, Nonheme Iron(III)-Superoxo Complex Supported by Phosphinimide Ligands. J. Am. Chem. Soc. 2021, 143, 13686–13693. [Google Scholar] [CrossRef]
- Hong, S.; Sutherlin, K.D.; Park, J.; Kwon, E.; Siegler, M.A.; Solomon, E.I.; Nam, W. Crystallographic and spectroscopic characterization and reactivities of a mononuclear non-haem iron (III)-superoxo complex. Nat. Commun. 2014, 5, 5440. [Google Scholar] [CrossRef] [PubMed] [Green Version]
- Mondal, P.; Ishigami, I.; Gérard, E.F.; Lim, C.; Yeh, S.R.; de Visser, S.P.; Wijeratne, G.B. Proton-coupled electron transfer reactivities of electronically divergent heme superoxide intermediates: A kinetic, thermodynamic, and theoretical study. Chem. Sci. 2021, 12, 8872–8883. [Google Scholar] [CrossRef] [PubMed]
- Pan, H.R.; Chen, H.J.; Wu, Z.H.; Ge, P.; Ye, S.; Lee, G.H.; Hsu, H.F. Structural and Spectroscopic Evidence for a Side-on Fe (III)–Superoxo Complex Featuring Discrete O–O Bond Distances. JACS Au 2021, 1, 1389–1398. [Google Scholar] [CrossRef]
- Lu, X.; Lee, Y.-M.; Sankaralingam, M.; Fukuzumi, S.; Nam, W. Catalytic four-electron reduction of dioxygen by ferrocene derivatives with a nonheme iron(III) TAML complex. Inorg. Chem. 2020, 59, 18010–18017. [Google Scholar] [CrossRef] [PubMed]
- Sankaralingam, M.; Lee, Y.-M.; Lu, X.; Vardhaman, A.K.; Nam, W.; Fukuzumi, S. Autocatalytic dioxygen activation to produce an iron (V)-oxo complex without any reductants. Chem. Commun. 2017, 53, 8348–8351. [Google Scholar] [CrossRef] [PubMed]
- Sono, M.; Roach, M.P.; Coulter, E.D.; Dawson, J.H. Heme-Containing Oxygenases. Chem. Rev. 1996, 96, 2841–2888. [Google Scholar] [CrossRef]
- Mansuy, D.; Battioni, P. The Porphyrin Handbook; Kadish, K.M., Smith, J.M., Guilard, R., Eds.; Academic Press: San Diego, CA, USA, 2000; Volume 4, pp. 1–15. [Google Scholar]
- Poulos, T.L. Heme Enzyme Structure and Function. Chem. Rev. 2014, 114, 3919–3962. [Google Scholar] [CrossRef] [Green Version]
- Pauling, L. Nature of the Iron-Oxygen Bond in Oxy-haemoglobin. Nature 1964, 203, 182–183. [Google Scholar] [CrossRef]
- Pauling, L.; Coryell, C.D. The Magnetic Properties and Structure of Hemoglobin, Oxyhemoglobin and Carbonmonoxyhemo-globin. Proc. Natl. Acad. Sci. USA 1936, 22, 210–216. [Google Scholar] [CrossRef] [Green Version]
- Shaanan, B. The Iron-Oxygen Bond in Human Oxy-haemoglobin. Nature 1982, 296, 683–684. [Google Scholar] [CrossRef]
- Collman, J.P.; Gagne, R.R.; Reed, C.A.; Robinson, W.T.; Rodley, G.A. Structure of an Iron(II) Dioxygen Complex; A Model for Oxygen Carrying Hemeproteins. Proc. Natl. Acad. Sci. USA 1974, 71, 1326–1329. [Google Scholar] [CrossRef] [Green Version]
- Wilson, S.A.; Kroll, T.; Decreau, R.A.; Hocking, R.K.; Lundberg, M.; Hedman, B.; Hodgson, K.O.; Solomon, E.I. Iron L-Edge X-ray Absorption Spectroscopy of Oxy-Picket Fence Porphyrin: Experimental Insight into Fe–O2 Bonding. J. Am. Chem. Soc. 2013, 135, 1124–1136. [Google Scholar] [CrossRef] [PubMed] [Green Version]
- Weiss, J.J. Nature of the Iron-Oxygen Bond in Oxy-haemoglobin. Nature 1964, 202, 83–84. [Google Scholar] [CrossRef]
- Lang, G.; Marshali, W. Mössbauer Effect in Some Haemoglobin Compounds. Proc. Phys. Soc. 1966, 87, 3–34. [Google Scholar] [CrossRef]
- Sharrock, M.; Debrunner, P.G.; Schulz, C.; Lipscomb, J.D.; Marshall, V.; Gunsalus, I.C. Cytochrome P450 cam and Its Complexes, MöSsbauer Parameters of the Heme Iron. Biochim. Biophys. Acta Protein Struct. 1976, 420, 8–26. [Google Scholar] [CrossRef]
- Collman, J.P.; Brauman, J.I.; Halbert, T.R.; Suslick, K.S. Nature of O2 and CO binding to metalloporphyrins and heme proteins. Proc. Natl. Acad. Sci. USA 1976, 73, 3333–3337. [Google Scholar] [CrossRef] [Green Version]
- Yamamoto, T.; Palmer, G.; Gill, D.; Salmeen, I.T.; Rimai, L. The Valence and Spin State of Iron in Oxyhemoglobin as Inferred from Resonance Raman Spectroscopy. J. Biol. Chem. 1973, 248, 5211–5213. [Google Scholar] [CrossRef]
- Das, T.K.; Couture, M.; Ouellet, Y.; Guertin, M.; Rousseau, D.L. Simultaneous Observation of the O-O and Fe-O2 Stretching Modes in Oxyhemoglobins. Proc. Natl. Acad. Sci. USA 2001, 98, 479–484. [Google Scholar] [CrossRef] [Green Version]
- Spiro, T.G.; Strekas, T.C. Resonance Raman Spectra of Heme Proteins. Effects of Oxidation and Spin State. J. Am. Chem. Soc. 1974, 96, 338–345. [Google Scholar] [CrossRef]
- Goddard, W.A.; Olafson, B.D. Ozone Model for Bonding of an O2 to Heme in Oxyhemoglobin. Proc. Natl. Acad. Sci. USA 1975, 72, 2335–2339. [Google Scholar] [CrossRef] [Green Version]
- McClure, D.S. Electronic Structure of Transition-Metal Complex Ions. Radiat. Res. Suppl. 1960, 2, 218–242. [Google Scholar] [CrossRef]
- Harcourt, R.D. Comment on a CASSCF Study of the Fe-O2 Bond in a Dioxygen Heme Complex. Chem. Phys. Lett. 1990, 167, 374–377. [Google Scholar] [CrossRef]
- Harcourt, R.D. Increased-Valence Formulae and the Bonding of Oxygen to Haemoglobin. Int. J. Quantum Chem. 1971, 5, 479–495. [Google Scholar] [CrossRef]
- Schuth, N.; Mebs, S.; Huwald, D.; Wrzolek, P.; Schwalbe, M.; Hemschemeier, A.; Haumann, M. Effective Intermediate-Spin Iron in O2-Transporting Heme Proteins. Proc. Natl. Acad. Sci. USA 2017, 114, 8556–8561. [Google Scholar] [CrossRef] [PubMed] [Green Version]
- Chen, H.; Ikeda-Saito, M.; Shaik, S. Nature of the Fe–O2 Bonding in Oxy-Myoglobin: Effect of the Protein. J. Am. Chem. Soc. 2008, 130, 14778–14790. [Google Scholar] [CrossRef]
- Wilson, S.A.; Green, E.; Mathews, I.I.; Benfatto, M.; Hodgson, K.O.; Hedman, B.; Sarangi, R. X-ray Absorption Spectroscopic Investigation of the Electronic Structure Differences in Solution and Crystalline Oxyhemoglobin. Proc. Natl. Acad. Sci. USA 2013, 110, 16333–16338. [Google Scholar] [CrossRef] [Green Version]
- Collman, J.P. Synthetic Models for the Oxygen-Binding Hemoproteins. Acc. Chem. Res. 1977, 10, 265–272. [Google Scholar] [CrossRef]
- Farrell, N.; Dolphin, D.H.; James, B.R. Reversible Binding of Dioxygen to Ruthenium(II) Porphyrins. J. Am. Chem. Soc. 1978, 100, 324–326. [Google Scholar] [CrossRef]
- Mak, P.J.; Thammawichai, W.; Wiedenhoeft, D.; Kincaid, J.R. Resonance Raman Spectroscopy Reveals pH-Dependent Active Site Structural Changes of Lactoperoxidase Compound 0 and Its Ferryl Heme O–O Bond Cleavage Products. J. Am. Chem. Soc. 2015, 137, 349–361. [Google Scholar] [CrossRef] [Green Version]
- Unno, M.; Chen, H.; Kusama, S.; Shaik, S.; Ikeda-Saito, M. Structural Characterization of the Fleeting Ferric Peroxo Species in Myoglobin: Experiment and Theory. J. Am. Chem. Soc. 2007, 129, 13394–13395. [Google Scholar] [CrossRef]
- Kuhnel, K.; Derat, E.; Terner, J.; Shaik, S.; Schlichting, I. Structure and Quantum Chemical Characterization of Chloroperoxidase Compound 0, a Common Reaction Intermediate of Diverse Heme Enzymes. Proc. Natl. Acad. Sci. USA 2007, 104, 99–104. [Google Scholar] [CrossRef] [Green Version]
- Kudrik, E.V.; Afanasiev, P.; Alvarez, L.X.; Blondin, G.; Clémancey, M.; Latour, J.-M.; Bouchu, D.; Albrieux, F.; Nefedov, S.E.; Sorokin, A.B. An N-bridged high-valent diiron–oxo species on a porphyrin platform that can oxidize methane. Nat. Chem. 2012, 4, 1024–1029. [Google Scholar] [CrossRef] [PubMed]
- Sorokin, A.B. Phthalocyanine Metal Complexes in Catalysis. Chem. Rev. 2013, 113, 8152–8191. [Google Scholar] [CrossRef] [PubMed]
- Sorokin, A.B. Recent progress on exploring μ-oxo bridged binuclear porphyrinoid complexes in catalysis and material science. Coord. Chem. Rev. 2019, 389, 141–160. [Google Scholar] [CrossRef]
- Sahu, S.; Goldberg, D.P. Activation of Dioxygen by Iron and Manganese Complexes: A Heme and Nonheme Perspective. J. Am. Chem. Soc. 2016, 138, 11410–11428. [Google Scholar] [CrossRef] [Green Version]
- Balch, A.L.; Chan, Y.W.; Cheng, R.J.; Lamar, G.N.; Latosgrazynski, L.; Renner, M.W. Oxygenation Patterns for Iron(II) Porphyrins. Peroxo and Ferryl (FeIVO) Intermediates Detected by Proton Nuclear Magnetic Resonance Spectroscopy during the Oxygenation of (tetramesitylporphyrin)iron(II). J. Am. Chem. Soc. 1984, 106, 7779–7785. [Google Scholar] [CrossRef]
- Chin, D.-H.; Balch, A.L.; Lamar, G.N. Formation of porphyrin ferryl (FeO2+) complexes through the addition of nitrogen bases to peroxo-bridged iron (III) porphyrins. J. Am. Chem. Soc. 1980, 102, 1446–1448. [Google Scholar] [CrossRef]
- Chin, D.-H.; Lamar, G.N.; Balch, A.L. Mechanism of autoxidation of iron(II) porphyrins. Detection of a peroxo-bridged iron(III) porphyrin dimer and the mechanism of its thermal decomposition to the oxo-bridged iron(III) porphyrin dimer. J. Am. Chem. Soc. 1980, 102, 4344–4350. [Google Scholar] [CrossRef]
- Chin, D.-H.; Lamar, G.N.; Balch, A.L. Role of ferryl (FeO2+) complexes in oxygen atom transfer reactions. Mechanism of iron (II) porphyrin catalyzed oxygenation of triphenylphosphine. J. Am. Chem. Soc. 1980, 102, 5945–5947. [Google Scholar] [CrossRef]
- Collman, J.P.; Boulatov, R.; Sunderland, C.J.; Fu, L. Functional analogues of cytochrome c oxidase, myoglobin, and hemoglobin. Chem. Rev. 2004, 104, 561–588. [Google Scholar] [CrossRef]
- Momenteau, M.; Reed, C.A. Synthetic Heme Dioxygen Complexes. Chem. Rev. 1994, 94, 659–698. [Google Scholar] [CrossRef]
- Suslick, K.S.; Reinert, T.J. The synthetic analogs of O2-binding heme proteins. J. Chem. Educ. 1985, 62, 974. [Google Scholar] [CrossRef]
- Collman, J.P.; Fu, L. Synthetic models for hemoglobin and myoglobin. Acc. Chem. Res. 1999, 32, 455–463. [Google Scholar] [CrossRef]
- Collman, J.P.; Gagne, R.R.; Halbert, T.R.; Marchon, J.-C.; Reed, C.A. Reversible Oxygen Adduct Formation in Ferrous Complexes Derived from a “Picket Fence” Porphyrin. A Model for Oxymyoglobin J. Am. Chem. Soc. 1973, 95, 7868–7870. [Google Scholar] [CrossRef] [PubMed]
- Jameson, G.B.; Rodley, G.A.; Robinson, W.T.; Gagne, R.R.; Reed, C.A.; Collman, J.P. Structure of a dioxygen adduct of (1-methylimidazole)-meso-tetrakis(α,α,α,α-o-pivalamidophenyl)porphinatoiron(II). An iron dioxygen model for the heme component of oxymyoglobin. Inorg. Chem. 1978, 17, 850–857. [Google Scholar] [CrossRef]
- Yeh, C.-Y.; Chang, C.J.; Nocera, D.G. “Hangman” porphyrins for the assembly of a model heme water channel. J. Am. Chem. Soc. 2001, 123, 1513–1514. [Google Scholar] [CrossRef]
- Schappacher, M.; Ricard, L.; Fischer, J.; Weiss, R.; Bill, E.; Montiel-Montoya, R.; Winkler, H.; Trautwein, A.X. Synthesis, structure and spectroscopic properties of two models for the active site of the oxygenated state of cytochrome P540. Eur. J. Biochem. 1987, 168, 419–429. [Google Scholar] [CrossRef]
- Cramer, C.J.; Tolman, W.B.; Theopold, K.H.; Rheingold, A.L. Variable Character of O-O and M-O Bonding in Side-on (η2) 1:1 Metal Complexes of O2. Proc. Natl. Acad. Sci. USA 2003, 100, 3635–3640. [Google Scholar] [CrossRef] [Green Version]
- Jameson, G.B.; Molinaro, F.S.; Ibers, J.A.; Collman, J.P.; Brauman, J.I.; Rose, E.; Suslick, K.S. Structural Changes upon Oxygenation of an Iron(II)(porphyrinato)(imidazole) Complex. J. Am. Chem. Soc. 1978, 100, 6769–6770. [Google Scholar] [CrossRef]
- Jameson, G.B.; Molinaro, F.S.; Ibers, J.A.; Collman, J.P.; Brauman, J.I.; Rose, E.; Suslick, K.S. Models for the Active Site of Oxygen-Binding Hemoproteins. Dioxygen Binding Properties and the Structures of (2-Methylimidazole)-Meso-tetra(α,α,α,α–o–pivalamidophenyl)porphyrinatoiron(II)-Ethanol and Its Dioxygen Adduct. J. Am. Chem. Soc. 1980, 102, 3224–3237. [Google Scholar] [CrossRef]
- Collman, J.P.; Gagne, R.R.; Reed, C.; Halbert, T.R.; Lang, G.; Robinson, W.T. Picket fence porphyrins. Synthetic models for oxygen binding hemoproteins. J. Am. Chem. Soc. 1975, 97, 1427–1439. [Google Scholar] [CrossRef] [PubMed]
- Collman, J.P.; Gagne, R.R.; Reed, C.A. Paramagnetic dioxygen complex of iron(II) derived from a picket fence porphyrin. Further models for hemoproteins. J. Am. Chem. Soc. 1974, 96, 2629–2631. [Google Scholar] [CrossRef] [PubMed]
- Brault, D.; Rougee, M. Ferrous porphyrins in organic solvents. I. Preparation and coordinating properties. Biochemistry 1974, 13, 4591–4597. [Google Scholar] [CrossRef]
- Springer, B.A.; Sligar, S.G.; Olson, J.S.; Phillips, G.N., Jr. Mechanisms of Ligand Recognition in Myoglobin. Chem. Rev. 1994, 94, 699–714. [Google Scholar] [CrossRef]
- Traylor, T.G.; Koga, N.; Deardurff, L.A. Structural Differentiation of Carbon Monoxide and Oxygen Binding to Iron Porphyrins: Polar Pocket Effects. J. Am. Chem. Soc. 1985, 107, 6504–6510. [Google Scholar] [CrossRef]
- Kossanyi, A.; Tani, F.; Nakamura, N.; Naruta, Y. Properties of a Binaphthyl-Bridged Porphyrin–Iron Complex Bearing Hydroxy Groups Inside Its Cavity. Chem.-Eur. J. 2001, 7, 2862–2872. [Google Scholar] [CrossRef]
- Tani, F.; Matsu-ura, M.; Ariyama, K.; Setoyama, T.; Shimada, T.; Kobayashi, S.; Hayashi, T.; Matsuo, T.; Hisaeda, Y.; Naruta, Y. Iron Twin-Coronet Porphyrins as Models of Myoglobin and Hemoglobin: Amphibious Electrostatic Effects of Overhanging Hydroxyl Groups for Successful CO/O2 Discrimination. Chem.-Eur. J. 2003, 9, 862–870. [Google Scholar] [CrossRef]
- Tani, F.; Matsu-ura, M.; Nakayama, S.; Ichimura, M.; Nakamura, N.; Naruta, Y. Synthesis and Characterization of Alkanethiolate-Coordinated Iron Porphyrins and Their Dioxygen Adducts as Models for the Active Center of Cytochrome P450: Direct Evidence for Hydrogen Bonding to Bound Dioxygen. J. Am. Chem. Soc. 2001, 123, 1133–1142. [Google Scholar] [CrossRef]
- Walters, M.A.; Spiro, T.G.; Suslick, K.S.; Collman, J.P. Resonance Raman Spectra of (Dioxygen)(porphyrinato)(hindered imidazole)iron(II) Complexes: Implications for Hemoglobin Cooperativity. J. Am. Chem. Soc. 1980, 102, 6857–6858. [Google Scholar] [CrossRef]
- Desbois, A.; Momenteau, M.; Lutz, M. Resonance Raman Spectroscopy of iron(II) Superstructured Porphyrins: Influence of Porphyrin Distortions on Carbonyl and Dioxygen Ligand Dissociation. Inorg. Chem. 1989, 28, 825–834. [Google Scholar] [CrossRef]
- Oertling, W.A.; Kean, R.T.; Wever, R.; Babcock, G.T. Factors Affecting the Iron-Oxygen Vibrations of Ferrous Oxy and Ferryl Oxo Heme Proteins and Model Compounds. Inorg. Chem. 1990, 29, 2633–2645. [Google Scholar] [CrossRef]
- Walters, M.A.; Spiro, T.G. Resonance Raman Spectroscopic Studies of Axial Ligation in Oxyhemoglobin and Oxymyoglobin, and Nitrosylmyoglobin. Biochemistry 1982, 21, 6989–6995. [Google Scholar] [CrossRef]
- Hirota, S.; Ogura, T.; Appelman, E.H.; Shinzawa-Itoh, K.; Yoshikawa, S.; Kitagawa, T. Observation of a New Oxygen-Isotope-Sensitive Raman Band for Oxyhemoproteins and Its Implications in Heme Pocket Structures. J. Am. Chem. Soc. 1994, 116, 10564–10570. [Google Scholar] [CrossRef]
- Basolo, F.; Hoffman, B.M.; Ibers, J.A. Synthetic Oxygen Carriers of Biological Interest. Acc. Chem. Res. 1975, 8, 384–392. [Google Scholar] [CrossRef]
- Eaton, W.A.; Henry, E.R.; Hofrichter, J.; Mozzarelli, A. Is Cooperative Oxygen Binding by Hemoglobin Really Understood? Nat. Struct. Biol. 1999, 6, 351–358. [Google Scholar] [CrossRef] [PubMed]
- Chufán, E.E.; Karlin, K.D. An Iron–Peroxo Porphyrin Complex: New Synthesis and Reactivity Toward a Cu(II) Complex Giving a Heme–Peroxo–Copper Adduct. J. Am. Chem. Soc. 2003, 125, 16160–16161. [Google Scholar] [CrossRef] [PubMed]
- Ghiladi, R.A.; Kretzer, R.M.; Guzei, I.; Rheingold, A.L.; Neuhold, Y.-M.; Hatwell, K.R.; Zuberbühler, A.D.; Karlin, K.D. (F8TPP)FeII/O2) Reactivity Studies [F8TPP = tetrakis(2,6-difluorophenyl)porphyrinate(2−)]: Spectroscopic (UV-Visible and NMR) and Kinetic Study of Solvent-Dependent (Fe/O2 = 1:1 or 2:1) Reversible O2-Reduction and Ferryl Formation. Inorg. Chem. 2001, 40, 5754–5767. [Google Scholar] [CrossRef]
- Garcia-Bosch, I.; Adam, S.M.; Schaefer, A.W.; Sharma, S.K.; Peterson, R.L.; Solomon, E.I.; Karlin, K.D. A “Naked” FeIII-(O22−)-CuII Species Allows for Structural and Spectroscopic Tuning of Low-Spin Heme-Peroxo-Cu Complexes. J. Am. Chem. Soc. 2015, 137, 1032–1035. [Google Scholar] [CrossRef] [Green Version]
- Kopf, M.-A.; Neuhold, Y.-M.; Zuberbühler, A.D.; Karlin, K.D. Oxo- and Hydroxo-Bridged Heme-Copper Assemblies Formed from Acid-Base or Metal-Dioxygen Chemistry. Inorg. Chem. 1999, 38, 3093–3102. [Google Scholar] [CrossRef]
- Li, T.-T.; Dang, L.-L.; Zhao, C.-C.; Lv, Z.-Y.; Yang, X.-G.; Zhao, Y.; Zhang, S.-H. A self-sensitized Co (II)-MOF for efficient visible-light-driven hydrogen evolution without additional cocatalysts. J. Solid State Chem. 2021, 304, 122609–122614. [Google Scholar] [CrossRef]
- Dang, L.-L.; Zhang, T.-T.; Li, T.-T.; Chen, T.; Zhao, Y.; Zhao, C.-C.; Ma, L.-F. Stable Zinc-Based Metal-Organic Framework Photocatalyst for Effective Visible-Light-Driven Hydrogen Production. Molecules 2022, 27, 1917. [Google Scholar] [CrossRef] [PubMed]
- Anderson, J.S.; Gallagher, A.T.; Mason, J.A.; Harris, T.D. A Five-Coordinate Heme Dioxygen Adduct Isolated within a Metal–Organic Framework. J. Am. Chem. Soc. 2014, 136, 16489–16492. [Google Scholar] [CrossRef] [PubMed]
- Qin, J.-H.; Xu, P.; Huang, Y.-D.; Xiao, L.-Y.; Lu, W.; Yang, X.-G.; Ma, L.-F.; Zang, S.-Q. High loading of Mn (II)-metalated porphyrin in a MOF for photocatalytic CO2 reduction in gas–solid conditions. Chem. Commun. 2021, 57, 8468–8471. [Google Scholar] [CrossRef]
- Qin, J.-H.; Zhang, H.; Sun, P.; Huang, Y.-D.; Shen, Q.; Yang, X.-G.; Ma, L.-F. Ionic liquid induced highly dense assembly of porphyrin in MOF nanosheets for photodynamic therapy. Dalton Trans. 2020, 49, 17772–17778. [Google Scholar] [CrossRef] [PubMed]
- Hagrman, P.J.; Hagrman, D.; Zubieta, J. Solid-state coordination chemistry: The self-assembly of microporous organic–inorganic hybrid frameworks constructed from tetrapyridylporphyrin and bimetallic oxide chains or oxide clusters. Angew. Chem., Int. Ed. 1999, 38, 3165–3168. [Google Scholar] [CrossRef]
- Zou, C.; Zhang, T.; Xie, M.-H.; Yan, L.; Kong, G.-Q.; Yang, X.-L.; Ma, A.; Wu, C.-D. Four metalloporphyrinic frameworks as heterogeneous catalysts for selective oxidation and aldol reaction. Inorg. Chem. 2013, 52, 3620. [Google Scholar] [CrossRef] [PubMed]
- Pan, L.; Kelly, S.; Huang, X.; Li, J. Unique 2D metalloporphyrin networks constructed from iron(II) and meso-tetra(4-pyridyl)porphyrin. Chem. Commun. 2002, 2334–2335. [Google Scholar] [CrossRef]
- Gallagher, A.T.; Kelty, M.L.; Park, J.G.; Anderson, J.S.; Mason, J.A.; Walsh, J.P.S.; Collins, S.L.; Harris, T.D. Dioxygen binding at a four-coordinate cobaltous porphyrin site in a metal–organic framework: Structural, EPR, and O2 adsorption analysis. Inorg. Chem. Front. 2016, 3, 536–540. [Google Scholar] [CrossRef]
- Gallagher, A.T.; Lee, J.Y.; Kathiresan, V.; Anderson, J.S.; Hoffman, B.M.; Harris, T.D. A structurally-characterized peroxomanganese(IV)porphyrin from reversible O2 binding within a metal–organic framework. Chem. Sci. 2018, 9, 1596–1603. [Google Scholar] [CrossRef] [Green Version]










Publisher’s Note: MDPI stays neutral with regard to jurisdictional claims in published maps and institutional affiliations. |
© 2022 by the authors. Licensee MDPI, Basel, Switzerland. This article is an open access article distributed under the terms and conditions of the Creative Commons Attribution (CC BY) license (https://creativecommons.org/licenses/by/4.0/).
Share and Cite
Lu, X.; Wang, S.; Qin, J.-H. Isolating Fe-O2 Intermediates in Dioxygen Activation by Iron Porphyrin Complexes. Molecules 2022, 27, 4690. https://doi.org/10.3390/molecules27154690
Lu X, Wang S, Qin J-H. Isolating Fe-O2 Intermediates in Dioxygen Activation by Iron Porphyrin Complexes. Molecules. 2022; 27(15):4690. https://doi.org/10.3390/molecules27154690
Chicago/Turabian StyleLu, Xiaoyan, Shuang Wang, and Jian-Hua Qin. 2022. "Isolating Fe-O2 Intermediates in Dioxygen Activation by Iron Porphyrin Complexes" Molecules 27, no. 15: 4690. https://doi.org/10.3390/molecules27154690
APA StyleLu, X., Wang, S., & Qin, J.-H. (2022). Isolating Fe-O2 Intermediates in Dioxygen Activation by Iron Porphyrin Complexes. Molecules, 27(15), 4690. https://doi.org/10.3390/molecules27154690

