Computational Study of SARS-CoV-2 RNA Dependent RNA Polymerase Allosteric Site Inhibition
Abstract
:1. Introduction
2. Results and Discussion
2.1. Molecular Docking, Binding Energy and Interaction Analysis of Docked Flavonoids against SARS-CoV-2 NSP-12 RdRp-Enzyme’s Allosteric Site
2.1.1. Interaction Analysis of Naringoside
2.1.2. Interaction Analysis of Aureusidin 4,6-Diglucoside
2.1.3. Interaction of Myricetin
2.2. MD Simulation Analyses
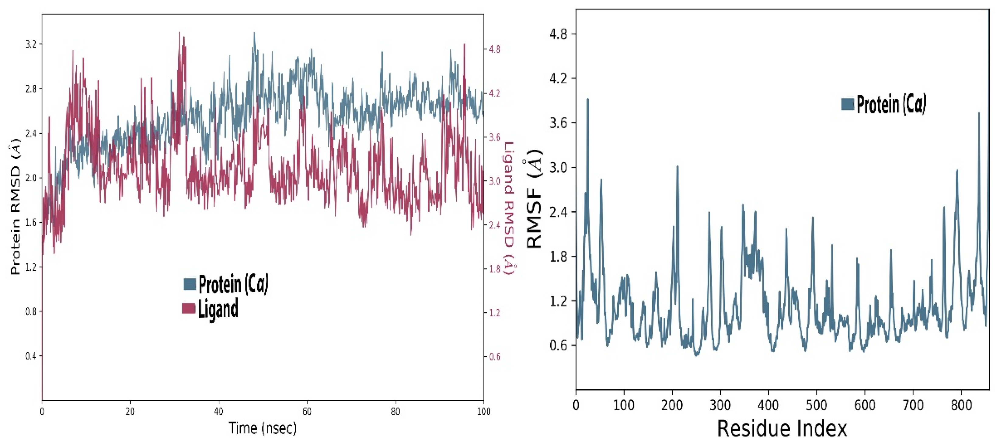
2.2.1. MD Simulations Stability Analysis of RdRp-Apo-Enzyme
2.2.2. Simulation of Aureusidin 4,6-Diglucoside and RdRp Complex
2.2.3. MD Simulations of Myricetin and RdRp Complex
2.2.4. MD Simulations of Naringoside in Complex with RdRp-Enzyme
2.3. In Silico Prediction of Absorption, Distribution, Metabolism and Excretion (ADME), and Toxicity Studies
3. Methodology
3.1. Selection of Target Protein and Prediction of Its Allosteric Site
3.2. Ligand Preparation
3.3. Molecular Docking
3.4. MD Simulation
3.5. ADME and Toxicity Prediction
4. Conclusions
Supplementary Materials
Author Contributions
Funding
Institutional Review Board Statement
Informed Consent Statement
Data Availability Statement
Conflicts of Interest
Sample Availability
References
- Chen, N.; Zhou, M.; Dong, X.; Qu, J.; Gong, F.; Han, Y.; Qiu, Y.; Wang, J.; Liu, Y.; Wei, Y.; et al. Epidemiological and clinical characteristics of 99 cases of 2019 novel coronavirus pneumonia in Wuhan, China: A descriptive study. Lancet 2020, 395, 507–513. [Google Scholar] [CrossRef] [Green Version]
- Koh, H.K.; Geller, A.C.; Vanderweele, T.J. Deaths from COVID-19. JAMA J. Am. Med. Assoc. 2021, 325, 133–134. [Google Scholar] [CrossRef] [PubMed]
- Badshah, S.L.; Ullah, A.; Syed Hilal Badshah, I.A. Spread of Novel Coronavirus by Returning Pilgrims from Iran to Pakistan. J. Travel Med. 2020, 38, taaa044. [Google Scholar] [CrossRef] [PubMed]
- Badshah, S.L.; Ullah, A. Spread of coronavirus disease-19 among devotees during religious congregations. Ann. Thorac. Med. 2020, 15, 105–106. [Google Scholar] [CrossRef]
- McCloskey, B.; Dar, O.; Zumla, A.; Heymann, D.L. Emerging infectious diseases and pandemic potential: Status quo and reducing risk of global spread. Lancet Infect. Dis. 2014, 14, 1001–1010. [Google Scholar] [CrossRef]
- Zhong, N.S.; Wong, G.W.K. Epidemiology of severe acute respiratory syndrome (SARS): Adults and children. Paediatr. Respir. Rev. 2004, 5, 270–274. [Google Scholar] [CrossRef]
- Zaki, A.M.; van Boheemen, S.; Bestebroer, T.M.; Osterhaus, A.D.M.E.; Fouchier, R.A.M. Isolation of a Novel Coronavirus from a Man with Pneumonia in Saudi Arabia. N. Engl. J. Med. 2012, 367, 1814–1820. [Google Scholar] [CrossRef]
- Donnelly, C.A.; Malik, M.R.; Elkholy, A.; Cauchemez, S.; Van Kerkhove, M.D. Worldwide reduction in MERS cases and deaths since 2016. Emerg. Infect. Dis. 2019, 25, 1758–1760. [Google Scholar] [CrossRef]
- Yaqoob, S.; Siddiqui, A.H.; Harsvardhan, R.; Ahmad, J.; Srivastava, V.K.; Verma, M.K.; Verma, P.; Singh, A.N. An overview of novel coronavirus SARS-CoV-2 spanning around the past, present and future perspectives. J. Pure Appl. Microbiol. 2020, 1, 775–788. [Google Scholar] [CrossRef]
- Gao, H.; Yao, H.; Yang, S.; Li, L. From SARS to MERS: Evidence and speculation. Front. Med. 2016, 10, 377–382. [Google Scholar] [CrossRef]
- Wu, F.; Zhao, S.; Yu, B.; Chen, Y.M.; Wang, W.; Song, Z.G.; Hu, Y.; Tao, Z.W.; Tian, J.H.; Pei, Y.Y.; et al. A new coronavirus associated with human respiratory disease in China. Nature 2020, 579, 265–269. [Google Scholar] [CrossRef] [Green Version]
- Althouse, B.M.; Wenger, E.A.; Miller, J.C.; Scarpino, S.V.; Allard, A.; Hebert-Dufresne, L.; Hu, H. Superspreading events in the transmission dynamics of SARS-CoV-2: Opportunities for interventions and control. PLoS Biol. 2020, 18, e3000897. [Google Scholar] [CrossRef] [PubMed]
- Kim, D.; Lee, J.Y.; Yang, J.S.; Kim, J.W.; Kim, V.N.; Chang, H. The Architecture of SARS-CoV-2 Transcriptome. Cell 2020, 181, 914–921. [Google Scholar] [CrossRef]
- Wang, Q.; Zhang, Y.; Wu, L.; Niu, S.; Song, C.; Zhang, Z.; Lu, G.; Qiao, C.; Hu, Y.; Yuen, K.Y.; et al. Structural and Functional Basis of SARS-CoV-2 Entry by Using Human ACE2. Cell 2020, 181, 894–904.e9. [Google Scholar] [CrossRef]
- Papageorgiou, A.C.; Mohsin, I. The SARS-CoV-2 Spike Glycoprotein as a Drug and Vaccine Target: Structural Insights into Its Complexes with ACE2 and Antibodies. Cells 2020, 9, 2343. [Google Scholar] [CrossRef]
- Naqvi, A.A.T.; Fatima, K.; Mohammad, T.; Fatima, U.; Singh, I.K.; Singh, A.; Atif, S.M.; Hariprasad, G.; Hasan, G.M.; Hassan, M.I. Insights into SARS-CoV-2 genome, structure, evolution, pathogenesis and therapies: Structural genomics approach. Biochim. Biophys. Acta Mol. Basis Dis. 2020, 1, 165878. [Google Scholar] [CrossRef]
- Snijder, E.J.; Decroly, E.; Ziebuhr, J. The Nonstructural Proteins Directing Coronavirus RNA Synthesis and Processing. In Advances in Virus Research; Elsevier: Amsterdam, The Netherlands, 2016. [Google Scholar]
- Subissi, L.; Posthuma, C.C.; Collet, A.; Zevenhoven-Dobbe, J.C.; Gorbalenya, A.E.; Decroly, E.; Snijder, E.J.; Canard, B.; Imbert, I. One severe acute respiratory syndrome coronavirus protein complex integrates processive RNA polymerase and exonuclease activities. Proc. Natl. Acad. Sci. USA 2014, 111, E3900–E3909. [Google Scholar] [CrossRef] [Green Version]
- Wang, M.; Cao, R.; Zhang, L.; Yang, X.; Liu, J.; Xu, M.; Shi, Z.; Hu, Z.; Zhong, W.; Xiao, G. Remdesivir and chloroquine effectively inhibit the recently emerged novel coronavirus (2019-nCoV) in vitro. Cell Res. 2020, 30, 269–271. [Google Scholar] [CrossRef] [PubMed]
- Matsuo, T. Viewing SARS-CoV-2 nucleocapsid protein in terms of molecular flexibility. Biology 2021, 10, 454. [Google Scholar] [CrossRef] [PubMed]
- Gao, Y.; Yan, L.; Huang, Y.; Liu, F.; Zhao, Y.; Cao, L.; Wang, T.; Sun, Q.; Ming, Z.; Zhang, L.; et al. Structure of the RNA-dependent RNA polymerase from COVID-19 virus. Science 2020, 368, 779–782. [Google Scholar] [CrossRef] [PubMed] [Green Version]
- Lehmann, K.C.; Gulyaeva, A.; Zevenhoven-Dobbe, J.C.; Janssen, G.M.C.; Ruben, M.; Overkleeft, H.S.; Van Veelen, P.A.; Samborskiy, D.V.; Kravchenko, A.A.; Leontovich, A.M.; et al. Discovery of an essential nucleotidylating activity associated with a newly delineated conserved domain in the RNA polymerase-containing protein of all nidoviruses. Nucleic Acids Res. 2015, 43, 8416–8434. [Google Scholar] [CrossRef] [Green Version]
- Mcdonald, S.M. RNA synthetic mechanisms employed by diverse families of RNA viruses. Wiley Interdiscip. Rev. RNA 2013, 4, 351–367. [Google Scholar] [CrossRef]
- Gong, P.; Peersen, O.B. Structural basis for active site closure by the poliovirus RNA-dependent RNA polymerase. Proc. Natl. Acad. Sci. USA 2010, 107, 22505–22510. [Google Scholar] [CrossRef] [Green Version]
- Nussinov, R.; Tsai, C.J. Allostery in disease and in drug discovery. Cell 2013. [Google Scholar] [CrossRef] [PubMed] [Green Version]
- Wang, B.; Svetlov, V.; Wolf, Y.I.; Koonin, E.V.; Nudler, E.; Artsimovitch, I. Allosteric activation of SARS-CoV-2 rna-dependent rna polymerase by remdesivir triphosphate and other phosphorylated nucleotides. mBio 2021, 12, e0142321. [Google Scholar] [CrossRef]
- Di Paola, L.; Hadi-Alijanvand, H.; Song, X.; Hu, G.; Giuliani, A. The discovery of a putative allosteric site in the SARS-CoV-2 spike protein using an integrated structural/dynamic approach. J. Proteome Res. 2020, 19, 4576–4586. [Google Scholar] [CrossRef] [PubMed]
- Srivastava, M.; Mittal, L.; Kumari, A.; Asthana, S. Molecular Dynamics Simulations Reveal the Interaction Fingerprint of Remdesivir Triphosphate Pivotal in Allosteric Regulation of SARS-CoV-2 RdRp. Front. Mol. Biosci. 2021, 8, 639614. [Google Scholar] [CrossRef]
- Tian, L.; Qiang, T.; Liang, C.; Ren, X.; Jia, M.; Zhang, J.; Li, J.; Wan, M.; YuWen, X.; Li, H.; et al. RNA-dependent RNA polymerase (RdRp) inhibitors: The current landscape and repurposing for the COVID-19 pandemic. Eur. J. Med. Chem. 2021, 213, 113201. [Google Scholar] [CrossRef] [PubMed]
- Choong, Y.S.; Lim, T.S.; Liu, H.; Jiang, R.; Cai, Z.; Ge, Y. Potential Inhibition of COVID-19 RNA-dependent RNA Polymerase by Hepatitis C Virus Non-nucleoside Inhibitors: An In-silico Perspective. Lett. Drug Des. Discov. 2020, 18, 429–435. [Google Scholar] [CrossRef]
- Panche, A.N.; Diwan, A.D.; Chandra, S.R. Flavonoids: An overview. J. Nutr. Sci. 2016. [Google Scholar] [CrossRef] [Green Version]
- Kaul, T.N.; Middleton, E.; Ogra, P.L. Antiviral effect of flavonoids on human viruses. J. Med. Virol. 1985, 15, 71–79. [Google Scholar] [CrossRef] [PubMed]
- Badshah, S.L.; Faisal, S.; Muhammad, A.; Poulson, B.G.; Emwas, A.H.; Jaremko, M. Antiviral activities of flavonoids. Biomed. Pharmacother. 2021, 140, 111596. [Google Scholar] [CrossRef] [PubMed]
- Shahid, F.; Noreen; Ali, R.; Badshah, S.L.; Jamal, S.B.; Ullah, R.; Bari, A.; Majid Mahmood, H.; Sohaib, M.; Akber Ansari, S. Identification of Potential HCV Inhibitors Based on the Interaction of Epigallocatechin-3-Gallate with Viral Envelope Proteins. Molecules 2021, 26, 1257. [Google Scholar] [CrossRef] [PubMed]
- Ahmad, N.; Badshah, S.L.; Junaid, M.; Ur Rehman, A.; Muhammad, A.; Khan, K. Structural insights into the Zika virus NS1 protein inhibition using a computational approach. J. Biomol. Struct. Dyn. 2020, 39, 3004–3011. [Google Scholar] [CrossRef]
- Singh, S.; Sonawane, A.; Sadhukhan, S. Plant-derived natural polyphenols as potential antiviral drugs against SARS-CoV-2 via RNA-dependent RNA polymerase (RdRp) inhibition: An in-silico analysis. J. Biomol. Struct. Dyn. 2020, 39, 6249–6264. [Google Scholar] [CrossRef]
- Su, H.; Yao, S.; Zhao, W.; Li, M.; Liu, J.; Shang, W.; Xie, H.; Ke, C.; Hu, H.; Gao, M.; et al. Anti-SARS-CoV-2 activities in vitro of Shuanghuanglian preparations and bioactive ingredients. Acta Pharmacol. Sin. 2020, 41, 1167–1177. [Google Scholar] [CrossRef]
- Su, H.; Yao, S.; Zhao, W.; Zhang, Y.; Liu, J.; Shao, Q.; Wang, Q.; Li, M.; Xie, H.; Shang, W.; et al. Identification of pyrogallol as a warhead in design of covalent inhibitors for the SARS-CoV-2 3CL protease. Nat. Commun. 2021, 12, 3623. [Google Scholar] [CrossRef] [PubMed]
- Kuzikov, M.; Costanzi, E.; Reinshagen, J.; Esposito, F.; Vangeel, L.; Wolf, M.; Ellinger, B.; Claussen, C.; Geisslinger, G.; Corona, A.; et al. Identification of Inhibitors of SARS-CoV-2 3CL-Pro Enzymatic Activity Using a Small Molecule in Vitro Repurposing Screen. ACS Pharmacol. Transl. Sci. 2021, 4, 1096–1110. [Google Scholar] [CrossRef]
- Ivanova, L.; Tammiku-Taul, J.; García-Sosa, A.T.; Sidorova, Y.; Saarma, M.; Karelson, M. Molecular Dynamics Simulations of the Interactions between Glial Cell Line-Derived Neurotrophic Factor Family Receptor GFRα1 and Small-Molecule Ligands. ACS Omega 2018, 3, 11407–11414. [Google Scholar] [CrossRef] [PubMed] [Green Version]
- Barakat, K.; Ahmed, M.; Tabana, Y.; Ha, M. A “deep dive” into the SARS-CoV-2 polymerase assembly: Identifying novel allosteric sites and analyzing the hydrogen bond networks and correlated dynamics. J. Biomol. Struct. Dyn. 2021, 1–26. [Google Scholar] [CrossRef]
- Cheng, F.; Li, W.; Zhou, Y.; Shen, J.; Wu, Z.; Liu, G.; Lee, P.W.; Tang, Y. AdmetSAR: A comprehensive source and free tool for assessment of chemical ADMET properties. J. Chem. Inf. Model. 2012, 52, 3099–3105. [Google Scholar] [CrossRef]
- Farman, A.; Badshah, S.L.; Khan, K.; Ahmad, N.; Naeem, A. Ebola, the Negative Stranded RNA Virus. In Some RNA Viruses, 1st ed.; IntechOpen: London, UK, 2021. [Google Scholar]
- Badshah, S.L.; Mabkhot, Y.N.; Ahmad, N.; Syed, S.; Naeem, A. Zika Virus, Microcephaly and its Possible Global Spread. In Current Topics in Zika, 1st ed.; IntechOpen: London, UK, 2018. [Google Scholar]
- Badshah, S.L.; Ullah, A.; Syed, S. The Role of Zinc-Finger Antiviral Proteins in Immunity against Viruses. Mol. Genet. Microbiol. Virol. 2020, 35, 78–84. [Google Scholar] [CrossRef]
- Huang, W.; Lu, S.; Huang, Z.; Liu, X.; Mou, L.; Luo, Y.; Zhao, Y.; Liu, Y.; Chen, Z.; Hou, T.; et al. Allosite: A method for predicting allosteric sites. Bioinformatics 2013, 29, 2357–2359. [Google Scholar] [CrossRef] [Green Version]
- Schrödinger LLC. The PyMOL Molecular Graphics System, Version 2.4; Schrödinger LLC: New York, NY, USA, 2020. [Google Scholar]
- Mills, N. ChemDraw Ultra 10.0 CambridgeSoft, 100 CambridgePark Drive, Cambridge, MA 02140. J. Am. Chem. Soc. 2006, 128, 13649–13650. [Google Scholar] [CrossRef]
- MOE (Molecular Operating Environment). Sci. Comput. Instrum. 2009, 2009.10 Re, 32. Available online: https://www.chemcomp.com/Products.htm (accessed on 3 December 2021).
- Muhammad, A.; Khan, B.; Iqbal, Z.; Khan, A.Z.; Khan, I.; Khan, K.; Alamzeb, M.; Ahmad, N.; Khan, K.; Lal Badshah, S.; et al. Viscosine as a Potent and Safe Antipyretic Agent Evaluated by Yeast-Induced Pyrexia Model and Molecular Docking Studies. ACS Omega 2019, 4, 14188–14192. [Google Scholar] [CrossRef]
- Badshah, S.L.; Ahmad, N.; Ur Rehman, A.; Khan, K.; Ullah, A.; Alsayari, A.; Muhsinah, A.; Bin, N.; Mabkhot, Y. Molecular docking and simulation of Zika virus NS3 helicase. BMC Chem. 2019, 13, 67. [Google Scholar] [CrossRef]
- Al-Shamary, D.S.; Al-Alshaikh, M.A.; Kheder, N.A.; Mabkhot, Y.N.; Badshah, S.L. Molecular docking and biological evaluation of some thioxoquinazolin-4(3H)-one derivatives as anticancer, antioxidant and anticonvulsant agents. Chem. Cent. J. 2017, 11, 48. [Google Scholar] [CrossRef] [Green Version]
- Ahmad, N.; Farman, A.; Badshah, S.L.; Ur Rahman, A.; ur Rashid, H.; Khan, K. Molecular modeling, simulation and docking study of ebola virus glycoprotein. J. Mol. Graph. Model. 2017, 72, 266–271. [Google Scholar] [CrossRef]
- D. E. Shaw Research. Desmond Molecular Dynamics System; Schrödinger: New York, NY, USA, 2019; p. 4. [Google Scholar]





| S/N | Flavonoid Chemical Structure | 2D Image of the Flavonoid Interacting with the Allosteric Site | 3D Image of the Flavonoid Interacting with the Allosteric Site |
|---|---|---|---|
| 1 | ![]() | ![]() | ![]() |
| 2 | ![]() | ![]() | ![]() |
| 3 | ![]() | ![]() | ![]() |
| S/N | Flavonoid | Docking S-Score | Interactions Formed | Residues Involved in Interactions |
|---|---|---|---|---|
| 1 | Naringoside | −19.00 kcal/mol | 1 Arene-Cation 8 H-Bonds | 2 + Arg583, 2 + Thr604, Met601, Ala585, Ser592, Thr582. |
| 2 | Aureusidin 4,6-diglucoside | −19.21 kcal/mol | 5 H-bonds | 2 + Asn600, Met755, Gly584, Ser592 |
| 3 | Myricetin | −18.17 kcal/mol | 1 Arene-Cation 4 H-Bonds | Met755, Gly584, Thr604, Arg583, Ser592 |
| S/N | Flavonoid | LD50 Rat Model | BBB | Carcinogens | HIA | Cytochrome p450 Inhibition/Substrate | Oral Acute Toxicity | AMES Toxicity |
|---|---|---|---|---|---|---|---|---|
| 1 | Myricetin | 3.02 mol/kg | 0.5711 | No | 0.9650 | Non-substrate and Only Inhibited CYP450-1A2 and 3A4. | Category-II | No |
| 2 | Naringoside | 2.26 mol/kg | 0.8414 | No | 0.8645 | Non-substrate/Non-inhibitor | Category-III | Yes |
| 3 | Aureusidin 4,6-diglucoside | 2.65 mol/kg | 0.5417 | No | 0.7082 | Non-substrate/Non-inhibitor | Category-III | Yes |
Publisher’s Note: MDPI stays neutral with regard to jurisdictional claims in published maps and institutional affiliations. |
© 2021 by the authors. Licensee MDPI, Basel, Switzerland. This article is an open access article distributed under the terms and conditions of the Creative Commons Attribution (CC BY) license (https://creativecommons.org/licenses/by/4.0/).
Share and Cite
Faisal, S.; Badshah, S.L.; Kubra, B.; Sharaf, M.; Emwas, A.-H.; Jaremko, M.; Abdalla, M. Computational Study of SARS-CoV-2 RNA Dependent RNA Polymerase Allosteric Site Inhibition. Molecules 2022, 27, 223. https://doi.org/10.3390/molecules27010223
Faisal S, Badshah SL, Kubra B, Sharaf M, Emwas A-H, Jaremko M, Abdalla M. Computational Study of SARS-CoV-2 RNA Dependent RNA Polymerase Allosteric Site Inhibition. Molecules. 2022; 27(1):223. https://doi.org/10.3390/molecules27010223
Chicago/Turabian StyleFaisal, Shah, Syed Lal Badshah, Bibi Kubra, Mohamed Sharaf, Abdul-Hamid Emwas, Mariusz Jaremko, and Mohnad Abdalla. 2022. "Computational Study of SARS-CoV-2 RNA Dependent RNA Polymerase Allosteric Site Inhibition" Molecules 27, no. 1: 223. https://doi.org/10.3390/molecules27010223
APA StyleFaisal, S., Badshah, S. L., Kubra, B., Sharaf, M., Emwas, A.-H., Jaremko, M., & Abdalla, M. (2022). Computational Study of SARS-CoV-2 RNA Dependent RNA Polymerase Allosteric Site Inhibition. Molecules, 27(1), 223. https://doi.org/10.3390/molecules27010223










