Molecular Environment Effects That Modulate the Photophysical Properties of Novel 1,3-Phosphinoamines Based on 2,1,3-Benzothiadiazole
Abstract
:1. Introduction
2. Materials and Methods
2.1. General Procedures
2.2. X-ray Data
2.3. Quantum-Mechanical Calculations
2.4. Syntheses
2.4.1. Synthesis of Ph2PCH(Ph)NH-btd (1)
2.4.2. Synthesis of Ph2P(O)CH(Ph)NH-btd (2)
2.4.3. Synthesis of Ph2P(E)CH(Ph)NH-btd (E = S (3), Se (4))
2.4.4. Ph2P(S)CH(Ph)NH-btd (3)
2.4.5. Ph2P(Se)CH(Ph)NH-btd (4)
3. Results and Discussion
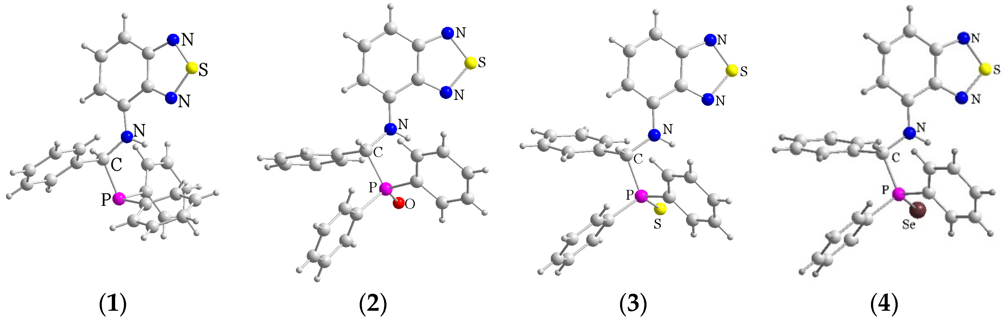
3.1. Syntheses and Crystal Structures
3.2. Photophysical Properties
4. Conclusions
Supplementary Materials
Author Contributions
Funding
Institutional Review Board Statement
Informed Consent Statement
Data Availability Statement
Acknowledgments
Conflicts of Interest
Sample Availability
References
- Khan, F.; Ekbote, A.; Mobin, S.M.; Misra, R. Mechanochromism and Aggregation-Induced Emission in Phenanthroimidazole Derivatives: Role of Positional Change of Different Donors in a Multichromophoric Assembly. J. Org. Chem. 2021, 86, 1560–1574. [Google Scholar] [CrossRef] [PubMed]
- Pazini, A.; Maqueira, L.; da Silveira Santos, F.; Jardim Barreto, A.R.; Carvalho, R.d.S.; Valente, F.M.; Back, D.; Aucélio, R.Q.; Cremona, M.; Rodembusch, F.S.; et al. Designing highly luminescent aryloxy-benzothiadiazole derivatives with aggregation-induced enhanced emission. Dyes Pigments 2020, 178, 108377. [Google Scholar] [CrossRef]
- Durmaz, M.; Acikbas, Y.; Bozkurt, S.; Capan, R.; Erdogan, M.; Ozkaya, C. A Novel Calix[4]arene Thiourea Decorated with 2-(2-Aminophenyl)benzothiazole Moiety as Highly Selective Chemical Gas Sensor for Dichloromethane Vapor. ChemistrySelect 2021, 6, 4670–4676. [Google Scholar] [CrossRef]
- Tanaka, E.; Mikhailov, M.S.; Gudim, N.S.; Knyazeva, E.A.; Mikhalchenko, L.V.; Robertson, N.; Rakitin, O.A. Structural features of indoline donors in D–A-π-A type organic sensitizers for dye-sensitized solar cells. Mol. Syst. Des. Eng. 2021, 6, 730–738. [Google Scholar] [CrossRef]
- Neto, B.A.D.; Correa, J.R.; Spencer, J. Fluorescent Benzothiadiazole Derivatives as Fluorescence Imaging Dyes: A Decade of New Generation Probes. Chem. A Eur. J. 2022, 28, e202103262. [Google Scholar] [CrossRef] [PubMed]
- Korshunov, V.M.; Chmovzh, T.N.; Golovanov, I.S.; Knyazeva, E.A.; Mikhalchenko, L.V.; Saifutyarov, R.S.; Avetisov, I.C.; Woollins, J.D.; Taydakov, I.V.; Rakitin, O.A. Candle light-style OLEDs with benzochalcogenadiazoles cores. Dyes Pigments 2021, 185, 108917. [Google Scholar] [CrossRef]
- Zhang, W.-Q.; Cheng, K.; Yang, X.; Li, Q.-Y.; Zhang, H.; Ma, Z.; Lu, H.; Wu, H.; Wang, X.-J. A benzothiadiazole-based fluorescent sensor for selective detection of oxalyl chloride and phosgene. Org. Chem. Front. 2017, 4, 1719–1725. [Google Scholar] [CrossRef]
- Sukhikh, T.S.; Ogienko, D.S.; Bashirov, D.A.; Konchenkoa, S.N. Luminescent complexes of 2,1,3-benzothiadiazole derivatives. Russ. Chem. Bull. 2019, 68, 651–661. [Google Scholar] [CrossRef]
- Yu, Y.; Cang, M.; Cui, W.; Xu, L.; Wang, R.; Sun, M.; Zhou, H.; Yang, W.; Xue, S. Efficient red fluorescent OLEDs based on aggregation-induced emission combined with hybridized local and charge transfer state. Dyes Pigments 2021, 184, 108770. [Google Scholar] [CrossRef]
- Samuvel Michael, D.; Serangolam Krishnasami, S.; Vijay Solomon, R. A two-step MM and QM/MM approach to model AIEE of aryloxy benzothiadiazole derivatives for optoelectronic applications. Phys. Chem. Chem. Phys. 2022, 24, 4051–4064. [Google Scholar] [CrossRef]
- Yu, Y.; Xing, H.; Park, H.; Zhang, R.; Peng, C.; Sung, H.H.Y.; Williams, I.D.; Ma, C.; Wong, K.S.; Li, S.; et al. Deep-Red Aggregation-Induced Emission Luminogen Based on Dithiofuvalene-Fused Benzothiadiazole for Lipid Droplet-Specific Imaging. ACS Mater. Lett. 2022, 4, 159–164. [Google Scholar] [CrossRef]
- Chen, S.; Luo, R.; Li, X.; He, M.; Fu, S.; Xu, J. Aggregation Induced Emission and Nonlinear Optical Properties of an Intramolecular Charge-Transfer Compound. Materials 2021, 14, 1909. [Google Scholar] [CrossRef] [PubMed]
- Cherkasov, R.A.; Galkin, V.I. The Kabachnik–Fields reaction: Synthetic potential and the problem of the mechanism. Russ. Chem. Rev. 1998, 67, 857–882. [Google Scholar] [CrossRef]
- Varga, P.R.; Keglevich, G. Synthesis of α-Aminophosphonates and Related Derivatives; The Last Decade of the Kabachnik–Fields Reaction. Molecules 2021, 26, 2511. [Google Scholar] [CrossRef] [PubMed]
- Amira, A.; Aouf, Z.; K’Tir, H.; Chemam, Y.; Ghodbane, R.; Zerrouki, R.; Aouf, N.-E. Recent Advances in the Synthesis of α-Aminophosphonates: A Review. ChemistrySelect 2021, 6, 6137–6149. [Google Scholar] [CrossRef]
- Artem’ev, A.V.; Kolyvanov, N.A.; Oparina, L.A.; Gusarova, N.K.; Sutyrina, A.O.; Bagryanskaya, I.Y.; Trofimov, B.A. Four-Component Reaction between Secondary Phosphines, Primary Amines, Aldehydes, and Chalcogens: A Facile Access to Functionalized α-Aminophosphine Chalcogenides. Synthesis 2017, 49, 677–684. [Google Scholar] [CrossRef]
- Sukhikh, T.; Kolybalov, D.; Khisamov, R.; Konchenko, S. α-Aminophosphines bearing phenyl-2-benzothiazole: Synthesis, crystal structure and photophysical properties. J. Struct. Chem. 2022; 63, in press. [Google Scholar] [CrossRef]
- Thaslim Basha, S.; Sudhamani, H.; Rasheed, S.; Venkateswarlu, N.; Vijaya, T.; Naga Raju, C. Microwave-assisted neat synthesis of α-aminophosphonate/phosphinate derivatives of 2-(2-aminophenyl)benzothiazole as potent antimicrobial and antioxidant agents. Phosphorus Sulfur Silicon Relat. Elem. 2016, 191, 1339–1343. [Google Scholar] [CrossRef]
- Sukhikh, T.S.; Khisamov, R.M.; Bashirov, D.A.; Komarov, V.Y.; Molokeev, M.S.; Ryadun, A.A.; Benassi, E.; Konchenko, S.N. Tuning of the coordination and emission properties of 4-amino-2,1,3-benzothiadiazole by introduction of diphenylphosphine group. Cryst. Growth Des. 2020, 20, 5796–5807. [Google Scholar] [CrossRef]
- Khisamov, R.; Sukhikh, T.; Bashirov, D.; Ryadun, A.; Konchenko, S. Structural and photophysical properties of 2,1,3-benzothiadiazolebased phosph(III)azane and its complexes. Molecules 2020, 25, 2428. [Google Scholar] [CrossRef]
- Liu, Y.; Lu, Y.; Prashad, M.; Repič, O.; Blacklock, T.J. A Practical and Chemoselective Reduction of Nitroarenes to Anilines Using Activated Iron. Adv. Synth. Catal. 2005, 347, 217–219. [Google Scholar] [CrossRef]
- Sheldrick, G. SHELXT-Integrated space-group and crystal-structure determination. Acta Crystallogr. Sect. A 2015, 71, 3–8. [Google Scholar] [CrossRef] [PubMed] [Green Version]
- Sheldrick, G.M. Crystal structure refinement with SHELXL. Acta Crystallogr. Sect. C 2015, C71, 3–8. [Google Scholar] [CrossRef]
- Dolomanov, O.V.; Bourhis, L.J.; Gildea, R.J.; Howard, J.A.K.; Puschmann, H. OLEX2: A complete structure solution, refinement and analysis program. J. Appl. Crystallogr. 2009, 42, 339–341. [Google Scholar] [CrossRef]
- Turner, M.J.; McKinnon, J.J.; Wolff, S.K.; Grimwood, D.J.; Spackman, P.R.; Jayatilaka, D.; Spackman, M.A. CrystalExplorer 17; University of Western Australia: Perth, Australia, 2017. [Google Scholar]
- Strong, S.E.; Hestand, N.J. Modeling nonlocal electron–phonon coupling in organic crystals using interpolative maps: The spectroscopy of crystalline pentacene and 7,8,15,16-tetraazaterrylene. J. Chem. Phys. 2020, 153, 124113. [Google Scholar] [CrossRef]
- El-Sayed, M.A. Effect of spin orbit interactions on the dipolar nature of the radiative microwave zero-field transitions in aromatic molecules. J. Chem. Phys. 1974, 60, 4502–4507. [Google Scholar] [CrossRef]
- Suzuki, S.; Sasaki, S.; Sairi, A.S.; Iwai, R.; Tang, B.Z.; Konishi, G.-I. Principles of Aggregation-Induced Emission: Design of Deactivation Pathways for Advanced AIEgens and Applications. Angew. Chem. Int. Ed. 2020, 59, 9856–9867. [Google Scholar] [CrossRef] [Green Version]
- Buncel, E.; Rajagopal, S. Solvatochromism and solvent polarity scales. Acc. Chem. Res. 1990, 23, 226–231. [Google Scholar] [CrossRef]
- Zhao, Z.; Zhang, H.; Lam, J.W.Y.; Tang, B.Z. Aggregation-Induced Emission: New Vistas at the Aggregate Level. Angew. Chem. Int. Ed. 2020, 59, 9888–9907. [Google Scholar] [CrossRef]










| Calculated | Toluene Solution | Solid State | ||||||||
|---|---|---|---|---|---|---|---|---|---|---|
| S0–S1 | S1–S0 | T1–S0 | λabs | λEm | QY | λabs | λEm | τ | QY | |
| 1 | 424 | 528 | 904 | 300, 306, 313, 403 | 534 | 37 | 297, 315, 380, 460 | 538 | - | <1 |
| 2 | 409 | 519 | 821 | 300, 306, 313, 414 | 527 | 94 | 300, 313, 445 (br) | 536, 836 | 4 and 13 (300 K), 5 and 19 (77 K) | 34 |
| 3 | 406 | 510 | 821 | 300, 305, 313, 413 | 520 | ~100 | 292, 310, 450 (br) | 530, 845 | 12.5 (300 K) and 20 (77 K) | 93 |
| 4 | 406 | 508 | 820 | 300, 305, 313, 409 | 519 | 30 | 294, 315, 450 (br) | 532, 822 | 9 and 16 (300 and 77 K) | 19 |
Publisher’s Note: MDPI stays neutral with regard to jurisdictional claims in published maps and institutional affiliations. |
© 2022 by the authors. Licensee MDPI, Basel, Switzerland. This article is an open access article distributed under the terms and conditions of the Creative Commons Attribution (CC BY) license (https://creativecommons.org/licenses/by/4.0/).
Share and Cite
Khisamov, R.M.; Ryadun, A.A.; Konchenko, S.N.; Sukhikh, T.S. Molecular Environment Effects That Modulate the Photophysical Properties of Novel 1,3-Phosphinoamines Based on 2,1,3-Benzothiadiazole. Molecules 2022, 27, 3857. https://doi.org/10.3390/molecules27123857
Khisamov RM, Ryadun AA, Konchenko SN, Sukhikh TS. Molecular Environment Effects That Modulate the Photophysical Properties of Novel 1,3-Phosphinoamines Based on 2,1,3-Benzothiadiazole. Molecules. 2022; 27(12):3857. https://doi.org/10.3390/molecules27123857
Chicago/Turabian StyleKhisamov, Radmir M., Alexey A. Ryadun, Sergey N. Konchenko, and Taisiya S. Sukhikh. 2022. "Molecular Environment Effects That Modulate the Photophysical Properties of Novel 1,3-Phosphinoamines Based on 2,1,3-Benzothiadiazole" Molecules 27, no. 12: 3857. https://doi.org/10.3390/molecules27123857
APA StyleKhisamov, R. M., Ryadun, A. A., Konchenko, S. N., & Sukhikh, T. S. (2022). Molecular Environment Effects That Modulate the Photophysical Properties of Novel 1,3-Phosphinoamines Based on 2,1,3-Benzothiadiazole. Molecules, 27(12), 3857. https://doi.org/10.3390/molecules27123857

