Abstract
The electrical conductivities of aqueous solutions of sodium salts of trans-4-hydroxycinnamic acid (trans-p-coumaric acid), trans-3,4-dihydroxycinnamic acid (trans-caffeic acid), trans-4-hydroxy-3-methoxycinnamic acid, (trans-ferulic acid) and trans-3-phenylacrylic acid (trans-cinnamic acid) with α-cyclodextrin were measured in the temperature range of 288.15 K–318.15 K. For the first time in the literature, using the limiting molar conductivity obtained from conductivity measurements, the values of the complexation constants (Kf) of the salts of phenolic acid derivatives with α-cyclodextrin were determined using a modified low concentration chemical model (IcCM). An attempt was also made to analyze the individual thermodynamic functions , and describing the complexation process as a function of temperature changes. The obtained results show that the process of formation of inclusion complexes is exothermic and is spontaneous.
1. Introduction
The main objectives of the presented study were to determine the values of the formation constants Kf of inclusion complexes of cinnamonic acid and its selected derivatives: trans-4-hydroxycinnamic acid, trans-3,4-dihydroxycinnamic acid, trans-4-hydroxy-3-methoxycinnamic acid and trans-3-phenylacrylic acid with α-cyclodextrin based on conductometric measurements and analysis of the impact of these acids’ structure and temperature on the values of Kf.
Cyclodextrins are cyclic oligosaccharides, consisting of six (α-CD), seven (β-CD), eight (γ-CD) or more (LR-CD) large-ring α-D-glucopyranose molecules linked with each other through an α-1,4-glycosidic bond, adopting a chair conformation. This contributes to the lack of free rotation of their rings around said bond and the formation of the CD molecule in the shape of a truncated cone (torus) [1,2]. Structural studies have shown that the hydroxyl groups that give the CD molecule a hydrophilic character assume their characteristic arrangement, giving it a three-dimensional structure. The -OH groups on the secondary carbon atoms, C2 and C3, are located on the wider edge of the ring, while the -OH groups on the primary carbon atom, C6, are located on the narrower one. The hydrogen atoms located in the C3 and C5 carbon atoms and the oxygen atom of the glucopyranose ring are directed toward the inside of the molecule, ensuring the hydrophobic nature of the torus [3,4].
Cyclodextrins are characterized by high solubility in water because they have free hydroxyl groups directed outside the molecule, and the macrocyclic gap in the cyclodextrin molecule is slightly hydrophobic [5,6]. At room temperature, γ-CD (23.2 g/100 mL of water) dissolves best, then α-CD (14.5 g/100 mL) and β-CD (1.85 g/100 mL of water). In addition, cyclodextrins do not show toxic properties, which has been confirmed by numerous studies carried out in many species of animals, including rats.
In nature, CDs are formed by bacterial digestion of polysaccharides (e.g., starch, amylose) and the product of this reaction is a mixture containing variable amounts of native CDs and linear and branched dextrins and proteins. This process involves cyclodextrin glucanotransferase, an extracellular bacterial enzyme produced by some strains of the genus Bacillus. It catalyzes the cleavage of polysaccharides, and then the assembly of linear products of their degradation into cyclic oligosaccharides in the intramolecular transglycosylation reaction [5,6].
Due to their characteristic spatial structure, CDs have a number of interesting properties. The water solubility of natural CDs is much lower than that of linear dextrins with an analogous number of glucopyranose rings. The reason for this may be the relatively high cohesive energy, which causes strong binding of CD molecules in the crystalline state, or the formation of intramolecular hydrogen bonds, which reduce the interaction of CD molecules with surrounding water molecules. The substitution of hydroxyl groups with other groups (e.g., hydroxypropyl) in CD molecules may increase their solubility [7]. An important and frequently used feature of CDs is their ability to form inclusion complexes with other chemical compounds, e.g., medicinal substances. Usually, these are complexes with 1:1 stoichiometry, where one CD molecule is combined with one substance molecule. The formation of such a complex takes place through the incorporation of a drug substance molecule into the CD gap [8,9]. As a result of this interaction, neither the formation of new covalent bonds nor the breaking of the existing covalent bonds occurs. The molecules of the drug substance undergo various conformational changes to maximize the use of van der Waals interactions, which play a key role in the formation of the drug substance–CD complex, both in the solution and in solid state. The formation of such complexes depends primarily on the structure and physicochemical properties of both substances. A necessary condition for their formation is the matching of the nonpolar drug substance group to the hydrophobic CD gap.
Phenolic acids have an antioxidant potential that is greatest for the cinnamic acid derivatives. They are widespread throughout the world of plants, and although they are characterized by a variety of chemical structures and pharmacological properties, they contain the same functional groups (hydroxyl and carboxyl groups) [10,11].
However, one can distinguish between simple benzoic acids, phenylacetic acids and cinnamon acids by the number of carbons in the side chain. The most common derivatives of cinnamic acid are its hydroxyl derivatives, i.e., caffeic acid, ferulic acid and p-coumaric acid.
Phenolic acids are commonly present in food and dietary supplements as bioactive ingredients.
Recent studies describing the activity of a structurally diverse range of phenolic acid salts against foodborne pathogens indicate that both phenolic acids and their salts can be used as natural chemical and food preservatives [12,13]. The subjects of such studies are most often o-, m- and p-coumaric, caffeic, and cinnamic acids [12,14,15]. One well-known sodium salt of the cinnamic acid derivative containing both hydroxyl and methoxy groups is sodium ferulate (SF).
This article presents precise measurements of the electrical conductivity of aqueous solutions of sodium salts of cinnamon acid and its selected derivatives: trans-4-hydroxycinnamic acid (trans-p-coumaric acid), trans-3,4-dihydroxycinnamic acid (trans-caffeic acid), trans-4-hydroxy-3-methoxycinnamic acid (trans-ferulic acid) and trans-3-phenylacrylic acid (trans-cinnamic acid). All conductivities were measured at temperatures (T) from 288.15 K to 318.15 K and in the concentration range (c) starting from ~1.6 −3 to ~2.810−3 mol·dm−3. The tested salts were selected to show the influence of changes in their structure, i.e., the location and number of hydroxyl or methoxy groups, on their conductometric properties. The conductivity of the investigated complexes was assessed with the use of modified conductivity equations. For the first time, the values of the formation constants of inclusion complexes of the studied sodium salts and α-cyclodextrin were determined based on conductometric measurements. The thermodynamic functions and describing this process were also determined. On the basis of the obtained data, the inclusion processes that take place in the studied complexes were discussed.
2. Materials and Methods
2.1. Materials
High purity of trans-4-hydroxycinnamic acid (trans-p-coumaric acid), trans-3,4-dihydroxycinnamic acid (trans-caffeic acid), trans-4-hydroxy-3-methoxycinnamic acid, (trans-ferulic acid), trans-3-phenylacrylic acid (trans-cinnamonic acid) and α-cyclodextrin were used. All information regarding their purity and suppliers is presented in Table 1.
Table 1.
Specification of chemical samples.
Double distilled, deionized and degassed water with a specific conductance better than 0.5 × 10−6 S∙cm−1 was used for the preparation of studied solutions.
2.2. Characterization Methods
All studied solutions were prepared using an analytical balance (Sartorius RC 210D) with an uncertainty of ±1 × 10−5 g. The exact experimental procedure for conductometric measurements is described elsewhere [16]. Conductivity measurements were taken on an RLC Wayne-Kerr 6430B conductivity meter with an uncertainty of 0.02% using a three-electrode probe similar to that described in the literature [17]. The chamber was calibrated with an aqueous solution of potassium chloride [18]. For all measurements, a BU 20F calibration thermostat (Lauda, Lauda-Königshofen, Germany) with stability better than 0.005 K was used and the temperature was checked using an Amarell 3000TH AD thermometer (Amarell, Kreuzwertheim, Germany). The thermostat was connected to a DLK 25 flow cooler (Lauda, Lauda-Königshofen, Germany).
Conductivity measurements were carried out at different frequencies: v = 0.2, 0.5, 1.0, 1.5, 2.0, 3.0, 5.0, 10.0 and 20.0 kHz. All measured conductivity values, λ = 1/R∞, were the results of extrapolation of cell resistance R∞(ν) to infinite frequency R∞ = limν→∞R(ν) using the empirical function R(ν) = R∞ + A/ν (where parameter A is specific for the cell). Taking into account the sources of errors (calibration, sample purity, measurements), the estimated uncertainty of the measured conductivity values was estimated at ±0.05%.
The studied salts were obtained by mixing the appropriate amounts of acid and aqueous sodium hydroxide solution in a stoichiometric ratio of 1:1. The mixture was then heated and stirred to dissolve the acid and evaporate the solvent. More detailed procedures of the preparation of the salts of phenolic acids are described in the literature [12,16,19,20]. The salts obtained were washed with acetone and dried in an oven under reduced pressure in a Büchi glass oven B-580 at T = 373.15 K until constant weight. The synthesized salts were tested by 1H-NMR spectra to confirm the absence of impurities. The spectra of the synthesized salts were consistent with those reported in the literature [20,21,22]. The purity of the obtained salts was 99%. The solubility of the tested sodium salts in water in the studied concentration range was very good and thus did not pose any experimental problems in conductivity measurements.
3. Results
The molar conductivity (Λm) for the tested compounds along with their molality (m) values are presented in Tables S2–S21 in the Supplementary Materials.
To convert molonity, , (moles of electrolyte per kilogram of solution) into molarity, c, the values of the density gradients, b, have been determined independently and used in Equation (1a):
where ρo is the density of the solvent and ρ is the density of the solution.
The measured densities of binary solutions of water and salts as a function of temperature are presented in Table S1. Density gradients and molar conductivity Λ as a function of molality, m (moles of electrolyte per kilogram of solvent), and temperature are presented in Table S1. The relationship among m, and c is as follows:
where M is the molar mass of the electrolyte.
In the studied solutions, we observed most probably the formation of inclusion complexes with the 1:1 stoichiometry between the cyclodextrin (CD) and the anion of the tested phenolic acids (Dod−):
The formation constant (Kf) of these complexes has the following form:
The obtained results of conductometric measurements make it possible to determine the values of these constants.
The molar conductivity of the sodium salt of a selected phenolic acid can be expressed by the molar conductivities of the acid salt with an uncomplexed anion (ΛNaDod) and the alkaline salt of the acid, where the anion forms an inclusion complex with cyclodextrin (ΛCDNaDod).
The molar conductivity of a solution is represented by the following relationship:
where κ is the specific conductivity in the unit (S∙m−1) and CNaDod is the molar concentration of sodium salts of phenolic acid.
The molar conductivity of the tested phenolic acid, calculated from Equation (3), can be expressed by the molar conductivities of the tested sodium salt of phenolic acid with an uncomplexed anion (ΛNaDod) and sodium salt of phenolic acid in which the anion forms an inclusion complex with cyclodextrin (ΛCDNaDod).
The molar conductivity of the tested solution is described by the following relationship:
where:
The constant of complex ion (DodCD−) formation is given by the following equation:
Taking into account Equations (7)–(9), we obtain the following:
By combining Equations (4)–(6) and (10), we get an equation that contains all the quantities from the experiment and two selectable quantities (Kf and ).
Taking this into account, the equation for the molar conductivity of the solution before adding the cyclodextrin takes the following form:
The values of Kf and conductivity ΛNaDodCD are selected by minimizing the sum:
where n is the number of test solutions, Λexp is the experimental molar conductivity calculated from Equation (3) and Λcalc is the molar conductivity calculated from Equation (11).
A review of the literature data [23,24] shows that the values of ΛNaDod and ΛNaDodCD may change and their values can be described by the following equations:
The values of the parameters S, E, J1 and J2 are related to the relaxation and electrophoretic effects. However, it should be remembered that the values of J1 and J2 depend on the so-called parameter of maximum ion approximation.
4. Discussion
As can be seen in Tables S2–S21, the molar conductivities for α-cyclodextrin with the acid ions in the given temperature range were also collected. On the basis of the analysis of the above values, it can be concluded that the increase in temperature causes an increase in the molar conductivity of the tested salts, which is most likely caused by a decrease in the viscosity of the solution and thus causes the greater mobility of ions. It can also be concluded that as the concentration of the ligand increases (i.e., by adding successive portions of α-cyclodextrin), the acid ions increase inclusion (causing a slow decrease in conductivity values). As can be seen, the molar conductivity of the studied anions decreases with increasing ligand concentration. This is surprising because according to the theories of conductivity, the analyzed values of molar conductivity should increase. Therefore, it should be assumed that the observed decrease in the conductivity value is due to the fact that some of the acid anions form complex ions with cyclodextrin, which are characterized by lower conductivity.
It should be emphasized that the values presented in Table 2, Table 3, Table 4 and Table 5 containing the data of the limiting conductivity and the complexation constant for the sodium salts of the phenolic acids under consideration perfectly correlate with each other, and we obtain linear values (see Figure 1).
Table 2.
The value of formation constant Kf (dm3/mol), theoretical conductivity ΛCDNaDod (S∙cm2/mol−1) and the values of thermodynamic functions , and for α-cyclodextrin with the salt of trans-cinnamic acid.
Table 3.
The value of formation constant Kf (dm3/mol), theoretical conductivity ΛCDNaDod (S∙cm2/mol−1) and the values of thermodynamic functions , and for α-cyclodextrin with the salt of trans-p-coumaric acid.
Table 4.
The value of formation constant Kf (dm3/mol), theoretical conductivity ΛCDNaDod (S∙cm2/mol−1) and the values of thermodynamic functions , and for α-cyclodextrin with the salt of trans-caffeic acid.
Table 5.
The value of formation constant Kf (dm3/mol), theoretical conductivity ΛCDNaDod (S∙cm2/mol−1) and the values of thermodynamic functions , and for α-cyclodextrin with the salt of trans-ferulic acid.
Figure 1.
The plots of the dependence of the theoretical conductivity ΛCDNaDod (S∙cm2/mol−1) in the function T (K) for α-cyclodextrin with all studied salts: ∆-trans-cinnamic acid; ▲-trans-p-coumaric acid; ●-trans-caffeic acid; and ○-trans-ferulic acid.
The conductivity values decrease with the elongation of the number of carbon atoms in the structure, which confirms the correctness of the calculations made according to the theory of conductivity. It has also been found that salts containing one or two hydroxyl groups have similar values; hence, in this case, the increase in the number of hydroxyl groups in the molecule does not appear to have a significant effect on the values of molar limiting conductivity. As can be seen, the greatest changes in conductivity are observed in the case of the salt of cinnamic acid. We also observe here the highest value of limiting molar conductivity with increasing temperature. As the molar mass of the tested acid increases, these values begin to stabilize and increase in a similar manner. The values of theoretical conductivity increase when the temperature and molar mass of the studied anions increase, which is compatible with the theory of conductivity (see Figure 1).
However, these values are significantly lower than the conductivity values of the salt when the anion is not complexed. This fact can be explained by the larger size of the complexed anion.
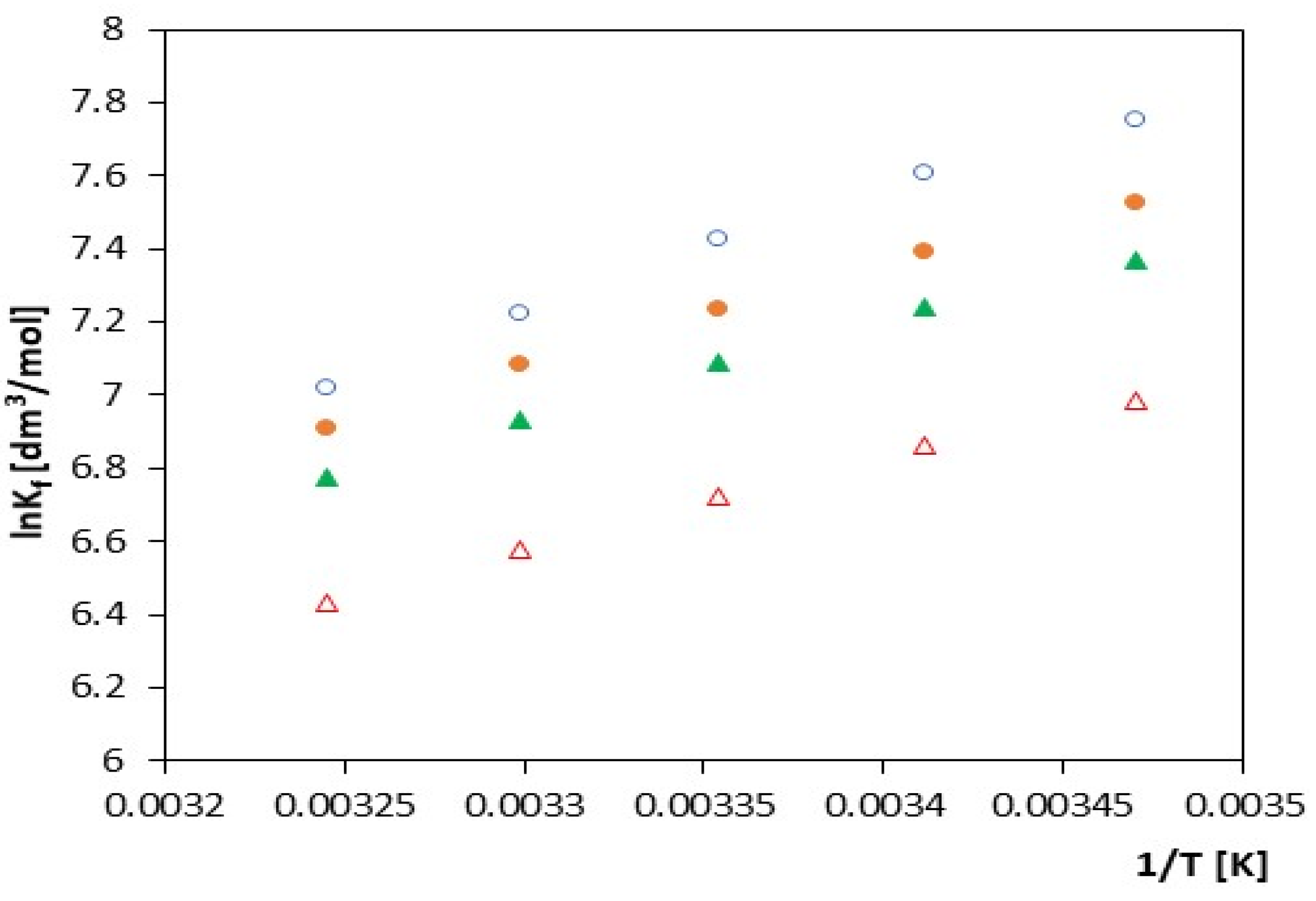
The values of the formation constant Kf of anion inclusion complexes with α-cyclodextrin as a function of temperature are presented on Figure 2 and Figure 3 and Table 2, Table 3, Table 4 and Table 5. As expected, we see that the Kf values increase with the increasing molar mass of the studied salts and decrease with increasing temperature. The course of changes of the function Kf = f(T) and lnKf = f(1/T) is almost monotonic without any visible deviations (the value of the calculated R2 parameter for α-cyclodextrin is close to 1, which shows the linear dependence of lnKf = (1/T)).
Figure 2.
The plots of dependence of the Kf (dm3/mol) formation constant in the T (K) function for α-cyclodextrin with all studied salts.: ∆-trans-cinnamic acid; ▲-trans-p-coumaric acid; ●-trans-caffeic acid; and ○-trans-ferulic acid.
Figure 3.
The plots of dependence of the lnKf (dm3/mol) formation constant in the T (K) function for α-cyclodextrin with all studied salts: ∆-trans-cinnamic acid; ▲-trans-p-coumaric acid; ●-trans-caffeic acid; and ○-trans-ferulic acid.
There is no doubt that the Kf values depend on the structure of the cyclodextrin molecules. In the case of α-cyclodextrin (degree of substitution 0.8) [25,26], it should be assumed that the studied anions are attached to the lower, smaller edge of the truncated cone (because this is the shape of the cyclodextrin molecules). Most likely, the interior of the cyclodextrin becomes less hydrophobic and, additionally, the anions of studied salts (which attach to the cyclodextrin) cannot completely fill its interior. It should be assumed that this may result in a much lower spontaneity of the complex formation process. The values of the complex formation constant are influenced by many factors, such as the size of the cyclodextrin gap as well as the presence of alkoxy and the number of hydroxyl groups in the studied anions. Thus, it should be assumed that the higher values of the formation constants (Kf) of anion inclusion complexes with α-cyclodextrin may be due to a better match of the geometry of the anion molecules to the size of the cyclodextrin gap.
The conductometric measurements allowed for the determination of the thermodynamic functions of the complex formation (such as -free enthalpy, -entropy and -enthalpy) of α-cyclodextrin with the tested salts of phenolic acids in water. These values are summarized in Table 2, Table 3, Table 4 and Table 5.
The temperature dependences of the complex formation constant were used to determine the free enthalpy of complex formation:
The above relationship can be presented as follows:
The entropy values are presented as the first derivative of the free enthalpy as a function of temperature at constant pressure:
Enthalpy is calculated from the following relationship:
As can be seen from Table 2, Table 3, Table 4 and Table 5 and Figure 4, the free enthalpy () takes negative values for all tested salts over the entire range of analyzed temperatures.
Figure 4.
The plots of dependence of (J∙mol−1) in the function T (K) for α-cyclodextrin with all studied salts: ∆-trans-cinnamic acid; ▲-trans-p-coumaric acid; ●-trans-caffeic acid; and ○-trans-ferulic acid.
Such a course of changes in this function indicates the spontaneity of the process of inclusion complex formation in the studied solutions. This effect is confirmed by the courses of changes in entropy () and enthalpy () as a function of temperature changes. The values decrease (become more and more negative) with increasing temperature, which indicates an increase in the exothermic effect of the formation of inclusion complexes (Figure 5). A similar nature of changes is observed in the case of the analysis of changes in the function = f (T), which is illustrated in Figure 6.
Figure 5.
The plots of dependence of (J∙mol−1) in the function T (K) for α-cyclodextrin with all studied salts: ∆-trans-cinnamic acid; ▲-trans-p-coumaric acid; ●-trans-caffeic acid; and ○-trans-ferulic acid.
Figure 6.
The plots of the dependence of (J∙mol−1∙K−1) in the function T (K) for α-cyclodextrin with all studied salts: ∆-trans-cinnamic acid; ▲-trans-p-coumaric acid; ●-trans-caffeic acid; and ○-trans-ferulic acid.
It should also be noted that all analyzed thermodynamic functions will assume increasingly negative values as the molar mass of the tested acids increases (cinnamic < coumaric < coffee < ferulic). Such a course of changes in the discussed thermodynamic functions can be explained by a different structure of these acids and consequently different energy which was needed to dehydrate their anions before they entered in the α-cyclodextrin gap. Most likely, the higher the molar mass of an anion, the lower the energy that is required for its dehydration.
5. Conclusions
The dependence of the complex formation constants allowed for the determination of thermodynamic functions in the studied temperature range. The results showed that the analyzed values of the standard free enthalpy of complex formation increases linearly with increasing temperature. The values of and functions of the complex formation process are negative over the entire temperature range. For the first time, the values of thermodynamic functions of complex formation were described due to the use of the conductometric method, which turns out to be universal in this type of operation. The values of Kf as a function of temperature were estimated, and its influence on the discussed thermodynamic functions was shown. The process of formation of inclusion complexes is an exothermic reaction and is spontaneous. In the literature, there are papers concerning the determination of inclusion complexes of cyclodextrins [27,28,29], but they do not apply to the measurement method proposed in this paper and to selected research objects. This confirms the innovativeness of this work as well as the proposed innovative method of calculating the results.
Supplementary Materials
The following supporting information can be downloaded at: https://www.mdpi.com/article/10.3390/molecules27144420/s1, Table S1: Densities, viscosities and relative permittivities of pure water at temperatures T = 288.15 to 318.15 K, Tables S2–S21: The value of molar concentration of salt Csalt [mol/dm3], concentration of ligand Clig [mol/dm3], molar conductivity Λ [S·cm2·mol−1] for α-cyclodextrin with cinnamic, caffeic, coumaric and ferulic acid sodium salt at a given molar fraction of water (xw) in water.
Author Contributions
Z.K. conceptualized the subject of this research, measured and processed conductometric data, wrote the article and developed the conclusions. R.T. prepared the graphic design of the discussed article’s table and charts. All authors have read and agreed to the published version of the manuscript.
Funding
The authors are grateful for the financial support of the Ministry of Science and Higher Education of the Republic of Poland and the Ministry of Science and Education of the Republic of Croatia.
Institutional Review Board Statement
Not applicable.
Informed Consent Statement
Not applicable.
Data Availability Statement
Not applicable.
Conflicts of Interest
The authors declare no conflict of interest.
References
- Abarca, R.L.; Rodriguez, F.J.; Guarda, A.; Galotto, M.J.; Bruna, J.E. Characterization of beta-cyclodextrin inclusion complexes containing an essential oil component. Food Chem. 2016, 196, 968–975. [Google Scholar] [CrossRef] [PubMed]
- Wang, S.-Y.; Li, L.; Xiao, Y.; Wang, Y. Recent advances in cyclodextrins-based chiral-recognizing platforms. Trends Anal. Chem. 2019, 121, 115691. [Google Scholar] [CrossRef]
- Jambhekar, S.S.; Breen, P. Cyclodextrin in pharmaceutical formulations I: Structure and physicochemical properties, formation of complexes and types of complex. Drug Discov. Today 2016, 21, 356–362. [Google Scholar] [CrossRef]
- Chaudhari, P.; Vivek, M.; Lewis, S.A. Diversity, safety and applications in ocular therapeutics. Exp. Eye Res. 2019, 189, 107829. [Google Scholar] [CrossRef]
- Szejtli, J. Cycodextrin and their inclusion complexes. Akad. Kiado 1982, 25, 296. [Google Scholar]
- Dodziuk, H. (Ed.) Cyclodextrin and Their Complexes; John Wiley & Sons: Hoboken, NJ, USA, 2006; pp. 17–21. [Google Scholar]
- Liu, K.; Ma, C.; Wu, T.; Qi, W.; Yan, Y.; Huang, J. Recent advances in assemblies of cyclodextrins and amphiphiles: Construction and regulation. Curr. Opin. Coll. Interface Sci. 2020, 45, 44–56. [Google Scholar] [CrossRef]
- Saokham, P.; Loftsson, T. γ-Cyclodextrin. Int. J. Pharm. 2017, 516, 278–292. [Google Scholar] [CrossRef]
- Kurkov, S.V.; Loftsson, T. Cyclodextrins. Int. J. Pharm. 2013, 453, 167–180. [Google Scholar] [CrossRef]
- Loftsson, T.; Duchêne, D. Cyclodextrins and their pharmaceutical applications. Int. J. Pharm. 2007, 329, 1–11. [Google Scholar] [CrossRef]
- Granata, G.; Consoli, G.M.L.; Nigrob, R.L.; Geraci, C. Hydroxycinnamic acids loaded in lipid-core nanocapsules. Food Chem. 2018, 245, 551–556. [Google Scholar] [CrossRef]
- Stachlewska, M.A. Inhibitory properties of lithium, sodium and potassium o-, m- and p-coumarates against Escherichia coli O157:H7. Acta Sci. Technol. Aliment. 2015, 14, 77–84. [Google Scholar] [CrossRef]
- Cabezas-Pizarro, J.; Redondo-Solano, M.; Umaña-Gamboa, C.; Arias-Eschandi, M.L. Antimicrobal activity of different sodium and potassium salts of carboxylic acid against some common foodborne pathogens and spoilage-associated bacteria. Rev. Avgent Microbiol. 2018, 50, 56–61. [Google Scholar]
- Marković, S.; Tošovic, J. Comparative study of the antioxidative activities of caffeoylquinic and caffeic acids. Food Chem. 2016, 210, 585–592. [Google Scholar] [CrossRef]
- Dorantesa, L.; Apariciob, G.; Ramirez, A. Improving water solubility of natural antibacterials to inhibit important bacteria in meat products. Procedia Food Sci. 2011, 1, 173–177. [Google Scholar] [CrossRef]
- Kinart, Z.; Tomaš, R. Conductivity properties of selected aliphatic monocarboxylic acid anions in water at 298.15 K. Int. J. Electrochem. Sci. 2020, 15, 10007–10027. [Google Scholar] [CrossRef]
- Bešter-Rogač, M.; Neueder, R.; Barthel, J.; Appeblat, A. Conductivity studies on aqueous solutions of stereoisomers of tartaric acids and tartrates. Part III. Acidic tartrates. J. Solut. Chem. 1998, 27, 299–307. [Google Scholar] [CrossRef]
- Barthel, J.; Feuerlein, F.; Neueder, R.; Wachter, R. Calibration of conductance cells at various temperatures. J. Solut. Chem. 1980, 9, 209–219. [Google Scholar] [CrossRef]
- Matejczyk, M.; Świsłocka, R.; Golonko, A.; Lewandowski, W.; Hawrylik, E. Cytotoxic, genotoxic and antimicrobial activity of caffeic and rosmarinic acids and their lithium, sodium and potassium salts as potential anticancer compounds. Adv. Med. Sci. 2018, 63, 14–21. [Google Scholar] [CrossRef]
- Świsłocka, R. Spectroscopic (FT-IR, FT-Raman, UV absorption, 1H and 13C NMR) and theoretical (in B3LYP/6-311++G** level) studies on alkalimetal salts of caffeic acid. Spectrochim. Acta A 2013, 100, 21–30. [Google Scholar] [CrossRef]
- Świsłocka, R.; Kowczyk-Sadowy, M.; Kalinowska, M.; Lewandowski, W. Spectroscopic (FT-IR, FT-Raman, 1H and 13C NMR) and theoretical studies of p-coumaric acid and alkali metal p-coumarates. Spectroscopy 2012, 27, 35–48. [Google Scholar] [CrossRef]
- Woranuch, S.; Yoksan, R. Preparation, characterization and antioxidant property of water-soluble ferulic acid grafted chitosan. Carbohydr. Polym. 2013, 96, 495–502. [Google Scholar] [CrossRef] [PubMed]
- Salomon, M.; Hefter, G.T. Mobilities of cation-macrocyclic ligand complexes. Pure App. Chem. 1993, 65, 1533–1540. [Google Scholar] [CrossRef][Green Version]
- Salomon, M. Conductometric study of cationic and anionic complexes in propylene carbonate. J. Solut. Chem. 1990, 19, 1225–1236. [Google Scholar] [CrossRef]
- Connors, K.A. The stability of cyclodextrin complexes in solution. Chem. Rev. 1997, 97, 1325–1357. [Google Scholar] [CrossRef] [PubMed]
- Loftsson, T.; Brewster, M.E. Pharmaceutical applications of cyclodextrins. 1. Drug solubilization and stabilization. J. Pharm. Sci. 1996, 85, 1017–1025. [Google Scholar] [CrossRef] [PubMed]
- Kfoury, M.; Landy, D.; Ruellan, S.; Auezova, L.; Greige-Gerges, H.; Fourmentin, S.; Beilstein, K. Determination of formation constants and structural characterization of cyclodextrin inclusion complexes with two phenolic isomers: Carvacrol and thymol. J. Org. Chem. 2016, 12, 29–42. [Google Scholar]
- Ikeda, N.; Inoue, Y.; Ogata, Y.; Murata, I.; Meiyan, X.; Takayama, J.; Sakamoto, T.; Okazaki, M.; Kanamoto, J. Improvement of the solubility and evaluation of the physical properties of an inclusion complex formed by a new ferulic acid derivative and γ-Cyclodextrin. ACS Omega 2020, 21, 12073–12080. [Google Scholar] [CrossRef]
- Barão, C.E.; Pinheiro, K.H.; Valarini Junior, O.; Zanin, G.M.; De Moraes, F.F. Determination of the association constant of alpha and beta cyclodextrins using methyl orange. Ind. Biotechnol. 2016, 12, 317–322. [Google Scholar] [CrossRef]
Publisher’s Note: MDPI stays neutral with regard to jurisdictional claims in published maps and institutional affiliations. |
© 2022 by the authors. Licensee MDPI, Basel, Switzerland. This article is an open access article distributed under the terms and conditions of the Creative Commons Attribution (CC BY) license (https://creativecommons.org/licenses/by/4.0/).










