Evolution of Physicochemical Parameters during the Thermal-Based Production of Água-mel, a Traditional Portuguese Honey-Related Food Product
Abstract
1. Introduction
2. Materials and Methods
2.1. Água-mel Sampling
2.2. Physicochemical Analyses
2.2.1. Refractive Index
2.2.2. Reducing Sugars
2.2.3. Determination of Individual Sugars
2.2.4. Color Analyses
2.2.5. Determination of Brown Pigments
2.2.6. Quantification of 5-Hydroxymethylfurfural
2.3. Calculation of Kinetic Parameters
2.4. Statistical Analysis
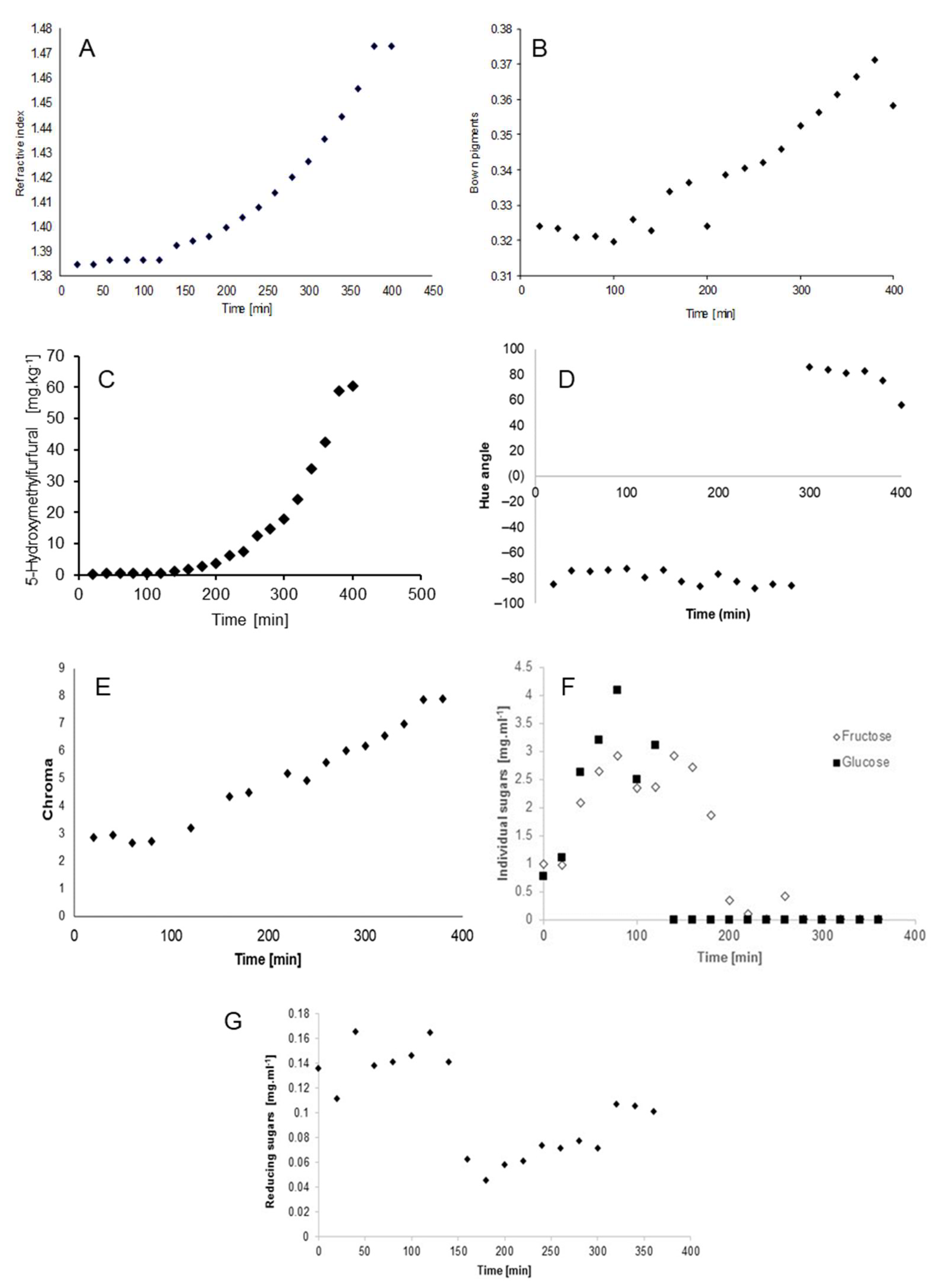
3. Results and Discussion
4. Conclusions
Author Contributions
Funding
Institutional Review Board Statement
Informed Consent Statement
Data Availability Statement
Conflicts of Interest
Sample Availability
References
- Figueira, A.C.; Cavaco, T. Changes in physical and chemical parameters of the traditional portuguese product agua-mel during the production process. J. Food Process. Preserv. 2012, 36, 285–290. [Google Scholar] [CrossRef]
- Miguel, M.G.; Aazza, S.; Antunes, M.D.; Faleiro, M.L. Changes in the chemical parameters during the production of água-mel from Portugal. CyTA J. Food 2018, 16, 972–979. [Google Scholar] [CrossRef]
- Miguel, M.G.; Aazza, S.; Antunes, M.D.; Faleiro, M.L.; Barroso, J.G.; Pedro, L.G.; Figueiredo, A.C. Mineral and volatile composition of agua-mel from Portugal. Eur. Food Res. Technol. 2016, 242, 171–178. [Google Scholar] [CrossRef][Green Version]
- Miguel, M.G.; Antunes, M.D.; Aazza, S.; Duarte, J.; Faleiro, M.L. Honey-based “agua-mel” chemical characterization and microbiological quality. Ital. J. Food Sci. 2013, 25, 275–282. [Google Scholar]
- Jerkovic, I.; Kasum, A.; Marijanovic, Z.; Tuberoso, C.I.G. Contribution to the characterisation of honey-based Sardinian product abbamele: Volatile aroma composition, honey marker compounds and antioxidant activity. Food Chem. 2011, 124, 401–410. [Google Scholar] [CrossRef]
- Spano, N.; Ciulu, M.; Floris, I.; Panzanelli, A.; Pilo, M.I.; Piu, P.C.; Sanna, G. Chemical characterization of a traditional honey-based Sardinian product: Abbamele. Food Chem. 2008, 108, 81–85. [Google Scholar] [CrossRef]
- Jing, H.; Kitts, D.D. Chemical characterization of different sugar-casein Maillard reaction products and protective effects on chemical-induced cytotoxicity of Caco-2 cells. Food Chem. Toxicol. 2004, 42, 1833–1844. [Google Scholar] [CrossRef] [PubMed]
- Bostan, A.; Boyacioglu, D. Kinetics of non-enzymatic colour development in glucose syrups during storage. Food Chem. 1997, 60, 581–585. [Google Scholar] [CrossRef]
- Turkmen, N.; Sari, F.; Poyrazoglu, E.S.; Velioglu, Y.S. Effects of prolonged heating on antioxidant activity and colour of honey. Food Chem. 2006, 95, 653–657. [Google Scholar] [CrossRef]
- Echavarria, A.P.; Pagan, J.; Ibarz, A. Melanoidins Formed by Maillard Reaction in Food and Their Biological Activity. Food Eng. Rev. 2012, 4, 203–223. [Google Scholar] [CrossRef]
- AOAC. Official Methods of Analyis; Association of Official Analytical Chemists: Washington, DC, USA, 2005. [Google Scholar]
- Saxena, S.; Gautam, S.; Sharma, A. Physical, biochemical and antioxidant properties of some Indian honeys. Food Chem. 2010, 118, 391–397. [Google Scholar] [CrossRef]
- Ferreira, I.C.F.R.; Aires, E.; Barreira, J.C.M.; Estevinho, L.M. Antioxidant activity of Portuguese honey samples: Different contributions of the entire honey and phenolic extract. Food Chem. 2009, 114, 1438–1443. [Google Scholar] [CrossRef]
- Oroian, M. Physicochemical and Rheological Properties of Romanian Honeys. Food Biophys. 2012, 7, 296–307. [Google Scholar] [CrossRef]
- Barreiro, J.A.; Milano, M.; Sandoval, A.J. Kinetics of colour change of double concentrated tomato paste during thermal treatment. J. Food Eng. 1997, 33, 359–371. [Google Scholar] [CrossRef]
- Zappala, A.; Fallico, B.; Arena, E.; Verzera, A. Methods for the determination of HMF in honey: A comparison. Food Control 2005, 16, 273–277. [Google Scholar] [CrossRef]
- Ibarz, A.; Pagan, J.; Garza, S. Kinetic models for colour changes in pear puree during heating at relatively high temperatures. J. Food Eng. 1999, 39, 415–422. [Google Scholar] [CrossRef]
- Martins, S.I.F.S.; Van Boekel, M.A.J.S. A kinetic model for the glucose/glycine Maillard reaction pathways. Food Chem. 2005, 90, 257–269. [Google Scholar] [CrossRef]
- Vaikousi, H.; Koutsoumanis, K.; Biliaderis, C.G. Kinetic modelling of non-enzymatic browning in honey and diluted honey systems subjected to isothermal and dynamic heating protocols. J. Food Eng. 2009, 95, 541–550. [Google Scholar] [CrossRef]
- Warmbier, H.C.; Schnickels, R.A.; Labuza, T.P. Nonenzymatic browning kinetics in an intermediate moisture model system—Effect of glucose to lysine ratio. J. Food Sci. 1976, 41, 981–983. [Google Scholar] [CrossRef]
- Laroque, D.; Inisan, C.; Berger, C.; Vouland, E.; Dufosse, L.; Guerard, F. Kinetic study on the Maillard reaction. Consideration of sugar reactivity. Food Chem. 2008, 111, 1032–1042. [Google Scholar] [CrossRef]
- Ajandouz, E.H.; Tchiakpe, L.S.; Dalle Ore, F.; Benajiba, A.; Puigserver, A. Effects of pH on caramelization and Maillard reaction kinetics in fructose-lysine model systems. J. Food Sci. 2001, 66, 926–931. [Google Scholar] [CrossRef]
- Yang, Z.; Han, Y.; Gu, Z.; Fan, G.; Chen, Z. Thermal degradation kinetics of aqueous anthocyanins and visual color of purple corn (Zea mays L.) cob. Innov. Food Sci. Emerg. Technol. 2008, 9, 341–347. [Google Scholar] [CrossRef]
- Lazaridou, A.; Biliaderis, C.G.; Bacandritsos, N.; Sabatini, A.G. Composition, thermal and rheological behaviour of selected Greek honeys. J. Food Eng. 2004, 64, 9–21. [Google Scholar] [CrossRef]
- Maskan, M. Production of pomegranate (Punica granatum L.) juice concentrate by various heating methods: Colour degradation and kinetics. J. Food Eng. 2006, 72, 218–224. [Google Scholar] [CrossRef]

| Zero-Order Kinetic Model | First-Order Kinetic Model | |||||
|---|---|---|---|---|---|---|
| K0 (min−1) | P0 | r | K1 (min−1) | P0 | r | |
| Refractive index (RI) | 1.655 | 0.8510 | 0.8975 | 0.1629 | 0.9517 | 0.9008 |
| Brown pigments (BP) | 0.0001 | 0.3115 | 0.8754 | 0.0004 | 0.3124 | 0.8791 |
| 5-hydroxymethylfurfural (HMF) | 0.1525 | −184.7 | 0.7321 | 0.0152 | 1.805 | 0.9855 |
| Chroma (C*) | 0.0149 | 1.895 | 0.9614 | 0.0032 | 2.409 | 0.9682 |
| Hue angle (H°) | 0.4784 | −133.6 | 0.5765 | |||
| Reducing sugars (RS) | −0.0002 | 0.1394 | 0.3190 | −0.0020 | 1.334 | 0.2486 |
| Fructose | −0.0074 | 25.29 | 0.4923 | 0.0210 | 92.72 | 0.7027 |
| Glucose | 0.0200 | 12.80 | 0.5416 | 0.0111 | 11.14 | 0.6167 |
Publisher’s Note: MDPI stays neutral with regard to jurisdictional claims in published maps and institutional affiliations. |
© 2021 by the authors. Licensee MDPI, Basel, Switzerland. This article is an open access article distributed under the terms and conditions of the Creative Commons Attribution (CC BY) license (https://creativecommons.org/licenses/by/4.0/).
Share and Cite
Cavaco, T.; Figueira, A.C.; González-Domínguez, R.; Sayago, A.; Fernández-Recamales, Á. Evolution of Physicochemical Parameters during the Thermal-Based Production of Água-mel, a Traditional Portuguese Honey-Related Food Product. Molecules 2022, 27, 57. https://doi.org/10.3390/molecules27010057
Cavaco T, Figueira AC, González-Domínguez R, Sayago A, Fernández-Recamales Á. Evolution of Physicochemical Parameters during the Thermal-Based Production of Água-mel, a Traditional Portuguese Honey-Related Food Product. Molecules. 2022; 27(1):57. https://doi.org/10.3390/molecules27010057
Chicago/Turabian StyleCavaco, Teresa, Ana Cristina Figueira, Raúl González-Domínguez, Ana Sayago, and Ángeles Fernández-Recamales. 2022. "Evolution of Physicochemical Parameters during the Thermal-Based Production of Água-mel, a Traditional Portuguese Honey-Related Food Product" Molecules 27, no. 1: 57. https://doi.org/10.3390/molecules27010057
APA StyleCavaco, T., Figueira, A. C., González-Domínguez, R., Sayago, A., & Fernández-Recamales, Á. (2022). Evolution of Physicochemical Parameters during the Thermal-Based Production of Água-mel, a Traditional Portuguese Honey-Related Food Product. Molecules, 27(1), 57. https://doi.org/10.3390/molecules27010057

