Phytochemical Investigation, Antioxidant Properties and In Vivo Evaluation of the Toxic Effects of Parthenium hysterophorus
Abstract
:1. Introduction
2. Materials and Methods
2.1. Plant Collection and Identification
2.2. Extraction Procedure
2.3. Phytochemical Analysis
2.4. Total Phenolic Content (TPC) Determination
2.5. Total Flavonoid Content (TFC) Determination
2.6. DDPH Assay
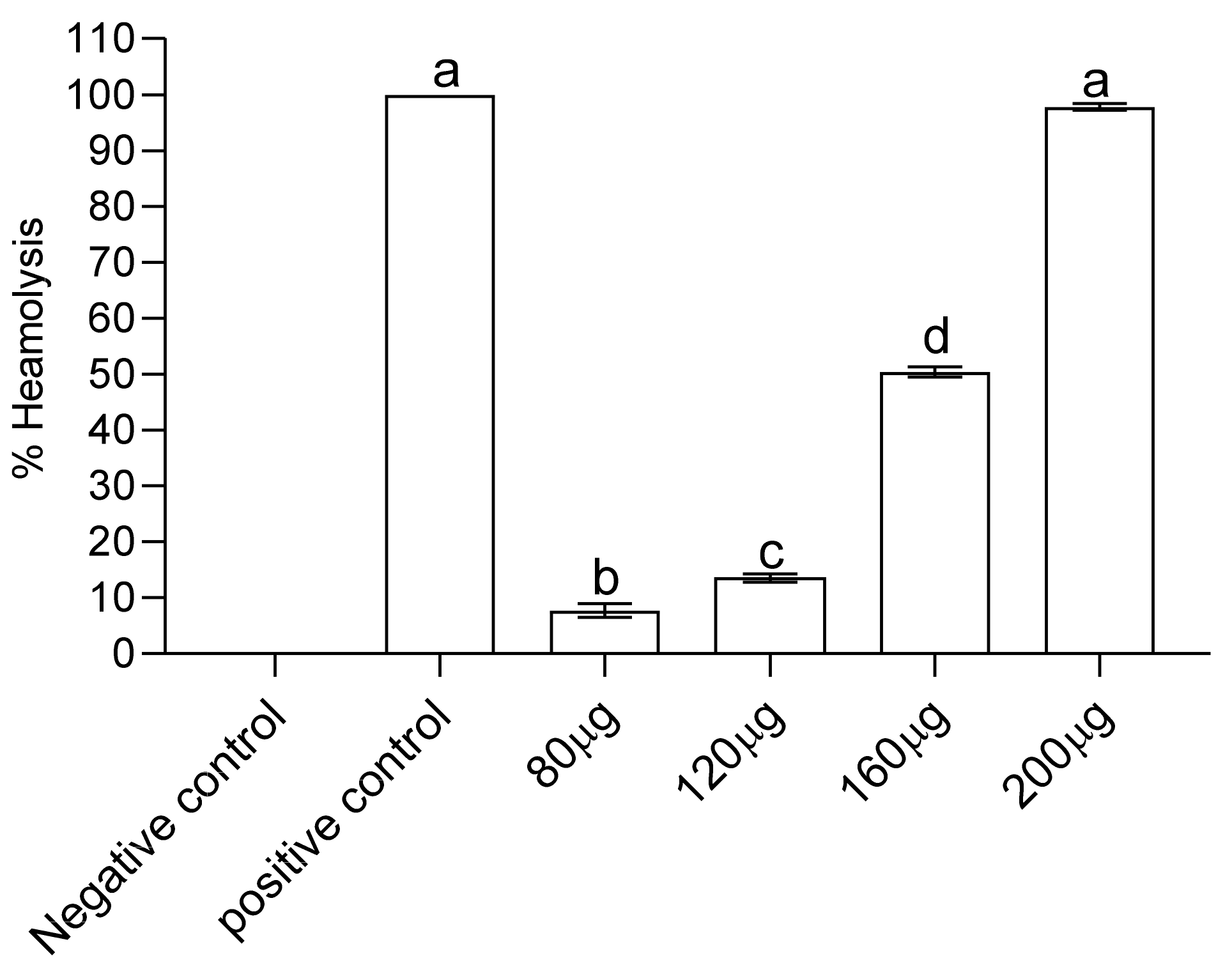
2.7. Hemolytic Assay
2.8. In Vivo Toxic Potential of Methanolic Extract of Flower
2.9. Blood Collection and Analysis
2.10. Statistical Analysis
3. Results
3.1. Characterization of FCe
3.2. DPPH Assay
3.3. Hemolytic Assay
3.4. Analysis of Hematological Parameters
3.5. Serum Biochemical Parameters
4. Discussion
5. Conclusions
Author Contributions
Funding
Institutional Review Board Statement
Informed Consent Statement
Data Availability Statement
Acknowledgments
Conflicts of Interest
References
- Weyl, P.; Ali, K.; GonzálezMoreno, P.; ul Haq, E.; Khan, K.; Khan, S.A.; Khan, M.H.; Stewart, J.; Godwin, J.; Rehman, A.; et al. The biological control of Parthenium hysterophorus L. in Pakistan: Status quo and prospects. Manag. Biol. Invasions 2021, 12, 509–526. [Google Scholar] [CrossRef]
- Shabbir, A.; Dhileepan, K.; Adkins, S.W. Spread of parthenium weed and its biological control agent in the Punjab, Pakistan. Pak. J. Weed Sci Res. 2012, 18, 581–588. [Google Scholar]
- Shabbir, A.; McConnachie, A.; Adkins, S.W. Spread. In Parthenium Weed: Biology, Ecology, and Management; Adkins, S.W., Shabbir, A., Dhileepan, K., Eds.; CABI: Boston, MA, USA, 2019; Volume 7, pp. 40–56. [Google Scholar]
- Adkins, S.; Shabbir, A. Biology, ecology, and management of the invasive parthenium weed (Parthenium hysterophorus L.). Pest. Manag. Sci. 2014, 70, 1023–1029. [Google Scholar] [CrossRef] [PubMed]
- Khaket, T.P.; Aggarwal, H.; Jodha, D.; Dhanda, S.; Singh, J. Parthenium hysterophorus in current scenario: A toxic weed with industrial, agricultural and medicinal applications. J. Plant Sci. 2015, 10, 42. [Google Scholar] [CrossRef] [Green Version]
- Navie, S.C.; McFadyen, R.E.; Panetta, F.D.; Adkins, S.W. The biology of Australian weeds. 27. Parthenium hysterophorus L. Plant. Prot. Q. 1996, 11, 76–88. [Google Scholar]
- Dhileepan, K.; McFadyen, R.C. Parthenium hysterophorus L.-parthenium. In Biological Control of Weeds in Australia; CSIRO Publishing: Clayton, Australia, 2012; pp. 448–462. [Google Scholar]
- Bashar, H.M.K.; Juraimi, A.S.; Ahmad-Hamdani, M.S.; Uddin, M.K.; Asib, N.; Anwar, M.P.; Rahaman, F. A Mystic Weed, Parthenium hysterophorus: Threats, Potentials and Management. Agronomy 2021, 11, 1514. [Google Scholar] [CrossRef]
- Chib, R.; Shah, B.A.; Andotra, S.S.; Bharadwaj, V.; Gupta, R.K.; Taneja, S.C.; Khajuria, R.K. Quantification of sesquiterpene lactones in Parthenium hyterophorous by normal-phase HPLC. J. Chromatogr. Sci. 2013, 51, 950–953. [Google Scholar] [CrossRef] [Green Version]
- Dhileepan, K. Biological Control of Parthenium (Parthenium hysterophorus) in Australian Rangeland Translates to Improved Grass Production. Weed Sci. 2007, 55, 497–501. [Google Scholar] [CrossRef]
- Dhileepan, K.; Callander, J.; Shi, B.; Osunkoya, O.O. Biological control of parthenium (Parthenium hysterophorus): The Australian experience. Biocontrol. Sci. Technol. 2018, 28, 970–988. [Google Scholar] [CrossRef]
- Anwar, S.; Naseem, S.; Karimi, S.; Asi, M.R.; Akrem, A.; Ali, Z. Bioherbicidal Activity and Metabolic Profiling of Potent Allelopathic Plant Fractions Against Major Weeds of Wheat—Way Forward to Lower the Risk of Synthetic Herbicides. Front. Plant. Sci. 2021, 12, 632390. [Google Scholar] [CrossRef]
- Adil, H.; Ayaz, A.K.; Muhammad, A.; Ghazala, Y.Z.; Zafar, I.; Qarib, U.; Javid, I.; Muhammad, S.; Tariq, A. In-vitro and In-vivo assessment of toxic effects of parthenium hysterophorus leveas extract. J. Chil. Chem. Soc. 2022, 67, 5484–5489. [Google Scholar]
- Kaur, L.; Malhi, D.S.; Cooper, R.; Kaur, M.; Sohal, H.S.; Mutreja, V.; Sharma, A. Comprehensive review on ethnobotanical uses, phytochemistry, biological potential and toxicology of Parthenium hysterophorus L.: A journey from noxious weed to a therapeutic medicinal plant. J. Ethnopharmacol. 2021, 281, 114525. [Google Scholar] [CrossRef]
- Mtenga, N.C. Developing an Eco-Friendly and Bio-Managment Stratergy against Parthenium hysterophorus (L.) in Arusha, Tanzania. Ph.D. Thesis, The Nelson Mandela African Institution of Science and Technology, Arusha, Tanzania, 2019; pp. 1–85. [Google Scholar]
- Bajwa, A.A.; Mahajan, G.; Chauhan, B.S. Nonconventional weed management strategies for modern agriculture. Weed Sci. 2015, 63, 723–747. [Google Scholar] [CrossRef]
- Shabbir, A.; Bajwa, A.A.; Dhileepan, K.; Zalucki, M.; Khan, N.; Adkins, S. Integrated use of biological approaches provides effective control of parthenium weed. Arch. Agron. Soil Sci. 2018, 64, 1861–1878. [Google Scholar] [CrossRef]
- Kaur, R.; Das, T.K.; Banerjee, T.; Raj, R.; Singh, R.; Sen, S. Impacts of sequential herbicides and residue mulching on weeds and productivity and profitability of vegetable pea in North-western Indo-Gangetic Plains. Sci. Hortic. 2020, 270, 109456. [Google Scholar] [CrossRef]
- Patel, S. Harmful and beneficial aspects of Parthenium hysterophorus: An update. 3 Biotech 2011, 1, 1–9. [Google Scholar] [CrossRef] [Green Version]
- Bajwa, A.A.; Weston, P.A.; Gurusinghe, S.; Latif, S.; Adkins, S.W.; Weston, L.A. Toxic Potential and Metabolic Profiling of Two Australian Biotypes of the Invasive Plant Parthenium Weed (Parthenium hysterophorus L.). Toxins 2020, 12, 447. [Google Scholar] [CrossRef]
- Abdulkerim-Ute, J.; Legesse, B. Parthenium hysterophorus L: Distribution, impact, and possible mitigation measures in Ethiopia. Trop. Subtrop. Agroecosystems 2016, 19, 61–72. [Google Scholar]
- Wubneh, W.Y. Parthenium hystrophorus in Ethiopia: Distribution, Impact and Management—A Review. World Sci. News 2019, 130, 127–136. [Google Scholar]
- Swati, G.; Haldar, S.; Ganguly, A.; Chatterjee, P.K. Review on Parthenium hysterphorus as a potential energy source. Renew. Sustain. Energy Rev. 2013, 20, 420–429. [Google Scholar] [CrossRef]
- Yadav, N.; Saha, P.; Jabeen, S.; Kumari, S.; Verma, S.K.; Singh, B.S.; Sinha, M.P. Effect of Methanolic Extract of Parthenium hysterophorus on Haematological Parameters in Wistar Albino Rat. Bioscan—Int. J. Life Sci. 2010, 2, 357–363. [Google Scholar]
- Saha, P.; Yadav, N.; Kumari, S.; Raipat, B.S.; Sinha, M.P. Hormonal profile and haematological parameters of male wistar albino rats treated with methanloic extract of Parthenium hysterophorus L. J. Exp. Sci. 2013, 4, 1–5. [Google Scholar]
- Kumar, S.; Pandey, S.; Pandey, A.K. In Vitro Antibacterial, Antioxidant, and Cytotoxic Activities of Parthenium hysterophorus and Characterization of Extracts by LC-MS Analysis. BioMed Res. Int. 2014, 2014, 495154. [Google Scholar] [CrossRef] [Green Version]
- Ovais, M.; Ayaz, M.; Khalil, A.T.; Shah, S.A.; Jan, M.S.; Raza, A.; Shahid, M.; Shinwari, Z.K. HPLC-DAD finger printing, antioxidant, cholinesterase, and α-glucosidase inhibitory potentials of a novel plant Olax nana. BMC Complement. Altern. Med. 2018, 3, 18. [Google Scholar] [CrossRef] [Green Version]
- Ikram, E.H.; Eng, K.H.; Jalil, A.M.; Ismail, A.; Idris, S.; Azlan, A.; Nazri, H.S.; Diton, N.A.; Mokhtar, R.A. Antioxidant capacity and total phenolic content of Malaysian underutilized fruits. J. Food Compos. Anal. 2009, 22, 388–393. [Google Scholar] [CrossRef]
- Quettier-Deleu, C.; Gressier, B.; Vasseur, J.; Dine, T.; Brunet, C.; Luyckx, M.; Cazin, M.; Cazin, J.C.; Bailleul, F.; Trotin, F. Phenolic compounds and antioxidant activities of buckwheat (Fagopyrum esculentum Moench) hulls and flour. J. Ethnopharmacol. 2000, 72, 35–42. [Google Scholar] [CrossRef]
- Li, F.H.; Ya, Y.U.; Yang, X.L.; Tao, S.Y.; Jian, M.I. Phenolic Profiles and Antioxidant Activity of Buckwheat (Fagopyrum esculentum Möench and Fagopyrum tartaricum L. Gaerth) Hulls, Brans and Flours. J. Integr. Agric. 2013, 12, 1684–1693. [Google Scholar] [CrossRef] [Green Version]
- Netala, V.R.; Bethu, M.S.; Pushpalatha, B.; Baki, V.B.; Aishwarya, S.; Rao, J.V.; Tartte, V. Biogenesis of silver nanoparticles using endophytic fungus Pestalotiopsis microspora and evaluation of their antioxidant and anticancer activities. Int. J. Nanomed. 2016, 31, 5683–5696. [Google Scholar] [CrossRef] [Green Version]
- Khan, K.; Javed, S. Silver nanoparticles synthesized using leaf extract of Azadirachta indica exhibit enhanced antimicrobial efficacy than the chemically synthesized nanoparticles: A comparative study. Sci. Prog. 2021, 104, 368504211012159. [Google Scholar] [CrossRef]
- Balamurugan, V.; Velurajan, S.; Subramani, K. Comparison of Silver, Copper and Iron Nano particles from Leaf Extract of Azadirachta indica and its Anti-microbial, Bio sensing activity and toxicity. Int. J. Innov. 2019, 8, 6018–6030. [Google Scholar]
- Suryanti, V.; Marliyana, S.D.; Putri, H.E. Effect of germination on antioxidant activity, total phenolics, β-carotene, ascorbic acid, and α-tocopherol contents of lead tree sprouts (Leucaena leucocephala (lmk.) de Wit). Int. Food Res. J. 2016, 23, 167–172. [Google Scholar]
- Hamid, A.A.; Aiyelaagbe, O.O.; Usman, L.A.; Ameen, O.M.; Lawal, A. Antioxidants: Its medicinal and pharmacological applications. AJPAC 2010, 4, 142–151. [Google Scholar]
- Ngueyem, T.A.; Brusotti, G.; Caccialanza, G.; Vita Finzi, P. The genus Bridelia: A phytochemical and ethnopharmacological review. J. Ethnopharmacol. 2009, 124, 339–349. [Google Scholar] [CrossRef]
- Zahoor, M.; Bari, W.U.; Zeb, A.; Khan, I. Toxicological, anticholinesterase, antilipidemic, antidiabetic and antioxidant potentials of Grewia optiva Drummond ex Burret extracts. J. Basic Clin. Physiol Pharmacol. 2020, 11, 31. [Google Scholar] [CrossRef]
- Nadkarni, A.K.; Nadkarni, A.K. Indian material medica, popular prakashan pvt ltd. Bombay India 1982, 1, 1199. [Google Scholar]
- Yang, J.H.; Lin, H.C.; Mau, J.L. Antioxidant properties of several commercial mushrooms. Food Chem. 2002, 77, 229–235. [Google Scholar] [CrossRef]
- Mau, J.L.; Lin, H.C.; Chen, C.C. Antioxidant properties of several medicinal mushrooms. J. Agric. Food Chem. 2002, 50, 6072–6077. [Google Scholar] [CrossRef]
- Ayaz, M.; Junaid, M.; Ahmed, J.; Ullah, F.; Sadiq, A.; Ahmad, S.; Imran, M. Phenolic contents, antioxidant and anticholinesterase potentials of crude extract, subsequent fractions and crude saponins from Polygonum hydropiper L. BMC Complement. Altern Med. 2014, 3, 145. [Google Scholar] [CrossRef] [Green Version]
- Sharma, P.; Sharma, J.D. In vitro hemolysis of human erythrocytes by plant extracts with antiplasmodial activity. J Ethnopharmacol. 2001, 74, 239–243. [Google Scholar] [CrossRef]
- Bhoyar, M.; Mishra, G.; Naik, P.; Singh, S. Evaluation of Antioxidant Capacities and Total Polyphenols in Various Edible Parts of Capparis spinosa L. Collected from Trans-Himalayas. Def. Life Sci. J. 2018, 3, 140–145. [Google Scholar] [CrossRef]
- Rodriguez, L.C.; Saba, J.N.; Chung, K.H.; Wadhwani, C.; Rodrigues, D.C. In vitro effects of dental cements on hard and soft tissues associated with dental implants. J. Prosthet Dent. 2017, 118, 31–35. [Google Scholar] [CrossRef]
- Kundishora, A.; Sithole, S.; Mukanganyama, S. Determination of the Cytotoxic Effect of Different Leaf Extracts from Parinari curatellifolia (Chrysobalanaceae). J. Toxicol. 2020, 2020, 8831545. [Google Scholar] [CrossRef]
- Brondani, J.C.; Reginato, F.Z.; da Silva Brum, E.; de Souza Vencato, M.; Lhamas, C.L.; Viana, C.; da Rocha, M.I.; de Freitas Bauermann, L.; Manfron, M.P. Evaluation of acute and subacute toxicity of hydroethanolic extract of Dolichandra unguis-cati L. leaves in rats. J. Ethnopharmacol. 2017, 202, 147–153. [Google Scholar] [CrossRef]
- Zhu, M.; Chang, Q.; Wong, L.K.; Chong, F.S.; Li, R.C. Triterpene antioxidants from Ganoderma lucidum. Phytother. Res. Int. J. Devoted Pharmacol. Toxicol. Eval. Nat. Prod. Deriv. 1999, 13, 529–531. [Google Scholar] [CrossRef]
- Lelubre, C.; Vincent, J.L. Red blood cell transfusion in the critically ill patient. Ann. Intensive Care 2011, 1, 43. [Google Scholar] [CrossRef] [Green Version]
- Tasaki, M.; Umemura, T.; Maeda, M.; Ishii, Y.; Okamura, T.; Inoue, T.; Kuroiwa, Y.; Hirose, M.; Nishikawa, A. Safety assessment of ellagic acid, a food additive, in a subchronic toxicity study using F344 rats. Food Chem Toxicol. 2008, 46, 1119–1124. [Google Scholar] [CrossRef]
- Rathore, A.; Dadhich, R.; Purohit, K.; Sharma, S.K.; Vaishnava, C.S.; Joseph, B.; Khatri, A. Biochemical effect of induced sub acute toxicity of Parthenium hysterophorus L. and its amelioration with Prosopis cineraria (L.) druce leaves in Wistar albino rats. Vet. Pract. 2019, 20, 1188–1190. [Google Scholar]
- Duzguner, V.; Erdogan, S. Chronic exposure to imidacloprid induces inflammation and oxidative stress in the liver & central nervous system of rats. Pestic Biochem Phys. 2012, 104, 58–64. [Google Scholar]
- Narasimhan, T.R.; Harindranath, N.; Premlata, S.; Murthy, B.K.; Rao, P.S. Toxicity of the sesquiterpene lactone parthenin to cultured bovine kidney cells. Planta Med. 1985, 51, 194–197. [Google Scholar] [CrossRef]
- Lee, K.H.; Mar, E.C.; Okamoto, M.; Hall, I.H. Antitumor agents, Synthesis and antitumor activity of cyclopentenone derivatives related to helenalin. J. Med. Chem. 1978, 21, 819–822. [Google Scholar] [CrossRef]
- Han, X.; Guo, J.; You, Y.; Zhan, J.; Huang, W. p-Coumaric acid prevents obesity via activating thermogenesis in brown adipose tissue mediated by mTORC1-RPS6. FASEB J. 2020, 34, 7810–7824. [Google Scholar] [CrossRef] [PubMed]



| Retention Time (min) | Phytochemical Compounds | HPLC-UV λmax (nm) | Sample Peak Area | Area % | Identification Reference |
|---|---|---|---|---|---|
| 2.681 | Malic acid | 320 | 113.830 | 0.285 | Ref. Stand |
| 4.937 | Gallic acid | 320 | 574.438 | 1.442 | Ref. Stand |
| 6.415 | Chlorogenic acid | 320 | 467.475 | 11.722 | Ref. Stand |
| 8.308 | Epigallocatechin gallate | 320 | 401.196 | 10.081 | Ref. Stand |
| 11.596 | Bis-HHDP-hex(pedunculagin) | 320 | 37.707 | 0.094 | [35] |
| 12.263 | Morin | 320 | 27.504 | 0.069 | Ref. Stand |
| 16.469 | Ellagic acid | 320 | 177.966 | 0.447 | Ref. Stand |
| 25.351 | Kaempferol-3-(caffeoyl-diglucoside)-7-rhamnosyl | 320 | 68.127 | 0.171 | [36] |
| 27.525 | Kaempferol-3-(p-coumaroyl-diglucoside)-7-glucoside | 320 | 28.542 | 0.071 | [36] |
| 28.721 | Pyrogallol | 320 | 60.840 | 0.152 | Ref. Stand |
| 30.990 | Mandelic acid | 320 | 59.972 | 0.150 | Ref. Stand |
| 31.652 | Quercetin-3-(caffeoyldiglucoside)-7-glucoside | 320 | 53.121 | 0.133 | [37] |
| 32.060 | p-Coumaric acid | 320 | 79.998 | 0.200 | [37] |
| Sample | Concentration (µg) | DPPH % Inhibition | DPPH IC50 (µg AAE/ µg) |
|---|---|---|---|
| FCe | 80 | 59.73 | 54.278 |
| 60 | 50.83 | ||
| 40 | 45.65 | ||
| 20 | 38.79 |
| Parameters | Control | A | B | C | D |
|---|---|---|---|---|---|
| WBC (×106 /µL) | 9.704 a | 8.73 ± 0.105 b | 7.7 ± 0.215 c | 6.63 ± 0.334 d | 5.53 ± 0.150 e |
| RBC (×106 /µL) | 6.801 a | 6.17 ± 0.155 a | 5.35 ± 0.251 b | 5.1 ± 0.524 b | 3.94 ± 0.240 c |
| HGB (mg/dL) | 10.002 a | 10.70 ± 0.204 b | 11.13 ± 0.205 b | 11.80 ± 0.263 c | 12.5 ± 0.361 d |
| HCT (%) | 37.405 a | 34.97 ± 0.752 b | 31.27 ± 1.114 c | 29.47 ± 0.656 c | 27.23 ± 0.905 d |
| MCV (pg) | 70.502 a | 67.43 ± 0.906 b | 63.27 ± 0.420 c | 60.80 ± 0.883 d | 58.50 ± 0.781 e |
| MCH (pg) | 18.806 a | 19.50 ± 0.362 a | 21.17 ± 0.902 c | 23.40 ± 0.881 d | 24.30 ± 1.154 d |
| MCHC (mg/dL) | 26.606 a | 28.57 ± 0.56 b | 29.30 ± 0.224 c | 29.77 ± 0.325 d | 35.73 ± 0.410 c |
| PLT (×103 /µL) | 241.024 a | 148.7 ± 2.081 b | 140.3 ± 1.524 c | 132.3 ± 1.526 d | 115.3 ± 2.151 e |
| RDW (% | 20.403 a | 22.33 ± 1.052 a | 25.37 ± 1.150 b | 29.47 ± 0.852 c | 32.07 ± 0.354 d |
| PCT (ng/ml | 0.164 a | 0.11 ± 0.015 a | 0.8 ± 0.161 b | 0.6 ± 0.100 b | 0.3 ± 0.125 a |
| MPV (fL) | 6.701 a | 6.40 ± 0.132 a | 6.06 ± 0.252 a | 4.63 ± 0.458 b | 3.46 ± 0.253 c |
| PDW (fL) | 15.605 a | 16.37 ± 0.158 b | 17.1 ± 0.260 c | 18.2 ± 0.306 d | 19.07 ± 0.150 e |
| Neutrophils (%) | 64.001 a | 62.00 ± 1.085 a | 60.33 ± 0.571 a | 56.67 ± 1.526 b | 54 ± 1.061 c |
| Lymphocytes (%) | 32.004 a | 30.33 ± 0.572 a | 28.67 ± 1.521 a | 25.33 ± 0.570 b | 22.67 ± 1.528 b |
| Monocytes (%) | 3.004 a | 2.66 ± 0.576 a | 2.0 ± 0.017 a | 1.33 ± 0.571 b | 1.0 ± 0.086 b |
| Parameters | Control | A | B | C | D |
|---|---|---|---|---|---|
| ALT (U/L) | 34.018 ± 1.144 a | 52.036 ± 3.017 b | 68.672 ± 3.214 c | 86.331 ± 3.054 d | 92.702 ± 2.007 e |
| Bilirubin (mg/dL) | 0.704 ± 0.337 a | 0.464 ± 0.157 a | 0.734 ± 0.155 a | 0.706 ± 0.264 a | 0.903 ± 0.114 b |
| ALP (IU/L) | 219.016 ± 3.042 a | 239.041 ± 2.055 b | 254.713 ± 1.524 c | 276.015 ± 3.641 d | 295.051 ± 2.017 e |
| Blood urea (mg/dL) | 22.091 ± 1.2 a | 36.677 ± 2.051 b | 56.674 ± 2.515 c | 76.331 ± 1.527 d | 83.673 ± 1.541 e |
| Creatinine (mg/dL) | 0.927 ± 0.117 a | 0.933 ± 0.256 a | 1.207 ± 0.104 a | 1.529 ± 0.144 b | 1.663 ± 0.157 b |
| Cholesterol (mg/dL) | 156.012 ± 3.209 a | 137.049 ± 1.008 b | 129.040 ± 1.058 c | 129.311 ± 2.507 c | 110.725 ± 2.086 d |
| Triglycerides (mg/dL) | 131.004 ± 1.532 a | 128.717 ± 1.526 a | 119.015 ± 2.029b | 112.318 ± 1.524 c | 107.317 ± 0.572 c |
| HDL (mg/dL | 55.017 ± 2.163 a | 53.334 ± 1.522 a | 49.671 ± 1.155b | 48.330 ± 1.521 b | 46.336 ± 0.575 c |
| LDL (mg/dL) | 81.004 ± 1.850 a | 74.673 ± 1.528 b | 66.671 ± 1.529 c | 59.672 ± 0.570 d | 46.144 ± 1.041 e |
Publisher’s Note: MDPI stays neutral with regard to jurisdictional claims in published maps and institutional affiliations. |
© 2022 by the authors. Licensee MDPI, Basel, Switzerland. This article is an open access article distributed under the terms and conditions of the Creative Commons Attribution (CC BY) license (https://creativecommons.org/licenses/by/4.0/).
Share and Cite
Iqbal, J.; Khan, A.A.; Aziz, T.; Ali, W.; Ahmad, S.; Rahman, S.U.; Iqbal, Z.; Dablool, A.S.; Alruways, M.W.; Almalki, A.A.; et al. Phytochemical Investigation, Antioxidant Properties and In Vivo Evaluation of the Toxic Effects of Parthenium hysterophorus. Molecules 2022, 27, 4189. https://doi.org/10.3390/molecules27134189
Iqbal J, Khan AA, Aziz T, Ali W, Ahmad S, Rahman SU, Iqbal Z, Dablool AS, Alruways MW, Almalki AA, et al. Phytochemical Investigation, Antioxidant Properties and In Vivo Evaluation of the Toxic Effects of Parthenium hysterophorus. Molecules. 2022; 27(13):4189. https://doi.org/10.3390/molecules27134189
Chicago/Turabian StyleIqbal, Javed, Ayaz Ali Khan, Tariq Aziz, Waqar Ali, Saeed Ahmad, Shafiq Ur Rahman, Zafar Iqbal, Anas S. Dablool, Mashael W. Alruways, Abdulraheem Ali Almalki, and et al. 2022. "Phytochemical Investigation, Antioxidant Properties and In Vivo Evaluation of the Toxic Effects of Parthenium hysterophorus" Molecules 27, no. 13: 4189. https://doi.org/10.3390/molecules27134189
APA StyleIqbal, J., Khan, A. A., Aziz, T., Ali, W., Ahmad, S., Rahman, S. U., Iqbal, Z., Dablool, A. S., Alruways, M. W., Almalki, A. A., Alamri, A. S., & Alhomrani, M. (2022). Phytochemical Investigation, Antioxidant Properties and In Vivo Evaluation of the Toxic Effects of Parthenium hysterophorus. Molecules, 27(13), 4189. https://doi.org/10.3390/molecules27134189

