Effect of Microwave Irradiation on Acid Hydrolysis of Faba Bean Starch: Physicochemical Changes of the Starch Granules
Abstract
:1. Introduction
2. Results and Discussion
2.1. Starch Isolation
2.2. Characterization of Native and Hydrolyzed Faba Bean Starches
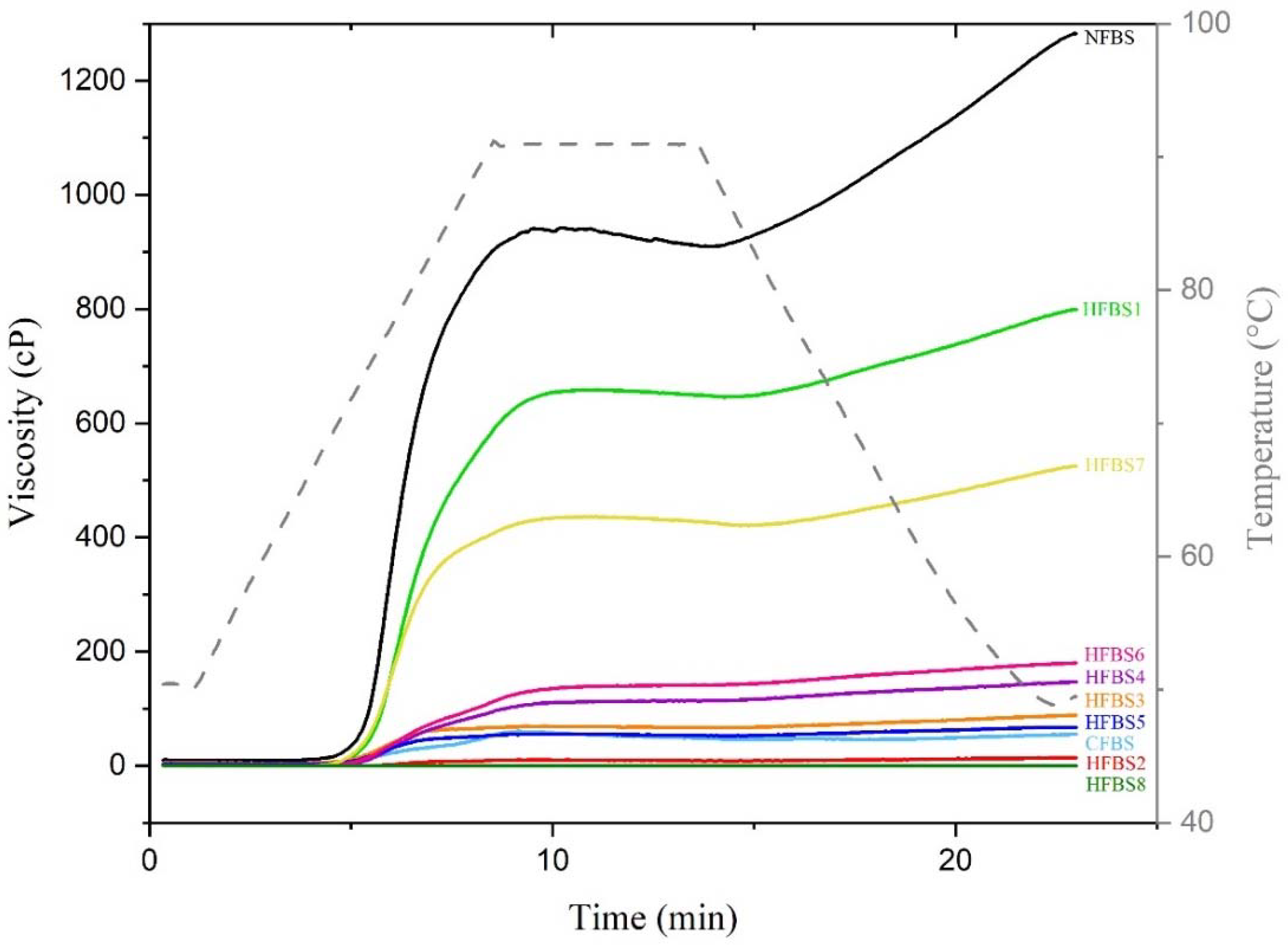
2.3. Determination of Pasting Properties
2.4. Thermal Properties by Differential Scanning Calorimetry (DSC)
2.5. X-ray Diffraction
2.6. Fourier Transform-Infrared Spectroscopy
2.7. Morphology of Starch Granules
3. Materials and Methods
3.1. Materials
3.2. Starch Isolation
3.3. Starch Hydrolysis
3.3.1. Conventional Acid Hydrolysis
3.3.2. Starch Acid Hydrolysis by Microwave Treatment
3.4. Characterization of Starches
3.5. Determination of Viscosity Properties (RVA)
3.6. Thermal Properties by Differential Scanning Calorimetry
3.7. X-ray Diffraction
3.8. Fourier Transform-Infrared Spectroscopy
3.9. Scanning Electron Microscopy
3.10. Statistical Analysis
4. Conclusions
Author Contributions
Funding
Institutional Review Board Statement
Informed Consent Statement
Data Availability Statement
Acknowledgments
Conflicts of Interest
Sample Availability
References
- Piecyk, M.; Domian, K. Effects of heat–moisture treatment conditions on the physicochemical properties and digestibility of field bean starch (Vicia faba var. minor). Int. J. Biol. Macromol. 2021, 182, 425–433. [Google Scholar] [CrossRef] [PubMed]
- Dona, A.C.; Pages, G.; Gilbert, R.G.; Kuchel, P.W. Digestion of starch: In vivo and in vitro kinetic models used to characterize oligosaccharide or glucose release. Carbohydr. Polym. 2010, 80, 599–617. [Google Scholar] [CrossRef]
- Ambigaipalan, P.; Hoover, R.; Donner, E.; Liu, Q. Retrogradation characteristics of pulse starches. Int. Food Res. J. 2013, 54, 203–212. [Google Scholar] [CrossRef]
- Tharanathan, R.; Mahadevamma, S. Grain legumes—A boon to human nutrition. Trends Food Sci Technol. 2003, 14, 507–518. [Google Scholar] [CrossRef]
- Englyst, H.N.; Kingman, S.M.; Cummings, J.H. Classification and measurement of nutritionally important starch fractions. Eur. J. Clin. Nutr. 1992, 46, S33–S50. [Google Scholar]
- Lunn, J.; Buttriss, J.L. Carbohydrates and dietary fibre. Nutr. Bull. 2007, 32, 21–64. [Google Scholar] [CrossRef]
- Sajilata, M.G.; Singhal, R.S.; Kulkarni, P.R. Resistant starch—A review. Compr. Rev. Food Sci. Food Saf. 2006, 5, 1–17. [Google Scholar] [CrossRef]
- Suárez-Diéguez, T.; Pérez-Moreno, F.; Ariza-Ortega, J.A.; López-Rodríguez, G.; Nieto, J.A. Obtention and characterization of resistant starch from creole faba bean (Vicia faba L. creole) as a promising functional ingredient. LWT-Food Sci. Technol. 2021, 145, 111247. [Google Scholar] [CrossRef]
- Cai, J.; Cai, C.; Man, J.; Zhou, W.; Wei, C. Structural and functional properties of C-type starches. Carbohydr. Polym. 2014, 101, 289–300. [Google Scholar] [CrossRef]
- Wang, S.; Copeland, L. Effect of acid hydrolysis on starch structure and functionality: A review. Crit. Rev. Food Sci. Nutr. 2015, 55, 1081–1097. [Google Scholar] [CrossRef]
- Muhammad, Z.; Ramzan, R.; Zhang, R.; Zhang, M. Resistant starch-based edible coating composites for spray-dried microencapsulation of Lactobacillus acidophilus, comparative assessment of thermal protection, in vitro digestion and physicochemical characteristics. Coatings 2021, 11, 587. [Google Scholar] [CrossRef]
- Ashwar, B.A.; Gani, A.; Gani, A.; Shah, A.; Masoodi, F.A. Production of RS4 from rice starch and its utilization as an encapsulating agent for targeted delivery of probiotics. Food Chem. 2018, 239, 287–294. [Google Scholar] [CrossRef] [PubMed]
- Lu, K.; Zhu, J.; Bao, X.; Liu, H.; Yu, L.; Chen, L. Effect of starch microstructure on microwave-assisted esterification. Int. J. Biol. Macromol. 2020, 164, 2550–2557. [Google Scholar] [CrossRef] [PubMed]
- Kumar, Y.; Singh, L.; Sharanagat, V.S.; Patel, A.; Kumar, K. Effect of microwave treatment (low power and varying time) on potato starch: Microstructure, thermo-functional, pasting and rheological properties. Int. J. Biol. Macromol. 2020, 155, 27–35. [Google Scholar] [CrossRef] [PubMed]
- Li, Y.; Hu, A.; Wang, X.; Zheng, J. Physicochemical and in vitro digestion of millet starch: Effect of moisture content in microwave. Int. J. Biol. Macromol. 2019, 134, 308–315. [Google Scholar] [CrossRef] [PubMed]
- Lin, D.; Zhou, W.; He, Q.; Xing, B.; Wu, Z.; Chen, H.; Wu, D.; Zhang, Q.; Qin, W. Study on preparation and physicochemical properties of hydroxypropylated starch with different degree of substitution under microwave assistance. Int. J. Biol. Macromol. 2018, 125, 290–299. [Google Scholar] [CrossRef] [PubMed]
- Yang, Q.; Qi, L.; Luo, Z.; Kong, X.; Xiao, Z.; Wang, P.; Peng, X. Effect of microwave irradiation on internal molecular structure and physical properties of waxy maize starch. Food Hydrocoll. 2017, 69, 473–482. [Google Scholar] [CrossRef]
- Zhong, Y.; Liang, W.; Pu, H.; Blennow, A.; Liu, X.; Guo, D. Short-time microwave treatment affects the multi-scale structure and digestive properties of high-amylose maize starch. Int. J. Biol. Macromol. 2019, 137, 870–877. [Google Scholar] [CrossRef]
- Xie, Y.; Yan, M.; Yuan, S.; Sun, S.; Huo, Q. Effect of microwave treatment on the physicochemical properties of potato starch granules. Chem. Cent. J. 2013, 7, 113. [Google Scholar] [CrossRef] [Green Version]
- Zhu, J.; Li, L.; Zhang, S.; Li, X.; Zhang, B. Multi-scale structural changes of starch-based material during microwave and conventional heating. Int. J. Biol. Macromol. 2016, 92, 270–277. [Google Scholar] [CrossRef]
- Zeng, S.; Chen, B.; Zeng, H.; Guo, Z.; Lu, X.; Zhang, Y.; Zheng, B. Effect of microwave irradiation on the physicochemical and digestive properties of Lotus seed starch. J. Agric. Food Chem. 2016, 64, 2442–2449. [Google Scholar] [CrossRef] [PubMed]
- Yu, H.; Chen, S.; Suree, P.; Nuansri, R.; Wang, K. Effect of microwave irradiation on acid-catalyzed hydrolysis of starch. J. Org. Chem. 1996, 61, 9608–9609. [Google Scholar] [CrossRef]
- Warrand, J.; Janssen, H.-G. Controlled production of oligosaccharides from amylose by acid-hydrolysis under microwave treatment: Comparison with conventional heating. Carbohydr. Polym. 2007, 69, 353–362. [Google Scholar] [CrossRef]
- Sunarti, T.C.; Dwiko, M.; Derosya, V.; Meryandini, A. Effect of Microwave Treatment on Acid and Enzymes Susceptibilities of Sago Pith. Procedia Chem. 2012, 4, 301–307. [Google Scholar] [CrossRef] [Green Version]
- Ambigaipalan, P.; Hoover, R.; Donner, E.; Liu, Q.; Jaiswal, S.; Chibbar, R.; Nantanga, K.K.M.; Seetharaman, K. Structure of faba bean, black bean and pinto bean starches at different levels of granule organization and their physicochemical properties. Food Res. Int. 2011, 44, 2962–2974. [Google Scholar] [CrossRef]
- Zhang, Z.; Tian, X.; Wang, P.; Jiang, H.; Li, W. Compositional, morphological, and physicochemical properties of starches from red adzuki bean, chickpea, faba bean, and baiyue bean grown in China. Food Sci. Nutr. 2019, 7, 2485–2494. [Google Scholar] [CrossRef] [Green Version]
- Li, L.; Yuan, T.Z.; Setia, R.; Raja, R.B.; Zhang, B.; Ai, Y. Characteristics of pea, lentil and faba bean starches isolated from air-classified flours in comparison with commercial starches. Food Chem. 2019, 276, 599–607. [Google Scholar] [CrossRef]
- Hoover, R.; Hughes, T.; Chung, H.J.; Liu, Q. Composition, molecular structure, properties, and modification of pulse starches: A review. Int. Food Res. 2010, 43, 399–413. [Google Scholar] [CrossRef]
- Zailani, M.A.; Kamilah, H.; Husaini, A.; Awang Seruji, A.Z.R.; Sarbini, S.R. Functional and digestibility properties of sago (Metroxylon sagu) starch modified by microwave heat treatment. Food Hydrocoll. 2022, 122, 107042. [Google Scholar] [CrossRef]
- Atichokudomchai, N.; Shobsngob, S.; Varavinit, S. Morphological properties of acid-modified tapioca starch. Starch/Stärke 2000, 52, 283–289. [Google Scholar] [CrossRef]
- Amaya-Llano, S.L.; Martínez-Bustos, F.; Martínez Alegría, A.L.; de Jesús Zazueta-Morales, J. Comparative studies on some physico-chemical, thermal, morphological, and pasting properties of acid-thinned jicama and maize starches. Food Bioprocess Technol. 2008, 4, 48–60. [Google Scholar] [CrossRef]
- Aaliya, B.; Sunooj, K.V.; John, N.E.; Navaf, M.; Akhila, P.P.; Sudheesh, C.; Sabu, S.; Sasidharan, A.; Mir, S.A.; George, J. Impact of microwave irradiation on chemically modified talipot starches: A characterization study on heterogeneous dual modifications. Int. J. Biol. Macromol. 2022, 209, 1943–1955. [Google Scholar] [CrossRef] [PubMed]
- Cruz-Benítez, M.M.; Gómez-Aldapa, C.A.; Castro-Rosas, J.; Hernández-Hernández, E.; Gómez-Hernández, E.; Fonseca-Florido, H.A. Effect of amylose content and chemical modification of cassava starch on the microencapsulation of Lactobacillus pentosus. LWT-Food Sci. Technol. 2019, 105, 110–117. [Google Scholar] [CrossRef]
- González, Z.; Pérez, E. Evaluation of lentil starches modified by microwave irradiation and extrusion cooking. Food Res. Int. 2002, 35, 415–420. [Google Scholar] [CrossRef]
- Deka, D.; Sit, N. Dual modification of taro starch by microwave and other heat moisture treatments. Int. J. Biol. Macromol. 2016, 92, 416–422. [Google Scholar] [CrossRef]
- Espinosa-Solis, V.; Sanchez-Ambriz, S.L.; Hamaker, B.R.; Bello-Pérez, L.A. Fine structural characteristics related to digestion properties of acid-treated fruit starches. Starch/Stärke 2011, 63, 717–727. [Google Scholar] [CrossRef]
- Wang, M.; Sun, M.; Zhang, Y.; Chen, Y.; Wu, Y.; Ouyang, J. Effect of microwave irradiation-retrogradation treatment on the digestive and physicochemical properties of starches with different crystallinity. Food Chem. 2019, 298, 125015. [Google Scholar] [CrossRef]
- Li, D.; Yang, N.; Zhou, X.; Jin, Y.; Guo, L.; Xie, Z.; Jin, Z.; Xu, X. Characterization of acid hydrolysis of granular potato starch under induced electric field. Food Hydrocoll. 2017, 71, 198–206. [Google Scholar] [CrossRef]
- Luo, Z.; He, X.; Fu, X.; Luo, F.; Gao, Q. Effect of microwave radiation on the physicochemical properties of normal maize, waxy maize and amylomaize V starches. Starch/Stärke 2006, 58, 468–474. [Google Scholar] [CrossRef]
- Márquez-Gómez, M.; Galicia-García, T.; Márquez-Meléndez, R.; Ruiz-Gutiérrez, M.; Quintero-Ramos, A. Spray-dried microencapsulation of orange essential oil using modified rice starch as wall material. J. Food Process. Preserv. 2017, 42, e13428. [Google Scholar] [CrossRef]
- Anderson, A.K.; Guraya, H.S. Effects of microwave heat-moisture treatment on properties of waxy and non-waxy rice starches. Food Chem. 2006, 97, 318–323. [Google Scholar] [CrossRef]
- Hoyos-Leyva, J.D.; Bello-Pérez, L.A.; Alvarez-Ramirez, J.; Garcia, H.S. Microencapsulation using starch as wall material: A review. Food Rev. Int. 2017, 34, 148–161. [Google Scholar] [CrossRef]
- Atichokudomchai, N.; Varavinit, S. Characterization and utilization of acid-modified cross-linked tapioca starch in pharmaceutical tablets. Carbohydr. Polym. 2003, 53, 263–270. [Google Scholar] [CrossRef]
- Tao, Y.; Yan, B.; Fan, D.; Zhang, N.; Ma, S.; Wang, L.; Wu, Y.; Wang, M.; Zhao, J.; Zhang, H. Structural changes of starch subjected to microwave heating: A review from the perspective of dielectric properties. Trends Food Sci Technol. 2020, 99, 593–607. [Google Scholar] [CrossRef]
- Wang, S.; Yu, J.; Zhu, Q.; Yu, J.; Jin, F. Granular structure and allomorph position in C-type Chinese yam starch granule revealed by SEM, 13C CP/MAS NMR and XRD. Food Hydrocoll. 2019, 23, 426–433. [Google Scholar] [CrossRef]
- Polesi, L.F.; Sarmento, S.B.S. Structural and physicochemical characterization of RS prepared using hydrolysis and heat treatments of chickpea starch. Starch/Stärke 2011, 63, 226–235. [Google Scholar] [CrossRef]
- Hoover, R.; Ratnayake, W.S. Starch characteristics of black bean, chick pea, lentil, navy bean and pinto bean cultivars grown in Canada. Food Chem. 2002, 78, 489–498. [Google Scholar] [CrossRef]
- Xie, Y.-Y.; Hu, X.-P.; Jin, Z.-Y.; Xu, X.-M.; Chen, H.-Q. Effect of temperature-cycled retrogradation on in vitro digestibility and structural characteristics of waxy potato starch. Int. J. Biol. Macromol. 2014, 67, 79–84. [Google Scholar] [CrossRef]
- Simsek, S.; Ovando-Martinez, M.; Marefati, A.; Sjöö, M.; Rayner, M. Chemical composition, digestibility and emulsification properties of octenyl succinic esters of various starches. Food Res. Int. 2015, 75, 41–49. [Google Scholar] [CrossRef]
- AOAC. Official Methods of Analysis of the Association of Official Analytical Chemists, 15th ed.; AOAC: Rockville, MD, USA, 1990. [Google Scholar]
- Murúa-Pagola, B.; Beristain-Guevara, C.I.; Martínez-Bustos, F. Preparation of starch derivatives using reactive extrusion and evaluation of modified starches as shell materials for encapsulation of flavoring agents by spray drying. J. Food Eng. 2009, 91, 380–386. [Google Scholar] [CrossRef]
- Anderson, R.; Conway, H.; Pfeifer, V.; Griffin, E. Gelatinization of corn grits by roll and extrusion cooking. J. Cereal Sci. 1970, 14, 4–7. [Google Scholar] [CrossRef]
- Miller, G.L. Use of dinitrosalicylic acid reagent for determination of reducing sugar. Anal. Chem. 1959, 31, 426–428. [Google Scholar] [CrossRef]
- AACC. Methods of the AACC, 3rd ed.; American Association of Cereal Chemists, Academic Press Inc.: Cambridge, MA, USA, 1999. [Google Scholar]





| Sample | Amylose, g/100 g | RS, g/100 g | Water Solubility Index, % | Water Absorption Index, % | Reducing Sugars, g/L |
|---|---|---|---|---|---|
| NFBS | 38.3 ± 2.63 b | 12.8 ± 0.57 a | 1.9 ± 0.36 f | 2.5 ± 0.22 d | 0.03 ± 0.020 e |
| CFBS | 34.6 ± 0.68 bc | 10.6 ± 1.21 ab | 2.1 ± 0.09 f | 2.7 ± 0.05 cd | 0.09 ± 0.010 de |
| HFBS1 | 22.8 ± 3.04 f | 11.8 ± 0.40 a | 2.5 ± 0.13 ef | 2.8 ± 0.16 cd | 0.06 ± 0.025 e |
| HFBS2 | 31.1 ± 4.16 cd | 8.6 ± 0.17 bc | 8.3 ± 0.29 b | 3.6 ± 0.48 b | 0.58 ± 0.066 b |
| HFBS3 | 30.1 ± 1.99 cde | 7.5 ± 1.27 cd | 3.4 ± 0.75 def | 2.8 ± 0.13 cd | 0.33 ± 0.144 cd |
| HFBS4 | 27.3 ± 1.56 def | 7.4 ± 0.70 cd | 5.0 ± 0.52 cd | 3.4 ± 0.15 bc | 0.11 ± 0.031 de |
| HFBS5 | 31.4 ± 1.04 cd | 8.7 ± 0.40 bc | 4.1 ± 0.82 cde | 2.7 ± 0.13 cd | 0.23 ± 0.060 de |
| HFBS6 | 25.5 ± 0.70 def | 6.1 ± 0.06 de | 5.5 ± 0.58 c | 3.5 ± 0.37 b | 0.52 ± 0.113 bc |
| HFBS7 | 24.5 ± 1.66 ef | 11.0 ± 1.44 a | 3.0 ± 0.98 ef | 2.8 ± 0.17 cd | 0.13 ± 0.020 de |
| HFBS8 | 82.0 ± 2.05 a | 4.7 ± 0.31 e | 49.5 ± 0.93 a | 4.3 ± 0.18 a | 4.73 ± 0.147 a |
| Sample | Tps (°C) | ηpk (cP) | Δηbd (cP) | Δηsb (cP) | ηf (cP) |
|---|---|---|---|---|---|
| NFBS | 72.5 ± 0.69 ab | 975.7 ± 24.58 a | 35.3 ± 5.51 a | 401.0 ± 15.62 a | 1341.3 ± 44.24 a |
| CFBS | 70.2 ± 2.84 b | 53.3 ± 40.72 ef | 8.7 ± 10.01 b | 7.7 ± 1.53 de | 52.3 ± 32.01 fg |
| HFBS1 | 70.8 ± 1.27 b | 655.3 ± 30.55 b | 6.3 ± 5.77 b | 149.3 ± 15.04 b | 798.3 ± 17.79 b |
| HFBS2 | 75.1 ± 0.37 a | 11.3 ± 8.08 f | 2.0 ± 1.73 b | 4.7 ± 1.15 de | 14.0 ± 9.64 fg |
| HFBS3 | 69.8 ± 2.34 b | 68.3 ± 11.02 def | 1.7 ± 1.15 b | 21.7 ± 7.02 de | 88.3 ± 17.93 def |
| HFBS4 | 70.7 ± 1.61 b | 112.0 ± 27.78 de | 1.0 ± 0.05 b | 35.7 ± 3.06 d | 146.7 ± 38.55 de |
| HFBS5 | 70.6 ± 1.07 b | 54.0 ± 13.23 ef | 1.7 ± 1.15 b | 15.3 ± 10.78 de | 67.7 ± 16.07 efg |
| HFBS6 | 70.2 ± 0.43 b | 143.3 ± 49.89 d | 2.3 ± 1.53 b | 31.0 ± 10.53 de | 172.0 ± 41.62 d |
| HFBS7 | 68.9 ± 1.22 b | 446.3 ± 19.55 c | 11.7 ± 6.66 b | 102.7 ± 23.69 c | 537.3 ± 41.48 c |
| HFBS8 | 0.0 ± 0.00 c | 0.0 ± 0.00 f | 0.0 ± 0.00 b | 0.0 ± 0.00 e | 0.0 ± 0.00 g |
| Sample | To (°C) | Tp (°C) | Tf (°C) | ΔH (J/g) |
|---|---|---|---|---|
| NFBS | 62.5 ± 2.14 b | 68.0 ± 0.48 c | 73.8 ± 0.78 c | 10.9 ± 0.75 a |
| CFBS | 64.1 ± 0.17 b | 71.5 ± 0.45 b | 80.0 ± 0.19 b | 12.3 ± 0.77 a |
| HFBS2 | 74.1 ± 1.12 a | 79.4 ± 1.86 a | 86.1 ± 0.95 a | 2.6 ± 1.28 b |
| HFBS5 | 63.3 ± 0.07 b | 71.1 ± 0.11 bc | 80.4 ± 0.28 b | 11.0 ± 0.77 a |
| HFBS8 | 65.4 ± 1.79 b | 70.7 ± 1.96 bc | 79.5 ± 0.54 b | 0.6 ± 0.11 b |
| Treatment Identification | Moisture, % (M) | Pure Hydrochloric Acid, mL/100 mL (A) | Time, s (T) | Power Level (P) |
|---|---|---|---|---|
| HFBS1 | 20 | 2 | 30 | 2 |
| HFBS2 | 40 | 2 | 30 | 6 |
| HFBS3 | 20 | 4 | 30 | 6 |
| HFBS4 | 40 | 4 | 30 | 2 |
| HFBS5 | 20 | 2 | 60 | 6 |
| HFBS6 | 40 | 2 | 60 | 2 |
| HFBS7 | 20 | 4 | 60 | 2 |
| HFBS8 | 40 | 4 | 60 | 6 |
Publisher’s Note: MDPI stays neutral with regard to jurisdictional claims in published maps and institutional affiliations. |
© 2022 by the authors. Licensee MDPI, Basel, Switzerland. This article is an open access article distributed under the terms and conditions of the Creative Commons Attribution (CC BY) license (https://creativecommons.org/licenses/by/4.0/).
Share and Cite
González-Mendoza, M.E.; Martínez-Bustos, F.; Castaño-Tostado, E.; Amaya-Llano, S.L. Effect of Microwave Irradiation on Acid Hydrolysis of Faba Bean Starch: Physicochemical Changes of the Starch Granules. Molecules 2022, 27, 3528. https://doi.org/10.3390/molecules27113528
González-Mendoza ME, Martínez-Bustos F, Castaño-Tostado E, Amaya-Llano SL. Effect of Microwave Irradiation on Acid Hydrolysis of Faba Bean Starch: Physicochemical Changes of the Starch Granules. Molecules. 2022; 27(11):3528. https://doi.org/10.3390/molecules27113528
Chicago/Turabian StyleGonzález-Mendoza, Mayra Esthela, Fernando Martínez-Bustos, Eduardo Castaño-Tostado, and Silvia Lorena Amaya-Llano. 2022. "Effect of Microwave Irradiation on Acid Hydrolysis of Faba Bean Starch: Physicochemical Changes of the Starch Granules" Molecules 27, no. 11: 3528. https://doi.org/10.3390/molecules27113528
APA StyleGonzález-Mendoza, M. E., Martínez-Bustos, F., Castaño-Tostado, E., & Amaya-Llano, S. L. (2022). Effect of Microwave Irradiation on Acid Hydrolysis of Faba Bean Starch: Physicochemical Changes of the Starch Granules. Molecules, 27(11), 3528. https://doi.org/10.3390/molecules27113528

