Non-Invasive Rheo-MRI Study of Egg Yolk-Stabilized Emulsions: Yield Stress Decay and Protein Release
Abstract
1. Introduction
2. Results
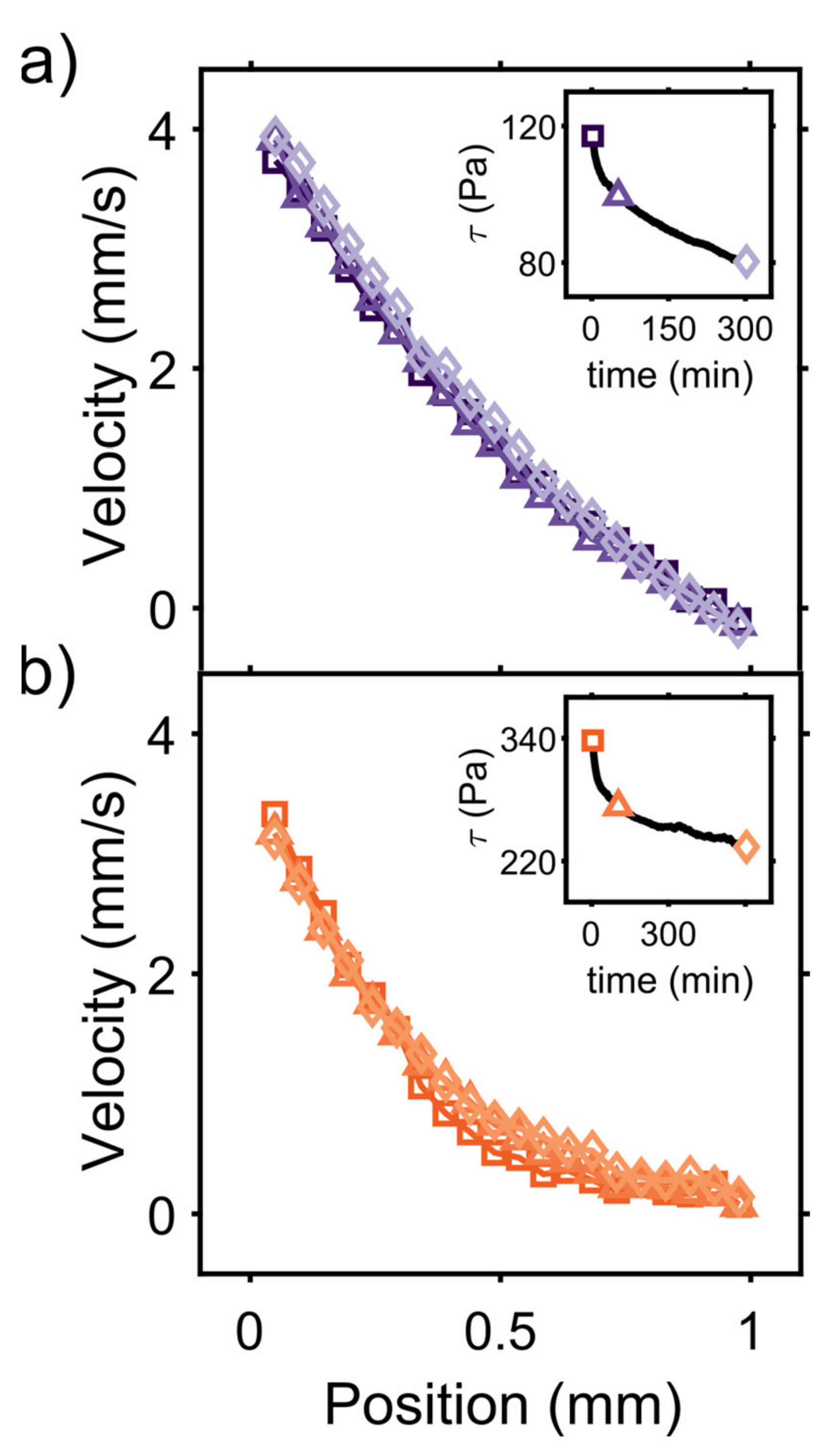
2.1. Impact of Shear on the Rheological Properties
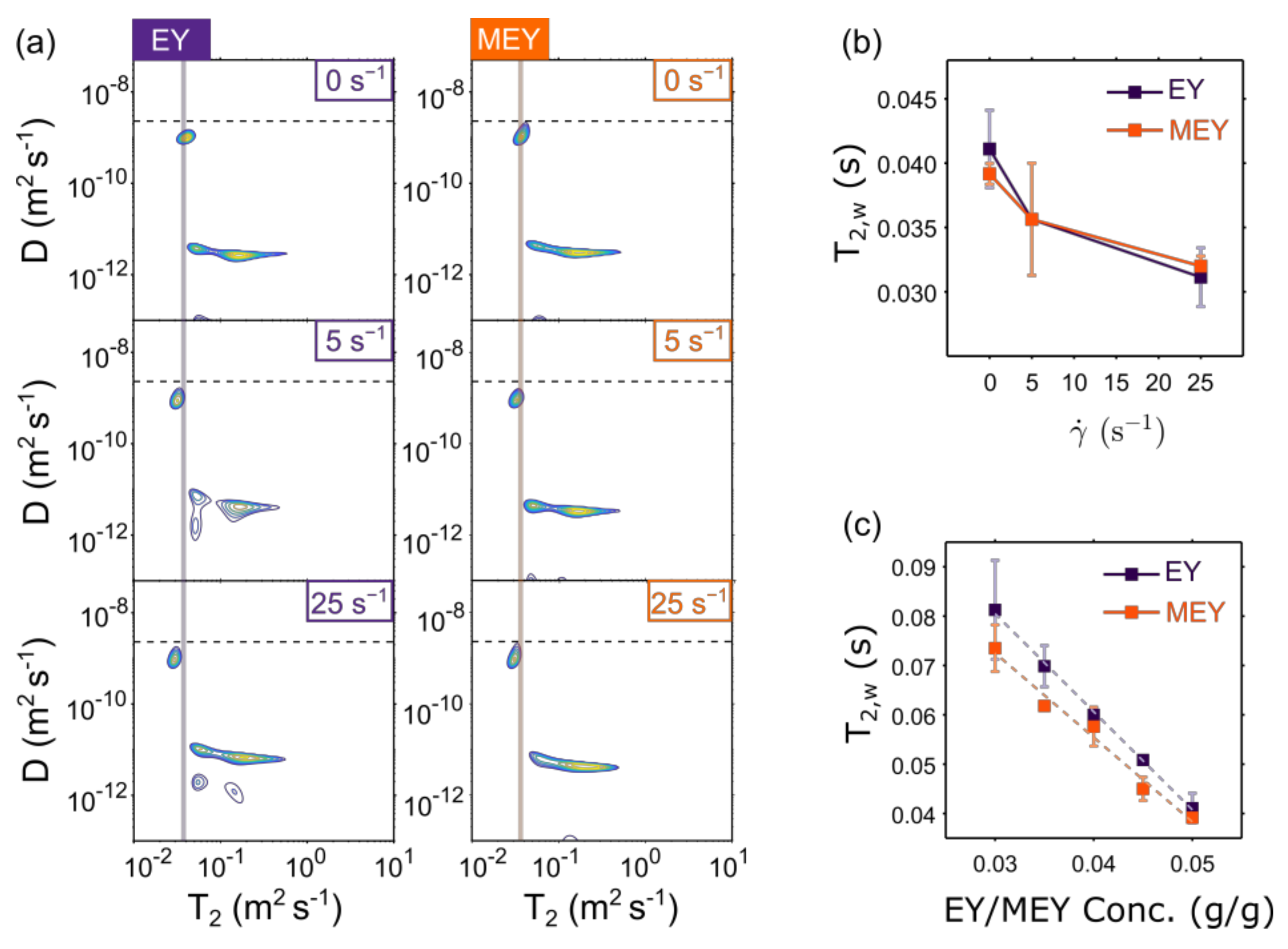
2.2. Effect of Constant Shear on Microstructure and Protein Distribution
3. Discussion
3.1. Impact of Enzymatic Treatment of Egg Yolk
3.2. Impact of Low Shear Treatment
4. Materials and Methods
4.1. Preparation of EY and MEY Emulsions
4.2. Rheo-MRI Measurements
4.3. Rheology Experiments
4.4. Confocal Microscopy
4.5. D-T2 Measurements
4.6. Droplet Size Measurements
5. Conclusions
Author Contributions
Funding
Institutional Review Board Statement
Informed Consent Statement
Data Availability Statement
Acknowledgments
Conflicts of Interest
Appendix A


References
- Wasan, D.; Nikolov, A.; Aimetti, F. Texture and stability of emulsions and suspensions: Role of oscillatory structural forces. Adv. Colloid Interface Sci. 2004, 108–109, 187–195. [Google Scholar] [CrossRef] [PubMed]
- Bibette, J.; Morse, D.C.; Witten, T.A.; Weitz, D.A. Stability criteria for emulsions. Phys. Rev. Lett. 1992, 69, 2439–2442. [Google Scholar] [CrossRef] [PubMed]
- Blesso, C.N. Egg Phospholipids and Cardiovascular Health. Nutrients 2015, 7, 2731–2747. [Google Scholar] [CrossRef] [PubMed]
- Daimer, K.; Kulozik, U. Impact of a thermal treatment at different pH on the adsorption behaviour of untreated and enzyme-modified egg yolk at the oil–water interface. Colloids Surf. B Biointerfaces 2010, 75, 19–24. [Google Scholar] [CrossRef] [PubMed]
- Anton, M. Egg yolk: Structures, functionalities and processes. J. Sci. Food Agric. 2013, 93, 2871–2880. [Google Scholar] [CrossRef]
- Fu, X.; Huang, X.; Jin, Y.; Zhang, S.; Ma, M. Characterization of enzymatically modified liquid egg yolk: Structural, interfacial and emulsifying properties. Food Hydrocoll. 2020, 105, 105763. [Google Scholar] [CrossRef]
- Gazolu-Rusanova, D.; Mustan, F.; Vinarov, Z.; Tcholakova, S.; Denkov, N.; Stoyanov, S.; de Folter, J.W. Role of lysophospholipids on the interfacial and liquid film properties of enzymatically modified egg yolk solutions. Food Hydrocoll. 2020, 99, 105319. [Google Scholar] [CrossRef]
- Tiu, C.; Boger, D.V. Complete Rheological Characterization of Time-Dependent Food Products. J. Texture Stud. 1974, 5, 329–338. [Google Scholar] [CrossRef]
- Figoni, P.I.; Shoemaker, C.F. Characterization of Time Dependent Flow Properties of Mayonnaise Under Steady Shear. J. Texture Stud. 1983, 14, 431–442. [Google Scholar] [CrossRef]
- Fong, C.M.; Turcotte, G.; De Kee, D. Modelling steady and transient rheological properties. J. Food Eng. 1996, 27, 63–70. [Google Scholar] [CrossRef]
- Goshawk, J.A.; Binding, D.M.; Kell, D.; Goodacre, R. Rheological phenomena occurring during the shearing flow of mayonnaise. J. Rheol. 1998, 42, 1537–1553. [Google Scholar] [CrossRef][Green Version]
- Katsaros, G.; Tsoukala, M.; Giannoglou, M.; Taoukis, P. Effect of storage on the rheological and viscoelastic properties of mayonnaise emulsions of different oil droplet size. Heliyon 2020, 6, e05788. [Google Scholar] [CrossRef] [PubMed]
- Abu-Jdayil, B. Modelling the time-dependent rheological behavior of semisolid foodstuffs. J. Food Eng. 2003, 57, 97–102. [Google Scholar] [CrossRef]
- Bécu, L.; Manneville, S.; Colin, A. Yielding and Flow in Adhesive and Nonadhesive Concentrated Emulsions. Phys. Rev. Lett. 2006, 96, 138302. [Google Scholar] [CrossRef] [PubMed]
- Bécu, L.; Grondin, P.; Colin, A.; Manneville, S. How does a concentrated emulsion flow?: Yielding, local rheology, and wall slip. Colloids Surf. A Physicochem. Eng. Asp. 2005, 263, 146–152. [Google Scholar] [CrossRef]
- Nikolaeva, T.; Vergeldt, F.J.; Serial, R.; Dijksman, J.A.; Venema, P.; Voda, A.; van Duynhoven, J.P.M.; Van As, H. High Field MicroMRI Velocimetric Measurement of Quantitative Local Flow Curves. Anal. Chem. 2020, 92, 4193–4200. [Google Scholar] [CrossRef]
- Voda, M.; van Duynhoven, J. Characterization of food emulsions by PFG NMR. Trends Food Sci. Technol. 2009, 20, 533–543. [Google Scholar] [CrossRef]
- Hürlimann, M.D.; Burcaw, L.; Song, Y. Quantitative characterization of food products by two-dimensional D– and –distribution functions in a static gradient. J. Colloid Interface Sci. 2006, 297, 303–311. [Google Scholar] [CrossRef]
- Laryea, E.; Schuhardt, N.; Guthausen, G.; Oerther, T.; Kind, M. Construction of a temperature controlled Rheo-NMR measuring cell—Influence of fluid dynamics on PMMA-polymerization kinetics. Microporous Mesoporous Mater. 2018, 269, 65–70. [Google Scholar] [CrossRef]
- Guthausen, G. Analysis of food and emulsions. TrAC Trends Anal. Chem. 2016, 83, 103–106. [Google Scholar] [CrossRef]
- Song, Y.-Q. A 2D NMR method to characterize granular structure of dairy products. Prog. Nucl. Magn. Reson. Spectrosc. 2009, 55, 324–334. [Google Scholar] [CrossRef]
- Singla, N.; Verma, P.; Ghoshal, G.; Basu, S. Steady state and time dependent rheological behaviour of mayonnaise (egg and eggless). Int. Food Res. J. 2013, 20, 2009–2016. [Google Scholar]
- Coussot, P. Progress in rheology and hydrodynamics allowed by NMR or MRI techniques. Exp. Fluids 2020, 61, 207. [Google Scholar] [CrossRef]
- Nikolaeva, T.; Adel, R.D.; Velichko, E.; Bouwman, W.G.; Hermida-Merino, D.; Van As, H.; Voda, A.; van Duynhoven, J. Networks of micronized fat crystals grown under static conditions. Food Funct. 2018, 9, 2102–2111. [Google Scholar] [CrossRef] [PubMed]
- Serial, M.R.; Nikolaeva, T.; Vergeldt, F.J.; Van Duynhoven, J.; Van As, H. Selective oil-phase rheo-MRI velocity profiles to monitor heterogeneous flow behavior of oil/water food emulsions. Org. Magn. Reson. 2018, 57, 766–770. [Google Scholar] [CrossRef]
- Denkov, N.D.; Tcholakova, S.; Golemanov, K.; Ananthapadmanabhan, K.P.; Lips, A. Viscous Friction in Foams and Concentrated Emulsions under Steady Shear. Phys. Rev. Lett. 2008, 100, 138301. [Google Scholar] [CrossRef] [PubMed]
- Denkov, N.D.; Tcholakova, S.; Golemanov, K.; Ananthpadmanabhan, K.P.; Lips, A. The role of surfactant type and bubble surface mobility in foam rheology. Soft Matter 2009, 5, 3389–3408. [Google Scholar] [CrossRef]
- Tcholakova, S.; Denkov, N.; Golemanov, K.; Ananthapadmanabhan, K.P.; Lips, A. Theoretical model of viscous friction inside steadily sheared foams and concentrated emulsions. Phys. Rev. E 2008, 78, 011405. [Google Scholar] [CrossRef]
- Kraynik, A.M. Foam flows. Annu. Rev. Fluid Mech. 1988, 20, 325–357. [Google Scholar] [CrossRef]
- Princen, H. Rheology of foams and highly concentrated emulsions. J. Colloid Interface Sci. 1983, 91, 160–175. [Google Scholar] [CrossRef]
- Princen, H. Rheology of foams and highly concentrated emulsions. II. Experimental study of the yield stress and wall effects for concentrated oil-in-water emulsions. J. Colloid Interface Sci. 1985, 105, 150–171. [Google Scholar] [CrossRef]
- Princen, H.; Kiss, A. Rheology of foams and highly concentrated emulsions: IV. An experimental study of the shear viscosity and yield stress of concentrated emulsions. J. Colloid Interface Sci. 1989, 128, 176–187. [Google Scholar] [CrossRef]
- Nguyen, Q.; Jensen, C.; Kristensen, P. Experimental and modelling studies of the flow properties of maize and waxy maize starch pastes. Chem. Eng. J. 1998, 70, 165–171. [Google Scholar] [CrossRef]
- Cao, V.D.; Salas-Bringas, C.; Schüller, R.B.; Szczotok, A.M.; Kjøniksen, A.-L. Time-dependent structural breakdown of microencapsulated phase change materials suspensions. J. Dispers. Sci. Technol. 2018, 40, 179–185. [Google Scholar] [CrossRef]
- Toorman, E.A. Modelling the thixotropic behaviour of dense cohesive sediment suspensions. Rheol. Acta 1997, 36, 56–65. [Google Scholar] [CrossRef]
- Goudappel, G.J.W.; van Duynhoven, J.; Mooren, M.M.W. Measurement of Oil Droplet Size Distributions in Food Oil/Water Emulsions by Time Domain Pulsed Field Gradient NMR. J. Colloid Interface Sci. 2001, 239, 535–542. [Google Scholar] [CrossRef]
- Cohen-Addad, S.; Höhler, R. Rheology of foams and highly concentrated emulsions. Curr. Opin. Colloid Interface Sci. 2014, 19, 536–548. [Google Scholar] [CrossRef]
- Ovarlez, G.; Rodts, S.; Ragouilliaux, A.; Coussot, P.; Goyon, J.; Colin, A. Wide-gap Couette flows of dense emulsions: Local concentration measurements, and comparison between macroscopic and local constitutive law measurements through magnetic resonance imaging. Phys. Rev. E 2008, 78, 036307. [Google Scholar] [CrossRef]
- Carr, H.Y.; Purcell, E.M. Effects of Diffusion on Free Precession in Nuclear Magnetic Resonance Experiments. Phys. Rev. 1954, 94, 630–638. [Google Scholar] [CrossRef]
- Meiboom, S.; Gill, D. Modified Spin-Echo Method for Measuring Nuclear Relaxation Times. Rev. Sci. Instrum. 1958, 29, 688–691. [Google Scholar] [CrossRef]
- Van Duynhoven, J.P.M.; Maillet, B.; Schell, J.; Tronquet, M.; Goudappel, G.W.; Trezza, E.; Bulbarello, A.; van Dusschoten, D. A rapid benchtop NMR method for determination of droplet size distributions in food emulsions. Eur. J. Lipid Sci. Technol. 2007, 109, 1095–1103. [Google Scholar] [CrossRef]
- Murday, J.S.; Cotts, R.M. Original mathematical solution for NMR data produced by identical spherical isolated droplets. J. Chem. Phys. 1968, 48, 4938–4945. [Google Scholar] [CrossRef]
- Packer, K.J.; Rees, C. Pulsed NMR Studies of Restricted Diffusion. I. Droplet Size Distributions in Emulsions. J. Colloid Interface Sci. 1972, 40, 206–218. [Google Scholar]





| EY | 0 * | - | - | - | - |
| 5 | 0.012 ± 0.001 | 80.1 ± 0.5 | 44 ± 1 | 1.82 ± 0.01 | |
| 25 | 0.06 ± 0.01 | 99 ± 2 | 27 ± 1 | 3.66 ± 0.01 | |
| MEY | 0 * | - | - | - | - |
| 5 | 0.11 ± 0.01 | 271 ± 2 | 182 ± 1 | 1.49 ± 0.01 | |
| 25 | 0.04 ± 0.01 | 291 ± 4 | 134 ± 7 | 2.17 ± 0.03 |
| D3,3/D3,3(0) | ||||
|---|---|---|---|---|
| EY | 0 * | 3.39 ± 0.01 | 0.20 ± 0.01 | - |
| 5 | 4.30 ± 0.01 | 0.40 ± 0.01 | 1.27 ± 0.01 | |
| 25 | 7.88 ± 0.02 | 0.763 ± 0.004 | 2.33 ± 0.01 | |
| MEY | 0 * | 3.84 ± 0.01 | 0.30 ± 0.01 | - |
| 5 | 4.30 ± 0.01 | 0.30 ± 0.01 | 1.12 ± 0.01 | |
| 25 | 4.85 ± 0.01 | 0.35 ± 0.01 | 1.26 ± 0.01 |
Publisher’s Note: MDPI stays neutral with regard to jurisdictional claims in published maps and institutional affiliations. |
© 2022 by the authors. Licensee MDPI, Basel, Switzerland. This article is an open access article distributed under the terms and conditions of the Creative Commons Attribution (CC BY) license (https://creativecommons.org/licenses/by/4.0/).
Share and Cite
Serial, M.R.; Arnaudov, L.N.; Stoyanov, S.; Dijksman, J.A.; Terenzi, C.; van Duynhoven, J.P.M. Non-Invasive Rheo-MRI Study of Egg Yolk-Stabilized Emulsions: Yield Stress Decay and Protein Release. Molecules 2022, 27, 3070. https://doi.org/10.3390/molecules27103070
Serial MR, Arnaudov LN, Stoyanov S, Dijksman JA, Terenzi C, van Duynhoven JPM. Non-Invasive Rheo-MRI Study of Egg Yolk-Stabilized Emulsions: Yield Stress Decay and Protein Release. Molecules. 2022; 27(10):3070. https://doi.org/10.3390/molecules27103070
Chicago/Turabian StyleSerial, Maria R., Luben N. Arnaudov, Simeon Stoyanov, Joshua A. Dijksman, Camilla Terenzi, and John P. M. van Duynhoven. 2022. "Non-Invasive Rheo-MRI Study of Egg Yolk-Stabilized Emulsions: Yield Stress Decay and Protein Release" Molecules 27, no. 10: 3070. https://doi.org/10.3390/molecules27103070
APA StyleSerial, M. R., Arnaudov, L. N., Stoyanov, S., Dijksman, J. A., Terenzi, C., & van Duynhoven, J. P. M. (2022). Non-Invasive Rheo-MRI Study of Egg Yolk-Stabilized Emulsions: Yield Stress Decay and Protein Release. Molecules, 27(10), 3070. https://doi.org/10.3390/molecules27103070

