Development of Reduced Peptide Bond Pseudopeptide Michael Acceptors for the Treatment of Human African Trypanosomiasis
Abstract
:1. Introduction
2. Results
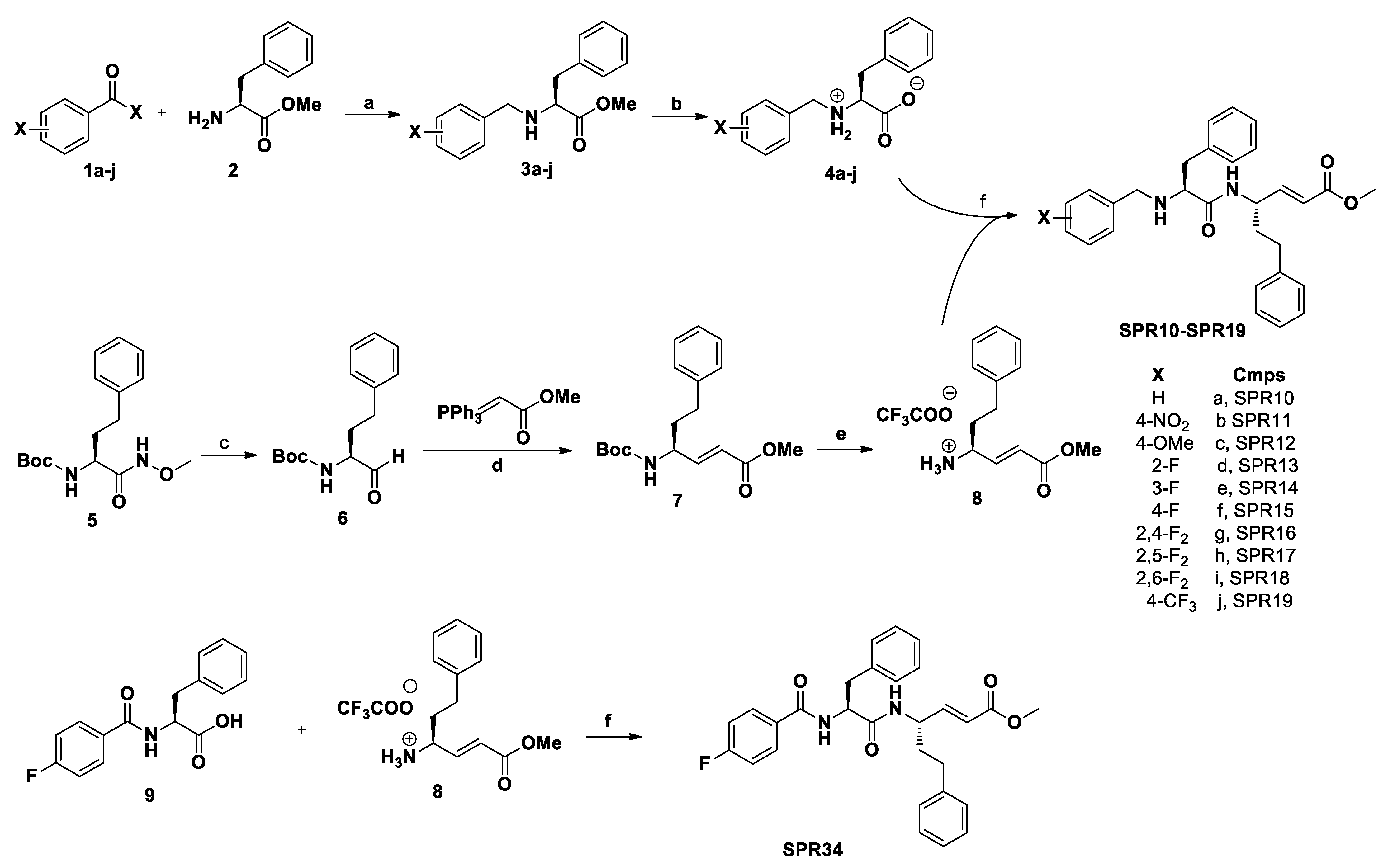
2.1. Synthesis
2.2. Biology
2.3. Molecular Modeling
3. Materials and Methods
3.1. Chemistry
3.1.1. General Procedure Followed for the Synthesis of Intermediates 3a–j
3.1.2. General Procedures for the Synthesis of Inner Salts 4a–j
3.1.3. Synthesis of hPhe-Warhead Fragment 8
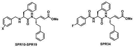
3.1.4. General Procedure for the Synthesis of Final Products SPR10–SPR19 and SPR34
3.2. Biological Evaluation
3.2.1. Enzyme Assays towards Rhodesain
3.2.2. Enzyme Assays towards hCatL
3.2.3. Antitrypanosomal Activity
3.2.4. Cytotoxicity Assay
3.3. Molecular Modeling Methods
4. Conclusions
Author Contributions
Funding
Institutional Review Board Statement
Informed Consent Statement
Data Availability Statement
Conflicts of Interest
Sample Availability
References
- World Health Organization. Control of Neglected Tropical Diseases. Available online: https://www.who.int/teams/control-of-neglected-tropical-diseases (accessed on 10 April 2022).
- World Health Organization. Human African Trypanosomiasis (Sleeping Sickness). 2021. Available online: https://www.who.int/trypanosomiasis_african/en/ (accessed on 22 April 2022).
- Rijo-Ferreira, F.; Takahashi, J.S. Sleeping sickness: A tale of two clocks. Front. Cell. Infect. Microbiol. 2020, 10, 525097. [Google Scholar] [CrossRef] [PubMed]
- Büscher, P.; Cecchi, G.; Jamonneau, V.; Priotto, G. Human African trypanosomiasis. Lancet 2017, 390, 2397–2409. [Google Scholar] [CrossRef]
- MacLean, L.M.; Odiit, M.; Chisi, J.E.; Kennedy, P.G.E.; Sternberg, J.M. Focus-specific clinical profiles in Human African Trypanosomiasis caused by Trypanosoma brucei rhodesiense. PLoS Negl. Trop. Dis. 2010, 4, e906. [Google Scholar] [CrossRef] [PubMed]
- MacLean, L.; Reiber, H.; Kennedy, P.G.; Sternberg, J.M. Stage progression and neurological symptoms in Trypanosoma brucei rhodesiense sleeping sickness: Role of the CNS inflammatory response. PLoS Negl. Trop. Dis. 2012, 6, e1857. [Google Scholar] [CrossRef]
- Checchi, F.; Filipe, J.A.; Haydon, D.T.; Chandramohan, D.; Chappuis, F. Estimates of the duration of the early and late stage of gambiense sleeping sickness. BMC Infect. Dis. 2008, 8, 16. [Google Scholar] [CrossRef]
- Kennedy, P.G.E.; Rodgers, J. Clinical and neuropathogenetic aspects of Human African Trypanosomiasis. Front. Immunol. 2019, 10, 39. [Google Scholar] [CrossRef]
- Kennedy, P.G. Human African trypanosomiasis of the CNS: Current issues and challenges. J. Clin. Investig. 2004, 113, 496–504. [Google Scholar] [CrossRef]
- Aksoy, S.; Buscher, P.; Lehane, M.; Solano, P.; Van Den Abbeele, J. Human African trypanosomiasis control: Achievements and challenges. PLoS Negl. Trop. Dis. 2017, 11, e0005454. [Google Scholar] [CrossRef]
- Shah, V.V.; Patel, V.M.; Vyas, P. Human African Trypanosomiasis-A rare case report from India. Indian J. Med. Microbiol. 2021, 40, 169–171. [Google Scholar] [CrossRef]
- Liu, Q.; Chen, X.L.; Chen, M.X.; Xie, H.G.; Liu, Q.; Chen, Z.Y.; Lin, Y.Y.; Zheng, H.; Chen, J.X.; Zhang, Y.; et al. Trypanosoma brucei rhodesiense infection in a Chinese traveler returning from the Serengeti National Park in Tanzania. Infect. Dis. Poverty 2018, 7, 50. [Google Scholar] [CrossRef]
- Gao, J.M.; Qian, Z.Y.; Hide, G.; Lai, D.H.; Lun, Z.R.; Wu, Z.D. Human African trypanosomiasis: The current situation in endemic regions and the risks for non-endemic regions from imported cases. Parasitology 2020, 147, 922–931. [Google Scholar] [CrossRef]
- Babokhov, P.; Sanyaolu, A.O.; Oyibo, W.A.; Fagbenro-Beyioku, A.F.; Iriemenam, N.C. A current analysis of chemotherapy strategies for the treatment of human African trypanosomiasis. Pathog. Glob. Health 2013, 107, 242–252. [Google Scholar] [CrossRef] [PubMed]
- Bacchi, C.J. Chemotherapy of human african trypanosomiasis. Interdiscip. Perspect. Infect. Dis. 2009, 2009, 195040. [Google Scholar] [CrossRef] [PubMed]
- Yun, O.; Priotto, G.; Tong, J.; Flevaud, L.; Chappuis, F. NECT is next: Implementing the new drug combination therapy for Trypanosoma brucei gambiense sleeping sickness. PLoS Negl. Trop. Dis. 2010, 4, e720. [Google Scholar] [CrossRef] [PubMed]
- Deeks, E.D. Fexinidazole: First global approval. Drugs 2019, 79, 215–220. [Google Scholar] [CrossRef]
- Bottieau, E.; Clerinx, J. Human African Trypanosomiasis: Progress and stagnation. Infect. Dis. Clin. N. Am. 2019, 33, 61–77. [Google Scholar] [CrossRef]
- Ettari, R.; Tamborini, L.; Angelo, I.C.; Micale, N.; Pinto, A.; De Micheli, C.; Conti, P. Inhibition of rhodesain as a novel therapeutic modality for human African trypanosomiasis. J. Med. Chem. 2013, 56, 5637–5658. [Google Scholar] [CrossRef]
- Steverding, D.; Caffrey, C.R. Should the enzyme name ’rhodesain’ be discontinued? Mol. Biochem. Parasitol. 2021, 245, 111395. [Google Scholar] [CrossRef]
- Nikolskaia, O.V.; de Lima, A.A.P.; Kim, Y.V.; Lonsdale-Eccles, J.D.; Fukuma, T.; Scharfstein, J.; Grab, D.J. Blood-brain barrier traversal by African trypanosomes requires calcium signaling induced by parasite cysteine protease. J. Clin. Investig. 2006, 116, 2739–2747. [Google Scholar] [CrossRef]
- Lonsdale-Eccles, J.D.; Grab, D.J. Trypanosome hydrolases and the blood-brain barrier. Trends Parasitol. 2002, 18, 17–19. [Google Scholar] [CrossRef]
- Pinger, J.; Chowdhury, S.; Papavasiliou, F.N. Variant surface glycoprotein density defines an immune evasion threshold for African trypanosomes undergoing antigenic variation. Nat. Commun. 2017, 8, 828. [Google Scholar] [CrossRef] [PubMed]
- Mugnier, M.R.; Stebbins, C.E.; Papavasiliou, F.N. Masters of disguise: Antigenic variation and the VSG coat in Trypanosoma brucei. PLoS Pathog. 2016, 12, e1005784. [Google Scholar] [CrossRef] [PubMed]
- Ettari, R.; Zappalà, M.; Micale, N.; Schirmeister, T.; Gelhaus, C.; Leippe, M.; Evers, A.; Grasso, S. Synthesis of novel peptidomimetics as inhibitors of protozoan cysteine proteases falcipain-2 and rhodesain. Eur. J. Med. Chem. 2010, 45, 3228–3233. [Google Scholar] [CrossRef] [PubMed]
- Ettari, R.; Tamborini, L.; Angelo, I.C.; Grasso, S.; Schirmeister, T.; Lo Presti, L.; De Micheli, C.; Pinto, A.; Conti, P. Development of rhodesain inhibitors with a 3-bromoisoxazoline warhead. Chem. Med. Chem. 2013, 8, 2070–2076. [Google Scholar] [CrossRef] [PubMed]
- Ehmke, V.; Winkler, E.; Banner, D.W.; Haap, W.; Schweizer, W.B.; Rottmann, M.; Kaiser, M.; Freymond, C.; Schirmeister, T.; Diederich, F. Optimization of triazine nitriles as rhodesain inhibitors: Structure-activity relationships, bioisosteric imidazopyridine nitriles, and X-ray crystal structure analysis with human cathepsin L. Chem. Med. Chem. 2013, 8, 967–975. [Google Scholar] [CrossRef]
- Ettari, R.; Pinto, A.; Tamborini, L.; Angelo, I.C.; Grasso, S.; Zappalà, M.; Capodicasa, N.; Yzeiraj, L.; Gruber, E.; Aminake, M.N.; et al. Synthesis and biological evaluation of papain-family cathepsin L-like cysteine protease inhibitors containing a 1,4-benzodiazepine scaffold as antiprotozoal agents. Chem. Med. Chem. 2014, 9, 1817–1825. [Google Scholar] [CrossRef]
- Ettari, R.; Pinto, A.; Previti, S.; Tamborini, L.; Angelo, I.C.; La Pietra, V.; Marinelli, L.; Novellino, E.; Schirmeister, T.; Zappalà, M.; et al. Development of novel dipeptide-like rhodesain inhibitors containing the 3-bromoisoxazoline warhead in a constrained conformation. Bioorg. Med. Chem. 2015, 23, 7053–7060. [Google Scholar] [CrossRef]
- Ettari, R.; Previti, S.; Cosconati, S.; Maiorana, S.; Schirmeister, T.; Grasso, S.; Zappalà, M. Development of novel 1,4-benzodiazepine-based Michael acceptors as antitrypanosomal agents. Bioorg. Med. Chem. Lett. 2016, 26, 3453–3456. [Google Scholar] [CrossRef]
- Latorre, A.; Schirmeister, T.; Kesselring, J.; Jung, S.; Johe, P.; Hellmich, U.A.; Heilos, A.; Engels, B.; Krauth-Siegel, R.L.; Dirdjaja, N.; et al. Dipeptidyl nitroalkenes as potent reversible inhibitors of cysteine proteases rhodesain and cruzain. ACS Med. Chem. Lett. 2016, 7, 1073–1076. [Google Scholar] [CrossRef]
- Royo, S.; Schirmeister, T.; Kaiser, M.; Jung, S.; Rodriguez, S.; Bautista, J.M.; Gonzalez, F.V. Antiprotozoal and cysteine proteases inhibitory activity of dipeptidyl enoates. Bioorg. Med. Chem. 2018, 26, 4624–4634. [Google Scholar] [CrossRef]
- Giroud, M.; Kuhn, B.; Saint-Auret, S.; Kuratli, C.; Martin, R.E.; Schuler, F.; Diederich, F.; Kaiser, M.; Brun, R.; Schirmeister, T.; et al. 2 H-1,2,3-Triazole-based dipeptidyl nitriles: Potent, selective, and trypanocidal rhodesain inhibitors by structure-based design. J. Med. Chem. 2018, 61, 3370–3388. [Google Scholar] [CrossRef] [PubMed]
- Klein, P.; Barthels, F.; Johe, P.; Wagner, A.; Tenzer, S.; Distler, U.; Le, T.A.; Schmid, P.; Engel, V.; Engels, B.; et al. Naphthoquinones as covalent reversible inhibitors of cysteine proteases-studies on inhibition mechanism and kinetics. Molecules 2020, 25, 2064. [Google Scholar] [CrossRef] [PubMed]
- Jung, S.; Fuchs, N.; Johe, P.; Wagner, A.; Diehl, E.; Yuliani, T.; Zimmer, C.; Barthels, F.; Zimmermann, R.A.; Klein, P.; et al. Fluorovinylsulfones and -sulfonates as potent covalent reversible inhibitors of the trypanosomal cysteine protease rhodesain: Structure-activity relationship, inhibition mechanism, metabolism, and in vivo studies. J. Med. Chem. 2021, 64, 12322–12358. [Google Scholar] [CrossRef] [PubMed]
- Previti, S.; Vivancos, M.; Remond, E.; Beaulieu, S.; Longpre, J.M.; Ballet, S.; Sarret, P.; Cavelier, F. Insightful backbone modifications preventing proteolytic degradation of neurotensin analogs improve NTS1-induced protective hypothermia. Front. Chem. 2020, 8, 406. [Google Scholar] [CrossRef] [PubMed]
- Martin, C.; Gimenez, L.E.; Williams, S.Y.; Jing, Y.; Wu, Y.; Hollanders, C.; Van der Poorten, O.; Gonzalez, S.; Van Holsbeeck, K.; Previti, S.; et al. Structure-based design of melanocortin 4 receptor ligands based on the SHU-9119-hMC4R cocrystal structure. J. Med. Chem. 2021, 64, 357–369. [Google Scholar] [CrossRef]
- Eiselt, E.; Gonzalez, S.; Martin, C.; Chartier, M.; Betti, C.; Longpre, J.M.; Cavelier, F.; Tourwe, D.; Gendron, L.; Ballet, S.; et al. Neurotensin analogues containing cyclic surrogates of tyrosine at position 11 Improve NTS2 selectivity leading to analgesia without hypotension and hypothermia. ACS Chem. Neurosci. 2019, 10, 4535–4544. [Google Scholar] [CrossRef]
- Liu, S.; Cheloha, R.W.; Watanabe, T.; Gardella, T.J.; Gellman, S.H. Receptor selectivity from minimal backbone modification of a polypeptide agonist. Proc. Natl. Acad. Sci. USA 2018, 115, 12383–12388. [Google Scholar] [CrossRef]
- Vivancos, M.; Fanelli, R.; Besserer-Offroy, E.; Beaulieu, S.; Chartier, M.; Resua-Rojas, M.; Mona, C.E.; Previti, S.; Remond, E.; Longpre, J.M.; et al. Metabolically stable neurotensin analogs exert potent and long-acting analgesia without hypothermia. Behav. Brain Res. 2021, 405, 113189. [Google Scholar] [CrossRef]
- Kazmaier, U.; Deska, J. Peptide backbone modifications. Curr. Org. Chem. 2008, 12, 355–385. [Google Scholar] [CrossRef]
- Ahn, J.-M.; Boyle, A.N.; MacDonald, T.M.; Janda, D.K. Peptidomimetics and peptide backbone modifications. Mini. Rev. Med. Chem. 2002, 2, 463–473. [Google Scholar] [CrossRef]
- Cabrele, C.; Martinek, T.A.; Reiser, O.; Berlicki, L. Peptides containing beta-amino acid patterns: Challenges and successes in medicinal chemistry. J. Med. Chem. 2014, 57, 9718–9739. [Google Scholar] [CrossRef]
- Chatterjee, J.; Rechenmacher, F.; Kessler, H. N-methylation of peptides and proteins: An important element for modulating biological functions. Angew. Chem. Int. Ed. Engl. 2013, 52, 254–269. [Google Scholar] [CrossRef] [PubMed]
- Perez, J.J. Designing peptidomimetics. Curr. Top. Med. Chem. 2018, 18, 566–590. [Google Scholar] [CrossRef] [PubMed]
- Chingle, R.; Proulx, C.; Lubell, W.D. Azapeptide synthesis methods for expanding side-chain diversity for biomedical applications. Acc. Chem. Res. 2017, 50, 1541–1556. [Google Scholar] [CrossRef] [PubMed]
- René, A.; Martinez, J.; Cavelier, F. N-Substituted glycines with functional side-chains for peptoid synthesis. Eur. J. Org. Chem. 2014, 2014, 8142–8814. [Google Scholar] [CrossRef]
- Gonzalez, S.; Dumitrascuta, M.; Eiselt, E.; Louis, S.; Kunze, L.; Blasiol, A.; Vivancos, M.; Previti, S.; Dewolf, E.; Martin, C.; et al. Optimized opioid-neurotensin multitarget peptides: From design to structure-activity relationship studies. J. Med. Chem. 2020, 63, 12929–12941. [Google Scholar] [CrossRef] [PubMed]
- Previti, S.; Ettari, R.; Cosconati, S.; Amendola, G.; Chouchene, K.; Wagner, A.; Hellmich, U.A.; Ulrich, K.; Krauth-Siegel, R.L.; Wich, P.R.; et al. Development of novel peptide-based Michael acceptors targeting rhodesain and falcipain-2 for the treatment of Neglected Tropical Diseases (NTDs). J. Med. Chem. 2017, 60, 6911–6923. [Google Scholar] [CrossRef]
- Ettari, R.; Previti, S.; Maiorana, S.; Amendola, G.; Wagner, A.; Cosconati, S.; Schirmeister, T.; Hellmich, U.A.; Zappalà, M. Optimization strategy of novel peptide-based Michael acceptors for the treatment of Human African Trypanosomiasis. J. Med. Chem. 2019, 62, 10617–10629. [Google Scholar] [CrossRef]
- Maiorana, S.; Ettari, R.; Previti, S.; Amendola, G.; Wagner, A.; Cosconati, S.; Hellmich, U.A.; Schirmeister, T.; Zappala, M. Peptidyl vinyl ketone irreversible inhibitors of rhodesain: Modifications of the P2 fragment. Chem. Med. Chem. 2020, 15, 1552–1561. [Google Scholar] [CrossRef]
- Di Chio, C.; Previti, S.; Amendola, G.; Ravichandran, R.; Wagner, A.; Cosconati, S.; Hellmich, U.A.; Schirmeister, T.; Zappalà, M.; Ettari, R. Development of novel dipeptide nitriles as inhibitors of rhodesain of Trypanosoma brucei rhodesiense. Eur. J. Med. Chem. 2022, 236, 114328. [Google Scholar] [CrossRef]
- MarvinSketch 17.2.20 (Chemaxon); Budapest (Hungary). 2017. Available online: http://www.chemaxon.com/products/marvin/marvinsketch/. (accessed on 8 September 2017).
- Di Chio, C.; Previti, S.; Amendola, G.; Cosconati, S.; Schirmeister, T.; Zappala, M.; Ettari, R. Development of novel benzodiazepine-based peptidomimetics as inhibitors of rhodesain from Trypanosoma brucei rhodesiense. Chem. Med. Chem. 2020, 15, 995–1001. [Google Scholar] [CrossRef] [PubMed]
- Afanasyev, O.I.; Kuchuk, E.; Usanov, D.L.; Chusov, D. Reductive amination in the synthesis of pharmaceuticals. Chem. Rev. 2019, 119, 11857–11911. [Google Scholar] [CrossRef] [PubMed]
- Previti, S.; Ettari, R.; Calcaterra, E.; Di Chio, C.; Ravichandran, R.; Zimmer, C.; Hammerschmidt, S.; Wagner, A.; Cosconati, S.; Schirmeister, T.; et al. Development of urea bond-containing Michael acceptors as antitrypanosomal agents targeting rhodesain. ACS Med. Chem. Lett. 2022; submitted. [Google Scholar]
- Tian, W.X.; Tsou, C.L. Determination of the rate constant of enzyme modification by measuring the substrate reaction in the presence of the modifier. Biochemistry 1982, 21, 1028–1032. [Google Scholar] [CrossRef]
- Kaiser, M.; Bray, M.A.; Cal, M.; Bourdin Trunz, B.; Torreele, E.; Brun, R. Antitrypanosomal activity of fexinidazole, a new oral nitroimidazole drug candidate for treatment of sleeping sickness. Antimicrob. Agents. Chemother. 2011, 55, 5602–5608. [Google Scholar] [CrossRef] [PubMed]
- Ettari, R.; Previti, S.; Tamborini, L.; Cullia, G.; Grasso, S.; Zappalà, M. The inhibition of cysteine proteases rhodesain and TbCatB: A valuable approach to treat Human African Trypanosomiasis. Mini. Rev. Med. Chem. 2016, 16, 1374–1391. [Google Scholar] [CrossRef]
- Previti, S.; Di Chio, C.; Ettari, R.; Zappalà, M. Dual inhibition of parasitic targets: A valuable strategy to treat malaria and neglected tropical diseases. Curr. Med. Chem. 2022, 29, 2952–2978. [Google Scholar] [CrossRef]
- Black, W.C.; Percival, M.D. The consequences of lysosomotropism on the design of selective cathepsin K inhibitors. Chem. BioChem. 2006, 7, 1525–1535. [Google Scholar] [CrossRef]
- Burtoloso, A.C.; de Albuquerque, S.; Furber, M.; Gomes, J.C.; Goncalez, C.; Kenny, P.W.; Leitao, A.; Montanari, C.A.; Quilles, J.C.J.; Ribeiro, J.F.; et al. Anti-trypanosomal activity of non-peptidic nitrile-based cysteine protease inhibitors. PLoS Negl. Trop. Dis. 2017, 11, e0005343. [Google Scholar] [CrossRef]
- Torreele, E.; Bourdin Trunz, B.; Tweats, D.; Kaiser, M.; Brun, R.; Mazue, G.; Bray, M.A.; Pecoul, B. Fexinidazole--a new oral nitroimidazole drug candidate entering clinical development for the treatment of sleeping sickness. PLoS Negl. Trop. Dis. 2010, 4, e923. [Google Scholar] [CrossRef]
- Vermelho, A.B.; Branquinha, M.H.; dAvila-Levy, C.M.; Santos, A.L.S.d.; Dias, E.P.d.S.; Melo, A.C.N.d. Biological roles of peptidases in trypanosomatids. Open Parasitol. J. 2010, 4, 5–23. [Google Scholar] [CrossRef]
- Kasozi, K.I.; Zirintunda, G.; Ssempijja, F.; Buyinza, B.; Alzahrani, K.J.; Matama, K.; Nakimbugwe, H.N.; Alkazmi, L.; Onanyang, D.; Bogere, P.; et al. Epidemiology of trypanosomiasis in wildlife-implications for humans at the wildlife interface in Africa. Front. Vet. Sci. 2021, 8, 621699. [Google Scholar] [CrossRef] [PubMed]
- Lalmanach, G.; Boulange, A.; Serveau, C.; Lecaille, F.; Scharfstein, J.; Gauthier, F.; Authie, E. Congopain from Trypanosoma congolense: Drug target and vaccine candidate. Biol. Chem. 2002, 383, 739–749. [Google Scholar] [CrossRef] [PubMed]
- Kerr, I.D.; Wu, P.; Marion-Tsukamaki, R.; Mackey, Z.B.; Brinen, L.S. Crystal Structures of TbCatB and rhodesain, potential chemotherapeutic targets and major cysteine proteases of Trypanosoma brucei. PLoS Negl. Trop. Dis. 2010, 4, e701. [Google Scholar] [CrossRef]
- Zhu, K.; Borrelli, K.W.; Greenwood, J.R.; Day, T.; Abel, R.; Farid, R.S.; Harder, E. Docking covalent inhibitors: A parameter free approach to pose prediction and scoring. J. Chem. Inf. Model. 2014, 54, 1932–1940. [Google Scholar] [CrossRef]
- Shenoy, R.T.; Sivaraman, J. Structural basis for reversible and irreversible inhibition of human cathepsin L by their respective dipeptidyl glyoxal and diazomethylketone inhibitors. J. Struct. Biol. 2011, 173, 14–19. [Google Scholar] [CrossRef]
- Garner, P.; Kaniskan, H.Ü. A stereodivergent cascade imine→azomethine ylide→1,3-dipolar cycloadditive approach to α-chiral pyrrolidines. Tetrahedron Lett. 2005, 46, 5181–5185. [Google Scholar] [CrossRef]
- Popov, K.K.; Campbell, J.L.P.; Kysilka, O.; Hošek, J.; Davies, C.D.; Pour, M.; Kočovský, P. Reductive amination revisited: Reduction of aldimines with trichlorosilane catalyzed by dimethylformamide─functional group tolerance, scope, and limitations. J. Org. Chem. 2022, 87, 920–943. [Google Scholar] [CrossRef]
- Shi, W.; Zhang, J.; Zhao, F.; Wei, W.; Liang, F.; Zhang, Y.; Zhou, S. Nucleophilic aromatic substitution of unactivated aryl fluorides with primary aliphatic amines by organic photoredox catalysis. Chemistry 2020, 26, 14823–14827. [Google Scholar] [CrossRef]
- Wang, C.; Pettman, A.; Basca, J.; Xiao, J. A versatile catalyst for reductive amination by transfer hydrogenation. Angew. Chem. Int. Ed. Engl. 2010, 49, 7548–7552. [Google Scholar] [CrossRef]
- Schirmeister, T.; Kesselring, J.; Jung, S.; Schneider, T.H.; Weickert, A.; Becker, J.; Lee, W.; Bamberger, D.; Wich, P.R.; Distler, U.; et al. Quantum chemical-based protocol for the rational design of covalent inhibitors. J. Am. Chem. Soc. 2016, 138, 8332–8335. [Google Scholar] [CrossRef] [PubMed]
- Schirmeister, T.; Schmitz, J.; Jung, S.; Schmenger, T.; Krauth-Siegel, R.L.; Gutschow, M. Evaluation of dipeptide nitriles as inhibitors of rhodesain, a major cysteine protease of Trypanosoma brucei. Bioorg. Med. Chem. Lett. 2017, 27, 45–50. [Google Scholar] [CrossRef] [PubMed]
- Matsumoto, K.; Mizoue, K.; Kitamura, K.; Tse, W.C.; Huber, C.P.; Ishida, T. Structural basis of inhibition of cysteine proteases by E-64 and its derivatives. Biopolymers 1999, 51, 99–107. [Google Scholar] [CrossRef]
- Vicik, R.; Hoerr, V.; Glaser, M.; Schultheis, M.; Hansell, E.; McKerrow, J.H.; Holzgrabe, U.; Caffrey, C.R.; Ponte-Sucre, A.; Moll, H.; et al. Aziridine-2,3-dicarboxylate inhibitors targeting the major cysteine protease of Trypanosoma brucei as lead trypanocidal agents. Bioorg. Med. Chem. Lett. 2006, 16, 2753–2757. [Google Scholar] [CrossRef]
- Ettari, R.; Previti, S.; Cosconati, S.; Kesselring, J.; Schirmeister, T.; Grasso, S.; Zappalà, M. Synthesis and biological evaluation of novel peptidomimetics as rhodesain inhibitors. J. Enzyme. Inhib. Med. Chem. 2016, 31, 1184–1191. [Google Scholar] [CrossRef]
- Cunningham, M.P.; Vickerman, K. Antigenic analysis in the Trypanosoma brucei group, using the agglutination reaction. Trans. R. Soc. Trop. Med. Hyg. 1962, 56, 48–59. [Google Scholar] [CrossRef]
- Biebinger, S.; Elizabeth Wirtz, L.; Lorenz, P.; Christine, C. Vectors for inducible expression of toxic gene products in bloodstream and procyclic Trypanosoma brucei. Mol. Biochem. Parasitol. 1997, 85, 99–112. [Google Scholar] [CrossRef]
- Wagner, A.; Le, T.A.; Brennich, M.; Klein, P.; Bader, N.; Diehl, E.; Paszek, D.; Weickhmann, A.K.; Dirdjaja, N.; Krauth-Siegel, R.L.; et al. Inhibitor-induced dimerization of an essential oxidoreductase from african trypanosomes. Angew. Chem. Int. Ed. Engl. 2019, 58, 3640–3644. [Google Scholar] [CrossRef]
- Schrödinger Maestro; Release 2022-1; Schrödinger LLC: New York, NY, USA, 2022.
- UCSF Chimera: An Extensible Molecular Modeling System. University of California: San Francisco, CA, USA, 2017; Available online: http://www.rbvi.ucsf.edu/chimera/ (accessed on 13 September 2016).






![]() | |||||
|---|---|---|---|---|---|
| Rhodesain | hCatL | ||||
| Comp | X | kinac (min−1) | Ki (µM) | k2nd (M−1 min−1) | Ki (µM) or % of Inhibition at 100 µm |
| SPR10 | H | 0.0096 ± 0.0001 | 5.66 ± 0.30 | 1703 ± 68 | 16% |
| SPR11 | 4-NO2 | 0.0023 ± 0.0001 | 0.43 ± 0.06 | 5537 ± 570 | 36.9 ± 2.2 |
| SPR12 | 4-OMe | 0.0062 ± 0.0014 | 4.79± 1.41 | 1314± 91 | 18.5 ± 3.9 |
| SPR13 | 2-F | 0.0038 ± 0.0003 | 1.58 ± 0.62 | 2753± 885 | 10% |
| SPR14 | 3-F | 0.0043 ± 0.0007 | 1.26 ± 0.08 | 3398 ± 328 | 35% |
| SPR15 | 4-F | 0.0041 ± 0.0002 | 2.64 ± 0.13 | 1552 ± 19 | 10% |
| SPR16 | 2,4-F2 | 0.0014 ± 0.0001 | 0.22 ± 0.06 | 6950 ± 1553 | 38% |
| SPR17 | 2,5-F2 | 0.0024 ± 0.0006 | 0.46 ± 0.16 | 5401 ± 648 | 12% |
| SPR18 | 2,6-F2 | 0.0012 ± 0.0001 | 0.21 ± 0.01 | 5922 ± 394 | 26% |
| SPR19 | 4-CF3 | 0.0023 ± 0.0002 | 0.41 ± 0.07 | 5618 ± 488 | 45% |
| SPR34 | - | 0.0050 ± 0.0003 | 0.0058 ± 0.0004 | 870,606 ± 1178 | 3.5 ± 1.1 |
| PS1 | 0.00094 ± 0.00007 | 1.6 ± 0.3 pM | 8384 × 105 ± 1066 × 105 | 1.9 ± 0.4 nM | |
| E-64 | 0.0085 ± 0.0008 | 0.033 ± 0.007 | 263 × 103 ± 30 × 103 | ||
Publisher’s Note: MDPI stays neutral with regard to jurisdictional claims in published maps and institutional affiliations. |
© 2022 by the authors. Licensee MDPI, Basel, Switzerland. This article is an open access article distributed under the terms and conditions of the Creative Commons Attribution (CC BY) license (https://creativecommons.org/licenses/by/4.0/).
Share and Cite
Previti, S.; Ettari, R.; Di Chio, C.; Ravichandran, R.; Bogacz, M.; Hellmich, U.A.; Schirmeister, T.; Cosconati, S.; Zappalà, M. Development of Reduced Peptide Bond Pseudopeptide Michael Acceptors for the Treatment of Human African Trypanosomiasis. Molecules 2022, 27, 3765. https://doi.org/10.3390/molecules27123765
Previti S, Ettari R, Di Chio C, Ravichandran R, Bogacz M, Hellmich UA, Schirmeister T, Cosconati S, Zappalà M. Development of Reduced Peptide Bond Pseudopeptide Michael Acceptors for the Treatment of Human African Trypanosomiasis. Molecules. 2022; 27(12):3765. https://doi.org/10.3390/molecules27123765
Chicago/Turabian StylePreviti, Santo, Roberta Ettari, Carla Di Chio, Rahul Ravichandran, Marta Bogacz, Ute A. Hellmich, Tanja Schirmeister, Sandro Cosconati, and Maria Zappalà. 2022. "Development of Reduced Peptide Bond Pseudopeptide Michael Acceptors for the Treatment of Human African Trypanosomiasis" Molecules 27, no. 12: 3765. https://doi.org/10.3390/molecules27123765
APA StylePreviti, S., Ettari, R., Di Chio, C., Ravichandran, R., Bogacz, M., Hellmich, U. A., Schirmeister, T., Cosconati, S., & Zappalà, M. (2022). Development of Reduced Peptide Bond Pseudopeptide Michael Acceptors for the Treatment of Human African Trypanosomiasis. Molecules, 27(12), 3765. https://doi.org/10.3390/molecules27123765


