Novel Imidazole Liquid Crystals; Experimental and Computational Approaches
Abstract
:1. Introduction
2. Results and Discussion
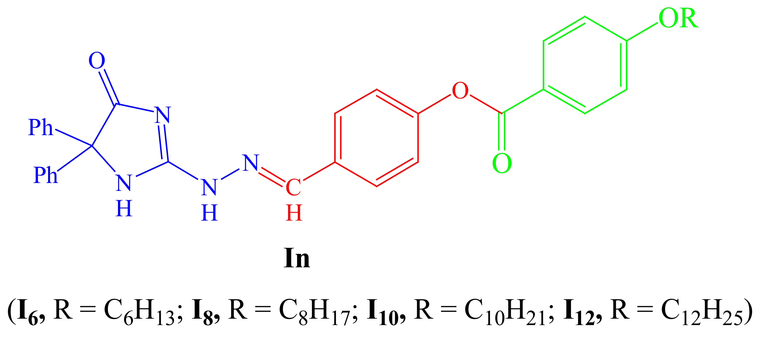
2.1. Mesomorphic Studies of Series, In
2.2. Theoretical DFT Studies
Reactivity Parameters
3. Experimental
3.1. Synthesis
3.2. Computational Details
4. Conclusions
Supplementary Materials
Author Contributions
Funding
Institutional Review Board Statement
Informed Consent Statement
Data Availability Statement
Acknowledgments
Conflicts of Interest
References
- Mishra, R.; Ganguly, S. Imidazole as an anti-epileptic: An overview. Med. Chem. Res. 2012, 21, 3929–3939. [Google Scholar] [CrossRef]
- Gomha, S.M.; Riyadh, S.M.; Abbas, I.M.; Bauomi, M.A. Synthetic utility of ethylidenethiosemicarbazide: Synthesis and anti-cancer activity of 1,3-thiazines and thiazoles with imidazole moiety. Heterocycles 2013, 87, 341–356. [Google Scholar]
- Abbas, I.M.; Gomha, S.M.; Elaasser, M.M.; Bauomi, M.A. Synthesis and biological evaluation of new pyridines containing imidazole moiety as antimicrobial and anticancer agents. Turk. J. Chem. 2015, 39, 334–346. [Google Scholar] [CrossRef]
- Gomha, S.M.; Abdel-aziz, H.M.; Khalil, K.D. Synthesis and SAR study of the novel thiadiazole-imidazole derivatives as new anti-cancer agents. Chem. Pharm. Bull. 2016, 64, 1356–1363. [Google Scholar] [CrossRef] [PubMed] [Green Version]
- Kassab, R.M.; Gomha, S.M.; Muhammad, Z.A.; El-khouly, A.S. Synthesis, biological profile, and molecular docking of some new bis-fused imidazole templates and investigation of their cytotoxic potential as anti-tubercular and/or anticancer prototypes. Med. Chem. 2021, 17, 875–886. [Google Scholar] [CrossRef]
- Gaba, M.; Mohan, C. Development of drugs based on imidazole and benzimidazole bioactive heterocycles: Recent advances and future directions. Med. Chem. Res. 2015, 25, 173–210. [Google Scholar] [CrossRef]
- Gomha, S.M.; Hassaneen, H.M.E. Synthesis and antimicrobial activity of some new pyrazoles, fused pyrazolo [3,4-d]-pyrimidine and 1,2-dihydroimidazo-[2,1-c][1,2,4]triazin-6-one derivatives. Molecules 2011, 16, 6549–6560. [Google Scholar] [CrossRef]
- Khabnadideh, S.; Rezaci, Z.; Khalafi, N.A.; Motazedian, M.H.; Eskandari, M. Synthesis of metronidazole derivatives as antigiardiasis agents. DARU J. Pharm. Sci. 2007, 15, 17–20. [Google Scholar]
- Akdas-Kilig, H.; Roisnel, T.; Ledoux, I.; le Bozec, H. A new class of bipyrimidine-based octupolar chromophores: Synthesis, fluorescent and quadratic nonlinear optical properties. New J. Chem. 2009, 33, 1470–1473. [Google Scholar] [CrossRef]
- Liu, B.; Zhang, H.-L.; Liu, J.; Zhao, Y.-D.; Luo, Q.-M.; Huang, Z.-L. Novel pyrimidine-based amphiphilic molecules: Synthesis, spectroscopic properties and applications in twophoton fluorescence microscopic imaging. J. Mater. Chem. 2007, 17, 2921–2929. [Google Scholar] [CrossRef]
- Ye, S.; Zhuang, S.; Pan, B.; Guo, R.; Wang, L. Imidazole derivatives for efficient organic light-emitting diodes. J. Inf. Disp. 2020, 21, 173–196. [Google Scholar] [CrossRef]
- Anderson, E.B.; Long, T.E. Imidazole-and imidazolium-containing polymers for biology and material science applications. Polymer 2010, 51, 2447–2454. [Google Scholar] [CrossRef] [Green Version]
- Lee, C.K.; Huang, H.W.; Lin, I.J.B. Simple amphiphilic liquid crystalline N-alkylimidazolium salts. A new solvent system providing a partially ordered environment. Chem. Commun. 2000, 19, 1911–1912. [Google Scholar] [CrossRef]
- Fan, S.-Y.; Xu, H.-T.; Li, Q.-G.; Fang, D.-M.; Yu, W.-H.; Xiang, S.-K.; Hu, P.; Zhao, K.-Q.; Feng, C.; Wang, B.-Q. Discotic mesogens based on triphenylene-fused benzimidazole or perimidine: Facile synthesis, mesomorphism, optical properties and self-assembly. Liq. Cryst. 2019, 47, 1041–1054. [Google Scholar] [CrossRef]
- Biswas, M.; Dule, M.; Samanta, P.N.; Ghosh, S.; Mandal, T.K. Imidazoliumbased ionic liquids with different fatty acid anions: Phase behavior, electronic structure and ionic conductivity investigation. Phys. Chem. Chem. Phys. 2014, 16, 16255–16263. [Google Scholar] [CrossRef] [PubMed]
- Jhong, H.-R.; Wong, D.S.-H.; Wan, C.-C.; Wang, Y.-Y.; Wei, T.-C. A novel deep eutectic solvent-based ionic liquid used as electfor dye-sensitized solar cells. Electrochem. Commun. 2009, 11, 209–211. [Google Scholar] [CrossRef]
- Yazaki, S.; Funahashi, M.; Kato, T. An Electrochromic Nanostructured Liquid Crystal Consisting of π-Conjugated and Ionic Moieties. J. Am. Chem. Soc. 2008, 130, 13206–13207. [Google Scholar] [CrossRef]
- Dobbs, W.; Suisse, J.M.; Douce, L.; Welter, R. Electrodeposition of silver particles and gold nanoparticles from ionic liquid-crystal precursors. Angew. Chem. 2006, 45, 4179–4182. [Google Scholar] [CrossRef]
- Noujeim, N.; Samsam, S.; Eberlin, L.; Sanon, S.H.; Rochefort, D.; Schmitzer, A.R. Mesomorphic and ion conducting properties of dialkyl (1, 4-phenylene) diimidazolium salts. Soft Matter 2012, 8, 10914–10920. [Google Scholar] [CrossRef]
- Fernandez, A.A.; Kouwer, P.H.J. Key Developments in Ionic Liquid Crystals. Int. J. Mol. Sci. 2016, 17, 731. [Google Scholar] [CrossRef] [Green Version]
- Volkova, Y.A.; Chernoburova, E.I.; Petrova, A.S.; Shtil, A.A.; Zavarzin, I.V. Reactions of hydrazones derived from oxamic acid thiohydrazides. Phosphorus Sulfur Silicon Relat. Elements 2016, 192, 237–240. [Google Scholar] [CrossRef]
- Barluenga, J.; Valdes, C. Tosylhydrazones: New uses for classic reagents in palladium-catalyzed cross-coupling and metal-free reactions. Angew. Chem. 2011, 50, 7486–7500. [Google Scholar] [CrossRef] [PubMed]
- Sayed, A.R.; El-lateef, H.M.A.; Gomha, S.M.; Abolibda, T.Z. L-Proline catalyzed green synthesis and anticancer evaluation of novel bioactive benzil bis-hydrazones under grinding technique. Green Chem. Lett. Rev. 2021, 14, 179–188. [Google Scholar] [CrossRef]
- Alshabanah, L.A.; Al-Mutabagani, L.A.; Gomha, S.M.; Ahmed, H.A. Three-Component Synthesis of Some New Coumarin derivatives as Anti-Cancer Agents. Front. Chem. 2021, in press.
- Wang, X.; Chen, Y.-F.; Yan, W.; Cao, L.-L.; Ye, Y.-H. Synthesis and Biological Evaluation of Benzimidazole Phenylhydrazone Derivatives as Antifungal Agents against Phytopathogenic Fungi. Molecules 2016, 21, 1574. [Google Scholar] [CrossRef] [Green Version]
- Yorur-Goreci, C.; Altas-Kiymaz, N.; Peksel, A.; Bilgin-Eran, B.; Sonmez, M. New p-Substituted Salicylaldehyde Phenylhydrazone Derivatives: Synthesis, Characterization, and Antioxidant Activities. Sci. Pharm. 2014, 82, 735–747. [Google Scholar] [CrossRef] [Green Version]
- Su, X.; Aprahamian, I. Hydrazone-based switches, metallo-assemblies and sensors. Chem. Soc. Rev. 2014, 43, 1963–1981. [Google Scholar] [CrossRef] [Green Version]
- Paulus, W.; Ringsdorf, H.; Diele, S.; Pelzl, G. Columnar phases from semi-discoid molecules. Phase induction via hydrogen bonding and charge transfer interactions. Liq. Cryst. 1991, 9, 807–819. [Google Scholar] [CrossRef]
- Nütz, U.; Diele, S.; Pelzl, G.; Ringsdorf, H.; Paulus, W.; Willson, G. Structures, properties and miscibility behaviour of liquid crystalline polycatenar tetrone derivatives. Liq Cryst. 1995, 18, 699–705. [Google Scholar] [CrossRef]
- Lamers, B.A.G.; Graf, R.; de Waal, B.F.M.; Vantomme, G.; Palmans, A.R.A.; Meijer, E.W. Polymorphism in the Assembly of Phase-Segregated Block Molecules: Pathway Control to 1D and 2D Nanostructures. J. Am. Chem. Soc. 2019, 141, 15456–15463. [Google Scholar] [CrossRef] [Green Version]
- Jeong, M.J.; Park, J.H.; Lee, C.; Chang, J.Y. Discotic Liquid Crystalline Hydrazone Compounds: Synthesis and Mesomorphic Properties. Org. Lett. 2006, 8, 2221–2224. [Google Scholar] [CrossRef] [PubMed]
- Matoliukstyte, A.; Lygaitis, R.; Grazulevicius, J.V.; Gaidelis, V.; Jankauskas, V.; Montrimas, E.; Tokarski, Z.; Jubran, N. 9-(4-Methoxyphenyl) Carbazolyl-Containing Hydrazones for Optoelectronic Applications. Mol. Cryst. Liq. Cryst. 2005, 427, 107/[419]–116/[428]. [Google Scholar] [CrossRef]
- Bai, B.; Zhao, C.; Wang, H.; Ran, X.; Wang, D.; Li, M. Columnar mesophase from non-symmetrical tapered hydrazide derivatives. Mater. Chem. Phys. 2012, 133, 232–238. [Google Scholar] [CrossRef]
- Su, X.; Voskian, S.; Hughes, R.P.; Aprahamian, I. Manipulating Liquid-Crystal Properties Using a pH Activated Hydrazone Switch. Angew. Chem. Int. Ed. 2013, 52, 10734–10739. [Google Scholar] [CrossRef]
- Moran, M.J.; Magrini, M.; Walba, D.M.; Aprahamian, I. Driving a Liquid Crystal Phase Transition Using a Photochromic Hydrazone. J. Am. Chem. Soc. 2018, 140, 13623–13627. [Google Scholar] [CrossRef] [PubMed]
- Tatum, L.A.; Su, X.; Aprahamian, I. Simple hydrazone building blocks for complicated functional materials. Acc. Chem. Res. 2014, 47, 2141–2149. [Google Scholar] [CrossRef] [PubMed]
- Alamro, F.S.; Ahmed, H.A.; Bedowr, N.S.; Khushaim, M.S.; El-Atawy, M.A. New Advanced Liquid Crystalline Materials Bearing Bis-Azomethine as Central Spacer. Polymers 2022, 14, 1256. [Google Scholar] [CrossRef]
- Alamro, F.S.; Ahmed, H.A.; Bedowr, N.S.; Naoum, M.M.; Mostafa, A.M.; Al-Kadhi, N.S. New Liquid Crystals Based on Terminal Fatty Chains and Polymorphic Phase Formation from Their Mixtures. Crystals 2022, 12, 350. [Google Scholar] [CrossRef]
- Alrefaee, S.H.; Ahmed, H.A.; Khan, M.T.; Al-Ola, K.A.; Al-Refai, H.; El-Atawy, M.A. New Self-Organizing Optical Materials and Induced Polymorphic Phases of Their Mixtures Targeted for Energy Investigations. Polymers 2022, 14, 456. [Google Scholar] [CrossRef]
- Ahmed, H.A.; Aboelnaga, A. Synthesis and mesomorphic study of new phenylthiophene liquid crystals. Liq. Cryst. 2021, 49, 804–811. [Google Scholar] [CrossRef]
- Alamro, F.S.; Alhaddad, O.A.; Naoum, M.M.; Ahmed, H.A. Polymorphic Phases of Supramolecular Liquid Crystal Complexes Laterally Substituted with Chlorine. Polymers 2021, 13, 4292. [Google Scholar] [CrossRef]
- Katariya, K.D.; Nakum, K.J.; Soni, R.; Soman, S.S.; Hagar, M.A. Coumarin Schiff base-esters liquid crystals with symmetrical and unsymmetrical alkoxy chains: Synthesis, mesomorphic properties and DFT approach. J. Mol. Liq. 2022, 357, 119073. [Google Scholar] [CrossRef]
- Nakum, K.J.; Katariya, K.D.; Hagar, M.; Jadeja, R.N. The influence of lateral hydroxyl group and molecular flexibility on the mesogenic behaviour of a new homologous series based on thiophene-chalcone: Synthesis, characterization, crystal structure and DFT study. J. Mol. Struct. 2022, 1261, 132891. [Google Scholar] [CrossRef]
- Nada, S.; Hagar, M.; Farahat, O.; Hasanein, A.A.; Emwas, A.-H.; Sharfalddin, A.A.; Jaremko, M.; Zakaria, M.A. Three Rings Schiff Base Ester Liquid Crystals: Experimental and Computational Approaches of Mesogenic Core Orientation Effect, Heterocycle Impact. Molecules 2022, 27, 2304. [Google Scholar] [CrossRef] [PubMed]
- Abdelrahman, A.M.; Ahmed, N.H.S.; Fahmi, A.A.; Saad, G.R.; Naoum, M.M. Synthesis and mesophase behaviour of four-ring azo-ester-azo compounds bearing two-terminal alkoxy groups in different lengths and proportions. Liq. Cryst. 2020, 47, 1772–1783. [Google Scholar] [CrossRef]
- Frisch, M.J.; Trucks, G.W.; Schlegel, H.B.; Scuseria, G.E.; Robb, M.A.; Cheeseman, J.R.; Scalmani, G.; Barone, V.; Mennucci, B.; Petersson, G.A.; et al. Gaussian 09, Revision A.02; Gaussian, Inc.: Wallingford, CT, USA, 2009. [Google Scholar]
- Becke, A.D. Density-functional exchange-energy approximation with correct asymptotic behavior. Phys. Rev. A 1988, 38, 3098–3100. [Google Scholar] [CrossRef]
- Lee, C.; Yang, W.; Parr, R.G. Development of the Colle-Salvetti correlation-energy formula into a functional of the electron density. Phys. Rev. B 1988, 37, 785–789. [Google Scholar] [CrossRef] [Green Version]
- Alamro, F.S.; Tolan, D.A.; El-Nahas, A.M.; Ahmed, H.A.; El-Atawy, M.A.; Al-Kadhi, N.S.; Aziz, S.G.; Shibl, M.F. Wide Nematogenic Azomethine/Ester Liquid Crystals Based on New Biphenyl Derivatives: Mesomorphic and Computational Studies. Molecules 2022, 27, 4150. [Google Scholar] [CrossRef]
- Alamro, F.S.; Ahmed, H.A.; Mostafa, A.M.; Naoum, M.M. Thermal and Mesomorphic Investigations of 1: 1 Supramolecular Assemblies of 4-[(4-(n-Alkoxy) phenylimino) methyl] benzoic Acids Having Symmetrical and Un-Symmetrical Terminal Chain Lengths. Symmetry 2021, 13, 1785. [Google Scholar] [CrossRef]
- Alamro, F.S.; Ahmed, H.A.; Popoola, S.A.; Aboelnaga, A. Synthesis, Phase Behavior and Computational Simulations of a Pyridyl-Based Liquid Crystal System. Molecules 2021, 26, 6416. [Google Scholar] [CrossRef]
- Gray, G.W. Molecular Structure and the Properties of Liquid Crystals; Academic Press: Cambridge, MA, USA, 1962. [Google Scholar]
- Imrie, C.; Taylor, L. The preparation and properties of low molar mass liquid crystals possessing lateral alkyl chains. Liq. Cryst. 1989, 6, 1–10. [Google Scholar] [CrossRef]
- Walker, R.; Pociecha, D.; Storey, J.M.; Gorecka, E.; Imrie, C.T. Remarkable smectic phase behaviour in odd-membered liquid crystal dimers: The CT6O. m series. J. Mater. Chem. C 2021, 9, 5167–5173. [Google Scholar] [CrossRef]
- Date, R.; Imrie, C.; Luckhurst, G.; Seddon, J. Smectogenic dimeric liquid crystals. The preparation and properties of the α, ω-bis (4-n-alkylanilinebenzylidine-4′-oxy) alkanes. Liq. Cryst. 1992, 12, 203–238. [Google Scholar] [CrossRef]
- Popoola, S.A.; Al-Harbi, M.H.M.; Al-Rashidi, A.H.; Almarwani, M.S.A.; Almohammedi, A.R.; Logunleko, A.O.; Al-Saadi, A.A. DFT evaluation of the effects of OH, NH2 and Br substituents on the properties of 2,2′-bipyridine derivatives. J. Taibah Univ. Sci. 2020, 14, 1527–1537. [Google Scholar] [CrossRef]
- Popoola, S.A.; Almohammedi, A.R.; Haruna, K. Spectroscopic and DFT evaluation of the positional effect of amino group on the properties of aminobenzenesulphonic acid: Solvent interaction. Chem. Pap. 2021, 75, 2775–2789. [Google Scholar] [CrossRef]
- Alamro, F.S.; Al-Kadhi, N.S.; Gomha, S.M.; Popoola, S.A.; Khushaim, M.S.; Alhaddad, O.A.; Ahmed, H.A. Experimental and theoretical investigations of three-ring ester/azomethine materials. Materials 2022, 15, 2312. [Google Scholar] [CrossRef]








| Comp. | TCr-SmC | ΔHCr-SmC | TSmC-I | ΔHSmC-I | ΔTSmC | TI-SmC | ΔHI-SmC | TSmC-Cr | ΔHSmC-Cr | ΔSSmC-I/R |
|---|---|---|---|---|---|---|---|---|---|---|
| I6 | 111.8 | 40.24 | 128.9 | 2.98 | 17.10 | 128.0 | 2.90 | 70.1 | 20.27 | 0.89 |
| I8 | 107.3 | 38.55 | 131.1 | 3.05 | 23.80 | 130.0 | 2.85 | 68.9 | 18.55 | 0.91 |
| I10 | 105.2 | 34.00 | 132.6 | 3.10 | 27.40 | 131.2 | 2.90 | 75.3 | 24.70 | 0.92 |
| I12 | 90.8 | 45.20 | 133.5 | 2.93 | 42.70 | 132.1 | 1.97 | 80.2 | 25.29 | 0.87 |
| Compound | EHOMO (eV) | ELUMO (eV) | ∆E (eV) | Dipole Moment (Debye) | I.P (eV) | E.A (eV) | Isotropic Polarizability (Bohr**3) |
|---|---|---|---|---|---|---|---|
| I6 | −5.972 | −1.639 | 4.333 | 7.378 | 5.972 | 1.639 | 465.45 |
| I8 | −5.985 | −1.625 | 4.360 | 7.482 | 5.985 | 1.625 | 487.34 |
| I10 | −5.978 | −1.628 | 4.349 | 7.740 | 5.978 | 1.628 | 511.11 |
| I12 | −5.959 | −1.642 | 4.317 | 7.507 | 5.959 | 1.642 | 535.72 |
| Compound | ZPE a (kcal/mol) | Thermal b (kcal/mol) | Enthalpy c (kcal/mol) | Gibbs’ Free Energy d (kcal/mol) | Entropy e (cal/mol K) |
|---|---|---|---|---|---|
| I6 | 392.8934237 | 417.4968357 | 418.0892052 | 341.3441047 | 257.405 |
| I8 | 428.6395308 | 454.9491426 | 455.5421395 | 375.1261055 | 269.716 |
| I10 | 464.4239161 | 492.4359625 | 493.0289594 | 408.2730662 | 284.273 |
| I12 | 500.1687682 | 529.9215273 | 530.5138968 | 441.4896806 | 298.589 |
Publisher’s Note: MDPI stays neutral with regard to jurisdictional claims in published maps and institutional affiliations. |
© 2022 by the authors. Licensee MDPI, Basel, Switzerland. This article is an open access article distributed under the terms and conditions of the Creative Commons Attribution (CC BY) license (https://creativecommons.org/licenses/by/4.0/).
Share and Cite
Al-Kadhi, N.S.; Alamro, F.S.; Popoola, S.A.; Gomha, S.M.; Bedowr, N.S.; Al-Juhani, S.S.; Ahmed, H.A. Novel Imidazole Liquid Crystals; Experimental and Computational Approaches. Molecules 2022, 27, 4607. https://doi.org/10.3390/molecules27144607
Al-Kadhi NS, Alamro FS, Popoola SA, Gomha SM, Bedowr NS, Al-Juhani SS, Ahmed HA. Novel Imidazole Liquid Crystals; Experimental and Computational Approaches. Molecules. 2022; 27(14):4607. https://doi.org/10.3390/molecules27144607
Chicago/Turabian StyleAl-Kadhi, Nada S., Fowzia S. Alamro, Saheed A. Popoola, Sobhi M. Gomha, Noha S. Bedowr, Shahd S. Al-Juhani, and Hoda A. Ahmed. 2022. "Novel Imidazole Liquid Crystals; Experimental and Computational Approaches" Molecules 27, no. 14: 4607. https://doi.org/10.3390/molecules27144607
APA StyleAl-Kadhi, N. S., Alamro, F. S., Popoola, S. A., Gomha, S. M., Bedowr, N. S., Al-Juhani, S. S., & Ahmed, H. A. (2022). Novel Imidazole Liquid Crystals; Experimental and Computational Approaches. Molecules, 27(14), 4607. https://doi.org/10.3390/molecules27144607

