Development of a Ladder-Shape Melting Temperature Isothermal Amplification (LMTIA) Assay for the Identification of Cassava Component in Sweet Potato Starch Noodles
Abstract
:1. Introduction
2. Results
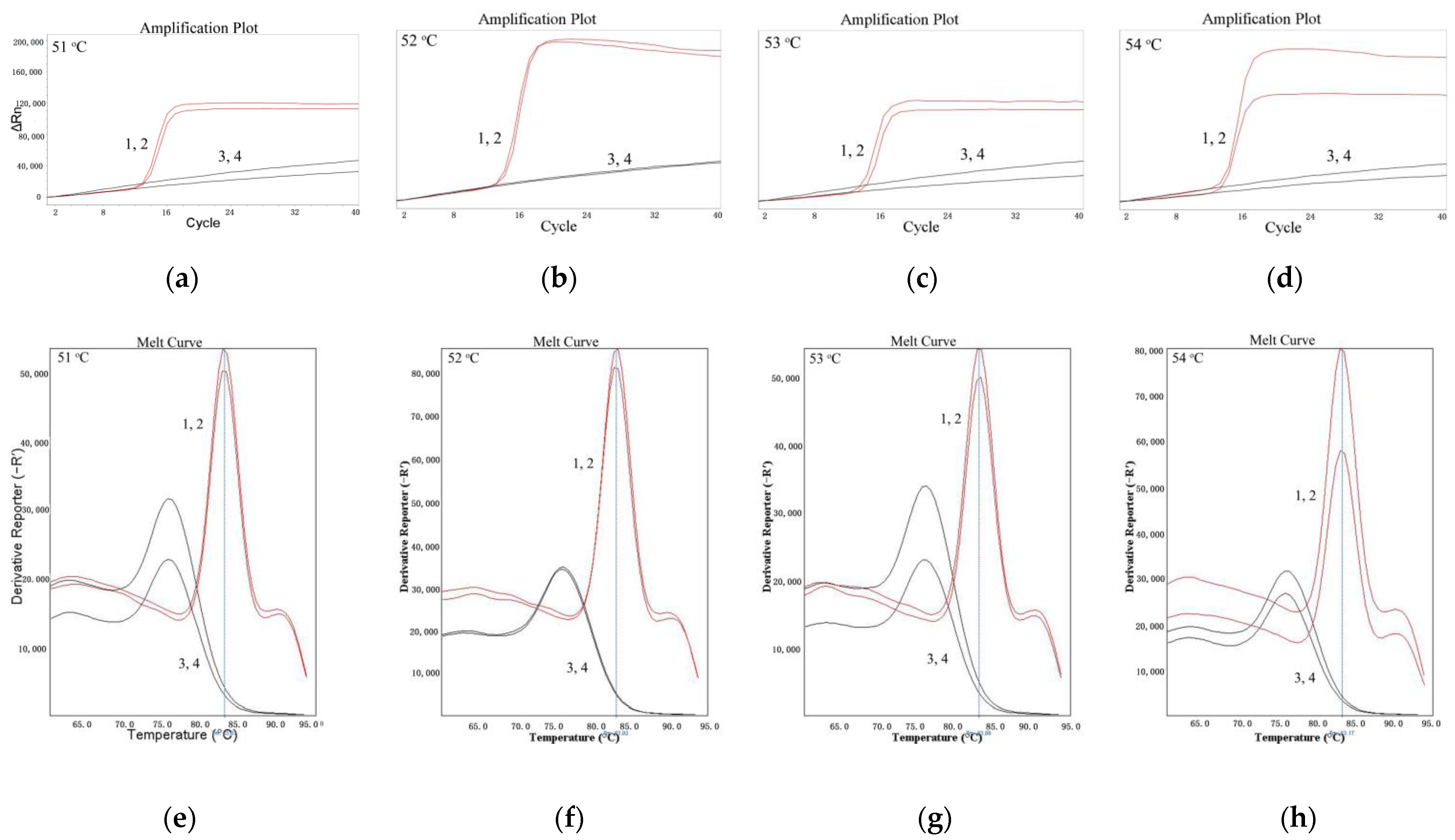
2.1. Optimization of the LMTIA Reaction Temperature
2.2. Specificity Determination of the LMTIA Assay
2.3. Sensitivity Determination of the LMTIA Assay
2.4. Suitability Determination of the LMTIA Assay
2.5. Cassava Component Detection in Sweet Potato Starch Noodles
3. Discussion
4. Materials and Methods
4.1. Selection of the Target Sequences for LMTIA Primer Design
4.2. Primer Design for LMTIA Assay
4.3. Genomic DNA Extraction
4.4. Optimization of the LMTIA Reaction Temperature
4.5. Specificity Determination of the LMTIA Assay
4.6. Sensitivity Determination of the LMTIA Assay
4.7. Suitability Determination of the LMTIA Assay
4.8. Cassava Component Detection in Sweet Potato Starch Noodles
5. Conclusions
Author Contributions
Funding
Institutional Review Board Statement
Informed Consent Statement
Data Availability Statement
Conflicts of Interest
Sample Availability
References
- Wu, Z.; Wang, Z.; Zhang, K. Isolation and functional characterization of a glucose–6–phosphate/phosphate translocator (IbG6PPT1) from sweet potato (Ipomoea batatas (L.) Lam.). BMC Plant Biol. 2021, 21, 595. [Google Scholar] [CrossRef] [PubMed]
- Han, J.; Seo, T.; Lim, S.; Dong, J. Utilization of rice starch with gums in Asian starch noodle preparation as substitute for sweet potato starch. Food Sci. Biotechnol. 2011, 20, 1173–1178. [Google Scholar] [CrossRef]
- Wang, D.; Wang, Y.; Zhu, K.; Shi, L.; Zhang, M.; Yu, J.; Liu, Y. Detection of Cassava Component in Sweet Potato Noodles by Real–Time Loop–mediated Isothermal Amplification (Real–time LAMP) Method. Molecules 2019, 24, 2043. [Google Scholar] [CrossRef] [PubMed] [Green Version]
- Liu, J.; Wen, Y.; Dong, N.; Lai, C.; Zhao, G. Authentication of lotus root powder adulterated with potato starch and or sweet potato starch using Fourier transform mid–infrared spectroscopy. Food Chem. 2013, 141, 3103–3109. [Google Scholar] [CrossRef] [PubMed]
- Xu, L.; Shi, P.; Ye, Z.; Yan, S.; Cai, C.; Zhong, W.; Yu, X. Rapid geographical origin analysis of pure West Lake lotus root powder (WL–LRP) by near –infrared spectroscopy combined with multivariate class modeling techniques. Food Res. Int. 2012, 49, 771–777. [Google Scholar] [CrossRef]
- Xu, L.; Shi, P.; Ye, Z.; Yan, S.; Yu, X. Rapid analysis of adulterations in Chinese lotus root powder (LRP) by near–infrared (NIR) spectroscopy coupled with chemometric class modeling techniques. Food Chem. 2013, 141, 2434–2439. [Google Scholar] [CrossRef] [PubMed]
- Cho, D.; Han, J.; Lim, S. Identification of botanical origin of starch by using peptide mass fingerprinting of granule bound starch synthase. J. Cereal. Sci. 2013, 57, 264–266. [Google Scholar] [CrossRef]
- Liu, J.; Li, J.; Chen, J.; Zhao, G. Discrimination of kudzu starch adulteration by fourier transform infrared spectroscopy. Food Sci. 2013, 8, 226–230. [Google Scholar]
- Castillo–Valdivia, M.; López–Montes, A.; Espejo, T.; Vílchez, J.; Blanc, R. Identification of starch and determination of its botanical source in ancient manuscripts by MEKC–DAD and LDA. Microchem. J. 2014, 112, 75–81. [Google Scholar] [CrossRef]
- Sushil, D.; Ashok, K.; Gidley, M. Relationship between granule size and in vitro digestibility of maize and potato starches. Carbohyd. Polym. 2010, 82, 480–488. [Google Scholar] [CrossRef]
- Sandberg, M.; Lundberg, L.; Ferm, M.; Yman, I. Real time PCR for the detection and discrimination of cereal contamination in gluten free foods. Eur. Food Res. Tech. 2003, 217, 344–349. [Google Scholar] [CrossRef]
- Sasikumar, B.; Syamkumar, S.; Remya, R.; Zachariah, T. PCR Based Detection of Adulteration in the Market Samples of Turmeric Powder. Food Biotechnol. 2005, 18, 299–306. [Google Scholar] [CrossRef]
- Parvathy, V.; Swetha, V.; Sheeja, T.; Sasikumar, B. Detection of plant–based adulterants in turmeric powder using DNA barcoding. Pharm. Biol. 2015, 53, 1774–1779. [Google Scholar] [CrossRef] [PubMed]
- Liu, E.; Lu, L.; Wei, S.; Guan, L.; Li, Z. Detection and Quantification of Cassava Components by Droplet Digital PCR. Food Sci. Technol. 2020, 45, 279–283. (In Chinese) [Google Scholar]
- Han, J.; Chen, Y.; Wu, Y.; Wang, B.; Deng, T. Identification of Botanical Origin of Edible Starch by Real–time PCR. J. Chin. Inst. Food Sci. Technol. 2019, 19, 291–300. (In Chinese) [Google Scholar]
- Notomi, T.; Okayama, H.; Masubuchi, H.; Yonekawa, T.; Watanabe, K.; Amino, N.; Hase, T. Loop–mediated isothermal amplification of DNA. Nucleic Acids Res. 2000, 28, e63. [Google Scholar] [CrossRef] [Green Version]
- Mori, Y.; Kanda, H.; Notomi, T. Loop–mediated isothermal amplification (LAMP): Recent progress in research and development. J. Infect. Chemother. 2013, 19, 404–411. [Google Scholar] [CrossRef]
- Wong, Y.; Othman, S.; Lau, Y.; Radu, S.; Chee, H. Loop Mediated Isothermal Amplification (LAMP): A Versatile Technique for Detection of Microorganisms. J. Appl. Microbiol. 2017, 124, 626–643. [Google Scholar] [CrossRef] [Green Version]
- Zhen, Z.; Zhang, M.; Yu, Y.; Gao, X.; Zhu, Y.; Yan, Y.; Zhang, R. Establishment of a loop–mediated isothermal amplification (LAMP) detection method for genetically modified maize MON88017. Eur. Food Res. Technol. 2016, 242, 1787–1793. [Google Scholar] [CrossRef]
- Wang, D.; Wang, Y.; Zhang, M.; Zhang, Y.; Sun, J.; Song, C.; Xiao, F.; Ping, Y.; Pan, C.; Hu, Y.; et al. Ladder–shape melting temperature isothermal amplification. BioTechniques 2021, 71, 359–370. [Google Scholar] [CrossRef]
- Gallo, V.; Ragone, R.; Musio, B.; Todisco, S.; Rizzuti, A.; Mastrorilli, P.; Pontrelli, S.; Intini, N.; Scapicchio, P.; Triggiani, M.; et al. A Contribution to the harmonization of non–targeted NMR methods for data–driven food authenticity assessment. Food Anal. Methods 2020, 13, 530–541. [Google Scholar] [CrossRef]





| Primer | Sequence (5′–3′) |
|---|---|
| P (P2–tttt–P1) | TGTCCGAGGGTCTTTTTTCACGGCTATCGGTGGT |
| D (D2–tttt–D1) | GCCGTGGGCGAACTTTTGGTCCCGTTCGGCAGAC |
Publisher’s Note: MDPI stays neutral with regard to jurisdictional claims in published maps and institutional affiliations. |
© 2022 by the authors. Licensee MDPI, Basel, Switzerland. This article is an open access article distributed under the terms and conditions of the Creative Commons Attribution (CC BY) license (https://creativecommons.org/licenses/by/4.0/).
Share and Cite
Zhang, Y.; Wang, Y.; Ouyang, X.; Wang, D.; Xiao, F.; Sun, J. Development of a Ladder-Shape Melting Temperature Isothermal Amplification (LMTIA) Assay for the Identification of Cassava Component in Sweet Potato Starch Noodles. Molecules 2022, 27, 3414. https://doi.org/10.3390/molecules27113414
Zhang Y, Wang Y, Ouyang X, Wang D, Xiao F, Sun J. Development of a Ladder-Shape Melting Temperature Isothermal Amplification (LMTIA) Assay for the Identification of Cassava Component in Sweet Potato Starch Noodles. Molecules. 2022; 27(11):3414. https://doi.org/10.3390/molecules27113414
Chicago/Turabian StyleZhang, Yongqing, Yongzhen Wang, Xingmei Ouyang, Deguo Wang, Fugang Xiao, and Juntao Sun. 2022. "Development of a Ladder-Shape Melting Temperature Isothermal Amplification (LMTIA) Assay for the Identification of Cassava Component in Sweet Potato Starch Noodles" Molecules 27, no. 11: 3414. https://doi.org/10.3390/molecules27113414
APA StyleZhang, Y., Wang, Y., Ouyang, X., Wang, D., Xiao, F., & Sun, J. (2022). Development of a Ladder-Shape Melting Temperature Isothermal Amplification (LMTIA) Assay for the Identification of Cassava Component in Sweet Potato Starch Noodles. Molecules, 27(11), 3414. https://doi.org/10.3390/molecules27113414

