Antioxidant and Cytoprotective Properties of Plant Extract from Dry Flowers as Functional Dyes for Cosmetic Products
Abstract
1. Introduction
2. Results and Discussion
2.1. Determination of Bioactive Compounds
2.2. Determination of Antioxidant Properties
2.3. Assessment of Matrix Metallopeptidase Inhibition
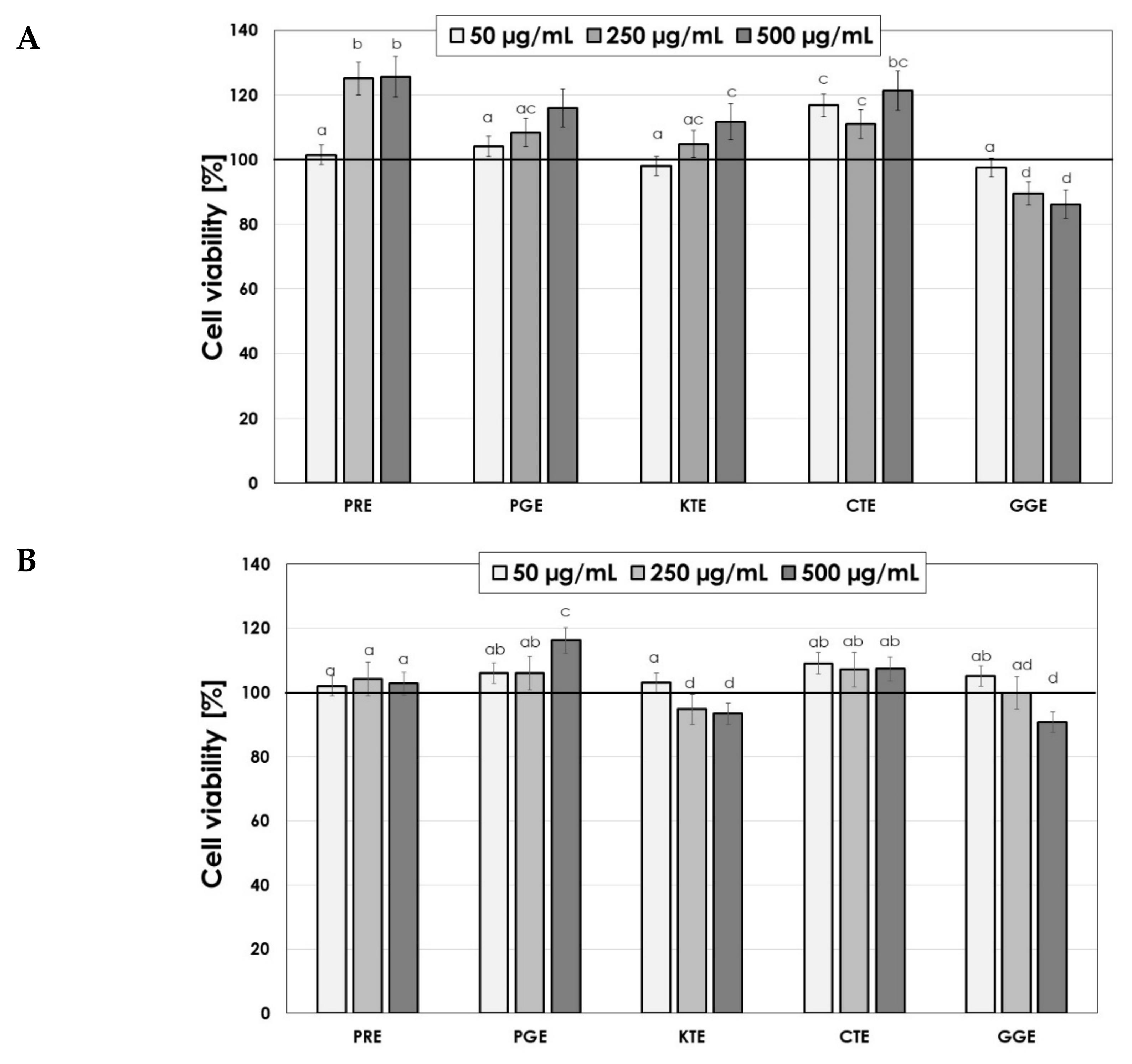
2.4. Cytotoxicity Assessment
2.5. Application Analysis
2.5.1. Influence of the Extracts on the Skin Condition and Sun Protection Factor (SPF)
2.5.2. Determination of the Color Parameters of Extracts
2.5.3. Determination of the Color Parameters of Cosmetics Based on the Extracts
3. Materials and Methods
3.1. Plant Material and Extraction Procedure
3.2. Determination of Bioactive Compounds and Antioxidant Properties
3.2.1. Determination of Bioactive Compounds by HPLC–UV-ESI–MS
3.2.2. DPPH Radical Scavenging Assay
3.2.3. ABTS+ Scavenging Assay
3.2.4. Detection of Intracellular Levels of Reactive Oxygen Species (ROS)
3.3. Assessment of Matrix Metallopeptidases Inhibition
3.3.1. Determination of Anti-Elastase Activity
3.3.2. Determination of Anti-Collagenase Activity
3.4. Cytotoxicity Analysis
3.4.1. Cell Culture
3.4.2. Assessment of Cytotoxicity of Tested Extracts
3.4.3. Alamar Blue Assay
3.4.4. Neutral Red Uptake Assay
3.5. Transepidermal Water Loss (TEWL) and Skin Hydration Measurements
3.6. Determination of Sun Protection Factor (In Vitro)
3.7. Preparation of Model Cosmetics Containing Extracts
3.8. Determination of the Color Parameters of Extracts and Cosmetics Containing Extracts
3.9. Statistical Analysis
4. Conclusions
Supplementary Materials
Author Contributions
Funding
Data Availability Statement
Conflicts of Interest
Sample Availability
References
- Barel, A.; Paye, M.; Maibach, H.I. Handbook of Cosmetic Science and Technology, 3rd ed.; CRC Press: New York, NY, USA, 2009. [Google Scholar]
- Dayan, N.; Kromidas, L.; Kale, G. Formulating, Packaging, and Marketing of Natural Cosmetic Products; John Wiley & Sons Inc.: Hoboken, NJ, USA, 2011. [Google Scholar]
- Rhein, L.; Schlossman, M.; O’Lenick, A.; Somasundaran, P. Surfactants in Personal Care Products and Decorative Cosmetics, 3rd ed.; CRC Press Taylor & Francis Group: Boca Raton, FL, USA, 2006. [Google Scholar]
- Darelos, Z.; Thaman, L. Cosmetic Formulation of Skin Care Products; Taylor & Francis Group: New York, NY, USA, 2006. [Google Scholar]
- Elsner, P.; Jagdeo, J.R.; Maibach, H.I.; Sivamani, R.K. Cosmeceuticals and Active Cosmetics; Taylor & Francis Group: New York, NY, USA, 2016. [Google Scholar]
- Tadros, T.F. Formulations in Cosmetic and Personal Care; de Gruyter: Berlin, Germany, 2016. [Google Scholar]
- Seidel, A. Kirk-Othmer Chemical Technology of Cosmetics; John Wiley & Sons Inc.: Hoboken, NJ, USA, 2013. [Google Scholar]
- Amparo, S.; Chisvert, A. Analysis of Cosmetic Products; Elsevier: Amsterdam, The Netherlands, 2017. [Google Scholar]
- Martin, D.; Schouten, J. Sustainable Marketing; Prentice Hall: New York, NY, USA, 2012; pp. 124–128. [Google Scholar]
- Emery, B. Sustainable Marketing; Pearson Education Limited: Edinburgh, UK, 2012; pp. 161–180. [Google Scholar]
- Benson, H.A.E.; Roberts, M.S.; Leite-Silva, V.R.; Walters, K. Cosmetic Formulation: Principles and Practice; CRC Press: New York, NY, USA, 2019. [Google Scholar]
- Seweryn, A. Interactions between surfactants and the skin—Theory and practice. Adv. Colloid Interface Sci. 2018, 256, 242–255. [Google Scholar] [CrossRef] [PubMed]
- Bujak, T.; Nizioł-Łukaszewska, Z.; Wasilewski, T. Sodium lauryl sulfate vs. sodium coco sulfate. Study of the Safety of Use Anionic Surfactants with Respect to Their Interaction with the Skin. Tenside Surfactants Deterg. 2019, 56, 126–133. [Google Scholar] [CrossRef]
- Tessema, E.N.; Gebre-Mariam, T.; Neubert, R.H.H.; Wohlrab, J. Potential applications of phyto-derived ceramides in improving epidermal barrier function. Skin Pharmacol. Physiol. 2017, 30, 115–138. [Google Scholar] [CrossRef] [PubMed]
- Bujak, T.; Nizioł-Łukaszewska, Z.; Wasilewski, T. Effect of molecular weight of polymers on the properties of delicate facial foams. Tenside Surfactants Deterg. 2018, 55, 96–102. [Google Scholar] [CrossRef]
- Klimaszewska, E.; Seweryn, A.; Małysa, A.; Zięba, M.; Lipińska, J. The effect of chamomile extract obtained in supercritical carbon dioxide conditions on physicochemical and usable properties of pharmaceutical ointments. Pharm. Dev. Technol. 2018, 23, 780–786. [Google Scholar] [CrossRef]
- Bujak, T.; Zagórska-Dziok, M.; Nizioł-Łukaszewska, Z. Complexes of ectoine with the anionic surfactants as active ingredients of cleansing cosmetics with reduced irritating Potential. Molecules 2020, 26, 1433. [Google Scholar] [CrossRef] [PubMed]
- Draelos, Z.; Hornby, S.; Walters, R.M.; Appa, Y. Hydrophobically modified polymers can minimize skin irritation potential caused by surfactant-based cleansers. J. Cosmet. Dermatol. 2013, 12, 314–321. [Google Scholar] [CrossRef]
- Bujak, T.; Nizioł-Łukaszewska, Z.; Ziemlewska, A. Amphiphilic cationic polymers as effective substances improving the safety of use of body wash gels. Int. J. Biol. Macromol. 2020, 147, 973–979. [Google Scholar] [CrossRef]
- Muthusamy, R.; Arunachalam, M. Flavoring and Coloring Agents: Health Risks and Potential Problems, Natural and Artificial Flavoring Agents and Food Dyes. In Handbook of Food Bioengineering; Academic Press: Cambridge, MA, USA, 2018; pp. 1–28. [Google Scholar]
- Yang, B.; Liu, X.; Gao, Y. Extraction optimization of bioactive compounds (crocin, geniposide and total phenolic compounds) from Gardenia (Gardenia jasminoides Ellis) fruits with response surface methodology. Innov. Food Sci. Emerg. Technol. 2009, 10, 610–615. [Google Scholar] [CrossRef]
- Liochev, S.I. Reactive oxygen species and the free radical theory of aging. Free Radic. Biol. Med. 2013, 60, 1–4. [Google Scholar] [CrossRef] [PubMed]
- Tsanova-Savova, S.; Denev, P.; Ribarova, F. Chapter 7—Flavonoids in Foods and Their Role in Healthy Nutrition. In Handbook of Food Bioengineering, Diet, Microbiome and Health; Holban, A.M., Grumezescu, A.M., Eds.; Academic Press: Cambridge, MA, USA, 2018; pp. 165–198. [Google Scholar]
- Mandade, S.A.R.; Sreenivas, Z.; Avijit, C. Radical scavenging and antioxidant activity of carthamus tinctorius extracts. Free Radic. Antioxid. 2011, 1, 87–93. [Google Scholar] [CrossRef]
- Kostic, D.; Mitic, S.S.; Mitić, M.; Zarubica, A.R.; Velickovic, J.M. Phenolic contents, antioxidant and antimicrobial activity of Papaver rhoeas L. extracts from Southeast Serbia. J. Med. Plant Res. 2010, 4, 1727–1732. [Google Scholar] [CrossRef]
- Gorinstein, S.; Haruenkit, R.; Poovarodom, S.; Vearasilp, S.; Ruamsuke, P.; Namiesnik, J.; Leontowicz, M.; Leontowicz, H.; Suhaj, M.; Sheng, G.P. Some analytical assays for the determination of bioactivity of exotic fruits. Phytochem. Anal. 2010, 21, 355–362. [Google Scholar] [CrossRef] [PubMed]
- Madhu, K. Phytochemical screening and antioxidant activity of in vitro grown plants Clitoria Ternatea L., using DPPH assay. Asian J. Pharm. Clin. Res. 2013, 6, 38–42. [Google Scholar]
- He, J.; Li, S.; Xu, K.; Tang, B.; Yang, H.; Wang, Q.; Li, H. Binding properties of the natural red dye carthamin with human serum albumin: Surface plasmon resonance, isothermal titration microcalorimetry, and molecular docking analysis. Food Chem. 2017, 221, 650–656. [Google Scholar] [CrossRef]
- Hiramatsu, M.; Takahashi, T.; Komatsu, M.; Kido, T.; Kasahara, Y. Antioxidant and neuroprotective activities of Mogami-benibana (safflower, Carthamus tinctorius Linne). Neurochem. Res. 2009, 34, 795–805. [Google Scholar] [CrossRef]
- Peiretti, P.G.; Gai, F.; Karamać, M.; Amarowicz, R. Antioxidant Activities and Phenolic Composition of Safflower (Carthamus tinctorius L.) Plant during Their Growth Cycle; Science Publishers Inc.: New York, NY, USA, 2017. [Google Scholar]
- Shanker, R.; Vankar, P.S. Dyeing wool with Gomphrena globosa flower. Colourage 2005, 52, 35–38. [Google Scholar]
- Kumar, S.S.; Manoj, P.; Shetty, N.P.; Prakash, M.; Giridhar, P. Characterization of major betalain pigments-gomphrenin, betanin and isobetanin from Basella rubra L. fruit and evaluation of efficacy as a natural colourant in product (ice cream) development. J. Food Sci. Technol. 2015, 52, 4994–5002. [Google Scholar] [CrossRef] [PubMed]
- Cai, Y.Z.; Sun, M.; Corke, H. Characterization and application of batalain pigments from plants of the Amaranthaceae. Trends Food Sci. Technol. 2005, 16, 370–376. [Google Scholar] [CrossRef]
- Chauhan, N.; Singh, N.; Gupta, J.; Shah, K.; Mishra, P.; Tripathi, A.; Chauhan, N.S.; Upmanyu, N. A Review on Clitoria ternatea (Linn.): Chemistry and Pharmacology. In Medicinal Plants and Its Therapeutic Uses; OMICS Group eBooks: Foster City, CA, USA, 2017. [Google Scholar]
- Sinha, K.; Das Saha, P.; Ramya, V.; Datta, S. Improved extraction of natural blue dye from butterfly pea using microwave assisted methodology to reduce the effect of synthetic blue dye. Int. J. Chem. Technol. 2012, 4, 57–65. [Google Scholar] [CrossRef][Green Version]
- Nair, V.; Bang, W.Y.; Schreckinger, E.; Andarwμgan, N.; Cisneros-Zevallos, L. Protective Role of Ternatin Anthocyanins and Quercetin Glycosides from Butterfly Pea (Clitoria ternatea Leguminosae) Blue Flower Petals against Lipopolysaccharide (LPS)-Induced Inflammation in Macrophage Cells. J. Agric. Food Chem. 2015, 63, 6355–6365. [Google Scholar] [CrossRef] [PubMed]
- Gedik, G.; Yavaş, A.; Avinc, O.; Simsek, Ö. Cationized natural dyeing of cotton fabrics with corn poppy (Papaver rhoeas) and investigation of antibacterial activity. Asian J. Chem. 2013, 25, 8475–8483. [Google Scholar] [CrossRef]
- Grauso, L.; de Falco, B.; Motti, R.; Lanzotti, V. Corn poppy, Papaver rhoeas L.: A critical review of its botany, phytochemistry and pharmacology. Phytochem. Rev. 2020, 20, 227–248. [Google Scholar] [CrossRef]
- Imane, A.; Idrissi, M.O.B.; Draoui, M.; Bouatia, M. Review: From screening to application of Moroccan dyeing plants: Chemical groups and botanical distribution. Int J. Pharm. Pharm. Sci. 2016, 8, 21–31. [Google Scholar] [CrossRef]
- Slezak, A.; Moreira, H.; Wiatrak, B.; Oszmiański, J.; Gasiorowski, K. Influence of cistus and pomegranate extracts on ROS generation in V79 cells. In Proceedings of the 2nd Wroclaw Scientific Meetings, Wroclaw, Poland, 1–2 March 2018. [Google Scholar] [CrossRef]
- Heeok, H.; Jeong Min, L.; Damini, K.; So Hee, K.; Soo-K, K. Antioxidant properties and diet-related a-glucosidase and lipase inhibitory activities of yogurt supplemented with safflower petal extract. Food Sci. Anim. Resour. 2020, 41, 122–134. [Google Scholar] [CrossRef]
- Madan, K.; Nanda, S. In-vitro evaluation of antioxidant, anti-elastase, anti-collagenase, antihyaluronidase activities of safranal and determination of its sun protection factor in skin photoaging. Bioorg. Chem. 2018, 77, 159–167. [Google Scholar] [CrossRef] [PubMed]
- Kim, Y.; Uyama, H.; Kobayashi, S. Inhibition effects of (+)-catechinaldehyde polycondensates on proteinases causing proteolytic degradation of extracellular matrix. Biochem. Biophys. Res. Commun. 2004, 320, 256–261. [Google Scholar] [CrossRef]
- Thring, T.S.; Hili, P.; Naughton, D.P. Anti-collagenase, anti-elastase and anti-oxidant activities of extracts from 21 plants. BMC Complement. Altern. Med. 2009, 9, 27. [Google Scholar] [CrossRef] [PubMed]
- Kim, J.Y.; Kim, S.S.; Oh, T.H.; Baik, J.S.; Song, G.; Lee, N.-H.; Hyun, C.-G. Chemical composition, antioxidant, anti-elastase, and anti-inflammatory activities of Illicium anisatum essential oil. Acta Pharm. 2009, 59, 289–300. [Google Scholar] [CrossRef] [PubMed]
- Russo, G.L.; Spagnuolo, C.; Russo, M.; Tedesco, I.; Moccia, S.; Cervellera, C. Mechanisms of aging and potential role of selected polyphenols in extending healthspan. Biochem. Pharmacol. 2020, 173, 113719. [Google Scholar] [CrossRef]
- Chung, J.H.; Seo, J.Y.; Choi, H.R.; Lee, M.K.; Youn, C.S.; Rhie, G.E.; Cho, K.H.; Kim, K.H.; Park, K.C.; Eun, H.C. Modulation of skin collagen metabolism in aged and photoaged human skin in vivo. J. Investig. Dermatol. 2001, 117, 1218–1224. [Google Scholar] [CrossRef] [PubMed]
- Sastravaha, G.; Yotnuengnit, P.; Booncong, P.; Sangtherapitikul, P. Adjunctive periodontal treatment with Centella asiatica and Punica granatum extracts. A preliminary study. J. Int. Acad. Periodontol. 2003, 5, 106–115. [Google Scholar] [PubMed]
- Zakaria, N.N.A.; Okello, E.J.; Howes, M.; Birch-Machin, M.A.; Bowman, A. In vitro protective effects of an aqueous extract of Clitoria ternatea L. flower against hydrogen peroxide-induced cytotoxicity and UV-induced mtDNA damage in human keratinocytes. Phytother. Res. 2018, 32, 1064–1072. [Google Scholar] [CrossRef]
- Zemour, K.; Labdelli, A.; Adda, A.; Dellal, A.; Talou, T.; Merah, O. Phenol content and antioxidant and antiaging activity of safflower seed oil (Carthamus Tinctorius, L.). Cosmetic 2019, 6, 55. [Google Scholar] [CrossRef]
- Dakhil, I.A.; Abbas, I.S.; Marie, N.K. Preparation, evaluation, and clinical application of saower cream as topical nutritive agent. Asian J. Pharm. Clin. Res. 2018, 11, 495–497. [Google Scholar] [CrossRef]
- Argyropoμgou, A.; Aligiannis, N.; Trougakos, I.P.; Skaltsounis, A. Natural compounds with anti-ageing activity. Nat. Prod. Rep. 2013, 30, 1412–1437. [Google Scholar] [CrossRef] [PubMed]
- Si, H.; Liu, D. Dietary antiaging phytochemicals and mechanisms associated with prolonged survival. J. Nutr. Biochem. 2014, 25, 581–591. [Google Scholar] [CrossRef] [PubMed]
- Tlili, H.; Hanen, N.; Ben Arfa, A.; Neffati, M.; Boubakri, A.; Buonocore, D.; Dossena, M.; Verri, M.; Doria, E. Biochemical profile and in vitro biological activities of extracts from seven folk medicinal plants growing wild in southern Tunisia. PLoS ONE. 2019, 14, e0213049. [Google Scholar] [CrossRef] [PubMed]
- Mantle, D.; Gok, M.A.; Lennard, T.W. Adverse and beneficial effects of plant extracts on skin and skin disorders. Advers. Drug React. Toxicol. Rev. 2001, 20, 89–103. [Google Scholar]
- Hijazi, M.A.; Aboμg-Ela, M.; Bouhadir, K.; Fatfat, M.; Khalife, H.; Ellakany, A.; Gali-Muhtasib, H. Cytotoxic activity of alkaloids from Papaver Rhoeas growing in Lebanon. Rec. Nat. Prod. 2017, 11, 211–216. [Google Scholar]
- Aslam, M.N.; Lansky, E.P.; Varani, J. Pomegranate as a cosmeceutical source: Pomegranate fractions promote proliferation and procollagen synthesis and inhibit matrix metalloproteinase-1 production in human skin cells. J. Ethnopharmacol. 2006, 103, 311–318. [Google Scholar] [CrossRef] [PubMed]
- Pacheco-Palencia, L.A.; Noratto, G.; Hingorani, L.; Talcott, S.T.; Mertens-Talcott, S.U. Protective effects of standardized pomegranate (Punica granatum L) polyphenolic extract in μgtraviolet-irradiated human skin fibroblasts. J. Agric. Food Chem. 2008, 56, 8434–8441. [Google Scholar] [CrossRef] [PubMed]
- Nasiri, E.; Hosseinimehr, S.J.; Akbari, J.; Azadbakht, M.; Azizi, S. The effects of Punica granatum flower extract on skin injuries induced by burn in rats. Adv. Pharmacol. Sci. 2017, 3059745. [Google Scholar] [CrossRef]
- Zagórska-Dziok, M.; Ziemlewska, A.; Bujak, T.; Nizioł-Łukaszewska, Z.; Hordyjewicz-Baran, Z. Cosmetic and Dermatological Properties of Selected Ayurvedic Plant Extracts. Molecules 2021, 26, 614. [Google Scholar] [CrossRef] [PubMed]
- Junlatat, J.; Sripanidkμgchai, B. Hair growth-promoting effect of Carthamus tinctorius floret extract. Phytother Res. 2014, 28, 1030–1036. [Google Scholar] [CrossRef]
- Liu, Y.; Fu, Y.X.; Qiu, L.; Tian, X.F.; Gan, L.Q.; Xiao, J. Effect of carthamus tinctorius on fibroblasts and collagen I, III in hypertrophic scar of rabbit’s ears. CRTER 2009, 13, 7296–7300. [Google Scholar] [CrossRef]
- Ebrahimzadeh, M.; Enayatifard, R.; Khalili, M.; Ghaffarloo, M.; Saeedi, M.; Charati, J. Correlation between sun protection factor and antioxidant activity, phenol and flavonoid contents of some medicinal plants. Iran. J. Pharm. Res. IJPR 2014, 13, 1041–1047. [Google Scholar]
- Westfall, A.; Sigurdson, G.T.; Giusti, M.M. Antioxidant, UV protection, and antiphotoaging properties of anthocyanin-pigmented lipstick formulations. J. Cosmet. Sci. 2019, 70, 63–76. [Google Scholar] [PubMed]
- Korać, R.R.; Khambholja, K.M. Potential of herbs in skin protection from ultraviolet radiation. Pharmacogn. Rev. 2011, 5, 164–173. [Google Scholar] [CrossRef]
- Ranjithkumar, J.; Sameesh, A.; Ramakrishnan, K. Sunscreen efficacy of Punica Granatum (Pomegranate) and Citrμglus Colocynthis (Indrayani) seed oils. Int. J. Adv. Res. Biol. Sci. 2016, 3, 198–206. [Google Scholar] [CrossRef]
- Radice, M.; Manfredini, S.; Ziosi, P.; Dissette, V.; Buso, P.; Fallacara, A.; Vertuani, S. Herbal extracts, lichens and biomolecules as natural photo-protection alternatives to synthetic UV filters. A systematic review. Fitoterapia 2016, 114, 144–162. [Google Scholar] [CrossRef] [PubMed]
- Priyanka, S.; Mary, S.R.I.; Nandini, H.S.; Kutty, A.V.M.; Kiranmayee, P. A pilot study on sun protection factor of plant extracts: An observational study. Asian J. Pharm. Clin. Res. 2018, 11, 67–71. [Google Scholar] [CrossRef]
- Bonté, F. Skin moisturization mechanisms: New data. Ann. Pharm. Françaises 2011, 69, 135–141. [Google Scholar] [CrossRef] [PubMed]
- Wan, H.; Yu, C.; Yu, H.; Guo, X.; Luo, L.; Pan, H.; Zheng, T.; Wang, J.; Cheng, T.; Zhang, Q. Determination of flavonoids and carotenoids and their contributions to various colors of rose cultivars (Rosa spp.). Front. Plant Sci. 2019, 10, 1–14. [Google Scholar] [CrossRef] [PubMed]
- Mokrzycki, W.S.; Tatol, M. Colour difference DE—A survey. Mach. Graph. Vis. 2011, 20, 383. [Google Scholar]
- Brand-Williams, W.; Cuvelier, M.; Berset, C. Use of a free radical method to evaluate antioxidant activity. LWT Food Sci. Technol. 1995, 28, 25–30. [Google Scholar] [CrossRef]
- Gaweł-Beben, K.; Bujak, T.; Nizioł-Łukaszewska, Z.; Antosiewicz, B.; Jakubczyk, A.; Karas, M.; Rybczynska, K. Stevia Rebaudiana Bert. leaf extracts as a multifunctional source of natural antioxidants. Molecules 2015, 20, 5468. [Google Scholar] [CrossRef]
- Evangelista-Vargas, S.; Santiani, A. Detection of intracellular reactive oxygen species (superoxide anion and hydrogen peroxide) and lipid peroxidation during cryopreservation of alpaca spermatozoa. Reprod. Domest. Anim. 2017, 52, 819–824. [Google Scholar] [CrossRef]
- Nizioł-Łukaszewska, Z.; Zagórska-Dziok, M.; Ziemlewska, A.; Bujak, T. Comparison of the antiaging and protective properties of plants from the Apiaceae family. Oxid. Med. Cell. Longev. 2020, 2020, 5307614. [Google Scholar]
- Repetto, G.; del Peso, A.; Zurita, J.L. Neutral red uptake assay for the estimation of cell viability/cytotoxicity. Nat. Protoc. 2008, 3, 1125–1131. [Google Scholar] [CrossRef]
- Mansur, J.S.; Breder, M.N.; Mansur, M.C.; Azulay, R.D. Determinacao do fator de protecao solar por espectrofotometria. An. Bras. Dermatol. 1986, 61, 121–124. [Google Scholar]
- Sayre, R.M.; Agin, P.P.; Levee, G.J.; Marlowe, E. Comparison of in vivo and in vitro testing of sunscreening formulas. Photochem. Photobiol. 1979, 29, 559–566. [Google Scholar] [CrossRef] [PubMed]











| Retention Time (min) | Molecular Formula | Molar Mass (Da) | Precursorion m/z | Main Productions MS2 m/z | Identification | PRE | KTE | GGE | PGE | CTE |
|---|---|---|---|---|---|---|---|---|---|---|
| 1.6 | C7H12O6 | 192.2 | 191 [M − H]− | 127 [M-H-H2O-HCOOH]−, 93 [M-C4H3O3]−, 85 [M-C3H7O4]−, 59 [M-C5H9O4]− | Quinic acid | x | x | x | x | x |
| 2.1 | C7H6O5 | 170.1 | 169 [M − H]− | 151 [M-H-H2O]−, 125 [M-H-CO2]−, 107 [M-H-CO2-H2O]−,79 [M-C6H3O]− | Gallic acid | x | x | x | x | x |
| 2.8 | C16H18O9 | 354.3 | 353 [M − H]− | 191 [M-3H2O-C6H5O2]−, 179 [M-3H2O-C6H4-COOH]−, 85 [M-C15H12O2-COOH]−, | 5-Caffeoylquinic acid | x | x | - | x | x |
| 4.2 | C16H18O9 | 354.3 | 353 [M − H]− | 191 [M-3H2O-C6H5O2]−, 179 [M-3H2O-C6H4-COOH]−, 85 [M-C15H12O2-COOH]−, | 3-Caffeoylquinic acid | x | x | <LOQ | x | x |
| 5.1 | C9H8O4 | 180.2 | 179 [M − H]− | 135 [M-COOH]−, 107 [M-C3H5O2]−, | Caffeic acid | x | x | x | x | x |
| 7.1/8.1 | C27H30O16 | 610.5 | 609 [M − H]− | 300 [M-H-C12H21O9]−, | Rutin | x | x | x | x | x |
| 8.5 | C27H30O15 | 594.5 | 593 [M − H]− | 383 [M-C8H19O6]−, 352 [M-C9H21O7]−, 284 [M-C12H22O9]− | Kaempferol-3-O-rutinoside | x | x | x | x | x |
| 10 | C15H10O7 | 302.2 | 301 [M − H]− | 179 [M-H-C7H6O2]−, 151 [M-C8H7O3]−, 121 [M-C8H5O5]−,107 [M-C9H5O5]− | Quercetin | x | x | <LOQ | <LOQ | x |
| 11.3 | C21H20O11 | 448.3 | 447 [M − H]− | 284 [M-H2O-C6H10O4]−,255 [M-C6H9O7]−, 179 [M-C15H9O5]− | Kaempferol-3-O-glucoside | x | x | x | x | x |
| Compound | Content (µg/mL) | ||||
|---|---|---|---|---|---|
| PRE | KTE | GGE | PGE | CTE | |
| Quinic acid | 0.14 ± 0.00 b | 2.63 ± 0.21 d | 0.05 ± 0.00 a | 0.87 ± 0.03 c | 5.95 ± 0.24 e |
| Gallic acid | 0.20 ± 0.02 b | 1.02 ± 0.01 c | 0.02 ± 0.00 a | 13.61 ± 0.13d | 0.98 ± 0.01 c |
| Caffeic acid | 1.21 ± 0.03 c | 0.87 ± 0.01 b | 0.06 ± 0.00 a | 0.05 ± 0.00 a | 3.40 ± 0.03 d |
| 5-CQA | 0.10 ± 0.00 b | 1.06 ± 0.05 c | - | 0.01 ± 0.00 a | 0.01 ± 0.00 a |
| 3-CQA | 0.05 ± 0.00 a | 4.44 ± 0.00 d | <LOQ | 0.58 ± 0.00 b | 0.67 ± 0.00 c |
| Quercetin | 16.05 ± 0.27 c | 5.08 ± 0.00 b | <LOQ | <LOQ | 0.86 ± 0.01 a |
| Sum of quantified compounds | 17.75 | 15.1 | 0.13 | 15.12 | 11.87 |
| L* | a* | b* | C* | ho | ||
|---|---|---|---|---|---|---|
| PRE | 14.19±0.09 | 3.04 ± 0.03 | 2.02 ± 0.01 | 3.7 ± 0.03 | 33.4 ± 0.03 | red |
| PGE | 22.48 ± 0.10 | −0.56 ± 0.01 | 2.42 ± 0.05 | 2.5 ± 0.05 | 102.9 ± 0.04 | yellow |
| KTE | 13.59 ± 0.11 | 2.05 ± 0.02 | −0.93 ± 0.01 | 2.2 ± 0.02 | 335.6 ± 0.03 | Blue–violet |
| CTE | 18.95 ± 0.07 | 0.17 ± 0.05 | 8.22 ± 0.01 | 8.2 ± 0.05 | 88.8 ± 0.03 | yellow |
| GGE | 22.39 ± 0.09 | −0.65 ± 0.02 | 2.38 ± 0.03 | 2.5 ± 0.04 | 105.4 ± 0.04 | yellow |
| L* | a* | b* | C* | ho | ΔE cream+Extract/Base Cream | ||
|---|---|---|---|---|---|---|---|
| Cream with PRE | 81.48 ± 0.09 | 5.34 ± 0.03 | 2.81 ± 0.01 | 6.0 ± 0.03 | 27.8 ± 0.1 | 11.88 ± 0.02 | red |
| Cream with PGE | 90.83 ± 0.10 | −0.84 ± 0.01 | 2.94 ± 0.05 | 3.1 ± 0.05 | 105.9 ± 005 | 1.63 ± 0.04 | white, slightly yellow shade |
| Cream with KTE | 68.19 ± 0.11 | 6.23 ± 0.02 | 18.92 ± 0.01 | 19.9 ± 0.02 | 288.2 ± 0.02 | 31.71 ± 0.04 | Blue–violet |
| Cream with CTE | 88.71 ± 0.07 | −5.95 ± 0.05 | 23.46 ± 0.01 | 24.2 ± 0.05 | 104.2 ± 0.04 | 22.72 ± 0.03 | yellow |
| Cream with GGE | 91.20 ± 0.09 | −0.88 ± 0.02 | 3.00 ± 0.03 | 3.1 ± 0.04 | 106.4 ± 0.04 | 1.59 ± 0.02 | white, slightly yellow shade |
| Base cream | 91.40 ± 0.07 | −1.06 ± 0.02 | 1.43 ± 0.02 | 1.8 ± 0.03 | 306.6 ± 0.04 | - | white, slightly purple shade |
| Ingredient (INCI Name) | Raw Material (Trade Name, Supplier) | (wt.%) | |
| 1 | Helianthus Annuus (Sunflower) Seed Oil | Sunflower Oil (local supplier) | 8.0 |
| 2 | Butyrospermuum Parkii (Shea) Butter | Cetiol SB 45 (BASF) | 6.0 |
| 3 | Coco-Caprylate/Caprate | Cetiol LC (BASF) | 2.0 |
| 4 | Glyceryl Stearate | Cutina GMS V (BASF) | 1.0 |
| 5 | Polyglyceryl-3 Dicitrate/Stearate | TegoCare PSC-3 (Evonik) | 2.0 |
| 6 | Cetearyl Alcohol | Lanette O (BASF) | 4.0 |
| 7 | Glycerin | Glycerin Vege.7 (local supplier) | 2.0 |
| 8 | Propanediol | Propanediol natural (Cosphaderm) | 2.0 |
| 9 | Aqua | Deionised water | to 100 |
| 10 | Benzyl Alcohol, Benzoic Acid, Dehydroacetic Acid, Tocopherol | Euxyl K903 (Schülke & Mayr) | 0.5 |
| 11 | Sodium Hydroxide/ Lactic Acid | NaOH/Lactic Acid (local supplier) | to pH 5.5 |
Publisher’s Note: MDPI stays neutral with regard to jurisdictional claims in published maps and institutional affiliations. |
© 2021 by the authors. Licensee MDPI, Basel, Switzerland. This article is an open access article distributed under the terms and conditions of the Creative Commons Attribution (CC BY) license (https://creativecommons.org/licenses/by/4.0/).
Share and Cite
Bujak, T.; Zagórska-Dziok, M.; Ziemlewska, A.; Nizioł-Łukaszewska, Z.; Wasilewski, T.; Hordyjewicz-Baran, Z. Antioxidant and Cytoprotective Properties of Plant Extract from Dry Flowers as Functional Dyes for Cosmetic Products. Molecules 2021, 26, 2809. https://doi.org/10.3390/molecules26092809
Bujak T, Zagórska-Dziok M, Ziemlewska A, Nizioł-Łukaszewska Z, Wasilewski T, Hordyjewicz-Baran Z. Antioxidant and Cytoprotective Properties of Plant Extract from Dry Flowers as Functional Dyes for Cosmetic Products. Molecules. 2021; 26(9):2809. https://doi.org/10.3390/molecules26092809
Chicago/Turabian StyleBujak, Tomasz, Martyna Zagórska-Dziok, Aleksandra Ziemlewska, Zofia Nizioł-Łukaszewska, Tomasz Wasilewski, and Zofia Hordyjewicz-Baran. 2021. "Antioxidant and Cytoprotective Properties of Plant Extract from Dry Flowers as Functional Dyes for Cosmetic Products" Molecules 26, no. 9: 2809. https://doi.org/10.3390/molecules26092809
APA StyleBujak, T., Zagórska-Dziok, M., Ziemlewska, A., Nizioł-Łukaszewska, Z., Wasilewski, T., & Hordyjewicz-Baran, Z. (2021). Antioxidant and Cytoprotective Properties of Plant Extract from Dry Flowers as Functional Dyes for Cosmetic Products. Molecules, 26(9), 2809. https://doi.org/10.3390/molecules26092809

