Synthesis of 4,5-Dihydro-1H-[1,2]dithiolo[3,4-c]quinoline-1-thione Derivatives and Their Application as Protein Kinase Inhibitors
Abstract
:1. Introduction
2. Results and Discussion
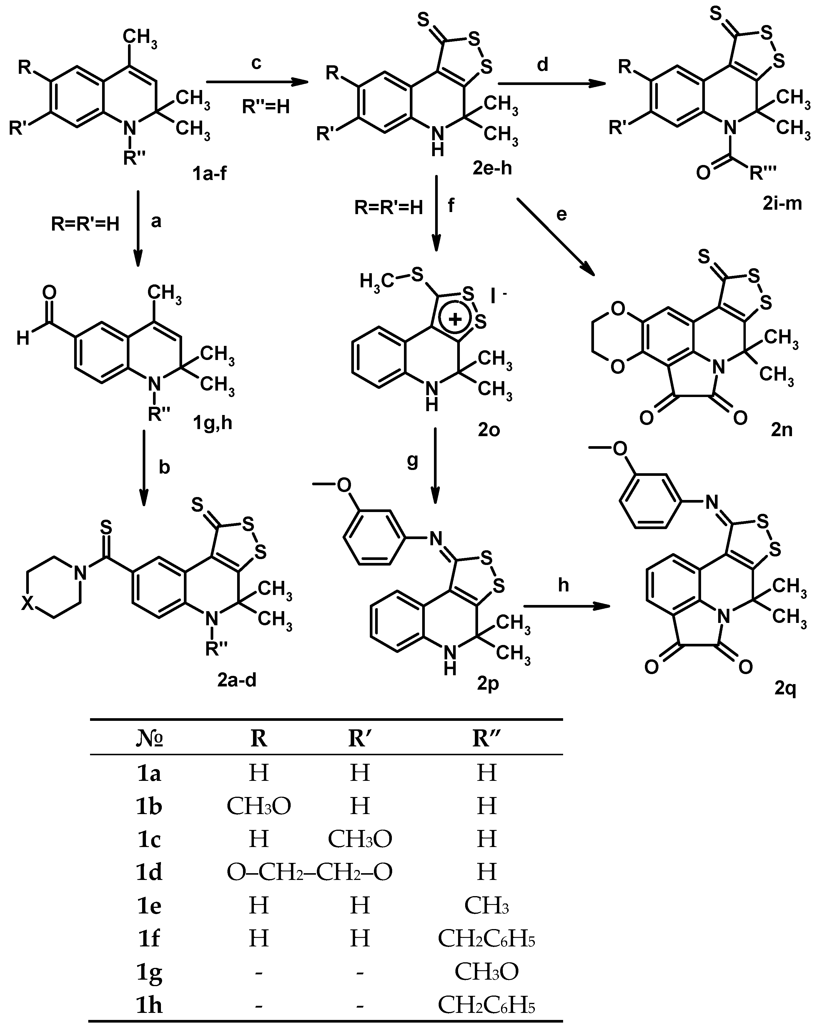
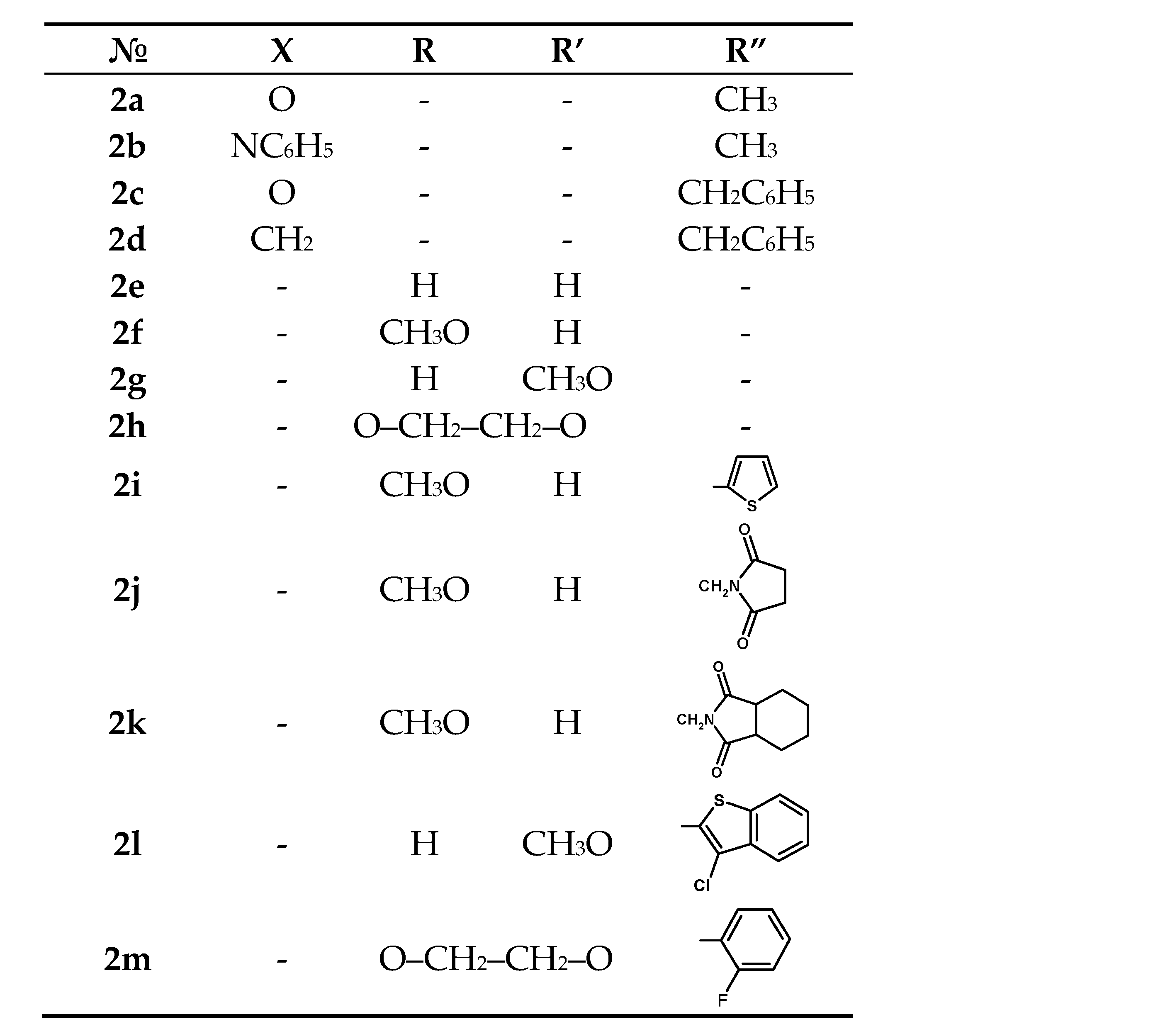
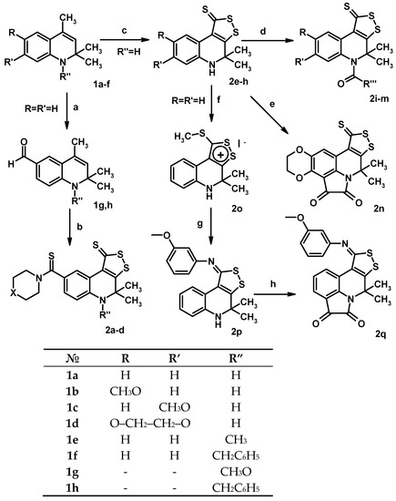
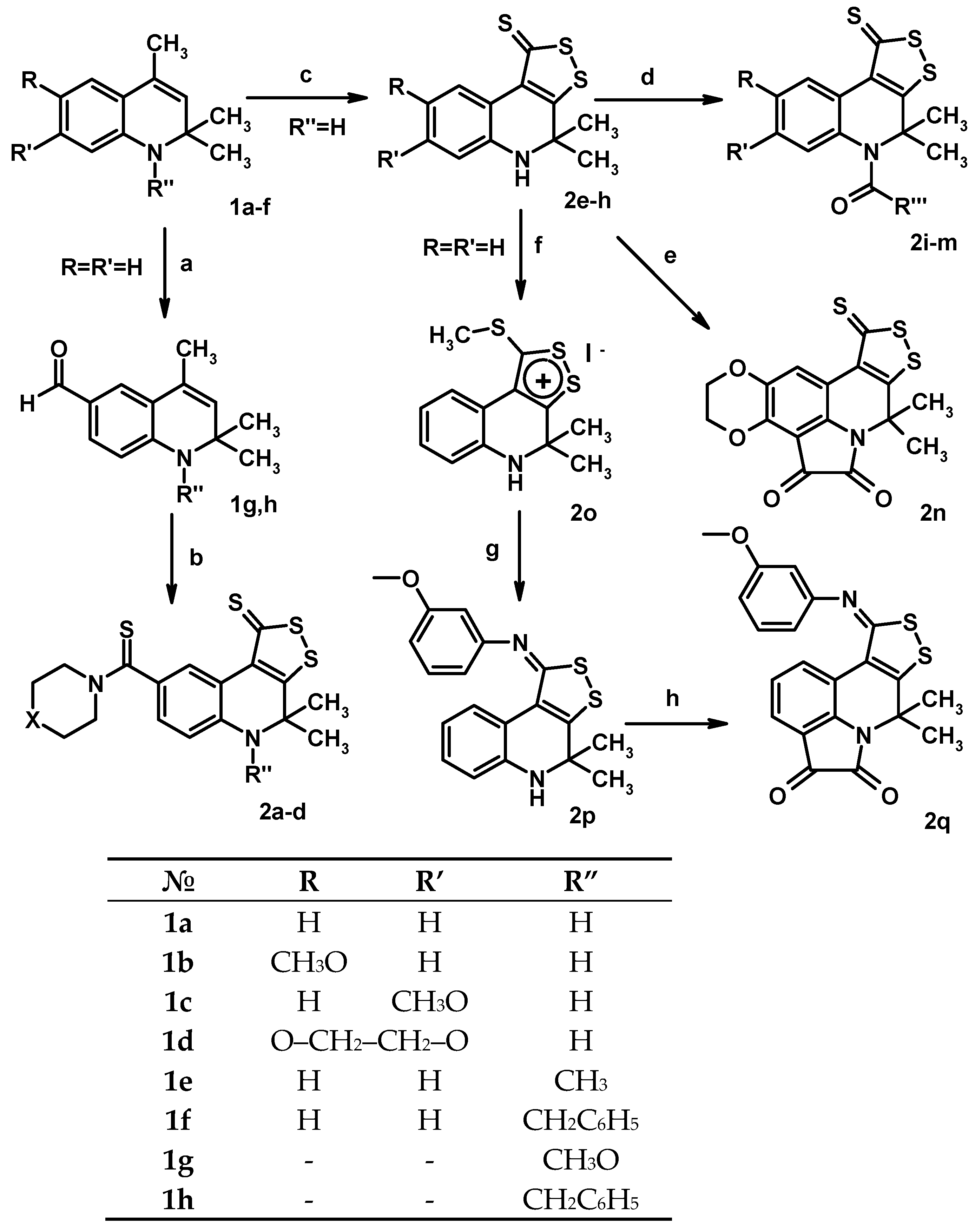
2.1. Chemistry
2.2. Biological Activity Profile Evaluation by PASS
2.3. Biological Evaluation
3. Materials and Methods
3.1. Synthesis
3.2. Virtual Screening
3.3. Biological Evaluation
4. Conclusions
Supplementary Materials
Author Contributions
Funding
Institutional Review Board Statement
Informed Consent Statement
Data Availability Statement
Acknowledgments
Conflicts of Interest
Sample Availability
References
- Barbaglia, G.A. Ueber den Sulfovaleraldehyd. Chem. Ber. 1884, 17, 2654–2655. [Google Scholar] [CrossRef]
- Selker, M.L.; Kemp, A.R. Sulfur Linkage in Vulcanized Rubber. Ind. Eng. Chem. 1947, 39, 895–900. [Google Scholar] [CrossRef]
- Lüttringhaus, A.; Cleve, W. Über Trithione. VI. Mitteilung. Dimethyltrithion. Justus Liebigs Ann. Chem. 1951, 575, 112–122. [Google Scholar] [CrossRef]
- Wessely, F.; Siegel, A. Über eine neue Bildungsweise einiger Trithione. Monatsh. Chem. 1951, 82, 607–620. [Google Scholar] [CrossRef]
- Spindt, R.S.; Stevens, D.R.; Baldwin, W.E. Some New Alkyl 1,2-Dithia-4-cyclopentene-3-thiones. J. Am. Chem. Soc. 1951, 73, 3693–3697. [Google Scholar] [CrossRef]
- Luttringhaus, A.; Konig, Н.В.; Bottcher, В. Uber Trithione II. Konstitution und neue Bildungsweisen. Justus Liebigs Ann. Chem. 1948, 560, 201–214. [Google Scholar] [CrossRef]
- Jirousek, L.; Stárka, L. Über das Vorkommen von Trithionen (1,2-dithiacyclopent-4-en-3-thione) in Brassicapflanzen. Naturwissenschaften 1958, 45, 386–387. [Google Scholar] [CrossRef]
- Archer, S. The chemotherapy of shistosomiasis. Ann. Rev. Pharm. Toxicol. 1985, 25, 485–508. [Google Scholar] [CrossRef]
- Kensler, W.T.; Helzlsouer, K.J. Oltipraz: Clinical Opportunities forCancer Chemoprevention. J. Cell. Biochem. Suppl. 1995, 22, 101–107. [Google Scholar] [CrossRef]
- Kelloff, G.J.; Boone, C.W.; Crowell, J.A.; Steele, V.E.; Lubet, R. Chemopreventive drug development: Perspectives and progress. Cancer Epidemiol. Biomark. Prev. 1994, 3, 85–98. [Google Scholar]
- Benson, A.B., III; Olopade, О.I.; Ratain, M.J.; Rademaker, A.; Mobarahan, S.; Stucky-Marshall, L.; French, S. Chronic daily low dose of 4-Methyl-5-(2-pyrazinyl)-1,2-dithiole-3-thione (oltipraz) in patients with previously resected colon polyps and first-degree female relatives of breast cancer patients. Clin. Cancer Res. 2000, 6, 3870–3877. [Google Scholar] [PubMed]
- Steele, V.E.; Moon, R.C.; Lubet, R.A.; Grubbs, C.J.; Reddy, B.S.; Wargovich, M.; McCormick, D.L.; Pereira, M.A.; Crowell, J.A.; Baqheri, D.; et al. Preclinical efficacy evaluation of potential chemopreventive agents in animal carcinogenesis models: Methods and results from the NCI Chemoprevention Drug Development Program. J. Cell Biochem. 1994, 20, 32–54. [Google Scholar] [CrossRef] [PubMed]
- Egner, Р.А.; Kensler, T.W.; Prestera, T.; Talalay, P.; Libby, A.H.; Joyner, H.H.; Curphey, T.J. Regulation of phase 2 enzyme induction by oltipraz and other dithiolthiones. Carcinogenesis 1994, 15, 177–181. [Google Scholar] [CrossRef] [PubMed]
- O’Dwyer, P.J.; Johnson, S.W.; Khater, С.; Krueger, A.; Matsumoto, Y.; Hamilton, T.C.; Yao, K.S. The chemopreventive agent oltipraz stimulates repair of damaged DNA. Cancer Res. 1997, 57, 1050–1053. [Google Scholar]
- Yao, K.S.; O’Dwyer, P.J. Role of the AP-1 element and redox factor-1 (Ref-1) in mediating transcriptional induction of DT-diaphorase gene expression by oltipraz: A target for chemoprevention. Biochem. Pharmacol. 2003, 66, 15–23. [Google Scholar] [CrossRef]
- Nho, C.W.; O’Dwyer, P.J. NF-κВ activation by the chemopreventive dithiolthione oltipraz is exerted through stimulation of MEKK3 signaling. J. Biol. Chem. 2004, 279, 26019–26027. [Google Scholar] [CrossRef] [Green Version]
- Lee, W.H.; Kim, Y.W.; Choi, J.H.; Brooks III, S.C.; Lee, M.O.; Kim, S.G. Oltipraz and dithiolethione congeners inhibit hypoxia-inducible factor-1α activity through p70 ribosomal S6 kinase-1 inhibition and H2O2-scavenging effect. Mol. Cancer Ther. 2009, 8, 2791–2802. [Google Scholar] [CrossRef] [Green Version]
- Кoo, J.H.; Lee, W.H.; Lee, C.G.; Kim, S.G. Fyn inhibition by cycloalkane-fused 1,2-dithiole-thiones enhances antioxidant capacity and protects mitochondria from oxidative injury. Mol. Pharmacol. 2012, 82, 27–36. [Google Scholar] [CrossRef]
- Giustarini, D.; Del Soldato, P.; Sparatore, A.; Rossi, R. Modulation of thiol homeostasis induced by H2S-releasing aspirin. Free Radic. Biol. Med. 2010, 48, 1263–1272. [Google Scholar] [CrossRef]
- Cai, F.; Xu, H.; Cao, N.; Zhang, X.; Liu, J.; Lu, Y.; Chen, J.; Yang, Y.; Cheng, J.; Hua, Z.C.; et al. ADT-OH, a hydrogen sulfide-releasing donor, induces apoptosis and inhibits the development of melanoma in vivo by upregulating FADD. Cell Death Dis. Vol. 2020, 11, 1–15. [Google Scholar] [CrossRef] [Green Version]
- Gao, M.; Li, J.; Nie, C.; Song, B.; Yan, L.; Qian, H. Design, synthesis and biological evaluation of novel hydrogen sulfide releasing capsaicin derivatives. Bioorg. Med. Chem. 2018, 26, 2632–2639. [Google Scholar] [CrossRef] [PubMed]
- Takatani-Nakase, T.; Katayama, M.; Matsui, C.; Hanaoka, K.; van der Vlies, A.J.; Takahashi, K.; Nakase, I.; Hasegawa, U. Hydrogen sulfide donor micelles protect cardiomyocytes from ischemic cell death. Mol. BioSyst. 2017, 13, 1705–1708. [Google Scholar] [CrossRef] [PubMed]
- Kodela, R.; Chattopadhyay, M.; Kashfi, K. NOSH-aspirin: A novel nitric oxide-hydrogen sulfide-releasing hybrid: A new class of antiinflammatory pharmaceuticals. ACS Med. Chem. Lett. 2012, 3, 257–262. [Google Scholar] [CrossRef] [Green Version]
- Kodela, R.; Chattopadhyay, M.; Velázquez-Martínez, C.A.; Kashfi, K. NOSH-aspirin (NBS-1120), a novel nitric oxide- and hydrogen sulfide-releasing hybrid has enhanced chemo-preventive properties compared with aspirin, is gastrointestinal safe with all the classic therapeutic indications. Biochem. Pharmacol. 2015, 98, 564–572. [Google Scholar] [CrossRef] [Green Version]
- Bansal, Y.; Silakari, O. Multifunctional compounds: Smart molecules for multifactorial diseases. Eur. J. Med. Chem. 2014, 76, 31–42. [Google Scholar] [CrossRef]
- El-Sayed, W.A.; Alminderej, F.M.; Mounier, M.M.; Nossier, E.S.; Saleh, S.M.; Kassem, A.F. Novel 1,2,3-Triazole-Coumarin Hybrid Glycosides and Their Tetrazolyl Analogues: Design, Anticancer Evaluation and Molecular Docking Targeting EGFR, VEGFR-2 and CDK-2. Molecules 2022, 27, 2047. [Google Scholar] [CrossRef]
- Tashchilova, A.; Podoplelova, N.; Sulimov, A.; Kutov, D.; Ilin, I.; Panteleev, M.; Shikhaliev, K.; Medvedeva, S.; Novichikhina, N.; Potapov, A.; et al. New Blood Coagulation Factor XIIa Inhibitors: Molecular Modeling, Synthesis, and Experimental Confirmation. Molecules 2022, 27, 1234. [Google Scholar] [CrossRef]
- Galzin, A.M.; Delanaye, M.; Hoornaer, C.; McCort, G.; O’Connor, S.E. Effects of SL 65.0472, a novel 5-HT receptor antagonist, on 5-HT receptor mediated vascular contraction. Eur. J. Pharmacol. 2000, 404, 361–368. [Google Scholar] [CrossRef]
- Iwamura, H.; Suzuki, H.; Ueda, Y.; Kaya, T.; Inaba, T. In vitro and in vivo pharmacological characterization of JTE-907, a novel selective ligand for cannabinoid CB2 receptor. J. Pharmacol. Exp. Ther. 2001, 296, 420–425. [Google Scholar]
- Jaroch, S.; Hölscher, P.; Rehwinkel, H.; Sülzle, D.; Burton, G.; Hillmann, M.; McDonald, F.M. Dihydroquinolines as Novel n-NOS Inhibitors. Bioorg. Med. Chem. Lett. 2002, 12, 2561–2564. [Google Scholar] [CrossRef]
- Dillard, R.D.; Pavey, D.E.; Benslay, D.N. Synthesis and antiinflammatory activity of some 2,2-dimethyl-1,2-dihydroquinolines. J. Med. Chem. 1973, 16, 251–253. [Google Scholar] [CrossRef] [PubMed]
- Johnson, J.V.; Rauckman, B.S.; Baccanari, D.P.; Roth, B.J. 2,4-Diamino-5-benzylpyrimidines and analogs as antibacterial agents. 12. 1,2-Dihydroquinolylmethyl analogs with high activity and specificity for bacterial dihydrofolate reductase. Med. Chem. 1989, 32, 1942–1949. [Google Scholar] [CrossRef]
- Kryl’skii, E.D.; Chupandina, E.E.; Popova, T.N.; Shikhaliev, K.S.; Medvedeva, S.M.; Verevkin, A.N.; Popov, S.S.; Mittova, V.O. 1-Benzoyl-6-hydroxy-2,2,4-trimethyl-1,2-dihydroquinoline exerts a neuroprotective effect and normalises redox homeostasis in a rat model of cerebral ischemia/reperfusion. Metab Brain Dis. 2022, 37, 1271–1282. [Google Scholar] [CrossRef] [PubMed]
- Sulimov, V.B.; Gribkova, I.V.; Kochugaeva, M.P.; Katkova, E.V.; Sulimov, A.V.; Kutov, D.C.; Shikhaliev, K.S.; Medvedeva, S.M.; Krysin, M.Y.; Sinauridze, E.I.; et al. Application of Molecular Modeling to Development of New Factor Xa Inhibitors. BioMed Res. Int. 2015, 2015, 120802. [Google Scholar] [CrossRef] [Green Version]
- Kartsev, V.; Shikhaliev, K.S.; Geronikaki, A.; Medvedeva, S.M.; Ledenyova, I.V.; Krysin, M.Y.; Petrou, A.; Ciric, A.; Glamoclija, J.; Sokovic, M. Appendix, A. dithioloquinolinethiones as new potential multitargeted antibacterial and antifungal agents: Synthesis, biological evaluation and molecular docking studies. Eur. J. Med. Chem. 2019, 175, 201–214. [Google Scholar] [CrossRef]
- Poroikov, V.V.; Filimonov, D.A.; Gloriozova, T.A.; Lagunin, A.A.; Druzhilovskiy, D.S.; Rudik, A.V.; Stolbov, L.A.; Dmitriev, A.V.; Tarasova, O.A.; Ivanov, S.M.; et al. Computer-aided prediction of biological activity spectra for organic compounds: The possibilities and limitations. Russ. Chem. Bull. 2019, 68, 2143–2154. [Google Scholar] [CrossRef]
- Medvedeva, S.M.; Shikhaliev, K.S.; Geronikaki, A.A.; Savosina, P.I.; Druzhilovskiy, D.S.; Poroikov, V.V. Computer-aided discovery of pleiotropic effects: Anti-inflammatory action of dithioloquinolinethiones as a case study. SAR QSAR Environ. Res. 2022, 33, 273–287. [Google Scholar] [CrossRef]
- Campiani, G.; Khan, T.; Ulivieri, C.; Staiano, L.; Papulino, C.; Magnano, S.; Nathwani, S.; Ramunno, A.; Lucena-Agell, D.; Relitti, N.; et al. Design and synthesis of multifunctional microtubule targeting agents endowed with dual pro-apoptotic and anti-autophagic efficacy. Eur. J. Med. Chem. 2022, 235, 114274. [Google Scholar] [CrossRef]
- Barreca, M.; Spanò, V.; Raimondi, M.V.; Bivacqua, R.; Giuffrida, S.; Montalbano, A.; Cavalli, A.; Bertoni, F.; Barraja, P. GPCR Inhibition in Treating Lymphoma. ACS Med. Chem. Lett. 2022, 13, 358–364. [Google Scholar] [CrossRef]
- Gozalbes, R.; Simon, L.; Froloff, N.; Sartori, E.; Monteils, C.; Baudelle, R. Development and Experimental Validation of a Docking Strategy for the Generation of Kinase-Targeted Libraries. J. Med. Chem. 2008, 51, 3124–3132. [Google Scholar] [CrossRef]
- Manning, G.; Whyte, D.B.; Martinez, R.; Hunter, T.; Sudarsanam, S. The protein kinase complement of the human genome. Science 2002, 298, 1912–1934. [Google Scholar] [CrossRef] [PubMed] [Green Version]
- Cavalli, A.; Poluzzi, E.; De Ponti, F.; Recanatini, M. Toward a Pharmacophore for Drugs Inducing the Long QT Syndrome: Insights from a CoMFA Study of HERG K+ Channel Blockers. J. Med. Chem. 2002, 45, 3844–3853. [Google Scholar] [CrossRef] [PubMed]
- Farid, R.; Day, T.; Friesner, R.A.; Pearlstein, R.A. New Insights about HERG Blockade Obtained from Protein Modeling, Potential Energy Mapping, and Docking Studies. Bioorg. Med. Chem. 2006, 14, 3160–3173. [Google Scholar] [CrossRef] [PubMed]
- Dancey, J.; Sausville, E.A. Issues and progress with protein kinase inhibitors for cancer treatment. Nat. Rev. Drug Discov. 2003, 2, 296–313. [Google Scholar] [CrossRef]
- Carter, T.A.; Dodicka, L.M.; Shah, N.P.; Velasco, A.M.; Fabian, M.A.; Treiber, D.K.; Milanov, Z.V.; Atteridge, C.E.; Biggs, W.H.; Edeen, P.T.; et al. Inhibition of drug-resistant mutants of ABL, KIT, and EGF receptor kinases. Proc. Natl. Acad. Sci. USA 2005, 102, 11011–11016. [Google Scholar] [CrossRef] [Green Version]
- Daub, H.; Specht, K.; Ullrich, A. Strategies to overcome resistance to targeted protein kinase inhibitors. Nat. Rev. Drug Discov. 2004, 3, 1001–1010. [Google Scholar] [CrossRef]
- Kobayashi, S.; Boggon, T.J.; Dayaram, T.; Janne, P.; Kocher, O.; Meyerson, M.; Johnson, B.E.; Eck, M.J.; Tenen, D.G.; Halmos, B. EGFR mutation and resistance of non-small-cell lung cancer to gefitinib. N. Engl. J. Med. 2005, 352, 786–792. [Google Scholar] [CrossRef]
- Dowell, J.E.; Minna, J.D. Chasing mutations in the epidermal growth factor in lung cancer. N. Engl. J. Med. 2005, 352, 830–832. [Google Scholar] [CrossRef]
- Gorre, M.E.; Mohammed, M.; Ellwood, K.; Hsu, N.; Paquette, R.L.; Rao, P.N.; Sawyers, C.L. Clinical resistance to STI-571 cancer therapy caused by BCR-ABL gene mutation or amplification. Science 2001, 293, 876–880. [Google Scholar] [CrossRef] [Green Version]
- Engelman, J.A.; Zejnullahu, K.; Misudomi, T.; Song, Y.; Hyland, C.; Park, J.O.; Lindeman, N.; Gale, C.-M.; Zhao, X.; Christensen, J.; et al. MET amplification leads to gefitinib resistance in lung cancer by activating ERBB3 signaling. Science 2007, 316, 1039–1043. [Google Scholar] [CrossRef]
- Morphy, R. Selectively Nonselective Kinase Inhibition: Striking the Right Balance. J. Med. Chem. 2010, 53, 1413–1437. [Google Scholar] [CrossRef] [PubMed]
- Lopez-Millan, B.; Costales, P.; Gutiérrez-Agüera, F.; Díaz de la Guardia, R.; Roca-Ho, H.; Vinyoles, M.; Rubio-Gayarre, A.; Safi, R.; Castaño, J.; Romecín, P.A.; et al. The Multi-Kinase Inhibitor EC-70124 Is a Promising Candidate for the Treatment of FLT3-ITD-Positive Acute Myeloid Leukemia. Cancers. 2022, 14, 1593–1607. [Google Scholar] [CrossRef] [PubMed]
- Posy, S.L.; Hermsmeier, M.A.; Vaccaro, W.; Ott, K.-H.; Todderud, G.; Lippy, J.S.; Trainor, G.L.; Loughney, D.A.; Johnson, S.R. Trends in Kinase Selectivity: Insights for Target Class-Focused Library Screening. J. Med. Chem. 2011, 54, 54–66. [Google Scholar] [CrossRef] [PubMed]
- Huggins, D.J.; Sherman, W.; Huggins, D.J. Rational Approaches to Improving Selectivity in Drug Design. J. Med. Chem. 2012, 4, 1424–1444. [Google Scholar] [CrossRef] [PubMed]
- Bikker, J.A.; Brooijmans, N.; Wissner, A.; Mansour, T.S. Kinase domain mutation in Cancer. J. Med. Chem. 2009, 52, 1493–1509. [Google Scholar] [CrossRef]
- Shah, N.P.; Tran, C.; Lee, F.Y.; Chen, P.; Norris, D.; Sawyers, C.L. Overriding imatinib resistance with a novel ABL kinase inhibitor. Science 2004, 305, 399–401. [Google Scholar] [CrossRef] [Green Version]
- Petrelli, A.; Giordano, S. From single- to multi-target drugs in cancer therapy: When aspecificity becomes an advantage. Curr. Med. Chem. 2008, 15, 422–432. [Google Scholar] [CrossRef]
- Chen, Z.; Han, L.; Xu, M.; Xu, Y.; Qian, X. Rationally designed multitarget anticancer agents. Curr. Med. Chem. 2013, 20, 1694–1714. [Google Scholar] [CrossRef]
- Reddelin, С.; Thurm, A. Über das angebliche Aceton-anil. Ber. Dtsch. Chem. Ges. 1932, 65, 1511–1521. [Google Scholar] [CrossRef]
- Shikhaliev, K.S.; Shmyreva, Z.V. N-alkylation of 2,2,4-trimethyl-i,2-dihydroquinoline and its dimeric analogs under interphase-catalysis conditions. Chem. Heterocyclic. Comp. 1988, 24, 898–900. [Google Scholar] [CrossRef]
- Krysin, M.Y.; Shikhaliev, K.S.; Shmyreva, Z.V. 6-(1,3-Dioxoindanyl-2-idenmethyl)-1,2,2,4-tetramethyl-1,2-dihydro- and 1,2,3,4-tetrahydroquinolines. Chem. Heterocyclic. Comp. 2001, 2, 253–255. [Google Scholar]
- Manahelohe, G.M.; Shikhaliev, K.S.; Potapov, A.Y. Synthesis of 1H-1,2-dithiol-1-thiones and thioamides containing hydroquinoline group. Eur. Chem. Bull. 2015, 4, 350–355. [Google Scholar] [CrossRef]
- Brown, J.P. Reactions of 2,2-dialkyl-1,2-dihydroquinolines. Part IV. 4,5-Dihydro-4,4-dimethyl-1H-1,2-dithiolo[3,4-c]quinoline-1-thiones. J. Chem. Soc. C. 1968, 1074–1075. [Google Scholar] [CrossRef]
- Shihaliev, K.S.; Shmyreva, Z.V.; Zalukaev, L.P. Acilirovanie 4,5-digidro-4,4-dimetil-5H-2,3-ditiolo[5,4-c]hinolin-1-tiona. Zhurnal Org. Him. 1988, 24, 232–233. [Google Scholar]
- Shikhaliev, K.S.; Medvedeva, S.M.; Pigarev, V.V.; Solov’ev, A.S.; Shatalov, G.V. Novel heterocyclic systems based on 8-R-4,4-dimetil-2,3-ditiolo[5,4-c]quinoline-1-tiones. Russ. J. Gen. Chem. 2000, 70, 450–452. [Google Scholar]
- Medvedeva, S.M.; Leshcheva, E.V.; Shikhaliev, K.S.; Solov’ev, A.S. Novel heterocyclic systems based on 8-R-4,5-dihydro-4,4-dimethyl[1,2]dithiolo[3,4-c]quinoline-1-thiones. Chem. Heterocycl. Compd. 2006, 42, 534–539. [Google Scholar] [CrossRef]
- Medvedeva, S.M.; Zubkov, F.I.; Yankina, K.Y.; Grudinin, D.G.; Shikhaliev, K.S. Reaction of substituted 1-methylthio-4,5-dihydro[1,2]dithiolo[3,4-c]-quinolin iodides with arylamines. Synthesis of novel 1,2-dithiolo[3,4-c]-quinolin-1-ylidene(aryl)amines and 10-(arylimino)-7,10-dihydro[1,2]dithiolo[3,4-c]-pyrrolo[3,2,1-ij]quinoline-4,5-diones. Arkivoc 2017, 3, 269–278. [Google Scholar] [CrossRef] [Green Version]





| N | Structure | Inflammatory Bowel Disease Treatment Pa/Pi | Antischistosomal Pa/Pi | Anti-inflammatory Pa/Pi | Chemoprotective Pa/Pi | Maillard Reaction Inhibitor Pa/Pi | Dual Specificity Phosphatase Inhibitor Pa/Pi | Hepatic Disorders Treatment Pa/Pi | Apoptosis Agonist Pa/Pi | Other Activity Pa/Pi |
|---|---|---|---|---|---|---|---|---|---|---|
| 2a | ![]() | 0.925/0.003 | 0.819/0.001 | 0.819/0.005 | 0.635/0.004 | 0.616/0.004 | 0.611/0.003 | - | 0.615/0.025 | Growth stimulant 0.748/0.003 |
| 2b | ![]() | 0.924/0.003 | 0.828/0.001 | 0.798/0.007 | 0.621/0.004 | 0.620/0.003 | 0.605/0.003 | 0.589/0.007 | 0.600/0.026 | Growth stimulant 0.710/0.003 |
| 2c | ![]() | 0.924/0.003 | 0.811/0.001 | 0.804/0.006 | 0.616/0.004 | 0.612/0.004 | 0.593/0.003 | 0.572/0.008 | 0.573/0.029 | Growth stimulant 0.715/0.003 |
| 2d | ![]() | 0.924/0.003 | 0.818/0.001 | 0.795/0.007 | 0.625/0.004 | 0.617/0.004 | 0.581/0.003 | 0.579/0.007 | 0.590/0.028 | Growth stimulant 0.705/0.003 |
| 2h | ![]() | 0.948/0.002 | 0.861/0.001 | 0.922/0.004 | 0.717/0.003 | 0.704/0.002 | - | 0.805/0.004 | - | - |
| 2i | ![]() | 0.931/0.003 | 0.806/0.001 | 0.895/0.004 | 0.614/0.004 | 0.619/0.004 | - | 0.654/0.005 | 0.706/0.014 | Antineoplastic (non-small cell lung cancer) 0.556/0.005 |
| 2j | ![]() | 0.918/0.003 | 0.807/0.001 | 0.852/0.005 | 0.622/0.004 | - | - | - | 0.811/0.007 | Antineoplastic (non-small cell lung cancer) 0.660/0.004 Anaphylatoxin receptor antagonist 0.642/0.032 |
| 2k | ![]() | 0.905/0.004 | 0.790/0.001 | 0.805/0.006 | 0.598/0.005 | 0.575/0.004 | - | - | 0.760/0.010 | Antineoplastic (non-small cell lung cancer) 0.572/0.005 |
| 2l | ![]() | 0.918/0.003 | 0.802/0.001 | 0.821/0.005 | 0.579/0.005 | 0.602/0.004 | - | - | 0.633/0.023 | - |
| 2m | ![]() | 0.931/0.003 | 0.794/0.001 | 0.872/0.005 | 0.604/0.005 | 0.587/0.004 | - | 0.667/0.005 | 0.676/0.017 | - |
| 2n | ![]() | 0.932/0.003 | 0.830/0.001 | 0.877/0.005 | 0.652/0.004 | 0.656/0.003 | - | 0.827/0.004 | - | |
| 2q | ![]() | - | - | - | - | - | - | - | - | Gluconate 2-dehydrogenase (acceptor) inhibitor 0.581/0.137 Amyloid beta precursor protein antagonist 0.498/0.005 |
| N | % Inhibition * | IC50 (μM) | |||||||
|---|---|---|---|---|---|---|---|---|---|
| NPM1- ALK | ALK | EGFR [L858R] [T790] | CRAF [Y340D] [Y341D] | JAK2 | JAK3 | CRAF [Y340D] [Y341D] | JAK3 | NPM1- ALK | |
| 2a | 87 | 84 | 82 | 93 | 81 | 96 | 6.57 | 0.36 | 0.54 |
| 2b | 90 | 86 | 84 | 92 | 83 | 95 | N/A- | 0.38 | 0.25 |
| 2c | 75 | 77 | 88 | 93 | 76 | 95 | 0.78 | 0.41 | - |
| 2d | 41 | 39 | 12 | 61 | 33 | 69 | - | - | - |
| 2h | 42 | 49 | 27 | 44 | 10 | 36 | - | - | - |
| 2i | 77 | 81 | 24 | 76 | 64 | 89 | - | - | - |
| 2j | 56 | 7 | 9 | 5 | 11 | 39 | - | - | - |
| 2k | 27 | 18 | −2 | 41 | 3 | 26 | - | - | - |
| 2l | 67 | 75 | 24 | 81 | 53 | 86 | - | - | - |
| 2m | 6 | −4 | 10 | 35 | 1 | 23 | - | - | - |
| 2n | 24 | 19 | 5 | 13 | 47 | 52 | - | - | - |
| 2q | 36 | 51 | 71 | 92 | 9 | 99 | 5.34 | 0.46 | - |
| sorafenib | - | - | - | - | - | - | 1.95 | 0.78 | 0.43 |
Publisher’s Note: MDPI stays neutral with regard to jurisdictional claims in published maps and institutional affiliations. |
© 2022 by the authors. Licensee MDPI, Basel, Switzerland. This article is an open access article distributed under the terms and conditions of the Creative Commons Attribution (CC BY) license (https://creativecommons.org/licenses/by/4.0/).
Share and Cite
Medvedeva, S.M.; Shikhaliev, K.S. Synthesis of 4,5-Dihydro-1H-[1,2]dithiolo[3,4-c]quinoline-1-thione Derivatives and Their Application as Protein Kinase Inhibitors. Molecules 2022, 27, 4033. https://doi.org/10.3390/molecules27134033
Medvedeva SM, Shikhaliev KS. Synthesis of 4,5-Dihydro-1H-[1,2]dithiolo[3,4-c]quinoline-1-thione Derivatives and Their Application as Protein Kinase Inhibitors. Molecules. 2022; 27(13):4033. https://doi.org/10.3390/molecules27134033
Chicago/Turabian StyleMedvedeva, Svetlana M., and Khidmet S. Shikhaliev. 2022. "Synthesis of 4,5-Dihydro-1H-[1,2]dithiolo[3,4-c]quinoline-1-thione Derivatives and Their Application as Protein Kinase Inhibitors" Molecules 27, no. 13: 4033. https://doi.org/10.3390/molecules27134033
APA StyleMedvedeva, S. M., & Shikhaliev, K. S. (2022). Synthesis of 4,5-Dihydro-1H-[1,2]dithiolo[3,4-c]quinoline-1-thione Derivatives and Their Application as Protein Kinase Inhibitors. Molecules, 27(13), 4033. https://doi.org/10.3390/molecules27134033













