Purification and Characterization of Gum-Derived Polysaccharides of Moringa oleifera and Azadirachta indica and Their Applications as Plant Stimulants and Bio-Pesticidal Agents
Abstract
1. Introduction
2. Results
2.1. Characterization of Crude Gum
2.2. Characterization of Purified Gum Polysaccharide
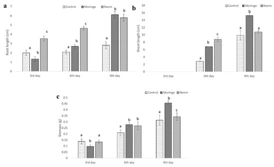
2.3. In-Vitro Study on Plant Growth
2.4. In-Vivo Study on Plant Growth
2.5. Soil Quality
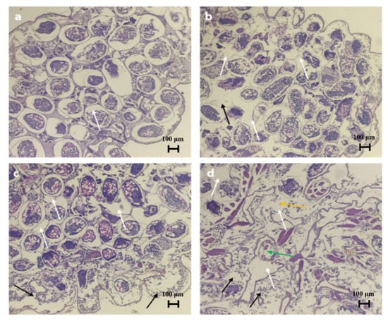
2.6. Pesticidal Activity
3. Discussion
4. Materials and Methods
4.1. Collection and Powdering of Gum
4.2. Purification and Characterization
4.3. In-Vitro Study of Plant Growth
4.3.1. Pre-Treatment of Seeds
4.3.2. Treatment of Seeds with Plant Gum Polysaccharides
4.3.3. Growth and Biomass Measurement
4.4. In-Vivo Study of Effect of Gum Polysaccharide on Plant Growth and Soil
4.4.1. Treatment of Soil with Plant Gum Polysaccharide
4.4.2. Growth and Biomass Measurement
4.4.3. Soil Quality
4.5. Biopesticidal Activity
4.6. Statistical Analysis
5. Conclusions
Supplementary Materials
Author Contributions
Funding
Institutional Review Board Statement
Informed Consent Statement
Data Availability Statement
Conflicts of Interest
Sample Availability
References
- Aktar, M.W.; Sengupta, D.; Chowdhury, A. Impact of pesticides use in agriculture: Their benefits and hazards. Interdiscip. Toxicol. 2009, 2, 1–12. [Google Scholar] [CrossRef] [PubMed]
- Thanzami, K.; Malsawmtluangi, H.; Lalhlenmawia, T.V.; Seelan, S.; Palanisamy, R.; Kandasamy, L. Pachuau, Characterization and in vitro antioxidant activity of Albizia stipulata Boiv. gum exudates. Int. J. Biol. Macromol. 2015, 80, 231–239. [Google Scholar] [CrossRef] [PubMed]
- Samrot, A.V.; Jie, L.S.; Abirami, S.; Renitta, R.E.; Dhiva, S.; Prakash, P. Bioactivity and Plant Growth Stimulation Studies using Mangifera indica L. Gum. J. Pure Appl. Microbiol. 2021, 15, 2073–2084. [Google Scholar] [CrossRef]
- Da Silva, D.A.; Aires, G.C.M.; da Silva Pena, R. Gums—Characteristics and Applications in the Food Industry. In Innovation in the Food Sector Through the Valorization of Food and Agro-Food By-Products; IntechOpen: Rijeka, Croatia, 2009. [Google Scholar] [CrossRef]
- Samrot, A.V.; Angalene, J.L.A.; Roshini, S.M.; Stefi, S.M.; Preethi, R.; Raji, P.; Kumar, A.M.; Paulraj, P.; Kumar, S.S. Purification, characterization and utilization of polysaccharide of Araucaria heterophylla gum for the synthesis of curcumin loaded nanocarrier. Int. J. Biol. Macromol. 2019, 140, 393–400. [Google Scholar] [CrossRef]
- Mirhosseini, H.; Amid, B.T. A review study on chemical composition and molecular structure of newly plant gum exudates and seed gums. Food Res. Int. 2012, 46, 387–398. [Google Scholar] [CrossRef]
- Haruna, S.; Aliyu, B.S.; Bala, A. Plant gum exudates (Karau) and mucilages, their biological sources, properties, uses and potential applications: A review. Bayero J. Pure Appl. Sci. 2016, 9, 159–165. [Google Scholar] [CrossRef]
- Wang, Q.; Cui, S.W. Understanding the physical properties of food polysaccharides. In Food Carbohydrates: Chemistry, Physical Properties, and Applications; CRC Press: Boca Raton, FL, USA, 2005; Chapter 4; pp. 161–218. [Google Scholar]
- Aminpour, M.; O’Kelly, B.C. Applications of biopolymers in dam construction and operation activities. In Proceedings of the 2nd International Dam World Conference, Lisbon, Portugal, 21–24 April 2015; Volume 1, pp. 937–946. [Google Scholar]
- Goswami, S.; Naik, S. Natural gums and its pharmaceutical application. J. Sci. Innov. Res. 2014, 3, 112–121. [Google Scholar] [CrossRef]
- Alzohairy, M.A. Therapeutics role of Azadirachta indica (Neem) and their active constituents in diseases prevention and treatment. Evid.-Based Complement. Altern. Med. 2016, 2016, 7382506. [Google Scholar] [CrossRef]
- Kumar, V.S.; Navaratnam, V. Neem (Azadirachta indica): Prehistory to contemporary medicinal uses to humankind. Asian Pac. J. Trop. Biomed. 2013, 3, 505–514. [Google Scholar] [CrossRef]
- Botelho, M.A.; Santos, R.A.; Martins, J.G.; Carvalho, C.O.; Paz, M.C.; Azenha, C. Efficacy of a mouth rinse based on leaves of the neem tree (Azadirachta indica) in the treatment of patients with chronic gingivitis: A double blind, randomized, controlled trial. J. Med. Plant Res. 2008, 2, 341–346. [Google Scholar]
- Ogunjimi, A.T.; Alebiowu, G. Flow and consolidation properties of neem gum coprocessed with two pharmaceutical excipients. Powder Technol. 2013, 246, 187–192. [Google Scholar] [CrossRef]
- Rishabha, M.; Sharma, P.K.; Dubey, S.K. Antioxidant potential and emulsifying properties of neem (Azadirachita indica, Family Meliaceae) gum polysaccharide. Pharm. Anal. Acta 2017, 8, 559. [Google Scholar]
- Samrot, A.V.; Angalene, J.L.A.; Roshini, S.M.; Stefi, S.M.; Preethi, R.; Raji, P. Purification, characterization and exploitation of Azadirachta indica gum for the production of drug loaded nanocarrier. Mater. Res. Express 2020, 7, 055007. [Google Scholar] [CrossRef]
- Rouzer, C.A.; Marnett, L.J. Cyclooxygenases: Structural and functional insights. J. Lipid Res. 2009, 50, S29–S34. [Google Scholar] [CrossRef] [PubMed]
- Lakshmi, S.U.; Pattabiraman, T.N. Studies on Plant Gums: Identification of Nitrogenous Compounds in Neem (Azadirachta Indica) Gum and Isolation of D-glucosamine. Indian J. Biochem. 1967, 4, 181–183. [Google Scholar] [PubMed]
- Kulkarni, A.P.; Yunus, R.S.; Dehghan, M.H.D. Application of Neem Gum for Aqueous Film Coating of Ciprofloxacin Tablets. Int. J. Appl. Res. Nat. Prod. 2013, 6, 11–19. [Google Scholar]
- Anderson, D.M.W.; Hendrie, A. The proteinaceous, gum polysaccharide from Azadirachta indica A. juss. Carbohyd. Res. 1971, 20, 259–268. [Google Scholar] [CrossRef]
- Sánchez-Machado, D.I.; Núñez-Gastélum, J.A.; Reyes-Moreno, C.; Ramírez-Wong, B.; López-Cervantes, J. Nutritional Quality of Edible Parts of Moringa oleifera. Food Anal. Methods 2009, 3, 175–180. [Google Scholar] [CrossRef]
- Alegbeleye, O.O. How Functional Is Moringa oleifera? A Review of Its Nutritive, Medicinal, and Socioeconomic Potential. Food Nutr. Bull. 2017, 39, 149–170. [Google Scholar] [CrossRef]
- Islam, Z.; Islam, S.M.R.; Hossen, F.; Mahtab-Ul-Islam, K.; Hasan, M.R.; Karim, R. Moringa oleifera is a Prominent Source of Nutrients with Potential Health Benefits. Int. J. Food Sci. 2021, 2021, 6627265. [Google Scholar] [CrossRef]
- Ashish, P.; Singh, R.B. Nature of gum polysaccharide extracted from Moringa oleifera Lam (Sainjna) plant. Adv. Appl. Sci. Res. 2014, 5, 1–3. [Google Scholar]
- Panda, D.S.; Choudhury, N.S.; Yedukondalu, M.; Si, S.; Gupta, R. Evaluation of Gum of Moringa oleifera as a Binder and Release Retardant in Tablet Formulation. Indian J. Pharm. Sci. 2008, 70, 614–618. [Google Scholar] [CrossRef]
- Panda, D.; Si, S.; Swain, S.; Kanungo, S.K.; Gupta, R. Preparation and evaluation of Gels from Gum of Moringa oleifera. Indian J. Pharm. Sci. 2006, 68, 777–780. [Google Scholar] [CrossRef]
- Jackson, R.S. 4-Vineyard Practice. In Food Science and Technology, 4th ed.; Academic Press: Oxford, UK, 2014; pp. 143–306. [Google Scholar] [CrossRef]
- Lu, Y.; Zeng, L.; Wang, L.; Xu, Y.; Chen, K. Guard against a dangerous invasion of China Phenacoccus. Precaution of solenopsis mealybug Phenacoccus solenopsis Tinsley. J. Environ. Insects 2008, 4, 1. [Google Scholar]
- Guo, J.; Yang, J.; Yang, J.; Zheng, G.; Chen, T.; Huang, J. Water-soluble chitosan enhances phytoremediation efficiency of cadmium by Hylotelephium spectabile in contaminated soils. Carbohydr. Polym. 2020, 246, 116559. [Google Scholar] [CrossRef] [PubMed]
- Cao, S.C.; Bate, B.; Hu, J.W.; Jung, J. Engineering behavior and characteristics of water-soluble polymers: Implication on soil remediation and enhanced oil recovery. Sustainability 2016, 8, 205. [Google Scholar] [CrossRef]
- Jung, J.; Hu, J.W. Characterization of polyethylene oxide and sodium alginate for oil contaminated-sand remediation. Sustainability 2017, 9, 62. [Google Scholar] [CrossRef]
- Chauhan, N.P.S. Biocidal Polymers, 1st ed.; Walter de Gruyter GmbH & Co KG: Berlin/Heidelberg, Germany, 2019. [Google Scholar] [CrossRef]
- Vundavalli, R.; Vundavalli, S.; Nakka, M.; Rao, D.S. Biodegradable nano-hydrogels in agricultural farming-alternative source for water resources. Procedia Mater. Sci. 2015, 10, 548–554. [Google Scholar] [CrossRef]
- Yang, F.; Antonietti, M. The sleeping giant: A polymer view on humic matter in synthesis and applications. Prog. Polym. Sci. 2020, 100, 101182. [Google Scholar] [CrossRef]
- Ali, M.H.; Abdelhamid, Y.M.; Khair, S.M. Preparation and application of some nitrogenous derivatives of gum arabic as plant growth promoters. Int. J. Agric. Environ. Res. 2016, 2, 106–115. [Google Scholar]
- Monrroy, M.; García, E.; Ríos, K.; García, J.R. Extraction and Physicochemical Characterization of Mucilage from Opuntia cochenillifera (L.) Miller. J. Chem. 2017, 2017, 4301901. [Google Scholar] [CrossRef]
- Najett, M.; Snoussi, M.; Abderrahim, C. Phytochemical screening and antifungal activity evaluation of gum arabic (Acacia tortilis forssk). Plant Arch. 2020, 20, 4022–4026. [Google Scholar]
- Xu, R.B.; Yang, X.; Wang, J.; Zhao, H.T.; Lu, W.H.; Cui, J.; Cheng, C.L.; Zou, P.; Huang, W.W.; Wang, P.; et al. Chemical composition and antioxidant activities of three polysaccharide fractions from pine cones. Int. J. Mol. Sci. 2012, 13, 14262–14277. [Google Scholar] [CrossRef]
- Samrot, A.V.; SaiPriya, C.; Angalene, J.L.A.; Roshini, S.M.; Cypriyana, P.J.; Saigeetha, S.; Raji, P.; Kumar, S.S. Evaluation of nanotoxicity of Araucaria heterophylla gum derived green synthesized silver nanoparticles on Eudrilus eugeniae and Danio rerio. J. Clust. Sci. 2019, 30, 1017–1024. [Google Scholar] [CrossRef]
- Ibekwe, C.A.; Oyatogun, G.M.; Esan, T.A.; Oluwasegun, K.M. Synthesis and characterization of chitosan/gum arabic nanoparticles for bone regeneration. Am. J. Mater. Sci. Eng. 2017, 5, 28–36. [Google Scholar]
- Rao, P.S.; Beri, R.M. Analysis of sugars using paper chromatography (Horizontal migration). Proc. Indian Acad. Sci. 1951, 33, 368. [Google Scholar] [CrossRef]
- Albalasmeh, A.A.; Berhe, A.A.; Ghezzehei, T.A. A new method for rapid determination of carbohydrate and total carbon concentrations using UV spectrophotometry. Carbohydr. Polym. 2013, 97, 253–261. [Google Scholar] [CrossRef] [PubMed]
- Aziznia, S.; Khosrowshahi, A.; Madadlou, A.; Rahimi, J. Whey protein concentrate and gum tragacanth as fat replacers in nonfat yogurt: Chemical, physical, and microstructural properties. J. Dairy Sci. 2008, 91, 2545–2552. [Google Scholar] [CrossRef] [PubMed]
- Yebeyen, D.; Lemenih, M.; Feleke, S. Characteristics and quality of gum arabic from naturally grown Acacia senegal (Linne) Willd. trees in the Central Rift Valley of Ethiopia. Food Hydrocoll. 2009, 23, 175–180. [Google Scholar] [CrossRef]
- Ezera, J.E.; Nwufo, B.T.; Wapwera, J.A. Effects of Graded Quantities of Xanthan Gum on the Physicochemical and Flocculation Properties of Gum Arabic. JOJ Sci. 2019, 2, 555579. [Google Scholar] [CrossRef]
- Samrot, A.V.; Kudaiyappan, A.V.; Bisyarah, U.; Mirarmandi, A.; Faradjeva, E.; Abubakar, A.; Selvarani, J.A.; Subbiah, S.K. Extraction, Purification, and Characterization of Polysaccharides of Araucaria heterophylla L and Prosopis chilensis L and Utilization of Polysaccharides in Nanocarrier Synthesis. Int. J. Nanomed. 2020, 15, 7097. [Google Scholar] [CrossRef] [PubMed]
- Jamaludin, J.; Adam, F.; Rasid, R.; Hassan, Z. Thermal studies on Arabic gum-carrageenan polysaccharides film. Chem. Eng. Res. Bull. 2017, 19, 80–86. [Google Scholar] [CrossRef]
- Bothara, S.B.; Singh, S. Thermal studies on natural polysaccharide. Asian Pac. J. Trop. Biomed. 2012, 2, S1031–S1035. [Google Scholar] [CrossRef]
- Guo, R.; Xu, Z.; Wu, S.; Li, X.; Li, J.; Hu, H.; Wu, Y.; Ai, L. Molecular properties and structural characterization of an alkaline extractable arabinoxylan from hull-less barley bran. Carbohydr. Polym. 2019, 218, 250–260. [Google Scholar] [CrossRef] [PubMed]
- Lemieux, R.U.; Steve, J.D. The proton magnetic resonance spectra and tautomeric equilibria of aldoses in deuterium oxide. Can. J. Chem. 1966, 44, 249–262. [Google Scholar] [CrossRef]
- Ye, L.; Li, J.; Zhang, J.; Pan, Y. NMR characterization for polysaccharide moiety of a glycopeptide. Fitoterapia 2010, 81, 93–96. [Google Scholar] [CrossRef] [PubMed]
- Matko, V. Porosity determination by using stochastics method. Sens. Actuators A Physical. 2003, 112, 320–327. [Google Scholar] [CrossRef]
- Wang, M.; Zheng, Q.; Shen, Q.; Guo, S. The Critical Role of Potassium in Plant Stress Response. Int. J. Mol. Sci. 2013, 14, 7370–7390. [Google Scholar] [CrossRef] [PubMed]
- Divito, G.A.; Sadras, V.O. How do phosphorus, potassium and sulphur affect plant growth and biological nitrogen fixation in crop and pasture legumes? Meta-Anal. Field Crops Res. 2014, 156, 161–171. [Google Scholar] [CrossRef]
- Kaith, B.S.; Jindal, R.; Kumar, V. Biodegradation of Gum tragacanth acrylic acid based hydrogel and its impact on soil fertility. Polym. Degrad. Stab. 2015, 115, 24–31. [Google Scholar]
- Ramachandran, A.; Dhami, N.K.; Mukherjee, A. Sustainable utilization of biopolymers and biocement in aggregation of granular materials. In Proceedings of the Fifth International Conference on Sustainable Construction Materials and Technologies, London, UK, 7 July 2019; p. 224822040. [Google Scholar] [CrossRef]
- Gao, X.; Guo, C.; Li, M.; Li, R.; Wu, X.; Hu, A.; Hu, X.; Mo, F.; Wu, S. Physicochemical Properties and Bioactivity of a New Guar Gum-Based Film Incorporated with Citral to Brown Planthopper, Nilaparvata lugens (Stål) (Hemiptera: Delphacidae). Molecules 2020, 25, 2044. [Google Scholar] [CrossRef] [PubMed]
- Babu, R.; Murugan, K. Interactive effect of neem seed kernel and neem gum extracts on the control of Culex quinquefasciatus say. Neem Newslett. 1998, 15, 9–11. [Google Scholar]
- Chaudhary, S.; Kanwar, R.K.; Sehgal, A.; Cahill, D.M.; Barrow, C.J.; Sehgal, R.; Kanwar, J.R. Progress on Azadirachta indica Based Biopesticides in Replacing Synthetic Toxic Pesticides. Front. Plant Sci. 2017, 8, 610. [Google Scholar] [CrossRef]
- Mansour, A.T.; Espinosa, C.; García-Beltrán, J.M.; Miao, L.; Francisco, D.C.C.; Alsaqufi, A.S.; Esteban, M.Á. Dietary supplementation of drumstick tree, Moringa oleifera, improves mucosal immune response in skin and gills of seabream, Sparus aurata, and attenuates the effect of hydrogen peroxide exposure. Fish Physiol. Biochem. 2020, 46, 981–996. [Google Scholar] [CrossRef]
- Udo, I.; Odoemelam, S.A.; Eddy, N.O. Physicochemical and FTIR studies on Acacia senegal and Anacardium occidentale blends. J. Ind. Environ. Chem. 2017, 1, 31–35. [Google Scholar]
- Fernando, I.P.S.; Sanjeewa, K.K.A.; Samarakoon, K.W.; Lee, W.W.; Kim, H.S.; Kim, E.A.; Gunasekara, U.K.D.S.S.; Abeytunga, D.T.U.; Nanayakkara, C.M.; de Silva, E.D.; et al. FTIR characterization and antioxidant activity of water soluble crude polysaccharides of Sri Lankan marine algae. Algae 2017, 32, 75–86. [Google Scholar] [CrossRef]
- Pereira, L.; Gheda, S.F.; Ribeiro-Claro, P.J.A. Analysis by vibrational spectroscopy of seaweed polysaccharides with potential use in food, pharmaceutical, and cosmetic industries. Int. J. Carbohydr. Chem. 2013, 2013, 537202. [Google Scholar] [CrossRef]
- Gayathri, R.; Ganapathy, S.R. Extraction and characterization of the gum isolated from Araucaria heterophylla. Int. J. Pharm. Sci. Res. 2018, 9, 1062–1067. [Google Scholar]
- Couso, R.O.; Ielpi, L.; Dankert, M.A. A xanthan-gum-like polysaccharide from Acetobacter xylinum. J. Gen. Appl. Microbiol. 1987, 133, 2123–2135. [Google Scholar] [CrossRef][Green Version]
- Kumar, C.S.C.; Chandraju, S.; Mythily, R.; Ahmad, T.; Gowda, N.M.M. Extraction of Sugars from Black Gram Peels by Reversed-Phase Liquid Chromatography Systems and Identification by TLC and Mass Analysis. Adv. Anal. Chem. 2012, 2, 32–36. [Google Scholar]
- Kharbade, B.; Joshi, G. Thin-Layer Chromatographic and Hydrolysis Methods for the Identification of Plant Gums in Art Objects. Stud. Conserv. 1995, 40, 93–102. [Google Scholar]
- Kassim, M.B.I. Production and characterization of the polysaccharide “xanthan gum” by a local isolate of the bacterium Xanthomonas campestris. Afr. J. Biotechnol. 2011, 10, 16924–16928. [Google Scholar] [CrossRef]
- Jain, R.; Babbar, S.B. Xanthan gum: An economical substitute for agar in plant tissue culture media. Plant Cell Rep. 2006, 25, 81–84. [Google Scholar] [CrossRef] [PubMed]
- Ciereszko, I. Regulatory roles of sugars in plant growth and development. Acta Soc. Bot. Pol. 2018, 87, 1–13. [Google Scholar] [CrossRef]
- Choubane, D.; Rabot, A.; Mortreau, E.; Legourrierec, J.; Peron, T.; Foucher, F.F. Photocontrol of bud burst involves gibberellin biosynthesis in Rosa sp. J. Plant Physiol. 2012, 169, 1271–1280. [Google Scholar] [CrossRef]
- Rabot, A.; Henry, C.; Baaziz, K.B.; Mortreau, E.; Azri, W.; Lothier, J. Insight into the role of sugars in bud burst under light in the rose. Plant Cell Physiol. 2012, 53, 1068–1082. [Google Scholar] [CrossRef]
- Wallace, A.; Wallace, G.A. Effects of soil conditioners on emergence and growth of tomato, cotton, and lettuce seedlings. AGRIS 1986, 141, 313–316. [Google Scholar] [CrossRef]
- Shukla, P.S.; Borz, T.; Critchley, A.T.; Prithiviraj, B. Carrageenans from Red Seaweeds as Promoters of Growth and Elicitors of Defense Response in Plants. Front. Mar. Sci. 2016, 3, 1–9. [Google Scholar] [CrossRef]
- Salachna, P.; Pietrak, A. Evaluation of Carrageenan, Xanthan Gum and Depolymerized Chitosan Based Coatings for Pineapple Lily Plant Production. Horticulture 2021, 7, 19. [Google Scholar] [CrossRef]
- Neina, D. The Role of Soil pH in Plant Nutrition and Soil Remediation. Appl. Environ. Soil Sci. 2019, 2019, 5794869. [Google Scholar] [CrossRef]
- Guilherme, M.R.; Reis, A.V.; Paulino, A.T.; Moia, T.A.; Mattoso, L.H.; Tambourgi, E.B. Pectin-based polymer hydrogel as a carrier for release of agricultural nutrients and removal of heavy metals from wastewater. J. Appl. Polym. Sci. 2010, 117, 3146–3154. [Google Scholar] [CrossRef]
- Thombare, N.; Ali, M.; Swami, S.; Chowdhury, A.R.; Srivastava, S. Recent Advances in Applications of Natural Gums in Agriculture in Training Manual on Model Training Course on Recent Advances in High Value Products and Industrial. Appl. Nat. Polym. 2018, 89–95. Available online: http://krishi.icar.gov.in/jspui/handle/123456789/38420 (accessed on 7 January 2022).
- Orts, W.J.; Sojka, R.E.; Glenn, G.M. Polymer additives in irrigation water to reduce erosion and better manage water infiltration. Agro-Food-Ind. Tech. 2002, 13849008, 37–41. [Google Scholar]
- Reddy, J.J.; Varaprasad, B.J.S. Effect of Xanthan Gum on Internal Erosion Characteristics of Dispersive Soils–As an Ecofriendly Additive. Int. J. Adv. Sci. Technol. 2020, 29, 4716–4724. [Google Scholar]
- El-Masry, G.N.; Saleh, F.M.; AbdEl-Mageed, S.A. Moringa plant, Moringa oleifera LAM., a source of biopesticide. SINAI J. Appl. Sci. 2017, 5, 285–292. [Google Scholar] [CrossRef][Green Version]
- Mamoon-ur-Rashid, M.; Khattak, M.K.; Abdullah, K. Residual toxicity and biological effects of neem (Azadirachta indica) oil against cotton mealybug, Phenacoccus solenopsis Tinsley (Sternorrhyncha: Pseudococcidae). Pak. J. Zool. 2012, 44, 837–843. [Google Scholar]
- Samrot, A.V.; Selvarani, J.A.; Durga, A. Handbook on Phytochemical Extraction, Screening and Its In-Vitro Bioactivity Assays; SARAS Publisher: Nagercoil, India, 2020. [Google Scholar]
- Haque, M.A.; Hassan, M.M.; Das, A.; Begum, B.; Ali, M.Y.; Morshed, H. Phytochemical investigation of Vernonia cinerea (Family: Asteraceae). J. Appl. Pharm. Sci. 2012, 2, 79–83. [Google Scholar] [CrossRef]
- Jamal, A.K.; Yaacob, W.A.; Laily, B.D. A chemical study on Phyllanthus reticulatus. J. Phys. Sci. 2008, 19, 45–50. [Google Scholar]
- Samrot, A.V.; Shobana, N.; Jenna, R. Antibacterial and antioxidant activity of different staged ripened fruit of Capsicum annuum and its green synthesized silver nanoparticles. BioNanoScience 2018, 8, 632–646. [Google Scholar] [CrossRef]
- Pawar, H.A.; D’Mello, P.M. Spectrophotometric estimation of total polysaccharides in Cassia tora gum. J. Appl. Pharm. Sci. 2011, 1, 93–95. [Google Scholar]
- Moreno, J.; Vargas, M.A.; Madiedo, J.M.; Muñoz, J.; Rivas, J.; Guerrero, M.G. Chemical and rheological properties of an extracellular polysaccharide produced by the Cyanobacterium Anabaena sp. ATCC 33047. Biotechnol. Bioeng. 2000, 67, 283–290. [Google Scholar] [CrossRef]
- Gundidza, M.; Mmbengwa, V.; Sibambo, S.R.; Magwa, M.L.; Mushisha, O.; Benhura, E.M.A.; Gundidza, A. Rheological, moisture and ash content analyses of a gum resin from Commiphora Africana. Afr. J. Food Sci. 2011, 5, 188–193. [Google Scholar]
- Gallina, A.; Fiorese, E.; Pastore, P.; Magno, F. Identification and semi-quantitative determination of gum arabic in wines by GC-MS and size exclusion chromatography. Ann. Chim. 2004, 94, 177–184. [Google Scholar] [CrossRef] [PubMed]
- Raguraman, V.; Abraham, L.S.; Jyotsna, J.; Palaniappan, S.; Gopal, S.; Thirugnanasambandam, R.; Kirubagaran, R. Sulfated polysaccharide from Sargassum tenerrimum attenuates oxidative stress induced reactive oxygen species production in in vitro and in zebrafish model. Carbohydr. Polymer. 2019, 203, 441–449. [Google Scholar] [CrossRef]
- Kumar, V.; Rani, V.; Jain, M.; Kumar, A.; Kumar, S. A Study on Physical Properties of Okra Seed: Abelmoschus esculentus (L.). Adv. Res. 2018, 14, 1–7. [Google Scholar] [CrossRef]
- Sauer, D.B.; Burrough, R. Disinfection of Seed Surfaces with Sodium Hypochlorite. Phytopathology 1986, 76, 745–749. [Google Scholar] [CrossRef]
- Samrot, A.V.; SaiPriya, C.; Selvarani, J.A.; Cypriyana, P.J.; Lavanya, Y.; Afreen, R.S.; Soundarya, P.; Priyanka, R.B.S.; Sangeetha, P.; Varghese, R.J.; et al. A study on influence of superparamagnetic iron oxide nanoparticles (SPIONs) on green gram (Vigna radiata L.) and earthworm (Eudrilus eugeniae L.). Mater. Res. Express 2020, 7, 055002. [Google Scholar] [CrossRef]
- Omar, L.; Ahmed, O.H.; Majid, N.M.A. Improving Ammonium and Nitrate Release from Urea Using Clinoptilolite Zeolite and Compost Produced from Agricultural Wastes. Sci. World J. 2015, 15, 1–12. [Google Scholar] [CrossRef]
- Khan, A.; Islam, M.S.; Rahman, M.; Zaman, T.; Haque, M.E. Pesticidal and pest repellency activities of a plant derived triterpenoid 2α, 3β, 21β, 23, 28-penta hydroxyl 12-oleanene against Tribolium castaneum. Biol. Res. 2014, 47, 1–6. [Google Scholar] [CrossRef][Green Version]
















| Control | Moringa oleifera | Azadirachta indica |
|---|---|---|
| 75% a | 85% b | 60% c |
| Positive Control | Negative Control | MO Gum Polysaccharide | AI Gum Polysaccharide |
|---|---|---|---|
| 95% a | 85% b | 100% c | 100% c |
| S. No | Parameter (Units) | Garden Soil | Negative Control Soil | Moringa oleifera Enriched Soil | Azadirachta indica Enriched Soil |
|---|---|---|---|---|---|
| 1 | pH | 8.0 ± 0.1643 a | 6.81 ± 0.1502 b | 6.66 ± 0.1015 b | 7.25 ± 0.1936 c |
| 2 | Porosity (%) | 49 ± 0.8649 a | 27.5 ± 0.6221 b | 37.5 ± 0.9555 c | 35 ± 0.8289 c |
| 3 | Water holding capacity (%) | 80 ± 0.994 a | 40 ± 0.9471 b | 60 ± 0.7906 c | 70 ± 0.7537 d |
| 4 | Conductivity (µs/cm) | 138 ± 0.7537 a | 158.4 ± 0.7232 b | 124.3 ± 0.719 c | 125.6 ± 1.0756 c |
| 5 | Moisture (%) | 17 ± 0.5357 a | 15.27 ± 0.5062 b | 16.01 ± 0.6736 c | 15.2 ± 0.5595 b |
| 6 | Available phosphorus as P (%) | 186.68 ± 0.6981 a | 0.12 ± 0.0071 b | 0.26 ± 0.0164 b | 6.93 ± 0.2853 c |
| 7 | Potassium as K (%) | 351.6 ± 0.3847 a | 1.12 ± 0.0989 b | 1.36 ± 0.1182 b | 2.8 ± 0.2762 c |
| 8 | Total organic carbon (%) | 1.01 ± 0.0903 a | 0.95 ± 0.0305 b | 0.92 ± 0.0342 b | 0.65 ± 0.0321 c |
| 9 | Na (mg/100 g) | 214 ± 3.9115 a | 542.3± 6.5221 b | 621.3 ± 4.7379 c | 559 ± 12.6044 b |
| 10 | Soluble Ca (g/100 g) | 347 ± 5.6125 a | 26.22 ± 2.1083 b | 14.90 ± 0.6427 c | 28.6 ± 9.9863 b |
| 11 | Soluble Mg (g/100 g) | 229 ± 9.8742 a | 7.36 ± 2.0748 b | 4.52 ± 1.1333 b | 39.31 ± 10.1419 c |
| 12 | SO4 (mg/kg) | BQL (LoQ: 0.001) | 9.72 ± 2.0415 a | 8.15 ± 1.7437 b | 8 ± 4.2435 b |
| 13 | Cl (mg/100 g) | BQL (LoQ: 0.001) | 0.79 ± 0.1132 a | 0. 321 ± 0.0216 b | 0.4 ± 0.1029 b |
| 14 | N (g/100 g) | 28.4 ± 4.396 a | 0.18 ± 0.0114 b | 0.16 ± 0.013 b | 0.27 ± 0.013 b |
| 15 | Fe (mg/kg) | 25.07 ± 1.3375 a | 14.3 ± 1.8321 b | 14.20 ± 3.5829 b | 12.08 ± 3.9558 c |
| 16 | Cu (mg/kg) | 5.51 ± 0.0158 a | BQL (LoQ: 0.001) | BQL (LoQ: 0.001) | BQL (LoQ: 0.001) |
| 17 | Mn (mg/kg) | 3.62 ± 0.0418 a | BQL (LoQ: 0.001) | BQL (LoQ: 0.001) | BQL (LoQ: 0.001) |
| 18 | Zn (mg/kg) | 7.28 ± 1.8231 a | 16.12 ± 3.8269 b | 14.20 ± 3.8932 c | 11.3 ± 4.3522 d |
| 19 | Mo (mg/kg) | BQL (LoQ: 0.001) | BQL (LoQ: 0.001) | BQL (LoQ: 0.001) | BQL (LoQ: 0.001) |
| 20 | B (mg/kg) | 2.1 ± 0.0412 a | BQL (LoQ: 0.001) | BQL (LoQ: 0.001) | BQL (LoQ: 0.001) |
| 21 | Ni (mg/kg) | BQL (LoQ: 0.001) | BQL (LoQ: 0.001) | BQL (LoQ: 0.001) | BQL (LoQ: 0.001) |
| Concentration | MO | AI | MO | AI | MO | AI |
|---|---|---|---|---|---|---|
| 10% | 10% | 20% | 20% | 30% | 30% | |
| 24 h | 10% | - | 30% | 20% | 30% | 40% |
| 48 h | 40% | 40% | 50% | 50% | 60% | 50% |
Publisher’s Note: MDPI stays neutral with regard to jurisdictional claims in published maps and institutional affiliations. |
© 2022 by the authors. Licensee MDPI, Basel, Switzerland. This article is an open access article distributed under the terms and conditions of the Creative Commons Attribution (CC BY) license (https://creativecommons.org/licenses/by/4.0/).
Share and Cite
Shobana, N.; Prakash, P.; Samrot, A.V.; Jane Cypriyana, P.J.; Kajal, P.; Sathiyasree, M.; Saigeetha, S.; Stalin Dhas, T.; Alex Anand, D.; Sabesan, G.S.; et al. Purification and Characterization of Gum-Derived Polysaccharides of Moringa oleifera and Azadirachta indica and Their Applications as Plant Stimulants and Bio-Pesticidal Agents. Molecules 2022, 27, 3720. https://doi.org/10.3390/molecules27123720
Shobana N, Prakash P, Samrot AV, Jane Cypriyana PJ, Kajal P, Sathiyasree M, Saigeetha S, Stalin Dhas T, Alex Anand D, Sabesan GS, et al. Purification and Characterization of Gum-Derived Polysaccharides of Moringa oleifera and Azadirachta indica and Their Applications as Plant Stimulants and Bio-Pesticidal Agents. Molecules. 2022; 27(12):3720. https://doi.org/10.3390/molecules27123720
Chicago/Turabian StyleShobana, Nagarajan, Pandurangan Prakash, Antony V. Samrot, P. J. Jane Cypriyana, Purohit Kajal, Mahendran Sathiyasree, Subramanian Saigeetha, T. Stalin Dhas, D. Alex Anand, Gokul Shankar Sabesan, and et al. 2022. "Purification and Characterization of Gum-Derived Polysaccharides of Moringa oleifera and Azadirachta indica and Their Applications as Plant Stimulants and Bio-Pesticidal Agents" Molecules 27, no. 12: 3720. https://doi.org/10.3390/molecules27123720
APA StyleShobana, N., Prakash, P., Samrot, A. V., Jane Cypriyana, P. J., Kajal, P., Sathiyasree, M., Saigeetha, S., Stalin Dhas, T., Alex Anand, D., Sabesan, G. S., Muthuvenkatachalam, B. S., Mohanty, B. K., & Visvanathan, S. (2022). Purification and Characterization of Gum-Derived Polysaccharides of Moringa oleifera and Azadirachta indica and Their Applications as Plant Stimulants and Bio-Pesticidal Agents. Molecules, 27(12), 3720. https://doi.org/10.3390/molecules27123720

