Phenolic Profile and Fingerprint Analysis of Akebia quinata Leaves Extract with Endothelial Protective Activity
Abstract
:1. Introduction
2. Materials and Methods
2.1. Plant Materials and Reagents
2.2. Extraction Optimization
2.3. Cell Culture
2.4. Cell Viability Assay
2.5. Western Blotting
2.6. HPLC–DAD–ESI–MS/MS Analysis
2.7. Quality Control of A. Quinata Leaves
2.8. Determination of Total Phenolic Content (TPC) and Total Flavonoid Content (TFC)
2.9. Statistical Analysis
3. Results and Discussion
3.1. Cell Viability Study (MTT Assays)
3.2. A. quinata Leaves Suppress the Expression Levels of Adhesion Molecules in LPS-Stimulated HUVECs
3.3. Effects of A. quinata Leaves on LPS-Stimulated NF-κB Activation
3.4. Optimization of HPLC Analytical Conditions and Extraction Parameters
3.5. Method Validation and Quantitative Analysis
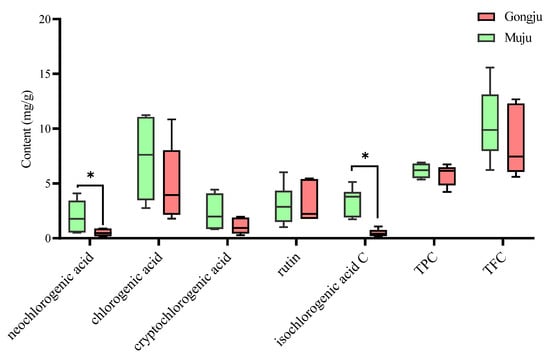
3.6. Quantitative Analysis of Marker Compounds, TPC, and TFC in A. quinata Leaves from Different Cities
3.7. Establishment of the HPLC Fingerprints of A. quinata Leaves
3.8. HCA Multi-Fingerprints of A. quinata Leaves
3.9. PCA and PLS-DA Analysis of Multi-Fingerprints
4. Conclusions
Supplementary Materials
Author Contributions
Funding
Institutional Review Board Statement
Informed Consent Statement
Data Availability Statement
Conflicts of Interest
Sample Availability
References
- Czamara, K.; Stojak, M.; Pacia, M.Z.; Zieba, A.; Baranska, M.; Chlopicki, S.; Kaczor, A. Lipid droplets formation represents an integral component of endothelial inflammation induced by LPS. Cells 2021, 10, 1403. [Google Scholar] [CrossRef]
- Gentile, C.; Allegra, M.; Angileri, F.; Pintaudi, A.; Livrea, M.; Tesoriere, L. Polymeric proanthocyanidins from Sicilian pistachio (Pistacia vera L.) nut extract inhibit lipopolysaccharide-induced inflammatory response in RAW 264.7 cells. Eur. J. Nutr. 2012, 51, 353–363. [Google Scholar] [CrossRef] [Green Version]
- Alali, F.Q.; El-Elimat, T.; Khalid, L.; Hudaib, R.; Al-Shehabi, T.S.; Eid, A.H. Garlic for cardiovascular disease: Prevention or treatment? Curr. Pharm. Des. 2017, 23, 1028–1041. [Google Scholar] [CrossRef]
- O’Hanlon, D.; Fitzsimons, H.; Lynch, J.; Tormey, S.; Malone, C.; Given, H. Soluble adhesion molecules (E-selectin, ICAM-1 and VCAM-1) in breast carcinoma. Eur. J. Cancer 2002, 38, 2252–2257. [Google Scholar] [CrossRef]
- Oh, J.H.; Kwon, T.K. Withaferin A inhibits tumor necrosis factor-α-induced expression of cell adhesion molecules by inactivation of Akt and NF-κB in human pulmonary epithelial cells. Int. Immunopharmacol. 2009, 9, 614–619. [Google Scholar] [CrossRef]
- Buddenkotte, J.; Stroh, C.; Engels, I.H.; Moormann, C.; Shpacovitch, V.M.; Seeliger, S.; Vergnolle, N.; Vestweber, D.; Luger, T.A.; Schulze-Osthoff, K. Agonists of proteinase-activated receptor-2 stimulate upregulation of intercellular cell adhesion molecule-1 in primary human keratinocytes via activation of NF-kappa B. J. Investig. Dermatol. 2005, 124, 38–45. [Google Scholar] [CrossRef] [Green Version]
- Maciąg, D.; Dobrowolska, E.; Sharafan, M.; Ekiert, H.; Tomczyk, M.; Szopa, A. Akebia quinata and Akebia trifoliata—A review of phytochemical composition, ethnopharmacological approaches and biological studies. J. Ethnopharmacol. 2021, 280, 114486. [Google Scholar] [CrossRef]
- Food Safety Korea. Available online: http://www.foodsafetykorea.go.kr/ (accessed on 8 October 2021).
- Park, S.H.; Jang, S.; Lee, S.W.; Park, S.D.; Sung, Y.-Y.; Kim, H.K. Akebia quinata Decaisne aqueous extract acts as a novel anti-fatigue agent in mice exposed to chronic restraint stress. J. Ethnopharmacol. 2018, 222, 270–279. [Google Scholar] [CrossRef]
- Choi, J.; Jung, H.-J.; Lee, K.-T.; Park, H.-J. Antinociceptive and anti-inflammatory effects of the saponin and sapogenins obtained from the stem of Akebia quinata. J. Med. Food 2005, 8, 78–85. [Google Scholar] [CrossRef]
- Akter, L.; Sultana, S.; Hossain, M.L. Assessment of analgesic and neuropharmacological activity of ethanol leaves extract of Gynura procumbens (Family: Asteraceae). J. Med. Plants 2019, 7, 52–56. [Google Scholar]
- Wang, H.; Wang, X.; Li, Y.; Zhang, S.; Li, Z.; Li, Y.; Cui, J.; Lan, X.; Zhang, E.; Yuan, L. Structural properties and in vitro and in vivo immunomodulatory activity of an arabinofuranan from the fruits of Akebia quinata. Carbohydr. Polym. 2021, 256, 117521. [Google Scholar] [CrossRef]
- Lee, J.-K.; Jo, H.-J.; Kim, K.-I.; Yoon, J.-A.; Chung, K.-H.; Song, B.C.; An, J.H. Physicochemical characteristics and biological activities of Makgeolli supplemented with the fruit of Akebia quinata during fermentation. Korean J. Food Sci. Technol. 2013, 45, 619–627. [Google Scholar] [CrossRef] [Green Version]
- Lee, E.-K.; Kwon, W.-Y.; Lee, J.-W.; Yoon, J.-A.; Chung, K.-H.; Song, B.C.; An, J.H. Quality characteristics and antioxidant activity of vinegar supplemented added with Akebia quinata fruit during fermentation. J. Korean Soc. Food Sci. Nutr. 2014, 43, 1217–1227. [Google Scholar] [CrossRef]
- Shin, S.; Son, D.; Kim, M.; Lee, S.; Roh, K.-B.; Ryu, D.; Lee, J.; Jung, E.; Park, D. Ameliorating effect of Akebia quinata fruit extracts on skin aging induced by advanced glycation end products. Nutrients 2015, 7, 9337–9352. [Google Scholar] [CrossRef] [Green Version]
- Kim, M.-H.; Choe, T.-B. Anti-oxidant activity of Akebia quinata fruit extract and the effects of skin. J. Korean Appl. Sci. Technol. 2015, 32, 439–450. [Google Scholar] [CrossRef]
- Sung, Y.-Y.; Kim, D.-S.; Kim, H.K. Akebia quinata extract exerts anti-obesity and hypolipidemic effects in high-fat diet-fed mice and 3T3-L1 adipocytes. J. Ethnopharmacol. 2015, 168, 17–24. [Google Scholar] [CrossRef]
- Kwon, W.-Y.; Lee, E.-K.; Yoon, J.-A.; Chung, K.-H.; Lee, K.-J.; Song, B.C.; An, J.H. Quality characteristics and biological activities of vinegars added with young leaves of Akebia quinata. J. Korean Soc. Food Sci. Nutr. 2014, 43, 989–998. [Google Scholar] [CrossRef]
- Lee, S.-H.; Han, A.-R.; Kim, B.-M.; Sung, M.J.; Hong, S.-M. Lactococcus lactis-fermented spinach juice suppresses LPS-induced expression of adhesion molecules and inflammatory cytokines through the NF-κB pathway in HUVECs. Exp. Ther. Med. 2022, 23, 390. [Google Scholar] [CrossRef]
- Yen, N.T.; Thu, N.V.; Zhao, B.T.; Lee, J.H.; Kim, J.A.; Son, J.K.; Choi, J.S.; Woo, E.R.; Woo, M.H.; Min, B.S. Quantitative determination of compounds from Akebia quinata by high-performance liquid chromatography. Bull. Korean Chem. Soc. 2014, 35, 1956–1964. [Google Scholar] [CrossRef] [Green Version]
- Hashimoto, K.; Higuchi, M.; Makino, B.; Sakakibara, I.; Kubo, M.; Komatsu, Y.; Maruno, M.; Okada, M. Quantitative analysis of aristolochic acids, toxic compounds, contained in some medicinal plants. J. Ethnopharmacol. 1999, 64, 185–189. [Google Scholar] [CrossRef]
- Ling, Y.; Zhang, Y.; Zhou, Y.; Jiang, D.; Xu, L.; Liao, L. Rapid detection and characterization of the major chemical constituents in Akebia quinata by high performance liquid chromatography coupled to electrospray ionization and quadrupole time-of-flight mass spectrometry. Anal. Methods 2016, 8, 2634–2644. [Google Scholar] [CrossRef]
- Takeishi, Y.; Huang, Q.; Abe, J.-i.; Che, W.; Lee, J.-D.; Kawakatsu, H.; Hoit, B.D.; Berk, B.C.; Walsh, R.A. Activation of mitogen-activated protein kinases and p90 ribosomal S6 kinase in failing human hearts with dilated cardiomyopathy. Cardiovasc. Res. 2002, 53, 131–137. [Google Scholar] [CrossRef] [Green Version]
- Hoppstädter, J.; Dembek, A.; Linnenberger, R.; Dahlem, C.; Barghash, A.; Fecher-Trost, C.; Fuhrmann, G.; Koch, M.; Kraegeloh, A.; Huwer, H. Toll-like receptor 2 release by macrophages: An anti-inflammatory program induced by glucocorticoids and lipopolysaccharide. Front. Immunol. 2019, 10, 1634. [Google Scholar] [CrossRef] [PubMed] [Green Version]
- Dan, G.; Cho, C.W.; Vinh, L.B.; Kim, J.H.; Cho, K.W.; Kim, Y.H.; Kang, J.S. Simultaneous qualitative and quantitative analysis of morroniside and hederacoside D in extract mixture of Cornus officinalis and Stauntonia hexaphylla leaves to improve benign prostatic hyperplasia by HPLC-UV. Anal. Sci. Technol. 2020, 33, 224–231. [Google Scholar]
- Quintana, S.E.; Hernández, D.M.; Villanueva-Bermejo, D.; García-Risco, M.R.; Fornari, T. Fractionation and precipitation of licorice (Glycyrrhiza glabra L.) phytochemicals by supercritical antisolvent (SAS) technique. LWT 2020, 126, 109315. [Google Scholar] [CrossRef]
- Subbiah, V.; Zhong, B.; Nawaz, M.A.; Barrow, C.J.; Dunshea, F.R.; Suleria, H.A. Screening of phenolic compounds in australian grown berries by LC-ESI-QTOF-MS/MS and determination of their antioxidant potential. Antioxidants 2020, 10, 26. [Google Scholar] [CrossRef]
- Pang, Z.; Chong, J.; Zhou, G.; de Lima Morais, D.A.; Chang, L.; Barrette, M.; Gauthier, C.; Jacques, P.-É.; Li, S.; Xia, J. MetaboAnalyst 5.0: Narrowing the gap between raw spectra and functional insights. Nucleic Acids Res. 2021, 49, W388–W396. [Google Scholar] [CrossRef]
- Reuter, S.; Gupta, S.C.; Chaturvedi, M.M.; Aggarwal, B.B. Oxidative stress, inflammation, and cancer: How are they linked? Free Radic. Biol. Med. 2010, 49, 1603–1616. [Google Scholar] [CrossRef] [Green Version]
- Wei, B.; Huang, Q.; Huang, S.; Mai, W.; Zhong, X. Trichosanthin-induced autophagy in gastric cancer cell MKN-45 is dependent on reactive oxygen species (ROS) and NF-κB/p53 pathway. J. Pharmacol. Sci. 2016, 131, 77–83. [Google Scholar] [CrossRef] [Green Version]
- Ghosh, S.; Hayden, M.S. New regulators of NF-κB in inflammation. Nat. Rev. Immunol. 2008, 8, 837–848. [Google Scholar] [CrossRef]
- Athamneh, K.; Hasasna, H.E.; Samri, H.A.; Attoub, S.; Arafat, K.; Benhalilou, N.; Rashedi, A.A.; Dhaheri, Y.A.; AbuQamar, S.; Eid, A. Rhus coriaria increases protein ubiquitination, proteasomal degradation and triggers non-canonical Beclin-1-independent autophagy and apoptotic cell death in colon cancer cells. Sci. Rep. 2017, 7, 11633. [Google Scholar] [CrossRef] [PubMed] [Green Version]
- Chen, G.; Zhao, J.; Yin, Y.; Wang, B.; Liu, Q.; Li, P.; Zhao, L.; Zhou, H. C-type natriuretic peptide attenuates LPS-induced endothelial activation: Involvement of p38, Akt, and NF-κB pathways. Amino Acids 2014, 46, 2653–2663. [Google Scholar] [CrossRef] [PubMed]
- Gao, D.; Cho, C.W.; Kim, C.T.; Jeong, W.S.; Kang, J.S. Evaluation of the antiwrinkle activity of enriched Isatidis folium extract and an HPLC–UV method for the quality control of its cream products. Plants 2020, 9, 1586. [Google Scholar] [CrossRef]
- Li, L.; Su, C.; Chen, X.; Wang, Q.; Jiao, W.; Luo, H.; Tang, J.; Wang, W.; Li, S.; Guo, S. Chlorogenic acids in cardiovascular disease: A review of dietary consumption, pharmacology, and pharmacokinetics. J. Agric. Food Chem. 2020, 68, 6464–6484. [Google Scholar] [CrossRef]
- Oluranti, O.I.; Alabi, B.A.; Michael, O.S.; Ojo, A.O.; Fatokun, B.P. Rutin prevents cardiac oxidative stress and inflammation induced by bisphenol A and dibutyl phthalate exposure via NRF-2/NF-κB pathway. Life Sci. 2021, 284, 119878. [Google Scholar] [CrossRef] [PubMed]
- Slika, H.; Mansour, H.; Wehbe, N.; Nasser, S.A.; Iratni, R.; Nasrallah, G.; Shaito, A.; Ghaddar, T.; Kobeissy, F.; Eid, A.H. Therapeutic potential of flavonoids in cancer: ROS-mediated mechanisms. Biomed. Pharmacother. 2022, 146, 112442. [Google Scholar] [CrossRef]
- Wen, C.; Zhang, J.; Zhang, H.; Dzah, C.S.; Zandile, M.; Duan, Y.; Ma, H.; Luo, X. Advances in ultrasound assisted extraction of bioactive compounds from cash crops–A review. Ultrason. Sonochem. 2018, 48, 538–549. [Google Scholar] [CrossRef]
- Shen, S.-F.; Zhu, L.-F.; Wu, Z.; Wang, G.; Ahmad, Z.; Chang, M.-W. Production of triterpenoid compounds from Ganoderma lucidum spore powder using ultrasound-assisted extraction. Prep. Biochem. Biotechnol. 2020, 50, 302–315. [Google Scholar] [CrossRef]
- Gao, D.; Kim, J.H.; Cho, C.W.; Yang, S.Y.; Kim, Y.H.; Kim, H.M.; Kang, J.S. Optimization of an extraction method for the simultaneous quantification of six active compounds in the aril part of Orostachys japonicus using HPLC-UV. Anal. Sci. Technol 2021, 34, 153–159. [Google Scholar]
- Gu, J.; Li, Q.; Liu, J.; Ye, Z.; Feng, T.; Wang, G.; Wang, W.; Zhang, Y. Ultrasonic–assisted extraction of polysaccharides from Auricularia auricula and effects of its acid hydrolysate on the biological function of Caenorhabditis elegans. Int. J. Biol. Macromol. 2021, 167, 423–433. [Google Scholar] [CrossRef]
- Cui, R.; Zhu, F. Effect of ultrasound on structural and physicochemical properties of sweetpotato and wheat flours. Ultrason. Sonochem. 2020, 66, 105118. [Google Scholar] [CrossRef] [PubMed]
- Wong, S.-S.; Kasapis, S.; Huang, D. Molecular weight and crystallinity alteration of cellulose via prolonged ultrasound fragmentation. Food Hydrocoll. 2012, 26, 365–369. [Google Scholar] [CrossRef]
- Jubaidi, F.F.; Zainalabidin, S.; Mariappan, V.; Budin, S.B. Mitochondrial dysfunction in diabetic cardiomyopathy: The possible therapeutic roles of phenolic acids. Int. J. Mol. Sci. 2020, 21, 6043. [Google Scholar] [CrossRef] [PubMed]
- Olas, B. Honey and its phenolic compounds as an effective natural medicine for cardiovascular diseases in humans? Nutrients 2020, 12, 283. [Google Scholar] [CrossRef] [Green Version]
- Hsu, C.-L.; Yen, G.-C. Effects of flavonoids and phenolic acids on the inhibition of adipogenesis in 3T3-L1 adipocytes. J. Agric. Food Chem. 2007, 55, 8404–8410. [Google Scholar] [CrossRef]
- Rashmi, H.B.; Negi, P.S. Phenolic acids from vegetables: A review on processing stability and health benefits. Food Res. Int. 2020, 136, 109298. [Google Scholar] [CrossRef]
- He, W.; Laaksonen, O.; Tian, Y.; Heinonen, M.; Bitz, L.; Yang, B. Phenolic compound profiles in Finnish apple (Malus × domestica Borkh.) juices and ciders fermented with Saccharomyces cerevisiae and Schizosaccharomyces pombe strains. Food Chem. 2022, 373, 131437. [Google Scholar] [CrossRef]
- Ozga, J.A.; Saeed, A.; Wismer, W.; Reinecke, D.M. Characterization of cyanidin-and quercetin-derived flavonoids and other phenolics in mature saskatoon fruits (Amelanchier alnifolia Nutt.). J. Agric. Food Chem. 2007, 55, 10414–10424. [Google Scholar] [CrossRef]
- Banas, K.; Banas, A.; Moser, H.; Bahou, M.; Li, W.; Yang, P.; Cholewa, M.; Lim, S. Multivariate analysis techniques in the forensics investigation of the postblast residues by means of fourier transform-infrared spectroscopy. Anal. Chem. 2010, 82, 3038–3044. [Google Scholar] [CrossRef]
- Gao, D.; Cho, C.W.; Vinh, L.B.; Kim, J.H.; Kim, Y.H.; Kang, J.S. Phytochemical analysis of trifoliate orange during fermentation by HPLC–DAD–ESI–MS/MS coupled with multivariate statistical analysis. Acta Chromatogr. 2021, 33, 371–377. [Google Scholar] [CrossRef]
- Anttonen, M.J.; Hoppula, K.I.; Nestby, R.; Verheul, M.J.; Karjalainen, R.O. Influence of fertilization, mulch color, early forcing, fruit order, planting date, shading, growing environment, and genotype on the contents of selected phenolics in strawberry (Fragaria × ananassa Duch.) fruits. J. Agric. Food Chem. 2006, 54, 2614–2620. [Google Scholar] [CrossRef] [PubMed]
- Martins, N.; Petropoulos, S.; Ferreira, I.C. Chemical composition and bioactive compounds of garlic (Allium sativum L.) as affected by pre-and post-harvest conditions: A review. Food Chem. 2016, 211, 41–50. [Google Scholar] [CrossRef] [PubMed] [Green Version]
- Innamorato, V.; Longobardi, F.; Cervellieri, S.; Cefola, M.; Pace, B.; Capotorto, I.; Gallo, V.; Rizzuti, A.; Logrieco, A.F.; Lippolis, V. Quality evaluation of table grapes during storage by using 1H NMR, LC-HRMS, MS-eNose and multivariate statistical analysis. Food Chem. 2020, 315, 126247. [Google Scholar] [CrossRef] [PubMed]





| Compounds | Linearity Range (μg/mL) | R a | Equation b | LOD (μg/mL) | LOQ (μg/mL) |
|---|---|---|---|---|---|
| Neochlorogenic acid | 5–200 | 1.0000 | y = 29.1x − 9.9 | 0.17 | 0.50 |
| Chlorogenic acid | 50–800 | 0.9997 | y = 26.0x − 67.8 | 0.16 | 0.48 |
| Cryptohlorogenic acid | 5–200 | 0.9999 | y = 19.8x − 5.5 | 0.17 | 0.49 |
| Rutin | 25–600 | 0.9998 | y = 8.4x + 1.2 | 0.39 | 1.28 |
| Isochlorogenic acid C | 5–200 | 0.9999 | y = 33.3x − 3.7 | 0.62 | 1.99 |
| Compounds | Precision | Accuracy | Recovery a (%) | Repeatability | |||
|---|---|---|---|---|---|---|---|
| Intra-Day (%RSD) | Inter-Day (%RSD) | Intra-Day (%) | Inter-Day (%) | Retention Time (%RSD) | Content (%RSD) | ||
| Neochlorogenic acid | 0.4–0.6 | 1.6–1.9 | 97.1–98.6 | 97.5–98.4 | 97.5–99.8 | 2.8 | 0.04 |
| Chlorogenic acid | 0.3–2.2 | 1.7–2.4 | 98.6–104.3 | 98.9–105.2 | 98.3–99.6 | 1.6 | 0.02 |
| Cryptohlorogenic acid | 0.2–0.8 | 1.2–2.8 | 98.9–100.9 | 99.8–107.2 | 97.9–103.3 | 2.5 | 0.02 |
| Rutin | 0.4–2.3 | 0.9–2.1 | 100.2–100.4 | 98.2–103.1 | 97.0–98.7 | 0.7 | 0.00 |
| Isochlorogenic acid C | 0.9–1.3 | 0.6–2.4 | 98.2–103.9 | 97.9–106.2 | 99.8–104.1 | 1.4 | 0.10 |
Publisher’s Note: MDPI stays neutral with regard to jurisdictional claims in published maps and institutional affiliations. |
© 2022 by the authors. Licensee MDPI, Basel, Switzerland. This article is an open access article distributed under the terms and conditions of the Creative Commons Attribution (CC BY) license (https://creativecommons.org/licenses/by/4.0/).
Share and Cite
Gao, D.; Cho, C.-W.; Kim, J.-H.; Bao, H.; Kim, H.-M.; Li, X.; Kang, J.-S. Phenolic Profile and Fingerprint Analysis of Akebia quinata Leaves Extract with Endothelial Protective Activity. Molecules 2022, 27, 4636. https://doi.org/10.3390/molecules27144636
Gao D, Cho C-W, Kim J-H, Bao H, Kim H-M, Li X, Kang J-S. Phenolic Profile and Fingerprint Analysis of Akebia quinata Leaves Extract with Endothelial Protective Activity. Molecules. 2022; 27(14):4636. https://doi.org/10.3390/molecules27144636
Chicago/Turabian StyleGao, Dan, Chong-Woon Cho, Jin-Hyeok Kim, Haiying Bao, Hyung-Min Kim, Xiwen Li, and Jong-Seong Kang. 2022. "Phenolic Profile and Fingerprint Analysis of Akebia quinata Leaves Extract with Endothelial Protective Activity" Molecules 27, no. 14: 4636. https://doi.org/10.3390/molecules27144636
APA StyleGao, D., Cho, C.-W., Kim, J.-H., Bao, H., Kim, H.-M., Li, X., & Kang, J.-S. (2022). Phenolic Profile and Fingerprint Analysis of Akebia quinata Leaves Extract with Endothelial Protective Activity. Molecules, 27(14), 4636. https://doi.org/10.3390/molecules27144636

