AtTrxh3, a Thioredoxin, Is Identified as an Abscisic AcidBinding Protein in Arabidopsis thaliana
Abstract
:1. Introduction
2. Results and Discussion
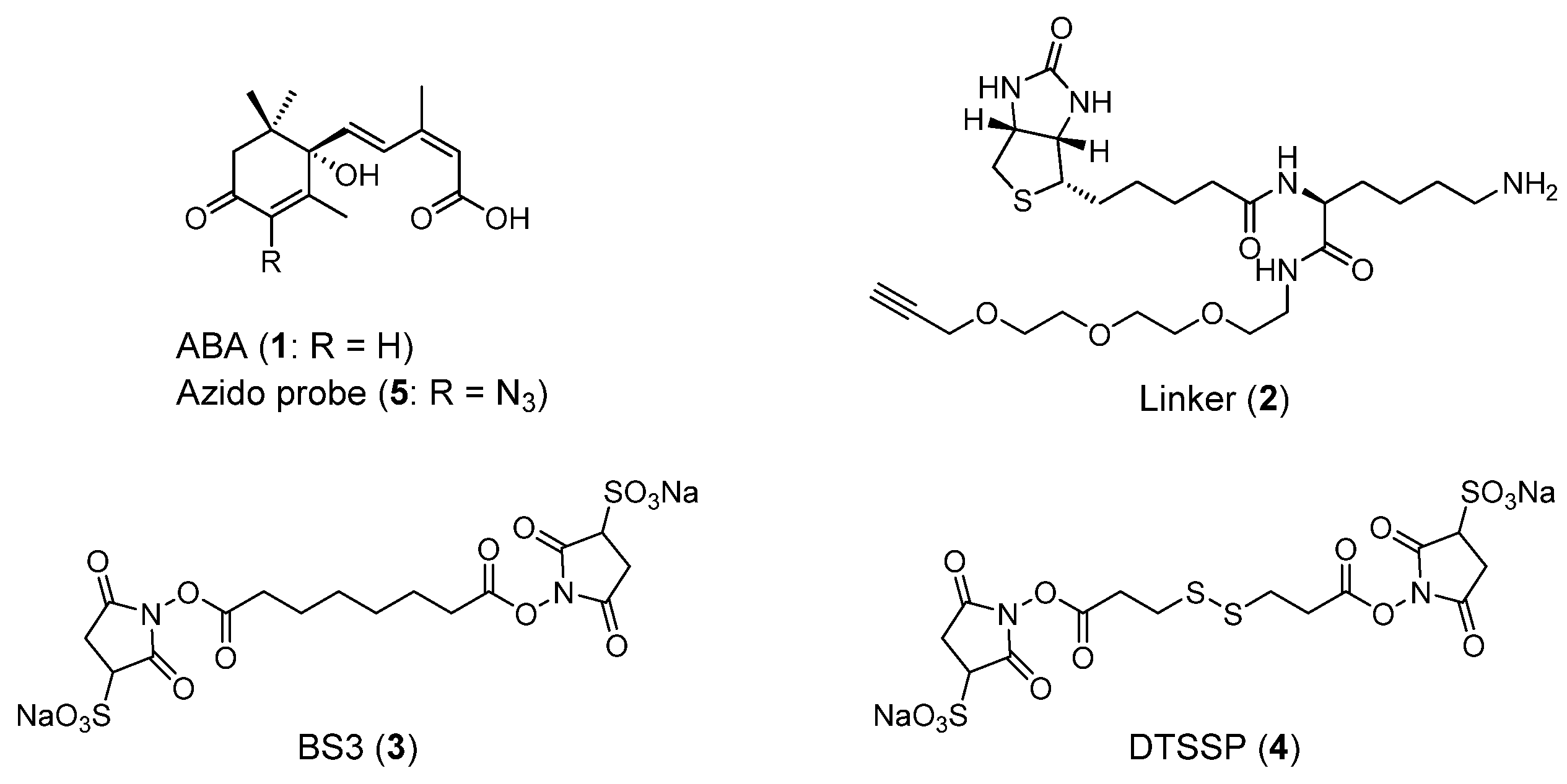
2.1. Isolation of an ABA Binding Protein
2.2. Identification of the Isolated Protein
2.3. Binding of a Recombinant AtTrxh3 Produced with ABA
3. Materials and Methods
3.1. Synthesis of Linker 2 and Azido Probe 5
3.2. Affinity Chromatography
3.3. Proteome Analyses
3.4. Production of Recombinant AtTrxh3
3.5. Detection of AtTrxh3 by Western Blotting
3.6. Evaluation of the Dose-Dependent Effects of the Concentrations of Azido Probe 5 and AtTrxh3
3.7. Activities of Thioredoxin of AtTrxh3
3.8. Activity of Chaperonin of AtTrxh3
Supplementary Materials
Author Contributions
Funding
Institutional Review Board Statement
Informed Consent Statement
Data Availability Statement
Conflicts of Interest
Sample Availability
References
- Nakashima, K.; Yamaguchi-Shinozaki, K. ABA signaling in stress-response and seed development. Plant Cell Rep. 2013, 32, 959–970. [Google Scholar] [CrossRef] [PubMed]
- Miyakawa, T.; Fujita, Y.; Yamaguchi-Shinozaki, K.; Tanokura, M. Structure and function of abscisic acid receptors. Trends Plant Sci. 2013, 18, 259–266. [Google Scholar] [CrossRef] [PubMed]
- Nyangulu, J.M.; Galka, M.M.; Jadhav, A.; Gai, Y.; Graham, C.M.; Nelson, K.M.; Cutler, A.J.; Taylor, D.C.; Banowetz, G.M.; Abrams, S.R. An Affinity Probe for Isolation of Abscisic Acid-Binding Proteins. J. Am. Chem. Soc. 2005, 127, 1662–1664. [Google Scholar] [CrossRef] [PubMed]
- Kharenko, O.A.; Boyd, J.; Nelson, K.M.; Abrams, S.R.; Loewen, M.C. Identification and characterization of interactions between abscisic acid and mitochondrial adenine nucleotide translocators. Biochem. J. 2011, 437, 117–123. [Google Scholar] [CrossRef] [PubMed] [Green Version]
- Galka, M.M.; Rajagopalan, N.; Buhrow, L.M.; Nelson, K.M.; Switala, J.; Cutler, A.J.; Palmer, D.R.J.; Loewen, P.C.; Abrams, S.R.; Loewen, M.C. Identification of interactions between abscisic acid and ribulose-1,5-bisphosphate carboxylase/oxygenase. PLoS ONE 2015, 10, e0133033. [Google Scholar] [CrossRef] [PubMed] [Green Version]
- Anabuki, T.; Tsukahara, M.; Okamoto, M.; Matsuura, H.; Takahashi, K. Novel biotin linker with alkyne and amino groups for chemical labelling of a target protein of a bioactive small molecule. Bioorganic Med. Chem. Lett. 2018, 28, 783–786. [Google Scholar] [CrossRef] [PubMed]
- Anabuki, T.; Ito, Y.; Ohashi, K.; Takasuka, T.; Matsuura, H.; Takahashi, K. Identification of recombinant AtPYL2, an abscisic acid receptor, in E. coli using a substrate-derived bioactive small molecule, a biotin linker with alkyne and amino groups, and a protein cross-linker. Bioorganic Med. Chem. Lett. 2019, 29, 126634. [Google Scholar] [CrossRef] [PubMed]
- Rostovtsev, V.V.; Green, L.G.; Fokin, V.V.; Sharpless, K.B. A stepwise Huisgen cycloaddition process: Copper(I)-catalyzed regiose-lective “ligation” of azides and terminal alkynes. Angew. Chem. Int. Ed. 2002, 41, 2596–2599. [Google Scholar] [CrossRef]
- Tornøe, C.W.; Christensen, C.; Meldal, M. Peptidotriazoles on Solid Phase: [1,2,3]-Triazoles by Regiospecific Copper(I)-Catalyzed 1,3-Dipolar Cycloadditions of Terminal Alkynes to Azides. J. Org. Chem. 2002, 67, 3057–3064. [Google Scholar] [CrossRef] [PubMed]
- Wang, Q.; Chan, T.R.; Hilgraf, R.; Fokin, V.V.; Sharpless, K.B.; Finn, M.G. Bioconjugation by Copper(I)-Catalyzed Azide-Alkyne [3 + 2] Cycloaddition. J. Am. Chem. Soc. 2003, 125, 3192–3193. [Google Scholar] [CrossRef] [PubMed]
- Takasuka, T.E.; Book, A.J.; Lewin, G.R.; Currie, C.R.; Fox, B.G. Aerobic deconstruction of cellulosic biomass by an insect-associated Streptomyces. Sci. Rep. 2013, 3, srep01030. [Google Scholar] [CrossRef] [PubMed] [Green Version]
- Hägglund, P.; Finnie, C.; Yano, H.; Shahpiri, A.; Buchanan, B.B.; Henriksen, A.; Svenssong, B. Seed thioredoxin h. Biochim. Biophys. Acta. 2016, 1864, 974–982. [Google Scholar] [CrossRef] [PubMed]
- Park, S.K.; Jung, Y.J.; Lee, J.R.; Lee, Y.M.; Jang, H.H.; Lee, S.S.; Park, J.H.; Kim, S.Y.; Moon, J.C.; Lee, S.Y.; et al. Heat-shock and redox-dependent functional switching of an h-type Arabidopsis thioredoxin from a disulfide reductase to a molecular chaperone. Plant Physiol. 2009, 150, 552–561. [Google Scholar] [CrossRef] [PubMed] [Green Version]
- Li, Y.-C.; Ren, J.-P.; Cho, M.-J.; Zhou, S.-M.; Kim, Y.-B.; Guo, H.-X.; Wong, J.H.; Niu, H.-B.; Kim, H.-K.; Morigasaki, S.; et al. The Level of Expression of Thioredoxin is Linked to Fundamental Properties and Applications of Wheat Seeds. Mol. Plant. 2009, 2, 430–441. [Google Scholar] [CrossRef] [PubMed]
- Lozano, R.M.; Wong, J.; Yee, B.; Peters, A.; Kobrehel, K.; Buchanan, B. New evidence for a role for thioredoxin h in germination and seedling development. Planta. 1996, 200. [Google Scholar] [CrossRef]





Publisher’s Note: MDPI stays neutral with regard to jurisdictional claims in published maps and institutional affiliations. |
© 2021 by the authors. Licensee MDPI, Basel, Switzerland. This article is an open access article distributed under the terms and conditions of the Creative Commons Attribution (CC BY) license (https://creativecommons.org/licenses/by/4.0/).
Share and Cite
Anabuki, T.; Ohashi, K.; Takasuka, T.E.; Matsuura, H.; Takahashi, K. AtTrxh3, a Thioredoxin, Is Identified as an Abscisic AcidBinding Protein in Arabidopsis thaliana. Molecules 2022, 27, 161. https://doi.org/10.3390/molecules27010161
Anabuki T, Ohashi K, Takasuka TE, Matsuura H, Takahashi K. AtTrxh3, a Thioredoxin, Is Identified as an Abscisic AcidBinding Protein in Arabidopsis thaliana. Molecules. 2022; 27(1):161. https://doi.org/10.3390/molecules27010161
Chicago/Turabian StyleAnabuki, Tomoaki, Keisuke Ohashi, Taichi E. Takasuka, Hideyuki Matsuura, and Kosaku Takahashi. 2022. "AtTrxh3, a Thioredoxin, Is Identified as an Abscisic AcidBinding Protein in Arabidopsis thaliana" Molecules 27, no. 1: 161. https://doi.org/10.3390/molecules27010161
APA StyleAnabuki, T., Ohashi, K., Takasuka, T. E., Matsuura, H., & Takahashi, K. (2022). AtTrxh3, a Thioredoxin, Is Identified as an Abscisic AcidBinding Protein in Arabidopsis thaliana. Molecules, 27(1), 161. https://doi.org/10.3390/molecules27010161

