Novel Thiadiazole-Based Molecules as Promising Inhibitors of Black Fungi and Pathogenic Bacteria: In Vitro Antimicrobial Evaluation and Molecular Docking Studies
Abstract
1. Introduction
2. Results and Discussion
2.1. Chemistry
2.2. Antimicrobial Activities
2.3. Determination of Minimum Inhibitory Concentration (MIC) and Minimum Bactericidal Concentration (MBC) Values
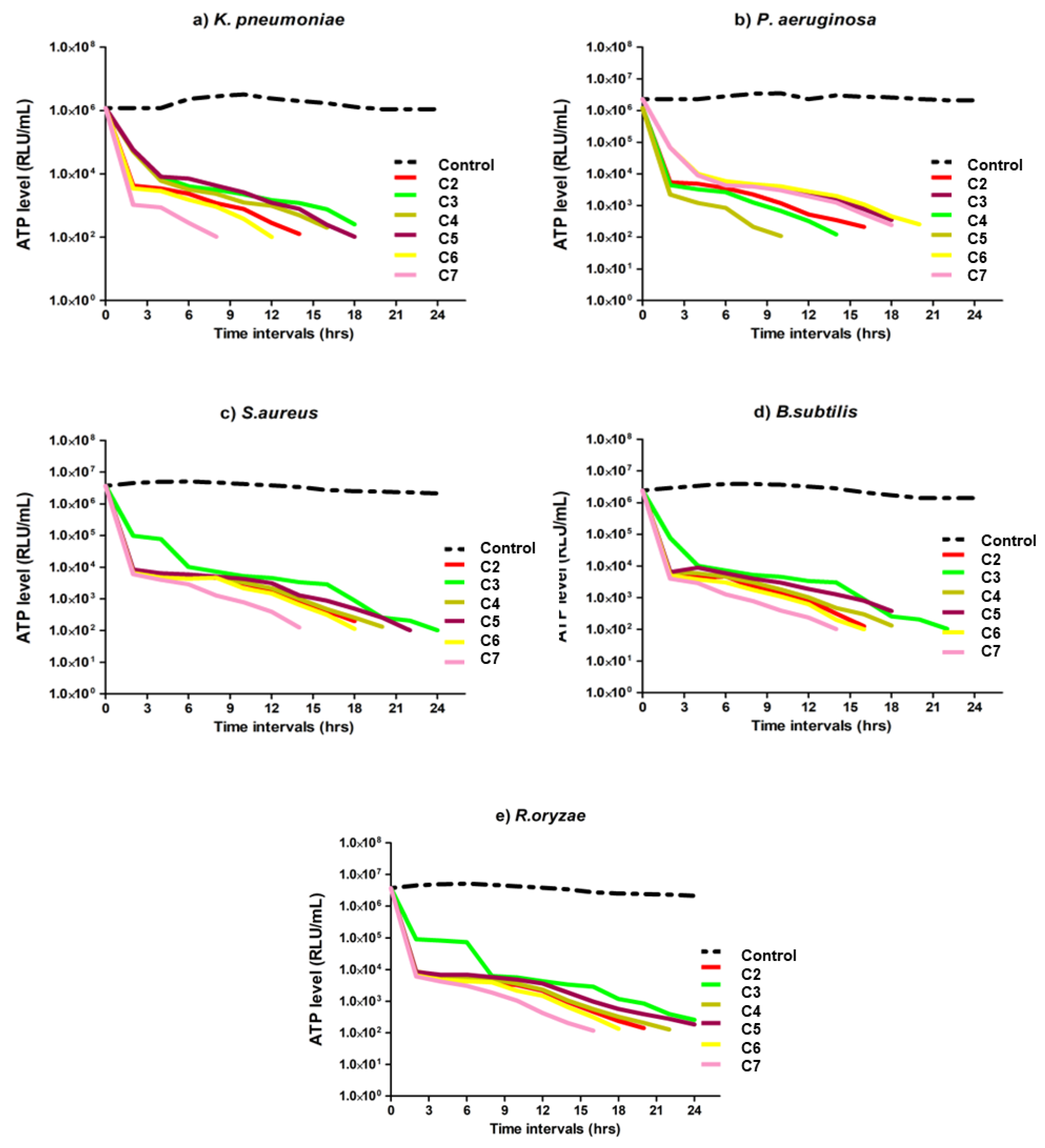
2.4. Determination of Extracellular Adenosine Triphosphate (ATP) Level
2.5. Toxicological Performance Assay
3. Molecular Docking
4. Experimental Section
4.1. Chemistry
4.1.1. Experimental Instrumentation
4.1.2. Synthesis of Compounds
General Procedures for Synthesis of Molecules 2–7
Ethyl-4-(4-chlorophenyl)-5-(-4-hydroxy-3-methoxybenzylidene)hydrazono)-4,5-dihydro-1,3,4-thiadiazole-2-carboxylate (2)
Ethyl-5-((-4-hydroxy-3-methoxybenzylidene)hydrazono)-4-(4-nitrophenyl)-4,5-dihydro-1,3,4-thiadiazole-2-carboxylate (3)
1-(4-(4-Chlorophenyl)-5-(4-hydroxy-3-methoxybenzylidene)hydrazono)-4,5-dihydro-1,3,4-thiadiazol-2-yl)ethan-1-one (4)
1-(5-(4-Hydroxy-3-methoxybenzylidene)hydrazono)-4-(4-nitrophenyl)-4,5-dihydro-1,3,4-thiadiazol-2-yl)ethan-1-one (5)
5-((-4-Hydroxy-3-methoxybenzylidene)hydrazono)-N-phenyl-4-(p-tolyl)-4,5-dihydro-1,3,4-thiadiazole-2-carboxamide (6)
5-((-4-Hydroxy-3-methoxybenzylidene)hydrazono)-4-(4-nitrophenyl)-N-phenyl-4,5-dihydro-1,3,4-thiadiazole-2-carboxamide (7)
4.2. Biological Activities
4.2.1. Preparation of Stock Solution
4.2.2. Microorganisms Used
4.2.3. Kirby–Bauer Disc Diffusion Method
4.2.4. Determination of Minimum Inhibitory Concentration (MIC)
4.2.5. Minimum Biocidal Concentrations (MBCs)
4.2.6. ATP Bioluminescence Assay
4.2.7. Toxicological Performance Assay
5. Molecular Docking
6. Conclusions
Author Contributions
Funding
Institutional Review Board Statement
Informed Consent Statement
Data Availability Statement
Conflicts of Interest
Sample Availability
References
- Rahman, T.; Sobur, A.; Islam, S.; Toniolo, A.; Nazir, K.H.M.N.H. Is the COVID-19 pandemic masking dengue epidemic in Bangladesh? J. Adv. Vet. Anim. Res. 2020, 7, 218–219. [Google Scholar] [CrossRef] [PubMed]
- Feldman, C.; Anderson, R. The role of co-infections and secondary infections in patients with COVID-19. Pneumonia 2021, 13, 5. [Google Scholar] [CrossRef] [PubMed]
- Guo, L.; Wei, D.; Zhang, X.; Wu, Y.; Li, Q.; Zhou, M.; Qu, J. Clinical features predicting mortality risk in patients with viral pneumonia: The MuLBSTA score. Front. Microbiol. 2019, 2752. [Google Scholar] [CrossRef] [PubMed]
- Garg, D.; Muthu, V.; Sehgal, I.S.; Ramachandran, R.; Kaur, H.; Bhalla, A.; Puri, G.D.; Chakrabarti, A.; Agarwal, R. Coronavirus disease (Covid-19) associated mucormycosis (CAM): Case report and systematic review of literature. Mycopathologia 2021, 186, 289–298. [Google Scholar] [CrossRef]
- Gomes, M.Z.R.; Lewis, R.E.; Kontoyiannis, D.P. Mucormycosis caused by unusual mucormycetes, non-Rhizopus,-Mucor, and-Lichtheimia species. Clin. Microbiol. Rev. 2011, 24, 411–445. [Google Scholar] [CrossRef]
- Kwon-Chung, K.J. Taxonomy of fungi causing mucormycosis and entomophthoramycosis (zygomycosis) and nomenclature of the disease: Molecular mycologic perspectives. Clin. Infect. Dis. 2012, 54, S8–S15. [Google Scholar] [CrossRef]
- Hoenigl, M.; Seidel, D.; Carvalho, A.; Rudramurthy, S.M.; Arastehfar, A.; Gangneux, J.P.; Nasir, N.; Bonifaz, A.; Araiza, J.; Klimko, N. The emergence of COVID-19 associated mucormycosis: Analysis of cases from 18 countries. Lancet 2021. [Google Scholar] [CrossRef]
- Aggarwal, N.; Kumar, R.; Dureja, P.; Khurana, J.M. Synthesis, antimicrobial evaluation and QSAR analysis of novel nalidixic acid based 1,2,4-triazole derivatives. Eur. J. Med. Chem. 2011. [Google Scholar] [CrossRef]
- Serban, G.; Stanasel, O.; Serban, E.; Bota, S. 2-Amino-1,3,4-thiadiazole as a potential scaffold for promising antimicrobial agents. Drug Des. Dev. Ther. 2018, 12, 1545–1566. [Google Scholar] [CrossRef]
- Menteşe, E.; Ülker, S.; Kahveci, B. Synthesis and Study of α-Glucosidase Inhibitory, Antimicrobial and Antioxidant Activities of Some Benzimidazole Derivatives Containing Triazole, Thiadiazole, Oxadiazole, and Morpholine Rings. Chem. Heterocycl. Compd. 2015, 50, 1671–1682. [Google Scholar] [CrossRef]
- Hassan, S.Y. Synthesis, antibacterial and antifungal activity of some new pyrazoline and pyrazole derivatives. Molecules 2013, 18, 2683–2711. [Google Scholar] [CrossRef] [PubMed]
- Fuda, C.C.S.; Fisher, J.F.; Mobashery, S. β-Lactam resistance in Staphylococcus aureus: The adaptive resistance of a plastic genome. Cell. Mol. Life Sci. 2005, 62, 2617. [Google Scholar] [CrossRef] [PubMed]
- Garneau-Tsodikova, S.; Labby, K.J. Mechanisms of resistance to aminoglycoside antibiotics: Overview and perspectives. MedChemComm 2016, 7, 11–27. [Google Scholar] [CrossRef] [PubMed]
- Kraljević, T.G.; Harej, A.; Sedić, M.; Pavelić, S.K.; Stepanić, V.; Drenjančević, D.; Talapko, J.; Raić-Malić, S. Synthesis, in vitro anticancer and antibacterial activities and in silico studies of new 4-substituted 1,2,3-triazole–coumarin hybrids. Eur. J. Med. Chem. 2016, 124, 794–808. [Google Scholar] [CrossRef] [PubMed]
- Shehadi, I.A.; Abdelrahman, M.T.; Abdelraof, M.; Rashdan, H.R.M. Solvent-Free Synthesis, In Vitro and In Silico Studies of Novel Potential 1, 3, 4-Thiadiazole-Based Molecules against Microbial Pathogens. Molecules 2022, 27, 342. [Google Scholar] [CrossRef]
- Rashdan, H.; Shehadi, I.; Abdelmonsef, A.H. Synthesis, Anticancer Evaluation, Computer-Aided Docking Studies, and ADMET Prediction of 1,2,3-Triazolyl-Pyridine Hybrids as Human Aurora B Kinase Inhibitors. ACS Omega 2021, 6, 1445–1455. [Google Scholar] [CrossRef]
- El-Naggar, M.; Abd El-All, A.S.; El-Naem, S.I.A.; Abdalla, M.M.; Rashdan, H.R.M. New potent 5α- Reductase and aromatase inhibitors derived from 1,2,3-triazole derivative. Molecules 2020, 25, 672. [Google Scholar] [CrossRef]
- El-Naggar, M.; Mohamed, M.E.; Mosallam, A.M.; Salem, W.; Rashdan, H.R.M.; Abdelmonsef, A.H. Synthesis, Characterization, Antibacterial Activity, and Computer-Aided Design of Novel Quinazolin-2,4-dione Derivatives as Potential Inhibitors Against Vibrio cholerae. Evol. Bioinform. 2020, 16, 1176934319897596. [Google Scholar] [CrossRef] [PubMed]
- Elnaggar, D.H.; Abdel Hafez, N.A.; Rashdan, H.R.M.; Abdelwahed, N.A.M.; Awad, H.M.; Ali, K.A. Synthesis, Antimicrobial and Antitumor Evaluations of a New Class of Thiazoles Substituted on the Chromene Scaffold. Mini Rev. Med. Chem. 2019, 19. [Google Scholar] [CrossRef]
- Stoks, P.G.; Schwartz, A.W. Nitrogen-heterocyclic compounds in meteorites: Significance and mechanisms of formation. Geochim. Cosmochim. Acta 1981, 45, 563–569. [Google Scholar] [CrossRef]
- Liu, J.-C.; Narva, S.; Zhou, K.; Zhang, W. A review on the antitumor activity of various nitrogenous-based heterocyclic compounds as NSCLC inhibitors. Mini Rev. Med. Chem. 2019, 19, 1517–1530. [Google Scholar] [CrossRef]
- Negri, G.; Kascheres, C.; Kascheres, A.J. Recent development in preparation reactivity and biological activity of enaminoketones and enaminothiones and their utilization to prepare heterocyclic compounds. J. Heterocycl. Chem. 2004, 41, 461–491. [Google Scholar] [CrossRef]
- Rashdan, H.R.M.; Abdelmonsef, A.H.; Abou-Krisha, M.M.; Yousef, T.A. Synthesis and Identification of Novel Potential Thiadiazole Based Molecules Containing 1,2,3-triazole Moiety Against COVID-19 Main Protease Through Structure-Guided Virtual Screening Approach. Appl. Biochem. Biotechnol. 2021, 193, 3602–3623. [Google Scholar]
- Rashdan, H.R.M.; Abdelmonsef, A.H.; Abou-Krisha, M.M.; Yousef, T.A. Synthesis, Identification, Computer-Aided Docking Studies, and ADMET Prediction of Novel Benzimidazo-1,2,3-triazole Based Molecules as Potential Antimicrobial Agents. Molecules 2021, 26, 7119. [Google Scholar] [CrossRef] [PubMed]
- Rashdan, H.R.M.; Shehadi, I.A.; Abdelrahman, M.T.; Hemdan, B.A. Antibacterial Activities and Molecular Docking of Novel Sulfone Biscompound Containing Bioactive 1,2,3-Triazole Moiety. Molecules 2021, 26, 4817. [Google Scholar] [CrossRef] [PubMed]
- Abdelmonsef, A.H.; Abdelhakeem, M.A.; Mosallam, A.M.; Temairk, H.; El-Naggar, M.; Okasha, H.; Rashdan, H.R.M. A search for antiinflammatory therapies: Synthesis, in silico investigation of the mode of action, and in vitro analyses of new quinazolin-2,4-dione derivatives targeting phosphodiesterase-4 enzyme. J. Heterocycl. Chem. 2022, 59, 474–492. [Google Scholar] [CrossRef]
- Rashdan, H.; Ahmed, A.; Okasha, H.; Yousef, T.; Krisha, M. Synthesis and In-vitro Biological Analyses of New quinazolin-2,4-dione Derivatives. Egypt. J. Chem. 2022, 65, 1–2. [Google Scholar] [CrossRef]
- Rashdan, H.R.M.; El-Naggar, M.; Abdelmonsef, A.H. Synthesis, Molecular Docking Studies and In Silico ADMET Screening of New Heterocycles Linked Thiazole Conjugates as Potent Anti-Hepatic Cancer Agents. Molecules 2021, 26, 1705. [Google Scholar] [CrossRef]
- Shehadi, I.A.; Rashdan, H.R.M.; Abdelmonsef, A.H. Homology Modeling and Virtual Screening Studies of Antigen MLAA-42 Protein: Identification of Novel Drug Candidates against Leukemia—An In Silico Approach. Comput. Math. Methods Med. 2020, 2020, 8196147. [Google Scholar] [CrossRef]
- Rashdan, H.R.M.; Abdelmonsef, A.H.; Shehadi, I.A.; Gomha, S.M.; Soliman, A.M.M.; Mahmoud, H.K. Synthesis, Molecular Docking Screening and Anti-Proliferative Potency Evaluation of Some New Imidazo[2,1-b]Thiazole Linked Thiadiazole Conjugates. Molecules 2020, 25, 4997. [Google Scholar] [CrossRef]
- Bandgar, B.P.; Gawande, S.S.; Bodade, R.G.; Gawande, N.M.; Khobragade, C.N. Synthesis and biological evaluation of a novel series of pyrazole chalcones as anti-inflammatory, antioxidant and antimicrobial agents. Bioorg. Med. Chem. 2009, 17, 8168–8173. [Google Scholar] [CrossRef] [PubMed]
- Rashdan, H.R.M.; Roaiah, H.M.F.; Muhammad, Z.A.; Wietrzyk, J.; Milczarek, M.; Soliman, A.M.M. Design, efficient synthesis, mechanism of reaction and antiproliferative activity against cancer and normal cell lines of a novel class of fused pyrimidine derivatives. Acta Pol. Pharm. Drug Res. 2018, 75, 679–688. [Google Scholar]
- El-Hashash, M.A.; Sherif, S.M.; Badawy, A.A.; Rashdan, H.R. Synthesis of some new antimicrobial 5,6,7,8-tetrahydro-pyrimido[4,5-b]quinolone derivatives. Der. Pharm. Chem 2014, 6, 23–29. [Google Scholar]
- Rashdan, H.R.M.; Abdel-Aziem, A.; El-Naggar, D.H.; Nabil, S. Synthesis and biological evaluation of some new pyridines, isoxazoles and isoxazolopyridazines bearing 1,2,3-triazole moiety. Acta Pol. Pharm. Drug Res. 2019, 76, 469–482. [Google Scholar] [CrossRef]
- Sabt, A.; Abdelrahman, M.T.; Abdelraof, M.; Rashdan, H.R.M. Investigation of Novel Mucorales Fungal Inhibitors: Synthesis, In-Silico Study and Anti-Fungal Potency of Novel Class of Coumarin-6-Sulfonamides-Thiazole and Thiadiazole Hybrids. ChemistrySelect 2022, 7, e202200691. [Google Scholar] [CrossRef]
- Rashdan, H.R.M.; Shehadi, I.A. Triazoles Synthesis & Applications as Nonsteroidal Aromatase Inhibitors for Hormone-Dependent Breast Cancer Treatment. Heteroat. Chem. 2022, 2022. [Google Scholar] [CrossRef]
- Rashdan, H.R.M.; Farag, M.M.; El-Gendey, M.S.; Mounier, M.M. Toward rational design of novel anti-cancer drugs based on targeting, solubility, and bioavailability exemplified by 1,3,4-thiadiazole derivatives synthesized under solvent-free conditions. Molecules 2019, 24, 2371. [Google Scholar] [CrossRef]
- Sarojini, B.K.; Krishna, B.G.; Darshanraj, C.G.; Bharath, B.R.; Manjunatha, H. Synthesis, characterization, in vitro and molecular docking studies of new 2,5-dichloro thienyl substituted thiazole derivatives for antimicrobial properties. Eur. J. Med. Chem. 2010, 45, 3490–3496. [Google Scholar] [CrossRef]
- Shoichet, B.K.; McGovern, S.L.; Wei, B.; Irwin, J.J. Lead discovery using molecular docking. Curr. Opin. Chem. Biol. 2002, 6, 439–446. [Google Scholar] [CrossRef]
- Thiyagarajan, D.; Das, G.; Ramesh, A. Amphiphilic Cargo-Loaded Nanocarrier Enhances Antibiotic Uptake and Perturbs Efflux: Effective Synergy for Mitigation of Methicillin-Resistant Staphylococcus aureus. ChemMedChem 2017, 12, 1125–1132. [Google Scholar] [CrossRef]
- Bartzatt, R.; Cirillo, S.L.G.; Cirillo, J.D. Antibacterial derivatives of ciprofloxacin to inhibit growth of necrotizing fasciitis associated penicillin resistant Escherichia coli. J. Pharm. 2013, 2013. [Google Scholar] [CrossRef] [PubMed]
- Kachuei, R.; Khodavaisy, S.; Rezaie, S.; Sharifynia, S. In vitro antifungal susceptibility of clinical species belonging to Aspergillus genus and Rhizopus oryzae. J. Mycol. Med. 2016, 26, 17–21. [Google Scholar] [CrossRef] [PubMed]
- Sahu, S.; Sahu, T.; Kalyani, G.; Gidwani, B. Synthesis and Evaluation of Antimicrobial Activity of 1,3,4-Thiadiazole Analogues for Potential Scaffold. J. Pharmacopunct. 2021, 24, 32–40. [Google Scholar] [CrossRef]
- Kushwaha, N.; Kushwaha, S.K.S.; Rai, A.K. Biological activities of thiadiazole derivatives: A Review. Int. J. Chem. Tech. Res. 2012, 4, 517–531. [Google Scholar]
- Er, M.; Özer, A.; Direkel, Ş.; Karakurt, T.; Tahtaci, H. Novel substituted benzothiazole and Imidazo[2,1-b][1,3,4]Thiadiazole derivatives: Synthesis, characterization, molecular docking study, and investigation of their in vitro antileishmanial and antibacterial activities. J. Mol. Struct. 2019, 1194, 284–296. [Google Scholar] [CrossRef]
- Lu, X.; Samuelson, D.R.; Rasco, B.A.; Konkel, M.E. Antimicrobial effect of diallyl sulphide on Campylobacter jejuni biofilms. J. Antimicrob. Chemother. 2012, 67, 1915–1926. [Google Scholar] [CrossRef] [PubMed]
- Nescerecka, A.; Juhna, T.; Hammes, F. Behavior and stability of adenosine triphosphate (ATP) during chlorine disinfection. Water Res. 2016, 101, 490–497. [Google Scholar] [CrossRef] [PubMed]
- Mempin, R.; Tran, H.; Chen, C.; Gong, H.; Kim Ho, K.; Lu, S. Release of extracellular ATP by bacteria during growth. BMC Microbiol. 2013, 13, 301. [Google Scholar] [CrossRef]
- Hong, Y.; Brown, D.G. Variation in bacterial ATP level and proton motive force due to adhesion to a solid surface. Appl. Environ. Microbiol. 2009, 75, 2346–2353. [Google Scholar] [CrossRef]
- Braissant, O.; Astasov-Frauenhoffer, M.; Waltimo, T.; Bonkat, G. A Review of Methods to Determine Viability, Vitality, and Metabolic Rates in Microbiology. Front. Microbiol. 2020, 11, 2726. [Google Scholar] [CrossRef]
- Schreiber, B.; Fischer, J.; Schiwy, S.; Hollert, H.; Schulz, R. Towards more ecological relevance in sediment toxicity testing with fish: Evaluation of multiple bioassays with embryos of the benthic weatherfish (Misgurnus fossilis). Sci. Total Environ. 2018, 619, 391–400. [Google Scholar] [CrossRef] [PubMed]
- Beyer, D.; Kroll, H.-P.; Endermann, R.; Schiffer, G.; Siegel, S.; Bauser, M.; Pohlmann, J.; Brands, M.; Ziegelbauer, K.; Haebich, D. New class of bacterial phenylalanyl-tRNA synthetase inhibitors with high potency and broad-spectrum activity. Antimicrob. Agents Chemother. 2004, 48, 525–532. [Google Scholar] [CrossRef] [PubMed]
- Abibi, A.; Ferguson, A.D.; Fleming, P.R.; Gao, N.; Hajec, L.I.; Hu, J.; Laganas, V.A.; McKinney, D.C.; McLeod, S.M.; Prince, D.B. The role of a novel auxiliary pocket in bacterial phenylalanyl-tRNA synthetase druggability. J. Biol. Chem. 2014, 289, 21651–21662. [Google Scholar] [CrossRef] [PubMed]
- Ronkin, S.M.; Badia, M.; Bellon, S.; Grillot, A.-L.; Gross, C.H.; Grossman, T.H.; Mani, N.; Parsons, J.D.; Stamos, D.; Trudeau, M. Discovery of pyrazolthiazoles as novel and potent inhibitors of bacterial gyrase. Bioorg. Med. Chem. Lett. 2010, 20, 2828–2831. [Google Scholar] [CrossRef] [PubMed]
- Hargrove, T.Y.; Friggeri, L.; Wawrzak, Z.; Qi, A.; Hoekstra, W.J.; Schotzinger, R.J.; York, J.D.; Guengerich, F.P.; Lepesheva, G.I. Structural analyses of Candida albicans sterol 14α-demethylase complexed with azole drugs address the molecular basis of azole-mediated inhibition of fungal sterol biosynthesis. J. Biol. Chem. 2017, 292, 6728–6743. [Google Scholar] [CrossRef]
- El Nahrawy, A.M.; Hemdan, B.A.; Mansour, A.M.; Elzwawy, A.; AbouHammad, A.B. Structural and Opto-Magnetic Properties of Nickel Magnesium Copper Zircon Silicate Nano-Composite for Suppress the Spread of Foodborne Pathogenic bacteria. Silicon 2021, 1–16. [Google Scholar] [CrossRef]
- Abou Hammad, A.B.; El Nahwary, A.M.; Hemdan, B.A.; Abia, A.L.K. Nanoceramics and novel functionalized silicate-based magnetic nanocomposites as substitutional disinfectants for water and wastewater purification. Environ. Sci. Pollut. Res. 2020, 27, 26668–26680. [Google Scholar] [CrossRef]
- El Nahrawy, A.M.; Hemdan, B.A.; Abou Hammad, A.B. Morphological, impedance and terahertz properties of zinc titanate/Fe3+ nanocrystalline for suppression of Pseudomonas aeruginosa biofilm. Nano-Struct. Nano-Objects 2021, 26, 100715. [Google Scholar] [CrossRef]
- Radwan, M.A.A.; Alshubramy, M.A.; Abdel-Motaal, M.; Hemdan, B.A.; El-Kady, D.S. Synthesis, molecular docking and antimicrobial activity of new fused pyrimidine and pyridine derivatives. Bioorg. Chem. 2020, 96, 103516. [Google Scholar] [CrossRef]
- Trudil, D.; Loomis, L.; Pabon, R.; Hasan, J.A.K.; Trudil, C.L.; Hypochlo, S. Rapid ATP Method for the Screening and Identification of Bacteria in Food and Water. Mosc. Univ. Chem. Bull. 2000, 41, 27–29. [Google Scholar]
- Hemdan, B.A.; El-Liethy, M.A.; Shaban, A.M.; El-Taweel, G.E.S. Quantification of the metabolic activities of natural biofilm of different microenvironments. J. Environ. Sci. Technol. 2017, 10, 131–138. [Google Scholar] [CrossRef][Green Version]
- Soysa, P.; De Silva, I.S.; Wijayabandara, J. Evaluation of antioxidant and antiproliferative activity of Flueggea leucopyrus Willd (katupila). BMC Complement. Altern. Med. 2014, 14, 274. [Google Scholar] [CrossRef] [PubMed]















| Compounds | Diameters of ZOI (mm) | ||||
|---|---|---|---|---|---|
| Gram-Negative Species | Gram-Positive Species | Fungal Strain | |||
| K. pneumoniae | P. aeruginosa | S. aureus | B. subtilis | R. oryzae | |
| 2 | 19 ± 0.10 | 20 ± 0.23 | 13 ± 0.18 | 15 ± 0.25 | 9.7 ± 0.11 |
| 3 | 13 ± 0.23 | 15 ± 0.36 | 10 ± 0.18 | 12 ± 0.29 | 10 ± 0.14 |
| 4 | 16 ± 0.18 | 18 ± 0.28 | 13 ± 0.25 | 15 ± 0.42 | 12 ± 0.10 |
| 5 | 15 ± 0.35 | 17 ± 0.24 | 12 ± 0.30 | 14 ± 0.18 | 11 ± 0.14 |
| 6 | 20 ± 0.18 | 22 ± 0.23 | 15 ± 0.26 | 17 ± 0.16 | 14 ± 0.28 |
| 7 | 22 ± 0.16 | 25 ± 0.14 | 18 ± 0.28 | 20 ± 0.43 | 17 ± 0.14 |
| Cip. | 18 ± 0.35 | 20 ± 0.12 | 15 ± 0.43 | 17 ± 0.29 | nd |
| Amp. | nd | nd | nd | nd | 21 ± 0.15 |
| Compounds | Assays (µg/mL) | Gram-Negative Species | Gram-Positive Species | Fungal Strain | ||
|---|---|---|---|---|---|---|
| K. pneumoniae | P. aeruginosa | S. aureus | B. subtilis | R. oryzae | ||
| 2 | MIC | 175 | 125 | 200 | 175 | 225 |
| MBC | 225 | 175 | 225 | 200 | 250 | |
| 3 | MIC | 275 | 250 | 300 | 275 | >300 |
| MBC | 300 | 275 | >300 | >300 | >300 | |
| 4 | MIC | 225 | 200 | 250 | 225 | 275 |
| MBC | 275 | 250 | >300 | >300 | >300 | |
| 5 | MIC | 225 | 200 | 250 | 225 | 275 |
| MBC | 275 | 250 | >300 | >300 | >300 | |
| 6 | MIC | 150 | 125 | 175 | 150 | 225 |
| MBC | 200 | 175 | 225 | 200 | 275 | |
| 7 | MIC | 75 | 75 | 125 | 100 | 150 |
| MBC | 125 | 100 | 175 | 150 | 200 | |
| Compound | Binding Energy (kcal/mol) | H-Bonds | Residual Interactions |
|---|---|---|---|
| 2 | −8.2 | (4): Arg233, gly228, gly230, gln129 | phe227, glu131, phe171, phe169, ala226, |
| 3 | −8.4 | (1): gln129 | glu131, ala72, his90, phe171, cys204, glu200 |
| 4 | −8.1 | (2): Arg233, gln129 | cys204, phe169, ala226, met229, phe127 |
| 5 | −8.4 | (2): Arg233, gly230 | phe227, glu131, phe171, phe169, ala226, |
| 6 | −9.2 | (3): gln129, his90, ser167 | phe227, glu200, arg233 |
| 7 | −9.0 | (4): Arg233, gly228, gly230, gln129 | phe227, phe221, phe171, phe169, ala226, glu131, glu200 |
| Co-crystalized inhibitor | −9.8 | (Zero) | phe227, phe171, val211, ala226, val207, gly203, met99, leu64, val96 |
| Compound | Binding Energy (kcal/mol) | H-Bonds | Residual Interactions |
|---|---|---|---|
| 2 | −7.2 | (3): Arg84, gly85, asn54 | Glu58, asp57, ile102, ile86, ala61 |
| 3 | −6.8 | (zero) | Glu58, ile102, ile86, pro87 |
| 4 | −6.6 | (2): ser55, asn54 | asp81, Glu58, ile175, ile86, ala61 |
| 5 | −6.9 | (2): Arg84, ser55 | ile86 |
| 6 | −7.5 | (3): ser55, asp81, Glu58 | ile175, ile51, pro87, ile102, ile86 |
| 7 | −7.3 | (3): Arg84, ser55, asn54 | Glu58, asp57, ile102, pro87 |
| Co-crystalized inhibitor | −6.4 | (2): ser55, asp81 | Val79, ile175, ile86, pro87 |
| Entry | Binding Energy (kcal/mol) | H-Bonds | Residual Interactions | |
|---|---|---|---|---|
| Number | Residues | |||
| 2 | −8.3 | 3 | ile304, his468, arg469 | Leu276, phe463, leu204, pro375, cys470, ile471, gly307, leu150, ile304, ile471 |
| 3 | −8.3 | 0 | NA | leu376, ile379, Phe105, tyr118, gly307, ile471, lys143 |
| 4 | −8.3 | 1 | his468 | Leu204, ile304, cys470, gly307, leu276, ile131, ile471, tyr132 |
| 5 | −8.8 | 1 | Thours311 | Ala476, cys470, pro375, gly303, phe463, ile304 |
| 6 | −9.4 | 2 | his468, tyr132 | Thours311, lys143, phe228, pro375, phe463, leu376, leu121, ile131, cys470 |
| 7 | −10.1 | 3 | Thours311, his468, tyr132 | phe463, leu376, leu131, cys470, gly308, tyr118 |
| Co-crystalized inhibitor | −12.2 | 0 | NA | Ala62, try505, leu88, phe233, pro230, leu376, tyr118, his377 |
Publisher’s Note: MDPI stays neutral with regard to jurisdictional claims in published maps and institutional affiliations. |
© 2022 by the authors. Licensee MDPI, Basel, Switzerland. This article is an open access article distributed under the terms and conditions of the Creative Commons Attribution (CC BY) license (https://creativecommons.org/licenses/by/4.0/).
Share and Cite
Rashdan, H.R.M.; Abdelrahman, M.T.; Shehadi, I.A.; El-Tanany, S.S.; Hemdan, B.A. Novel Thiadiazole-Based Molecules as Promising Inhibitors of Black Fungi and Pathogenic Bacteria: In Vitro Antimicrobial Evaluation and Molecular Docking Studies. Molecules 2022, 27, 3613. https://doi.org/10.3390/molecules27113613
Rashdan HRM, Abdelrahman MT, Shehadi IA, El-Tanany SS, Hemdan BA. Novel Thiadiazole-Based Molecules as Promising Inhibitors of Black Fungi and Pathogenic Bacteria: In Vitro Antimicrobial Evaluation and Molecular Docking Studies. Molecules. 2022; 27(11):3613. https://doi.org/10.3390/molecules27113613
Chicago/Turabian StyleRashdan, Huda R. M., Mohamad T. Abdelrahman, Ihsan A. Shehadi, Sara S. El-Tanany, and Bahaa A. Hemdan. 2022. "Novel Thiadiazole-Based Molecules as Promising Inhibitors of Black Fungi and Pathogenic Bacteria: In Vitro Antimicrobial Evaluation and Molecular Docking Studies" Molecules 27, no. 11: 3613. https://doi.org/10.3390/molecules27113613
APA StyleRashdan, H. R. M., Abdelrahman, M. T., Shehadi, I. A., El-Tanany, S. S., & Hemdan, B. A. (2022). Novel Thiadiazole-Based Molecules as Promising Inhibitors of Black Fungi and Pathogenic Bacteria: In Vitro Antimicrobial Evaluation and Molecular Docking Studies. Molecules, 27(11), 3613. https://doi.org/10.3390/molecules27113613

