Prospects of Using Biocatalysis for the Synthesis and Modification of Polymers
Abstract
1. Introduction
2. Biodegradability of Polymers
3. Enzymes and Polymers Produced with Them
3.1. Oxidoreductases
3.1.1. Laccases
3.1.2. Peroxidases
3.1.3. Other Oxidoreductases
3.2. Transferases
3.3. Hydrolases
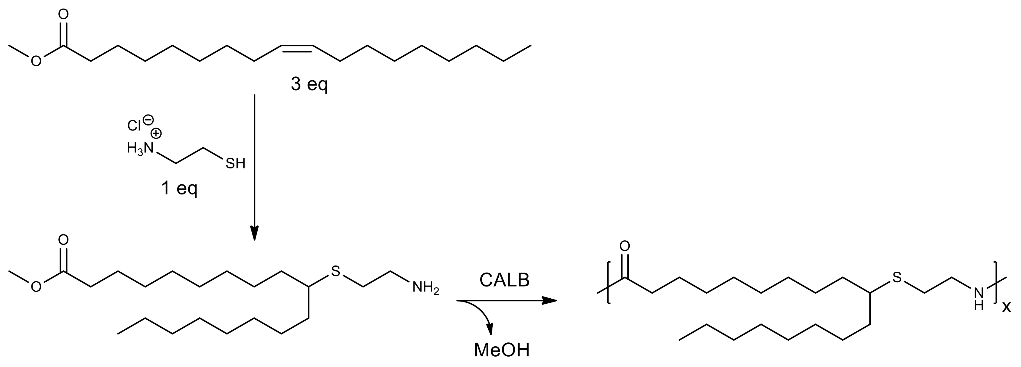
3.3.1. Lipases
Polyesters
Polyamides
Polyesteramides
3.3.2. Cutinase
3.3.3. Proteases
4. Biocatalytic Modification of Polymers
5. Biocatalysis Engineering
5.1. Enzyme Engineering and Biocatalyst Formulation
5.2. Substrate Engineering
5.3. Biocatalytic Systems Engineering
5.4. Solvent Engineering
5.4.1. Ionic Liquids
5.4.2. Deep Eutectic Solvents
5.4.3. Supercritical Carbon Dioxide
6. Integration of Bio- and Chemocatalysis
7. Biocatalytic Production of Monomers
8. Conclusions/Perspective
Author Contributions
Funding
Institutional Review Board Statement
Informed Consent Statement
Conflicts of Interest
References
- Torrelo, G.; Hanefeld, U.; Hollmann, F. Biocatalysis. Catal. Lett. 2015, 145, 309–345. [Google Scholar] [CrossRef]
- Arnold, F.H. Innovation by Evolution: Bringing New Chemistry to Life (Nobel Lecture). Angew. Chem. Int. Ed. 2019, 58, 14420–14426. [Google Scholar] [CrossRef] [PubMed]
- Qu, G.; Li, A.; Acevedo-Rocha, C.G.; Sun, Z.; Reetz, M.T. The Crucial Role of Methodology Development in Directed Evolution of Selective Enzymes. Angew. Chem. Int. Ed. 2020, 59, 13204–13231. [Google Scholar] [CrossRef] [PubMed]
- Li, G.; Zhang, H.; Sun, Z.; Liu, X.; Reetz, M.T. Multiparameter optimization in directed evolution: Engineering thermostability, enantioselectivity, and activity of an epoxide hydrolase. ACS Catal. 2016, 6, 3679–3687. [Google Scholar] [CrossRef]
- Sequeiros-Borja, C.E.; Surpeta, B.; Brezovsky, J. Recent advances in user-friendly computational tools to engineer protein function. Brief. Bioinform. 2020, bbaa150. [Google Scholar] [CrossRef]
- Planas-Iglesias, J.; Marques, S.M.; Pinto, G.P.; Musil, M.; Stourac, J.; Damborsky, J.; Bednar, D. Computational design of enzymes for biotechnological applications. Biotechnol. Adv. 2021, 47, 107696. [Google Scholar] [CrossRef]
- Gamboa-Melendez, H.; Larroude, M.; Park, Y.K.; Trebul, P.; Nicaud, J.M.; Ledesma-Amaro, R. Synthetic biology to improve the production of lipases and esterases (Review). In Lipases and Phospholipases. Methods in Molecular Biology; Sandoval, G., Ed.; Humana Press: New York, NY, USA, 2018; Volume 1835, pp. 229–242. [Google Scholar] [CrossRef]
- Damborsky, J.; Brezovsky, J. Computational tools for designing and engineering enzymes. Curr. Opin. Chem. Biol. 2014, 19, 8–16. [Google Scholar] [CrossRef]
- Suplatov, D.; Voevodin, V.; Švedas, V. Robust Enzyme Design: Bioinformatic Tools for Improved Protein Stability. Biotechnol. J. 2015, 10, 344–355. [Google Scholar] [CrossRef]
- Risso, V.A.; Romero-Rivera, A.; Gutierrez-Rus, L.I.; Ortega-Muñoz, M.; Santoyo-Gonzalez, F.; Gavira, J.A.; Sanchez-Ruiz, J.M.; Kamerlin, S.C.L. Enhancing a de novo enzyme activity by computationally-focused ultra-low-throughput screening. Chem. Sci. 2020, 11, 6134–6148. [Google Scholar] [CrossRef]
- Huang, P.S.; Boyken, S.E.; Baker, D. The Coming of Age of de Novo Protein Design. Nature 2016, 537, 320–327. [Google Scholar] [CrossRef]
- Chen, K.; Arnold, F.H. Engineering new catalytic activities in enzymes. Nat. Catal. 2020, 3, 203–213. [Google Scholar] [CrossRef]
- Winkler, C.K.; Schrittwieser, J.H.; Kroutil, W. Power of biocatalysis for organic synthesis. ACS Cent. Sci. 2021, 7, 55–71. [Google Scholar] [CrossRef]
- Bornscheuer, U.T. The fourth wave of biocatalysis is approaching. Philos. Trans. A Math. Phys. Eng. Sci. 2017, 376, 20170063. [Google Scholar] [CrossRef]
- Singla, P.; Bhardwaj, R.D. Enzyme promiscuity—A light on the “darker” side of enzyme specificity. Biocatal. Biotransform. 2020, 38, 81–92. [Google Scholar] [CrossRef]
- Jönsson, C.; Wei, R.; Biundo, A.; Landberg, J.; Schwarz Bour, L.; Pezzotti, F.; Toca, A.M.; Jacques, L.; Bornscheuer, U.T.; Syrén, P.O. Biocatalysis in the Recycling Landscape for Synthetic Polymers and Plastics towards Circular Textiles. ChemSusChem 2021, 14. [Google Scholar] [CrossRef]
- Dash, A.K.; Sahoo, S.K. Role of Enzymes in Textile Processing. In Bioprospecting of Enzymes in Industry, Healthcare and Sustainable Environment; Thatoi, H., Mohapatra, S., Das, S.K., Eds.; Springer: Singapore, 2021; pp. 395–410. [Google Scholar] [CrossRef]
- Sarkar, S.; Soren, K.; Chakraborty, P.; Bandopadhyay, R. Application of Enzymes in Textile Functional Finishing. In Advances in Functional Finishing of Textiles. Textile Science and Clothing Technology; Shahid, M., Adivarekar, R., Eds.; Springer: Singapore, 2020; pp. 115–127. [Google Scholar] [CrossRef]
- Shen, J. Enzymatic treatment of wool and silk fibers. In The Textile Institute Book Series, Advances in Textile Biotechnology, 2nd ed.; Cavaco-Paulo, A., Nierstrasz, V.A., Wang, Q., Eds.; Woodhead Publishing: Cambridge, UK, 2019; pp. 77–105. [Google Scholar] [CrossRef]
- Bai, R.; Yu, Y.; Wang, Q.; Yuan, J.; Fan, X. Laccase-Mediated in Situ Polymerization of Pyrrole for Simultaneous Coloration and Conduction of Wool Fabric. Text. Res. J. 2018, 88, 27–35. [Google Scholar] [CrossRef]
- Zhang, T.; Bai, R.; Shen, J.; Wang, Q.; Wang, P.; Yuan, J.; Fan, X. Laccase-Catalyzed Polymerization of Diaminobenzenesulfonic Acid for pH-Responsive Color-Changing and Conductive Wool Fabrics. Text. Res. J. 2018, 88, 2258–2266. [Google Scholar] [CrossRef]
- Zhang, Y.; Fan, X.; Wang, Q. Polypyrrole-Coated Conductive Cotton Prepared by Laccase. J. Nat. Fibers 2018, 15, 21–28. [Google Scholar] [CrossRef]
- Kim, S.; Lee, H.; Kim, J.; Oliveira, F.; Souto, P.; Kim, H.; Nakamatsu, J. Laccase-Mediated Grafting of Polyphenols onto Cationized Cotton Fibers to Impart UV Protection and Antioxidant Activities. J. Appl. Polym. Sci. 2018, 135, 45801. [Google Scholar] [CrossRef]
- Besegatto, S.V.; Costa, F.N.; Damas, M.S.P.; Colombi, B.L.; De Rossi, A.C.; De Aguiar, C.R.L.; Immich, A.P.S. Enzyme Treatment at Different Stages of Textile Processing: A Review. Ind. Biotechnol. 2018, 14, 298–307. [Google Scholar] [CrossRef]
- Sheikh, J.; Bramhecha, I. Enzymes for green chemical processing of cotton. In The Textile Institute Book Series, The Impact and Prospects of Green Chemistry for Textile Technology; Shahid-ul-Islam, B.S., Ed.; Woodhead Publishing: Cambridge, UK, 2019; pp. 135–160. [Google Scholar] [CrossRef]
- Chen, X.; Li, J. Bioinspired by cell membranes: Functional polymeric materials for biomedical applications. Mater. Chem. Front. 2020, 4, 750–774. [Google Scholar] [CrossRef]
- Ulery, B.D.; Nair, L.S.; Laurencin, C.T. Biomedical applications of biodegradable polymers. J. Polym. Sci. Part B Polym. Phys. 2011, 49, 832–864. [Google Scholar] [CrossRef]
- Chen, Q.; Liang, S.; Thouas, G.A. Elastomeric biomaterials for tissue engineering. Prog. Polym. Sci. 2013, 38, 584–671. [Google Scholar] [CrossRef]
- Guo, B.; Ma, P.X. Synthetic biodegradable functional polymers for tissue engineering: A brief review. Sci. China Chem. 2014, 57, 490–500. [Google Scholar] [CrossRef]
- Chimisso, V.; Aleman Garcia, M.A.; Yorulmaz Avsar, S.; Dinu, I.A.; Palivan, C.G. Design of Bio-Conjugated Hydrogels for Regenerative Medicine Applications: From Polymer Scaffold to Biomolecule Choice. Molecules 2020, 25, 4090. [Google Scholar] [CrossRef]
- Zhang, Y.; Wu, D.; Zhao, X.; Pakvasa, M.; Tucker, A.B.; Luo, H.; Qin, K.H.; Hu, D.A.; Wang, E.J.; Li, A.J.; et al. Stem Cell-Friendly Scaffold Biomaterials: Applications for Bone Tissue Engineering and Regenerative Medicine. Front. Bioeng. Biotechnol. 2020, 8, 598607. [Google Scholar] [CrossRef]
- Kobayashi, S.; Uyama, H.; Kimura, S. Enzymatic Polymerization. Chem. Rev. 2001, 101, 3793–3818. [Google Scholar] [CrossRef]
- Glass, J.D. Enzymes as Reagents in the Synthesis of Peptides. Enzyme Microb. Technol. 1981, 3, 2–8. [Google Scholar] [CrossRef]
- Okumura, S.; Iwai, M.; Tominaga, Y. Synthesis of Ester Oligomer by Aspergillus Niger Lipase. Agric. Biol. Chem. 1984, 48, 2805–2808. [Google Scholar] [CrossRef]
- Zaks, A.; Klibanov, A.M. Enzyme-catalyzed processes in organic solvents. Proc. Natl. Acad. Sci. USA 1985, 82, 3192–3196. [Google Scholar] [CrossRef]
- Margolin, A.L.; Crenne, J.Y.; Klibanov, A.M. Stereoselective Oligomerizations Catalyzed by Lipases in Organic Solvents. Tetrahedron Lett. 1987, 28, 1607–1609. [Google Scholar] [CrossRef]
- Kobayashi, S.; Uyama, H.; Ohmae, M. Enzymatic Polymerization for Precision Polymer Synthesis. Bull. Chem. Soc. Jpn. 2001, 74, 613–635. [Google Scholar] [CrossRef]
- Shoda, S.I.; Uyama, H.; Kadokawa, J.I.; Kimura, S.; Kobayashi, S. Enzymes as Green Catalysts for Precision Macromolecular Synthesis. Chem. Rev. 2016, 116, 2307–2413. [Google Scholar] [CrossRef] [PubMed]
- Linares, G.; Baldessari, A. Lipases as Efficient Catalysts in the Synthesis of Monomers and Polymers with Biomedical Applications. Curr. Org. Chem. 2013, 17, 719–743. [Google Scholar] [CrossRef]
- Khan, A.; Sharma, S.K.; Kumar, A.; Watterson, A.C.; Kumar, J.; Parmar, V.S. Novozym 435-Catalyzed Syntheses of Polyesters and Polyamides of Medicinal and Industrial Relevance. ChemSusChem 2014, 7, 379–390. [Google Scholar] [CrossRef]
- Jiang, Y.; Loos, K. Enzymatic Synthesis of Biobased Polyesters and Polyamides. Polymers 2016, 8, 243. [Google Scholar] [CrossRef]
- Douka, A.; Vouyiouka, S.; Papaspyridi, L.M.; Papaspyrides, C.D. A Review on Enzymatic Polymerization to Produce Polycondensation Polymers: The Case of Aliphatic Polyesters, Polyamides and Polyesteramides. Prog. Polym. Sci. 2018, 79, 1–25. [Google Scholar] [CrossRef]
- Yang, J.; Liu, Y.; Liang, X.; Yang, Y.; Li, Q. Enantio-, Regio-, and Chemoselective Lipase-Catalyzed Polymer Synthesis. Macromol. Biosci. 2018, 18, e1800131. [Google Scholar] [CrossRef]
- Gübitz, G.M.; Paulo, A.C. New Substrates for Reliable Enzymes: Enzymatic Modification of Polymers. Curr. Opin. Biotechnol. 2003, 14, 577–582. [Google Scholar] [CrossRef]
- Sen, S.; Puskas, J.E. Green Polymer Chemistry: Enzyme Catalysis for Polymer Functionalization. Molecules 2015, 20, 9358–9379. [Google Scholar] [CrossRef]
- Iwata, T. Biodegradable and Bio-Based Polymers: Future Prospects of Eco-Friendly Plastics. Angew. Chem. Int. Ed. 2015, 54, 3210–3215. [Google Scholar] [CrossRef]
- Johnson, A.N.; Barlow, D.E.; Kelly, A.L.; Varaljay, V.A.; Crookes-Goodson, W.J.; Biffinger, J.C. Current Progress towards Understanding the Biodegradation of Synthetic Condensation Polymers with Active Hydrolases. Polym. Int. 2020. [Google Scholar] [CrossRef]
- Razi, A.; Hassimi, O.; Hasan, A.; Hafizuddin, M.; Nur, M.; Ismail, I. Microbial Degradation of Microplastics by Enzymatic Processes: A Review. Environ. Chem. Lett. 2021. [Google Scholar] [CrossRef]
- Emadian, S.M.; Onay, T.T.; Demirel, B. Biodegradation of Bioplastics in Natural Environments. Waste Manag. 2017, 59, 526–536. [Google Scholar] [CrossRef]
- Kawai, F.; Kawabata, T.; Oda, M. Current State and Perspectives Related to the Polyethylene Terephthalate Hydrolases Available for Biorecycling. ACS Sustain. Chem. Eng. 2020, 8, 8894–8908. [Google Scholar] [CrossRef]
- Vogel, K.; Wei, R.; Pfaff, L.; Breite, D.; Al-Fathi, H.; Ortmann, C.; Estrela-Lopis, I.; Venus, T.; Schulze, A.; Harms, H.; et al. Enzymatic Degradation of Polyethylene Terephthalate Nanoplastics Analyzed in Real Time by Isothermal Titration Calorimetry. Sci. Total Environ. 2021, 773, 145111. [Google Scholar] [CrossRef]
- Maurya, A.; Bhattacharya, A.; Khare, S.K. Enzymatic Remediation of Polyethylene Terephthalate (PET)–Based Polymers for Effective Management of Plastic Wastes: An Overview. Front. Bioeng. Biotechnol. 2020, 8, 602325. [Google Scholar] [CrossRef]
- Carniel, A.; Valoni, É.; Junior, J.N.; da Conceição Gomes, A.; de Castro, A.M. Lipase from Candida Antarctica (CALB) and Cutinase from Humicola Insolens Act Synergistically for PET Hydrolysis to Terephthalic Acid. Process Biochem. 2017, 59, 84–90. [Google Scholar] [CrossRef]
- Carr, C.M.; Clarke, D.J.; Dobson, A.D.W. Microbial Polyethylene Terephthalate Hydrolases: Current and Future Perspectives. Front. Microbiol. 2020, 11, 571265. [Google Scholar] [CrossRef]
- Joo, S.; Cho, I.J.; Seo, H.; Son, H.F.; Sagong, H.Y.; Shin, T.J.; Choi, S.Y.; Lee, S.Y.; Kim, K.J. Structural Insight into Molecular Mechanism of Poly(Ethylene Terephthalate) Degradation. Nat. Commun. 2018, 9, 382. [Google Scholar] [CrossRef]
- Gandini, A.; Lacerda, T.M. From monomers to polymers from renewable resources: Recent advances. Prog. Polym. Sci. 2015, 48, 1–39. [Google Scholar] [CrossRef]
- Todea, A.; Dreavă, D.M.; Benea, I.C.; Bîtcan, I.; Peter, F.; Boeriu, C.G. Achievements and Trends in Biocatalytic Synthesis of Specialty Polymers from Biomass-Derived Monomers Using Lipases. Processes 2021, 9, 646. [Google Scholar] [CrossRef]
- Llevot, A.; Dannecker, P.K.; von Czapiewski, M.; Over, L.C.; Söyler, Z.; Meier, M.A.R. Renewability Is Not Enough: Recent Advances in the Sustainable Synthesis of Biomass-Derived Monomers and Polymers. Chem. A Eur. J. 2016, 22, 11510–11521. [Google Scholar] [CrossRef]
- de Salas, F.; Pardo, I.; Salavagione, H.J.; Aza, P.; Amougi, E.; Vind, J.; Martínez, A.T.; Camarero, S. Advanced synthesis of conductive polyaniline using laccase as biocatalyst. PLoS ONE 2016, 11, e0164958. [Google Scholar] [CrossRef]
- Otrokhov, G.V.; Shumakovich, G.P.; Khlupova, M.E.; Vasil’eva, I.S.; Kaplan, I.B.; Zaitchik, B.T.; Zaitseva, E.A.; Morozova, O.V.; Yaropolov, A.I. Biocatalytic Approach as Alternative to Chemical Synthesis of Polyaniline/Carbon Nanotube Composite with Enhanced Electrochemical Properties. RSC Adv. 2016, 6, 60372–60375. [Google Scholar] [CrossRef]
- Shumakovich, G.P.; Morozova, O.V.; Khlupova, M.E.; Vasil’eva, I.S.; Zaitseva, E.A.; Yaropolov, A.I. Enhanced Performance of a Flexible Supercapacitor Due to a Combination of the Pseudocapacitances of Both a PANI/MWCNT Composite Electrode and a Gel Polymer Redox Electrolyte. RSC Adv. 2017, 7, 34192–34196. [Google Scholar] [CrossRef]
- Shumakovich, G.P.; Khlupova, M.E.; Vasil’eva, I.S.; Zaitseva, E.A.; Gromova, E.V.; Morozova, O.V.; Yaropolov, A.I. Laccase-Catalyzed Aniline Polymerization on Multiwalled Carbon Nanotubes: The Effect of Surface Carboxyl Groups on Polyaniline Properties. Appl. Biochem. Microbiol. 2019, 55, 32–36. [Google Scholar] [CrossRef]
- Kim, S.Y.; Zille, A.; Murkovic, M.; Güebitz, G.; Cavaco-Paulo, A. Enzymatic Polymerization on the Surface of Functionalized Cellulose Fibers. Enzyme Microb. Technol. 2007, 40, 1782–1787. [Google Scholar] [CrossRef]
- Li, F.; Yu, Y.; Wang, Q.; Yuan, J.; Wang, P.; Fan, X. Polymerization of Dopamine Catalyzed by Laccase: Comparison of Enzymatic and Conventional Methods. Enzyme Microb. Technol. 2018, 119, 58–64. [Google Scholar] [CrossRef] [PubMed]
- Vasil’eva, I.S.; Shumakovich, G.P.; Morozova, O.V.; Khlupova, M.E.; Vasiliev, R.B.; Zaitseva, E.A.; Yaropolov, A.I. Efficiency of a Fungal Laccase in 3,4-Ethylenedioxythiophene Polymerization. Chem. Pap. 2018, 72, 1499–1505. [Google Scholar] [CrossRef]
- Vasil’eva, I.S.; Khlupova, M.E.; Shumakovich, G.P.; Zaitseva, E.A.; Morozova, O.V.; Yaropolov, A.I. Biocatalytic Synthesis of Conducting Poly(3,4-Ethylenedioxythiophene) Using a Natural DNA Template. Moscow Univ. Chem. Bull. 2019, 74, 186–190. [Google Scholar] [CrossRef]
- Vasil’eva, I.S.; Shumakovich, G.P.; Khlupova, M.E.; Vasiliev, R.B.; Emets, V.V.; Bogdanovskaya, V.A.; Morozova, O.V.; Yaropolov, A.I. Enzymatic Synthesis and Electrochemical Characterization of Sodium 1,2-Naphthoquinone-4-Sulfonate-Doped PEDOT/MWCNT Composite. RSC Adv. 2020, 10, 33010–33017. [Google Scholar] [CrossRef]
- Zhang, L.; Zhao, W.; Ma, Z.; Nie, G.; Cui, Y. Enzymatic Polymerization of Phenol Catalyzed by Horseradish Peroxidase in Aqueous Micelle System. Eur. Polym. J. 2012, 48, 580–585. [Google Scholar] [CrossRef]
- Zhao, Y.; Zhu, H.; Wang, X.; Liu, Y.; Wu, X.; Zhou, H.; Ni, Z. Enzyme-Catalyzed Synthesis of Water-Soluble Conjugated Poly[2-(3-Thienyl)-Ethoxy-4-Butylsulfonate]. Polymers 2016, 8, 139. [Google Scholar] [CrossRef]
- Delgove, M.A.F.; Elford, M.T.; Bernaerts, K.V.; De Wildeman, S.M.A. Toward Upscaled Biocatalytic Preparation of Lactone Building Blocks for Polymer Applications. Org. Process Res. Dev. 2018, 22, 803–812. [Google Scholar] [CrossRef]
- Farhat, W.; Stamm, A.; Robert-Monpate, M.; Biundo, A.; Syrén, P.O. Biocatalysis for Terpene-Based Polymers. Z. Naturforsch. Sect. C J. Biosci. 2019, 74, 91–100. [Google Scholar] [CrossRef]
- Aalbers, F.S.; Fraaije, M.W. Coupled Reactions by Coupled Enzymes: Alcohol to Lactone Cascade with Alcohol Dehydrogenase–Cyclohexanone Monooxygenase Fusions. Appl. Microbiol. Biotechnol. 2017, 101, 7557–7565. [Google Scholar] [CrossRef]
- Farhat, W.; Biundo, A.; Stamm, A.; Malmström, E.; Syrén, P.O. Lactone Monomers Obtained by Enzyme Catalysis and Their Use in Reversible Thermoresponsive Networks. J. Appl. Polym. Sci. 2020, 137. [Google Scholar] [CrossRef]
- Wang, Y.; Li, S.; Xu, X.; Tan, Y.; Liu, X.; Fang, J. Chemoenzymatic Synthesis of Homogeneous Chondroitin Polymers and Its Derivatives. Carbohydr. Polym. 2020, 232, 115822. [Google Scholar] [CrossRef]
- Song, J.J.; Zhang, S.; Lenz, R.W.; Goodwin, S. In vitro Polymerization and Copolymerization of 3-Hydroxypropionyl-CoA with the PHB Synthase from Ralstonia eutropha. Biomacromolecules 2000, 1, 433–439. [Google Scholar] [CrossRef]
- Jossek, R.; Steinbüchel, A. In Vitro Synthesis of Poly(3-Hydroxybutyric Acid) by Using an Enzymatic Coenzyme A Recycling System. FEMS Microbiol. Lett. 1998, 168, 319–324. [Google Scholar] [CrossRef] [PubMed]
- Bao, C.; Xu, X.; Chen, J.; Zhang, Q. Synthesis of Biodegradable Protein-Poly(ε-Caprolactone) Conjugates: Via Enzymatic Ring Opening Polymerization. Polym. Chem. 2020, 11, 682–686. [Google Scholar] [CrossRef]
- Polloni, A.E.; Chiaradia, V.; Figura, E.M.; de Paoli, J.P.; de Oliveira, D.; de Oliveira, J.V.; de Araujo, P.H.H.; Sayer, C. Polyesters from Macrolactones Using Commercial Lipase NS 88011 and Novozym 435 as Biocatalysts. Appl. Biochem. Biotechnol. 2017, 184, 659–672. [Google Scholar] [CrossRef] [PubMed]
- Ulker, C.; Guvenilir, Y. Enzymatic Synthesis and Characterization of Biodegradable Poly(ω-Pentadecalactone-Co-ε-Caprolactone) Copolymers. J. Renew. Mater. 2018, 6, 591–598. [Google Scholar] [CrossRef]
- Todea, A.; Bîtcan, I.; Aparaschivei, D.; Păuşescu, I.; Badea, V.; Péter, F.; Gherman, V.D.; Rusu, G.; Nagy, L.; Kéki, S. Biodegradable Oligoesters of ε-Caprolactone and 5-Hydroxymethyl-2-Furancarboxylic Acid Synthesized by Immobilized Lipases. Polymers 2019, 11, 1402. [Google Scholar] [CrossRef]
- Pellis, A.; Comerford, J.W.; Maneffa, A.J.; Sipponen, M.H.; Clark, J.H.; Farmer, T.J. Elucidating Enzymatic Polymerisations: Chain-Length Selectivity of Candida Antarctica Lipase B towards Various Aliphatic Diols and Dicarboxylic Acid Diesters. Eur. Polym. J. 2018, 106, 79–84. [Google Scholar] [CrossRef]
- Pellis, A.; Weinberger, S.; Gigli, M.; Guebitz, G.M.; Farmer, T.J. Enzymatic Synthesis of Biobased Polyesters Utilizing Aromatic Diols as the Rigid Component. Eur. Polym. J. 2020, 130, 109680. [Google Scholar] [CrossRef]
- Pellis, A.; Guarneri, A.; Brandauer, M.; Acero, E.H.; Peerlings, H.; Gardossi, L.; Guebitz, G.M. Exploring Mild Enzymatic Sustainable Routes for the Synthesis of Bio-Degradable Aromatic-Aliphatic Oligoesters. Biotechnol. J. 2016, 11, 642–647. [Google Scholar] [CrossRef]
- Wu, W.X. Lipase-Catalyzed Synthesis of Aliphatic Poly(β-Thioether Ester) with Various Methylene Group Contents: Thermal Properties, Crystallization and Degradation. Polym. Int. 2019, 68, 1848–1855. [Google Scholar] [CrossRef]
- Sokołowska, M.; Stachowska, E.; Czaplicka, M.; El Fray, M. Effect of Enzymatic versus Titanium Dioxide/Silicon Dioxide Catalyst on Crystal Structure of ‘Green’ Poly[(Butylene Succinate)-Co-(Dilinoleic Succinate)] Copolymers. Polym. Int. 2020, 70, 514–526. [Google Scholar] [CrossRef]
- Todea, A.; Aparaschivei, D.; Bîtcan, I.; Ledeți, I.V.; Bandur, G.; Péter, F.; Nagy, L.; Kéki, S.; Biró, E. Thermal Behavior of Oligo[(ε-Caprolactone)-Co-δ-Gluconolactone] Enzymatically Synthesized in Reaction Conditions Optimized by Experimental Design. J. Therm. Anal. Calorim. 2020, 141, 1017–1026. [Google Scholar] [CrossRef]
- Pfluck, A.C.D.; de Barros, D.P.C.; Fonseca, L.P. Biodegradable Polyester Synthesis in Renewed Aqueous Polycondensation Media: The Core of the New Greener Polymer-5b Technology. Processes 2021, 9, 365. [Google Scholar] [CrossRef]
- Pospiech, D.; Choińska, R.; Flugrat, D.; Sahre, K.; Jehnichen, D.; Korwitz, A.; Friedel, P.; Werner, A.; Voit, B. Enzymatic Synthesis of Poly(alkylene succinate)s: Influence of Reaction Conditions. Processes 2021, 9, 411. [Google Scholar] [CrossRef]
- Montanier, C.Y.; Chabot, N.; Emond, S.; Guieysse, D.; Remaud-Siméon, M.; Peruch, F.; André, I. Engineering of Candida Antarctica Lipase B for Poly(ε-Caprolactone) Synthesis. Eur. Polym. J. 2017, 95, 809–819. [Google Scholar] [CrossRef]
- Höck, H.; Engel, S.; Weingarten, S.; Keul, H.; Schwaneberg, U.; Möller, M.; Bocola, M. Comparison of Candida Antarctica Lipase B Variants for Conversion of ε-Caprolactone in Aqueous Medium-Part 2. Polymers 2018, 10, 524. [Google Scholar] [CrossRef]
- Zhang, Y.; Xia, B.; Li, Y.; Lin, X.; Wu, Q. Substrate Engineering in Lipase-Catalyzed Selective Polymerization of D-/L-Aspartates and Diols to Prepare Helical Chiral Polyester. Biomacromolecules 2021, 22, 918–926. [Google Scholar] [CrossRef]
- Zhao, X.; Bansode, S.R.; Ribeiro, A.; Abreu, A.S.; Oliveira, C.; Parpot, P.; Gogate, P.R.; Rathod, V.K.; Cavaco-Paulo, A. Ultrasound Enhances Lipase-Catalyzed Synthesis of Poly (Ethylene Glutarate). Ultrason. Sonochem. 2016, 31, 506–511. [Google Scholar] [CrossRef]
- Chiaradia, V.; Polloni, A.E.; de Oliveira, D.; de Oliveira, J.V.; Araújo, P.H.H.; Sayer, C. Polyester Nanoparticles from Macrolactones via Miniemulsion Enzymatic Ring-Opening Polymerization. Colloid Polym. Sci. 2018, 296, 861–869. [Google Scholar] [CrossRef]
- Nallani, M.; de Hoog, H.P.M.; Cornelissen, J.J.L.M.; Palmans, A.R.A.; van Hest, J.C.M.; Nolte, R.J.M. Polymersome Nanoreactors for Enzymatic Ring-Opening Polymerization. Biomacromolecules 2007, 8, 3723–3728. [Google Scholar] [CrossRef]
- Pellis, A.; Corici, L.; Sinigoi, L.; D’Amelio, N.; Fattor, D.; Ferrario, V.; Ebert, C.; Gardossi, L. Towards Feasible and Scalable Solvent-Free Enzymatic Polycondensations: Integrating Robust Biocatalysts with Thin Film Reactions. Green Chem. 2015, 17, 1756–1766. [Google Scholar] [CrossRef]
- Spinella, S.; Ganesh, M.; Lo Re, G.; Zhang, S.; Raquez, J.M.; Dubois, P.; Gross, R.A. Enzymatic Reactive Extrusion: Moving towards Continuous Enzyme-Catalysed Polyester Polymerisation and Processing. Green Chem. 2015, 17, 4146–4150. [Google Scholar] [CrossRef]
- Yuan, J.; Dai, Y.; Yu, Y.; Wang, P.; Wang, Q.; Fan, X. Biocatalytic Synthesis of Poly(ε-Caprolactone) Using Modified Lipase in Ionic Liquid Media. Eng. Life Sci. 2016, 16, 371–378. [Google Scholar] [CrossRef]
- Zhao, H.; Afriyie, L.O.; Larm, N.E.; Baker, G.A. Glycol-Functionalized Ionic Liquids for High-Temperature Enzymatic Ring-Opening Polymerization. RSC Adv. 2018, 8, 36025–36033. [Google Scholar] [CrossRef]
- Polloni, A.E.; Veneral, J.G.; Rebelatto, E.A.; de Oliveira, D.; Oliveira, J.V.; Araújo, P.H.H.; Sayer, C. Enzymatic Ring Opening Polymerization of ω-Pentadecalactone Using Supercritical Carbon Dioxide. J. Supercrit. Fluids 2017, 119, 221–228. [Google Scholar] [CrossRef]
- Rosso Comim, S.R.; Veneral, J.G.; De Oliveira, D.; Ferreira, S.R.S.; Oliveira, J.V. Enzymatic Synthesis of Poly(ε-Caprolactone) in Liquified Petroleum Gas and Carbon Dioxide. J. Supercrit. Fluids 2015, 96, 334–348. [Google Scholar] [CrossRef]
- Gkountela, C.; Rigopoulou, M.; Barampouti, E.M.; Vouyiouka, S. Enzymatic Prepolymerization Combined with Bulk Post-Polymerization towards the Production of Bio-Based Polyesters: The Case of Poly(Butylene Succinate). Eur. Polym. J. 2021, 143, 110197. [Google Scholar] [CrossRef]
- Stavila, E.; Loos, K. Synthesis of Polyamides and Their Copolymers via Enzymatic Polymerization. J. Renew. Mater. 2015, 3, 268–280. [Google Scholar] [CrossRef]
- Finnveden, M.; Hendil-Forssell, P.; Claudino, M.; Johansson, M.; Martinelle, M. Lipase-Catalyzed Synthesis of Renewable Plant Oil-Based Polyamides. Polymers 2019, 11, 1730. [Google Scholar] [CrossRef]
- Jiang, Y.; Maniar, D.; Woortman, A.J.J.; Loos, K. Enzymatic Synthesis of 2,5-Furandicarboxylic Acid-Based Semi-Aromatic Polyamides: Enzymatic Polymerization Kinetics, Effect of Diamine Chain Length and Thermal Properties. RSC Adv. 2016, 6, 67941–67953. [Google Scholar] [CrossRef]
- Baldessari, A.; Liñares, G.G. Chemoenzymatic Synthesis of Nitrogen Polymers with Biomedical Applications Catalyzed by Lipases. In Lipases and Phospholipases—Methods in Molecular Biology; Sandoval, G., Ed.; Humana Press: New York, NY, USA, 2018; Volume 1835, pp. 359–376. [Google Scholar] [CrossRef]
- Zhang, Y.; Xia, B.; Li, Y.; Wang, Y.; Lin, X.; Wu, Q. Solvent-Free Lipase-Catalyzed Synthesis, Unique Properties of Enantiopure D- and L-Polyaspartates and Their Complexation. Biomacromolecules 2016, 17, 362–370. [Google Scholar] [CrossRef]
- Feng, Y.; Lu, J.; Behl, M.; Lendlein, A. Progress in Depsipeptide-Based Biomaterials. Macromol. Biosci. 2010, 10, 1008–1021. [Google Scholar] [CrossRef] [PubMed]
- Stavila, E.; Alberda van Ekenstein, G.O.R.; Woortman, A.J.J.; Loos, K. Lipase-Catalyzed Ring-Opening Copolymerization of ε-Caprolactone and β-Lactam. Biomacromolecules 2014, 15, 234–241. [Google Scholar] [CrossRef] [PubMed]
- Liang, Y.; Zhang, Y.; Hu, Y.; Xia, B.; Lin, X.; Wu, Q. Lipase-Catalyzed Synthesis of Chiral Poly(Ester Amide)s with an Alternating Sequence of Hydroxy Acid and L/D-Aspartate Units. Polym. Chem. 2018, 9, 1412–1420. [Google Scholar] [CrossRef]
- Maniar, D.; Silvianti, F.; Ospina, V.M.; Woortman, A.J.J.; van Dijken, J.; Loos, K. On the Way to Greener Furanic-Aliphatic Poly(Ester Amide)s: Enzymatic Polymerization in Ionic Liquid. Polymer 2020, 205, 122662. [Google Scholar] [CrossRef]
- Ferrario, V.; Pellis, A.; Cespugli, M.; Guebitz, G.M.; Gardossi, L. Nature Inspired Solutions for Polymers: Will Cutinase Enzymes Make Polyesters and Polyamides Greener? Catalysts 2016, 6, 205. [Google Scholar] [CrossRef]
- Pellis, A.; Ferrario, V.; Cespugli, M.; Corici, L.; Guarneri, A.; Zartl, B.; Acero, E.H.; Ebert, C.; Guebitz, G.M.; Gardossi, L. Fully Renewable Polyesters: Via Polycondensation Catalyzed by Thermobifida Cellulosilytica Cutinase 1: An Integrated Approach. Green Chem. 2017, 19, 490–502. [Google Scholar] [CrossRef]
- Pellis, A.; Ferrario, V.; Zartl, B.; Brandauer, M.; Gamerith, C.; Acero, E.H.; Ebert, C.; Gardossi, L.; Guebitz, G.M. Enlarging the Tools for Efficient Enzymatic Polycondensation: Structural and Catalytic Features of Cutinase 1 from: Thermobifida Cellulosilytica. Catal. Sci. Technol. 2016, 6, 3430–3442. [Google Scholar] [CrossRef]
- Yazawa, K.; Numata, K. Papain-Catalyzed Synthesis of Polyglutamate Containing a Nylon Monomer Unit. Polymers 2016, 8, 194. [Google Scholar] [CrossRef]
- Yazawa, K.; Gimenez-Dejoz, J.; Masunaga, H.; Hikima, T.; Numata, K. Chemoenzymatic Synthesis of a Peptide Containing Nylon Monomer Units for Thermally Processable Peptide Material Application. Polym. Chem. 2017, 8, 4172–4176. [Google Scholar] [CrossRef]
- Fagerland, J.; Finne-Wistrand, A.; Numata, K. Short One-Pot Chemo-Enzymatic Synthesis of L-Lysine and L-Alanine Diblock Co-Oligopeptides. Biomacromolecules 2014, 15, 735–743. [Google Scholar] [CrossRef]
- Tsuchiya, K.; Numata, K. Chemoenzymatic Synthesis of Polypeptides Containing the Unnatural Amino Acid 2-Aminoisobutyric Acid. Chem. Commun. 2017, 53, 7318–7321. [Google Scholar] [CrossRef]
- Fagerland, J.; Pappalardo, D.; Schmidt, B.; Syrén, P.O.; Finne-Wistrand, A. Template-Assisted Enzymatic Synthesis of Oligopeptides from a Polylactide Chain. Biomacromolecules 2017, 18, 4271–4280. [Google Scholar] [CrossRef]
- Tsuchiya, K.; Yilmaz, N.; Miyamoto, T.; Masunaga, H.; Numata, K. Zwitterionic Polypeptides: Chemoenzymatic Synthesis and Loosening Function for Cellulose Crystals. Biomacromolecules 2020, 21, 1785–1794. [Google Scholar] [CrossRef]
- Ma, Y.; Sato, R.; Li, Z.; Numata, K. Chemoenzymatic Synthesis of Oligo(L-Cysteine) for Use as a Thermostable Bio-Based Material. Macromol. Biosci. 2016, 16, 151–159. [Google Scholar] [CrossRef]
- Hollmann, F.; Arends, I.W.C.E. Enzyme Initiated Radical Polymerizations. Polymers 2012, 4, 759–793. [Google Scholar] [CrossRef]
- Zavada, S.R.; Battsengel, T.; Scott, T.F. Radical-Mediated Enzymatic Polymerizations. Int. J. Mol. Sci. 2016, 17, 195. [Google Scholar] [CrossRef]
- Walde, P.; Kashima, K.; Ćirić-Marjanović, G. Synthesizing Polyaniline with Laccase/O2 as Catalyst. Front. Bioeng. Biotechnol. 2019, 7, 165. [Google Scholar] [CrossRef]
- Ghoul, M.; Chebil, L. Enzymatic Polymerization of Phenolic Compounds by Oxidoreductases. In SpringerBriefs in Green Chemistry for Sustainability; Sharma, S.K., Ed.; Springer Nature: Cham, Switzerland, 2012. [Google Scholar] [CrossRef]
- Kohri, M.; Kobayashi, A.; Fukushima, H.; Taniguchi, T.; Nakahira, T. Effect of Surfactant Type on Enzymatic Miniemulsion Polymerization Using Horseradish Peroxidase as a Catalyst. Chem. Lett. 2012, 41, 1131–1133. [Google Scholar] [CrossRef]
- Kohri, M. Development of HRP-Mediated Enzymatic Polymerization under Heterogeneous Conditions for the Preparation of Functional Particles. Polym. J. 2014, 46, 373–380. [Google Scholar] [CrossRef]
- Di Gennaro, P.; Bargna, A.; Bruno, F.; Sello, G. Purification of Recombinant Catalase-Peroxidase HPI from E. coli and Its Application in Enzymatic Polymerization Reactions. Appl. Microbiol. Biotechnol. 2014, 98, 1119–1126. [Google Scholar] [CrossRef]
- De Gonzalo, G.; Mihovilovic, M.D.; Fraaije, M.W. Recent Developments in the Application of Baeyer-Villiger Monooxygenases as Biocatalysts. ChemBioChem 2010, 11, 2208–2231. [Google Scholar] [CrossRef] [PubMed]
- Balke, K.; Kadow, M.; Mallin, H.; Saß, S.; Bornscheuer, U.T. Discovery, Application and Protein Engineering of Baeyer-Villiger Monooxygenases for Organic Synthesis. Org. Biomol. Chem. 2012, 10, 6249–6265. [Google Scholar] [CrossRef] [PubMed]
- Krikstolaityte, V.; Kuliesius, J.; Ramanaviciene, A.; Mikoliunaite, L.; Kausaite-Minkstimiene, A.; Oztekin, Y.; Ramanavicius, A. Enzymatic polymerization of polythiophene by immobilized glucose oxidase. Polymer 2014, 55, 1613–1620. [Google Scholar] [CrossRef]
- Liao, C.A.; Wu, Q.; Wei, Q.C.; Wang, Q.G. Bioinorganic Nanocomposite Hydrogels Formed by HRP-GOx-Cascade-Catalyzed Polymerization and Exfoliation of the Layered Composites. Chem. A Eur. J. 2015, 21, 12620–12626. [Google Scholar] [CrossRef] [PubMed]
- Kadokawa, J. Precision synthesis of functional polysaccharide materials by phosphorylase-catalyzed enzymatic reactions. Polymers 2016, 8, 138. [Google Scholar] [CrossRef]
- Li, J.; Qiao, M.; Ji, Y.; Lin, L.; Zhang, X.; Linhardt, R.J. Chemical, Enzymatic and Biological Synthesis of Hyaluronic Acids. Int. J. Biol. Macromol. 2020, 152, 199–206. [Google Scholar] [CrossRef]
- Demeester, K.E.; Liang, H.; Jensen, M.R.; Jones, Z.S.; D’Ambrosio, E.A.; Scinto, S.L.; Zhou, J.; Grimes, C.L. Synthesis of Functionalized N-Acetyl Muramic Acids to Probe Bacterial Cell Wall Recycling and Biosynthesis. J. Am. Chem. Soc. 2018, 140, 9458–9465. [Google Scholar] [CrossRef]
- Tanaka, T.; Matsuura, A.; Aso, Y.; Ohara, H. Aqueous One-Pot Synthesis of Glycopolymers by Glycosidase-Catalyzed Glycomonomer Synthesis Using 4,6-Dimetoxy Triazinyl Glycoside Followed by Radical Polymerization. J. Appl. Glycosci. 2020, 67, 119–127. [Google Scholar] [CrossRef]
- Kadokawa, J.I. α-Glucan Phosphorylase-Catalyzed Enzymatic Reactions Using Analog Substrates to Synthesize Non-Natural Oligo-and Polysaccharides. Catalysts 2018, 8, 473. [Google Scholar] [CrossRef]
- Uchino, K.; Saito, T. Thiolysis of Poly(3-Hydroxybutyrate) with Polyhydroxyalkanoate Synthase from Ralstonia Eutropha. J. Biochem. 2006, 139, 615–621. [Google Scholar] [CrossRef]
- Wittenborn, E.C.; Jost, M.; Wei, Y.; Stubbe, J.A.; Drennan, C.L. Structure of the Catalytic Domain of the Class I Polyhydroxybutyrate Synthase from Cupriavidus necator. J. Biol. Chem. 2016, 291, 25264–25277. [Google Scholar] [CrossRef]
- Tan, H.T.; Chek, M.F.; Lakshmanan, M.; Foong, C.P.; Hakoshima, T.; Sudesh, K. Evaluation of BP-M-CPF4 Polyhydroxyalkanoate (PHA) Synthase on the Production of Poly(3-Hydroxybutyrate-Co-3-Hydroxyhexanoate) from Plant Oil Using Cupriavidus Necator Transformants. Int. J. Biol. Macromol. 2020, 159, 250–257. [Google Scholar] [CrossRef]
- Zheng, Y.; Chen, J.C.; Ma, Y.M.; Chen, G.Q. Engineering Biosynthesis of Polyhydroxyalkanoates (PHA) for Diversity and Cost Reduction. Metab. Eng. 2020, 58, 82–93. [Google Scholar] [CrossRef]
- Adeleye, A.T.; Odoh, C.K.; Enudi, O.C.; Banjoko, O.O.; Osiboye, O.O.; Toluwalope Odediran, E.; Louis, H. Sustainable Synthesis and Applications of Polyhydroxyalkanoates (PHAs) from Biomass. Process Biochem. 2020, 96, 174–193. [Google Scholar] [CrossRef]
- Lathwal, P.; Nehra, K.; Singh, M.; Rana, J.S. Characterization of Novel and Efficient Poly-3-Hydroxybutyrate (PHB) Producing Bacteria Isolated from Rhizospheric Soils. J. Polym. Environ. 2018, 26, 3437–3450. [Google Scholar] [CrossRef]
- Zaheer, M.R.; Kuddus, M. PHB (Poly-β-Hydroxybutyrate) and Its Enzymatic Degradation. Polym. Adv. Technol. 2018, 29, 30–40. [Google Scholar] [CrossRef]
- Ortiz, C.; Ferreira, M.L.; Barbosa, O.; Dos Santos, J.C.S.; Rodrigues, R.C.; Berenguer-Murcia, Á.; Briand, L.E.; Fernandez-Lafuente, R. Novozym 435: The “Perfect” Lipase Immobilized Biocatalyst? Catal. Sci. Technol. 2019, 9, 2380–2420. [Google Scholar] [CrossRef]
- Yeniad, B.; Naik, H.; Heise, A. Lipases in polymer chemistry. Adv. Biochem. Eng. Biotechnol. 2011, 125, 69–95. [Google Scholar] [CrossRef]
- Eremeev, N.L.; Zaitsev, S.Y. Porcine Pancreatic Lipase as a Catalyst in Organic Synthesis. Mini Rev. Org. Chem. 2016, 13, 78–85. [Google Scholar] [CrossRef]
- Lǎcǎtuş, M.A.; Dudu, A.I.; Bencze, L.C.; Katona, G.; Irimie, F.D.; Paizs, C.; Toşa, M.I. Solvent-Free Biocatalytic Synthesis of 2,5-Bis-(Hydroxymethyl)Furan Fatty Acid Diesters from Renewable Resources. ACS Sustain. Chem. Eng. 2020, 8, 1611–1617. [Google Scholar] [CrossRef]
- Melchiors, M.S.; Vieira, T.Y.; Pereira, L.P.S.; Carciofi, B.A.M.; de Araújo, P.H.H.; de Oliveira, D.; Sayer, C. Epoxidation of (R)-(+)-Limonene to 1,2-Limonene Oxide Mediated by Low-Cost Immobilized Candida antarctica Lipase Fraction B. Ind. Eng. Chem. Res. 2019, 58, 13918–13925. [Google Scholar] [CrossRef]
- Rauwerdink, A.; Kazlauskas, R.J. How the Same Core Catalytic Machinery Catalyzes 17 Different Reactions: The Serine-Histidine-Aspartate Catalytic Triad of α/β-Hydrolase Fold Enzymes. ACS Catal. 2015, 5, 6153–6176. [Google Scholar] [CrossRef] [PubMed]
- Dwivedee, B.P.; Soni, S.; Sharma, M.; Bhaumik, J.; Laha, J.K.; Banerjee, U.C. Promiscuity of Lipase-Catalyzed Reactions for Organic Synthesis: A Recent Update. ChemistrySelect 2018, 3, 2441–2466. [Google Scholar] [CrossRef]
- Salihu, A.; Alam, M.Z. Solvent Tolerant Lipases: A Review. Process Biochem. 2015, 50, 86–96. [Google Scholar] [CrossRef]
- Manavitehrani, I.; Fathi, A.; Badr, H.; Daly, S.; Shirazi, A.N.; Dehghani, F. Biomedical Applications of Biodegradable Polyesters. Polymers 2016, 8, 20. [Google Scholar] [CrossRef] [PubMed]
- Brannigan, R.P.; Dove, A.P. Synthesis, Properties and Biomedical Applications of Hydrolytically Degradable Materials Based on Aliphatic Polyesters and Polycarbonates. Biomater. Sci. 2017, 5, 9–21. [Google Scholar] [CrossRef]
- Heidemann, W.; Jeschkeit, S.; Ruffieux, K.; Fischer, J.H.; Wagner, M.; Krüger, G.; Wintermantel, E.; Gerlach, K.L. Degradation of Poly(D,L)Lactide Implants with or without Addition of Calciumphosphates in vivo. Biomaterials 2001, 22, 2371–2381. [Google Scholar] [CrossRef]
- Farng, E.; Sherman, O. Meniscal Repair Devices: A Clinical and Biomechanical Literature Review. Arthrosc. J. Arthrosc. Relat. Surg. 2004, 20, 273–286. [Google Scholar] [CrossRef]
- Narayanan, G.; Vernekar, V.N.; Kuyinu, E.L.; Laurencin, C.T. Poly (Lactic Acid)-Based Biomaterials for Orthopaedic Regenerative Engineering. Adv. Drug Deliv. Rev. 2016, 107, 247–276. [Google Scholar] [CrossRef]
- Jia, W.; Li, M.; Weng, H.; Gu, G.; Chen, Z. Design and Comprehensive Assessment of a Biomimetic Tri-Layer Tubular Scaffold via Biodegradable Polymers for Vascular Tissue Engineering Applications. Mater. Sci. Eng. C 2020, 110, 110717. [Google Scholar] [CrossRef]
- Abedalwafa, M.; Wang, F.; Wang, L.; Li, C. Biodegradable Poly-Epsilon-Caprolactone (PCL) for Tissue Engineering Applications: A Review. Rev. Adv. Mater. Sci. 2013, 34, 123–140. [Google Scholar]
- Gigli, M.; Fabbri, M.; Lotti, N.; Gamberini, R.; Rimini, B.; Munari, A. Poly(Butylene Succinate)-Based Polyesters for Biomedical Applications: A Review. Eur. Polym. J. 2016, 75, 431–460. [Google Scholar] [CrossRef]
- Ramot, Y.; Haim-Zada, M.; Domb, A.J.; Nyska, A. Biocompatibility and Safety of PLA and Its Copolymers. Adv. Drug Deliv. Rev. 2016, 107, 153–162. [Google Scholar] [CrossRef]
- Kamber, N.E.; Jeong, W.; Waymouth, R.M.; Pratt, R.C.; Lohmeijer, B.G.G.; Hedrick, J.L. Organocatalytic Ring-Opening Polymerization. Chem. Rev. 2007, 107, 5813–5840. [Google Scholar] [CrossRef]
- Ruiz-Cantu, L.A.; Pearce, A.K.; Burroughs, L.; Bennett, T.M.; Vasey, C.E.; Wildman, R.; Irvine, D.J.; Alexander, C.; Taresco, V. Synthesis of Methacrylate-Terminated Block Copolymers with Reduced Transesterification by Controlled Ring-Opening Polymerization. Macromol. Chem. Phys. 2019, 220, 1800459. [Google Scholar] [CrossRef]
- Kakde, D.; Taresco, V.; Bansal, K.K.; Magennis, E.P.; Howdle, S.M.; Mantovani, G.; Irvine, D.J.; Alexander, C. Amphiphilic Block Copolymers from a Renewable ε-Decalactone Monomer: Prediction and Characterization of Micellar Core Effects on Drug Encapsulation and Release. J. Mater. Chem. B 2016, 4, 7119–7129. [Google Scholar] [CrossRef]
- Slavko, E.; Taylor, M.S. Catalyst-Controlled Polycondensation of Glycerol with Diacyl Chlorides: Linear Polyesters from a Trifunctional Monomer. Chem. Sci. 2017, 8, 7106–7111. [Google Scholar] [CrossRef]
- Nomura, K.; Ohara, H. Synthesis and Function of Cyclic Poly(Lactic Acid) and Oligo(Lactic Acid). Mini Rev. Org. Chem. 2017, 14, 35–43. [Google Scholar] [CrossRef]
- Ungpittagul, T.; Wongmahasirikun, P.; Phomphrai, K. Synthesis and Characterization of Guanidinate Tin(II) Complexes for Ring-Opening Polymerization of Cyclic Esters. Dalton Trans. 2020, 49, 8460–8471. [Google Scholar] [CrossRef]
- Gross, R.A.; Ganesh, M.; Lu, W. Enzyme-Catalysis Breathes New Life into Polyester Condensation Polymerizations. Trends Biotechnol. 2010, 28, 435–443. [Google Scholar] [CrossRef]
- Kobayashi, S. Lipase-Catalyzed Polyester Synthesis—A Green Polymer Chemistry. Proc. Jpn. Acad. Ser. B Phys. Biol. Sci. 2010, 86, 338–365. [Google Scholar] [CrossRef]
- Yang, Y.; Yu, Y.; Zhang, Y.; Liu, C.; Shi, W.; Li, Q. Lipase/Esterase-Catalyzed Ring-Opening Polymerization: A Green Polyester Synthesis Technique. Process Biochem. 2011, 46, 1900–1908. [Google Scholar] [CrossRef]
- Kobayashi, S. Enzymatic Ring-Opening Polymerization and Polycondensation for the Green Synthesis of Polyesters. Polym. Adv. Technol. 2015, 26, 677–686. [Google Scholar] [CrossRef]
- Pellis, A.; Acero, E.H.; Gardossi, L.; Ferrario, V.; Guebitz, G.M. Renewable Building Blocks for Sustainable Polyesters: New Biotechnological Routes for Greener Plastics. Polym. Int. 2016, 65, 861–871. [Google Scholar] [CrossRef]
- Pellis, A.; Acero, E.H.; Ferrario, V.; Ribitsch, D.; Guebitz, G.M.; Gardossi, L. The Closure of the Cycle: Enzymatic Synthesis and Functionalization of Bio-Based Polyesters. Trends Biotechnol. 2016, 34, 316–328. [Google Scholar] [CrossRef]
- Kundys, A.; Białecka-Florjańczyk, E.; Fabiszewska, A.; Małajowicz, J. Candida antarctica Lipase B as Catalyst for Cyclic Esters Synthesis, Their Polymerization and Degradation of Aliphatic Polyesters. J. Polym. Environ. 2018, 26, 396–407. [Google Scholar] [CrossRef]
- Engel, J.; Cordellier, A.; Huang, L.; Kara, S. Enzymatic Ring-Opening Polymerization of Lactones: Traditional Approaches and Alternative Strategies. ChemCatChem 2019, 11, 4983–4997. [Google Scholar] [CrossRef]
- Sun, H.; Meng, F.; Dias, A.A.; Hendriks, M.; Feijen, J.; Zhong, Z. α-Amino Acid Containing Degradable Polymers as Functional Biomaterials: Rational Design, Synthetic Pathway, and Biomedical Applications. Biomacromolecules 2011, 12, 1937–1955. [Google Scholar] [CrossRef]
- Wang, W.; Naolou, T.; Ma, N.; Deng, Z.; Xu, X.; Mansfeld, U.; Wischke, C.; Gossen, M.; Neffe, A.T.; Lendlein, A. Polydepsipeptide Block-Stabilized Polyplexes for Efficient Transfection of Primary Human Cells. Biomacromolecules 2017, 18, 3819–3833. [Google Scholar] [CrossRef] [PubMed]
- Rodriguez-Galan, A.; Franco, L.; Puiggali, J. Degradable Poly(Ester Amide)s for Biomedical Applications. Polymers 2011, 3, 65–99. [Google Scholar] [CrossRef]
- Makino, A.; Hara, E.; Hara, I.; Yamahara, R.; Kurihara, K.; Ozeki, E.; Yamamoto, F.; Kimura, S. Control of in vivo Blood Clearance Time of Polymeric Micelle by Stereochemistry of Amphiphilic Polydepsipeptides. J. Control. Release 2012, 161, 821–825. [Google Scholar] [CrossRef] [PubMed]
- Andrés-Guerrero, V.; Zong, M.; Ramsay, E.; Rojas, B.; Sarkhel, S.; Gallego, B.; De Hoz, R.; Ramírez, A.I.; Salazar, J.J.; Triviño, A.; et al. Novel Biodegradable Polyesteramide Microspheres for Controlled Drug Delivery in Ophthalmology. J. Control. Release 2015, 211, 105–117. [Google Scholar] [CrossRef] [PubMed]
- Makino, A.; Hara, E.; Hara, I.; Ozeki, E.; Kimura, S. Size Control of Core-Shell-Type Polymeric Micelle with a Nanometer Precision. Langmuir 2014, 30, 669–674. [Google Scholar] [CrossRef] [PubMed]
- Basu, A.; Kunduru, K.R.; Katzhendler, J.; Domb, A.J. Poly(α-Hydroxy Acid)s and Poly(α-Hydroxy Acid-Co-α-Amino Acid)s Derived from Amino Acid. Adv. Drug Deliv. Rev. 2016, 107, 82–96. [Google Scholar] [CrossRef]
- Fonseca, A.C.; Gil, M.H.; Simões, P.N. Biodegradable Poly(Ester Amide)s—A Remarkable Opportunity for the Biomedical Area: Review on the Synthesis, Characterization and Applications. Prog. Polym. Sci. 2014, 39, 1291–1311. [Google Scholar] [CrossRef]
- Smelcerovic, A.; Dzodic, P.; Pavlovic, V.; Cherneva, E.; Yancheva, D. Cyclodidepsipeptides with a Promising Scaffold in Medicinal Chemistry. Amino Acids 2014, 46, 825–840. [Google Scholar] [CrossRef]
- Murase, S.K.; Puiggalí, J. Chapter 8—Poly(Ester Amide)s: Recent Developments on Synthesis and Applications. In Natural and Synthetic Biomedical Polymers; Kumbar, S.G., Laurencin, C.T., Deng, M., Eds.; Elsevier Inc.: Amsterdam, The Netherlands, 2014; pp. 145–166. [Google Scholar] [CrossRef]
- Winnacker, M.; Rieger, B. Poly(Ester Amide)s: Recent Insights into Synthesis, Stability and Biomedical Applications. Polym. Chem. 2016, 7, 7039–7046. [Google Scholar] [CrossRef]
- Knight, D.K.; Gillies, E.R.; Mequanint, K. Strategies in Functional Poly(Ester Amide) Syntheses to Study Human Coronary Artery Smooth Muscle Cell Interactions. Biomacromolecules 2011, 12, 2475–2487. [Google Scholar] [CrossRef]
- Rizzarelli, P.; Cirica, M.; Pastorelli, G.; Puglisi, C.; Valenti, G. Aliphatic Poly(Ester Amide)s from Sebacic Acid and Aminoalcohols of Different Chain Length: Synthesis, Characterization and Soil Burial Degradation. Polym. Degrad. Stab. 2015, 121, 90–99. [Google Scholar] [CrossRef]
- Shi, C.X.; Guo, Y.T.; Wu, Y.H.; Li, Z.Y.; Wang, Y.Z.; Du, F.S.; Li, Z.C. Synthesis and Controlled Organobase-Catalyzed Ring-Opening Polymerization of Morpholine-2,5-Dione Derivatives and Monomer Recovery by Acid-Catalyzed Degradation of the Polymers. Macromolecules 2019, 52, 4260–4269. [Google Scholar] [CrossRef]
- Zhao, Y.; Li, J.; Yu, H.; Wang, G.; Liu, W. Synthesis and Characterization of a Novel Polydepsipeptide Contained Tri-Block Copolymer (MPEG-PLLA-PMMD) as Self-Assembly Micelle Delivery System for Paclitaxel. Int. J. Pharm. 2012, 430, 282–291. [Google Scholar] [CrossRef]
- Feng, Y.; Lu, W.; Ren, X.; Liu, W.; Guo, M.; Ullah, I.; Zhang, W. Electrospun Poly(Lactide-Co-Glycolide-Co-3(S)-Methylmorpholine- 2,5-Dione) Nanofibrous Scaffolds for Tissue Engineering. Polymers 2016, 8, 13. [Google Scholar] [CrossRef]
- Peng, X.; Behl, M.; Zhang, P.; Mazurek-Budzyńska, M.; Razzaq, M.Y.; Lendlein, A. Hexyl-Modified Morpholine-2,5-Dione-Based Oligodepsipeptides with Relatively Low Glass Transition Temperature. Polymer 2016, 105, 318–326. [Google Scholar] [CrossRef]
- Silvianti, F.; Maniar, D.; Boetje, L.; Loos, K. Green Pathways for the Enzymatic Synthesis of Furan-Based Polyesters and Polyamides. ACS Symp. Ser. 2020, 1373, 3–29. [Google Scholar] [CrossRef]
- Maniar, D.; Jiang, Y.; Woortman, A.J.J.; van Dijken, J.; Loos, K. Furan-Based Copolyesters from Renewable Resources: Enzymatic Synthesis and Properties. ChemSusChem 2019, 12, 990–999. [Google Scholar] [CrossRef]
- Tsuchiya, K.; Numata, K. Chemoenzymatic Synthesis of Polypeptides for Use as Functional and Structural Materials. Macromol. Biosci. 2017, 17, 1700177. [Google Scholar] [CrossRef]
- Ageitos, J.M.; Yazawa, K.; Tateishi, A.; Tsuchiya, K.; Numata, K. The Benzyl Ester Group of Amino Acid Monomers Enhances Substrate Affinity and Broadens the Substrate Specificity of the Enzyme Catalyst in Chemoenzymatic Copolymerization. Biomacromolecules 2016, 17, 314–323. [Google Scholar] [CrossRef]
- Yu, J.; Lin, F.; Lin, S.; Pei, X.; Miao, J.; Chen, X.; Wu, S.G.; Wang, A. A Comparative Study of Papain and Bromelain in Enzymatic Oligomerization of L-Phe Methyl Ester in Aqueous Environment. J. Mol. Catal. B Enzym. 2016, 133, S95–S99. [Google Scholar] [CrossRef]
- Noro, J.; Castro, T.G.; Cavaco-Paulo, A.; Silva, C. α-Chymotrypsin Catalyses the Synthesis of Methotrexate Oligomers. Process Biochem. 2020, 98, 193–201. [Google Scholar] [CrossRef]
- Karaki, N.; Aljawish, A.; Humeau, C.; Muniglia, L.; Jasniewski, J. Enzymatic Modification of Polysaccharides: Mechanisms, Properties, And Potential Applications: A Review. Enzyme Microb. Technol. 2016, 90, 1–18. [Google Scholar] [CrossRef]
- Marjamaa, K.; Kruus, K. Enzyme Biotechnology in Degradation and Modification of Plant Cell Wall Polymers. Physiol. Plant. 2018, 164, 106–118. [Google Scholar] [CrossRef]
- Farmer, T.J.; Comerford, J.W.; Pellis, A.; Robert, T. Post-Polymerization Modification of Bio-Based Polymers: Maximizing the High Functionality of Polymers Derived from Biomass. Polym. Int. 2018, 67, 775–789. [Google Scholar] [CrossRef]
- Kaczmarek, M.B.; Struszczyk-Swita, K.; Li, X.; Szczęsna-Antczak, M.; Daroch, M. Enzymatic Modifications of Chitin, Chitosan, and Chitooligosaccharides. Front. Bioeng. Biotechnol. 2019, 7, 243. [Google Scholar] [CrossRef]
- Nazir, I.; Leichner, C.; Le-Vinh, B.; Bernkop-Schnürch, A. Surface Phosphorylation of Nanoparticles by Hexokinase: A Powerful Tool for Cellular Uptake Improvement. J. Colloid Interface Sci. 2018, 516, 384–391. [Google Scholar] [CrossRef] [PubMed]
- Pellis, A.; Silvestrini, L.; Scaini, D.; Coburn, J.M.; Gardossi, L.; Kaplan, D.L.; Acero, E.H.; Guebitz, G.M. Enzyme-Catalyzed Functionalization of Poly(L-Lactic Acid) for Drug Delivery Applications. Process Biochem. 2017, 59, 77–83. [Google Scholar] [CrossRef]
- Wiefel, L.; Steinbüchel, A. Enzymatic Modification of Soluble Cyanophycin Using the Type II Peptidyl Arginine Deiminase from Oryctolagus cuniculus. Macromol. Biosci. 2016, 1064–1071. [Google Scholar] [CrossRef]
- Kanelli, M.; Vasilakos, S.; Ladas, S.; Symianakis, E.; Christakopoulos, P.; Topakas, E. Surface Modification of Polyamide 6.6 Fibers by Enzymatic Hydrolysis. Process Biochem. 2017, 59, 97–103. [Google Scholar] [CrossRef]
- Zhao, X.; Li, Y.; Fu, J.; Wang, H.; Hong, J. Insight into the In-Situ Solvent-Free Lipase-Catalyzed Coating on Cotton with Polyesters. Process Biochem. 2021, 102, 82–91. [Google Scholar] [CrossRef]
- Boẑiĉ, M.; Gorgieva, S.; Kokol, V. Laccase-Mediated Functionalization of Chitosan by Caffeic and Gallic Acids for Modulating Antioxidant and Antimicrobial Properties. Carbohydr. Polym. 2012, 87, 2388–2398. [Google Scholar] [CrossRef]
- Yang, C.; Zhou, Y.; Zheng, Y.; Li, C.; Sheng, S.; Wang, J.; Wu, F. Enzymatic Modification of Chitosan by Cinnamic Acids: Antibacterial Activity against Ralstonia solanacearum. Int. J. Biol. Macromol. 2016, 87, 577–585. [Google Scholar] [CrossRef] [PubMed]
- Sheldon, R.A.; Pereira, P.C. Biocatalysis engineering: The big picture. Chem. Soc. Rev. 2017, 46, 2678–2691. [Google Scholar] [CrossRef] [PubMed]
- Cantone, S.; Spizzo, P.; Fattor, D.; Ferrario, V.; Ebert, C.; Gardossi, L. Lipases for bio-based chemistry: Efficient immobilised biocatalysts for competitive biocatalysed processes. Chimica Oggi 2012, 30, 10–14. [Google Scholar]
- Miletić, N.; Nastasović, A.; Loos, K. Immobilization of Biocatalysts for Enzymatic Polymerizations: Possibilities, Advantages, Applications. Bioresour. Technol. 2012, 115, 126–135. [Google Scholar] [CrossRef]
- Idris, A.; Bukhari, A. Immobilized Candida antarctica Lipase B: Hydration, Stripping off and Application in Ring Opening Polyester Synthesis. Biotechnol. Adv. 2012, 30, 550–563. [Google Scholar] [CrossRef]
- Nakamura, I.; Makino, A.; Horikawa, Y.; Sugiyama, J.; Ohmae, M.; Kimura, S. Preparation of Fibrous Cellulose by Enzymatic Polymerization Using Cross-Linked Mutant Endoglucanase II. Chem. Commun. 2011, 47, 10127–10129. [Google Scholar] [CrossRef][Green Version]
- Wu, Z.; Shi, L.; Yu, X.; Zhang, S.; Chen, G. Co-Immobilization of Tri-Enzymes for the Conversion of Hydroxymethylfurfural to 2,5-Diformylfuran. Molecules 2019, 24, 3648. [Google Scholar] [CrossRef]
- Noro, J.; Castro, T.G.; Gonçalves, F.; Ribeiro, A.; Cavaco-Paulo, A.; Silva, C. Catalytic Activation of Esterases by PEGylation for Polyester Synthesis. ChemCatChem 2019, 11, 2490–2499. [Google Scholar] [CrossRef]
- Margolin, A.L.; Izumrudov, V.A.; Švedas, V.K.; Zezin, A.B. Soluble-insoluble immobilized enzymes. Biotechnol. Bioeng. 1982, 24, 237–240. [Google Scholar] [CrossRef]
- Shakya, A.K.; Nandakumar, K.S. An update on smart biocatalysts for industrial and biomedical applications. J. R. Soc. Interface 2018, 15, 20180062. [Google Scholar] [CrossRef]
- Pérez-Venegas, M.; Tellez-Cruz, M.M.; Solorza-Feria, O.; López-Munguía, A.; Castillo, E.; Juaristi, E. Thermal and Mechanical Stability of Immobilized Candida antarctica Lipase B: An Approximation to Mechanochemical Energetics in Enzyme Catalysis. ChemCatChem 2020, 12, 803–811. [Google Scholar] [CrossRef]
- Ardila-Fierro, K.J.; Crawford, D.E.; Körner, A.; James, S.L.; Bolm, C.; Hernández, J.G. Papain-Catalysed Mechanochemical Synthesis of Oligopeptides by Milling and Twin-Screw Extrusion: Application in the Juliá-Colonna Enantioselective Epoxidation. Green Chem. 2018, 20, 1262–1269. [Google Scholar] [CrossRef]
- Uribe, S.; Sampedro, J.G. Measuring Solution Viscosity and its Effect on Enzyme Activity. Biol. Proc. Online 2003, 5, 108–115. [Google Scholar] [CrossRef] [PubMed]
- Sitnitsky, A.E. Model for solvent viscosity effect on enzymatic reactions. Chem. Phys. 2010, 369, 37–42. [Google Scholar] [CrossRef]
- Zhu, N.; Huang, W.; Hu, X.; Liu, Y.; Fang, Z.; Guo, K. Chemoselective Polymerization Platform for Flow Synthesis of Functional Polymers and Nanoparticles. Chem. Eng. J. 2018, 333, 43–48. [Google Scholar] [CrossRef]
- Zaquen, N.; Rubens, M.; Corrigan, N.; Xu, J.; Zetterlund, P.B.; Boyer, C.; Junkers, T. Polymer Synthesis in Continuous Flow Reactors. Prog. Polym. Sci. 2020, 107, 101256. [Google Scholar] [CrossRef]
- Reis, M.H.; Leibfarth, F.A.; Pitet, L.M. Polymerizations in Continuous Flow: Recent Advances in the Synthesis of Diverse Polymeric Materials. ACS Macro Lett. 2020, 9, 123–133. [Google Scholar] [CrossRef]
- Kundu, S.; Bhangale, A.S.; Wallace, W.E.; Flynn, K.M.; Guttman, C.M.; Gross, R.A.; Beers, K.L. Continuous Flow Enzyme-Catalyzed Polymerization in a Microreactor. J. Am. Chem. Soc. 2011, 133, 6006–6011. [Google Scholar] [CrossRef]
- Zhu, N.; Huang, W.; Hu, X.; Liu, Y.; Fang, Z.; Guo, K. Enzymatic Continuous Flow Synthesis of Thiol-Terminated Poly(δ-Valerolactone) and Block Copolymers. Macromol. Rapid Commun. 2018, 39, 1700807. [Google Scholar] [CrossRef]
- Huang, W.; Zhu, N.; Liu, Y.; Wang, J.; Zhong, J.; Sun, Q.; Sun, T.; Hu, X.; Fang, Z.; Guo, K. A Novel Microfluidic Enzyme-Organocatalysis Combination Strategy for Ring-Opening Copolymerizations of Lactone, Lactide and Cyclic Carbonate. Chem. Eng. J. 2019, 356, 592–597. [Google Scholar] [CrossRef]
- Zhao, H. Enzymatic Ring-Opening Polymerization (ROP) of Polylactones: Roles of Non-Aqueous Solvents. J. Chem. Technol. Biotechnol. 2018, 93, 9–19. [Google Scholar] [CrossRef]
- Zhao, H. Enzymatic Polymerization to Polyesters in Nonaqueous Solvents. In Methods in Enzymology, 1st ed.; Bruns, N., Loos, K., Eds.; Academic Press: Cambridge, MA, USA, 2019; Volume 627, pp. 1–21. [Google Scholar] [CrossRef]
- Verger, R. ‘Interfacial Activation’ of Lipases: Facts and Artifacts. Trends Biotechnol. 1997, 15, 32–38. [Google Scholar] [CrossRef]
- Ransac, S.; Carriere, F.; Rogalska, E.; Verger, R.; Marguet, F.; Buono, G.; Melo, E.P.; Cabral, J.M.S.; Egloff, M.E.; Tubeurgh, H. The kinetics, specifities and structural features of lipases. In Molecular Dynamics of Biomembranes; Op den Kamp, J.A.F., Ed.; Springer: Berlin/Heidelberg, Germany, 1996; Volume 96, pp. 265–304. [Google Scholar]
- Kumar, A.; Gross, R.A. Candida antartica Lipase B Catalyzed Polycaprolactone Synthesis: Effects of Organic Media and Temperature. Biomacromolecules 2000, 1, 133–138. [Google Scholar] [CrossRef]
- Yang, Z.; Pan, W. Ionic liquids: Green solvents for nonaqueous biocatalysis. Enzym. Microb. Technol. 2005, 37, 19–28. [Google Scholar] [CrossRef]
- Piotrowska, U.; Sobczak, M. Enzymatic Polymerization of Cyclic Monomers in Ionic Liquids as a Prospective Synthesis Method for Polyesters Used in Drug Delivery Systems. Molecules 2015, 20, 1–23. [Google Scholar] [CrossRef]
- Abbott, A.P.; Capper, G.; Davies, D.L.; Rasheed, R.K.; Tambyrajah, V. Novel solvent properties of choline chloride/urea mixtures. Chem. Commun. 2003, 70–71. [Google Scholar] [CrossRef]
- Florindo, C.; Lima, F.; Ribeiro, B.D.; Marrucho, I.M. Deep eutectic solvents: Overcoming 21st century challenges. Curr. Opin. Green Sustain. Chem. 2019, 18, 31–36. [Google Scholar] [CrossRef]
- Durand, E.; Lecomte, J.; Baréa, B.; Piombo, G.; Dubreucq, E.; Villeneuve, P. Evaluation of deep eutectic solvents as new media for Candida antarctica B lipase catalyzed reactions. Proc. Biochem. 2012, 47, 2081–2089. [Google Scholar] [CrossRef]
- Pätzold, M.; Siebenhaller, S.; Kara, S.; Liese, A.; Syldatk, C.; Holtmann, D. Deep eutectic solvents as efficient solvents in biocatalysis. Trends Biotechnol. 2019, 37, 943–959. [Google Scholar] [CrossRef]
- Tan, J.N.; Dou, Y. Deep Eutectic Solvents for Biocatalytic Transformations: Focused Lipase-Catalyzed Organic Reactions. Appl. Microbiol. Biotechnol. 2020, 104, 1481–1496. [Google Scholar] [CrossRef] [PubMed]
- Altundağ, A.; Ünlü, A.E.; Takaç, S. Deep Eutectic Solvent-Assisted Synthesis of Polyaniline by Laccase Enzyme. J. Chem. Technol. Biotechnol. 2020, 96, 1107–1115. [Google Scholar] [CrossRef]
- D’Almeida Gameiro, M.; Goddard, A.; Taresco, V.; Howdle, S.M. Enzymatic One-Pot Synthesis of Renewable and Biodegradable Surfactants in Supercritical Carbon Dioxide (ScCO2). Green Chem. 2020, 22, 1308–1318. [Google Scholar] [CrossRef]
- Yang, Y.; Zhang, J.; Wu, D.; Xing, Z.; Zhou, Y.; Shi, W.; Li, Q. Chemoenzymatic Synthesis of Polymeric Materials Using Lipases as Catalysts: A Review. Biotechnol. Adv. 2014, 32, 642–651. [Google Scholar] [CrossRef] [PubMed]
- Parshad, B.; Kumari, M.; Achazi, K.; Böttcher, C.; Haag, R.; Sharma, S.K. Chemo-Enzymatic Synthesis of Perfluoroalkyl-Functionalized Dendronized Polymers as Cyto-Compatible Nanocarriers for Drug Delivery Applications. Polymers 2016, 8, 311. [Google Scholar] [CrossRef]
- Kumar, S.; Mohr, A.; Kumar, A.; Sharma, S.K.; Haag, R. Synthesis of Biodegradable Amphiphilic Nanocarriers by Chemo-Enzymatic Transformations for the Solubilization of Hydrophobic Compounds. Int. J. Artif. Organs 2011, 34, 84–92. [Google Scholar] [CrossRef]
- Singh, A.K.; Nguyen, R.; Galy, N.; Haag, R.; Sharma, S.K.; Len, C. Chemo-Enzymatic Synthesis of Oligoglycerol Derivatives. Molecules 2016, 21, 1038. [Google Scholar] [CrossRef]
- Smelcerovic, A.; Yancheva, D.; Cherneva, E.; Petronijevic, Z.; Lamshoeft, M.; Herebian, D. Identification and synthesis of three cyclodidepsipeptides as potential precursors of enniatin B in Fusarium sporotrichioides. J. Mol. Struct. 2011, 985, 397–402. [Google Scholar] [CrossRef]
- Nikulin, M.V.; Guranda, D.F.; Shvyadas, V.Y.K. Chemoenzymatic Synthesis of 2,5-Diketomorpholine Derivatives. Patent RU 2696099, 14 January 2019. Available online: https://patents.google.com/patent/RU2696099C1/en (accessed on 6 May 2021).
- Terzopoulou, Z.; Papadopoulos, L.; Zamboulis, A.; Papageorgiou, D.G.; Papageorgiou, G.Z.; Bikiaris, D.N. Tuning the Properties of Furandicarboxylic Acid-Based Polyesters with Copolymerization: A Review. Polymers 2020, 12, 1209. [Google Scholar] [CrossRef]
- Loos, K.; Zhang, R.; Pereira, I.; Agostinho, B.; Hu, H.; Maniar, D.; Sbirrazzuoli, N.; Silvestre, A.J.D.; Guigo, N.; Sousa, A.F. A Perspective on PEF Synthesis, Properties, and End-Life. Front. Chem. 2020, 8, 585. [Google Scholar] [CrossRef]
- Dedes, G.; Karnaouri, A.; Topakas, E. Novel Routes in Transformation of Lignocellulosic Biomass to Furan Platform Chemicals: From Pretreatment to Enzyme Catalysis. Catalysts 2020, 10, 743. [Google Scholar] [CrossRef]
- Troiano, D.; Orsat, V.; Dumont, M.J. Status of Biocatalysis in the Production of 2,5-Furandicarboxylic Acid. ACS Catal. 2020, 10, 9145–9169. [Google Scholar] [CrossRef]
- Wu, S.; Liu, Q.; Tan, H.; Zhang, F.; Yin, H. A Novel 2,5-Furandicarboxylic Acid Biosynthesis Route from Biomass-Derived 5-Hydroxymethylfurfural Based on the Consecutive Enzyme Reactions. Appl. Biochem. Biotechnol. 2020, 191, 1470–1482. [Google Scholar] [CrossRef]
- Zou, L.; Zheng, Z.; Tan, H.; Xu, Q.; Ouyang, J. Synthesis of 2,5-Furandicarboxylic Acid by a TEMPO/Laccase System Coupled WithPseudomonas PutidaKT2440. RSC Adv. 2020, 10, 21781–21788. [Google Scholar] [CrossRef]
- Wang, X.; Zhang, X.Y.; Zong, M.H.; Li, N. Sacrificial Substrate-Free Whole-Cell Biocatalysis for the Synthesis of 2,5-Furandicarboxylic Acid by Engineered Escherichia coli. ACS Sustain. Chem. Eng. 2020, 8, 4341–4345. [Google Scholar] [CrossRef]
- Zhang, X.Y.; Wang, X.; Li, N.W.; Guo, Z.W.; Zong, M.H.; Li, N. Furan Carboxylic Acids Production with High Productivity by Cofactor-Engineered Whole-Cell Biocatalysts. ChemCatChem 2020, 12, 3257–3264. [Google Scholar] [CrossRef]
- Yu, S.; Zhang, S.; Li, K.; Yang, Q.; Wang, M.; Cai, D.; Tan, T.; Chen, B. Furfuryl Alcohol Production with High Selectivity by a Novel Visible-Light Driven Biocatalysis Process. ACS Sustain. Chem. Eng. 2020, 8, 15980–15988. [Google Scholar] [CrossRef]
- Mi, J.; Liu, S.; Qi, H.; Huang, J.; Lan, X.; Zhang, L. Cellular Engineering and Biocatalysis Strategies toward Sustainable Cadaverine Production: State of the Art and Perspectives. ACS Sustain. Chem. Eng. 2021, 9, 1061–1072. [Google Scholar] [CrossRef]
- Liu, Y.; Zheng, Y.; Wu, H.; Zhang, W.; Ren, T.; You, S.; Qi, W.; Su, R.; He, Z. Development of an Integrated Process for the Production of High-Purity Cadaverine from Lysine Decarboxylase. J. Chem. Technol. Biotechnol. 2020, 95, 1542–1549. [Google Scholar] [CrossRef]
- Wei, G.; Zhang, A.; Lu, X.; He, F.; Li, H.; Xu, S.; Li, G.; Chen, K.; Ouyang, P. An Environmentally Friendly Strategy for Cadaverine Bio-Production: In Situ Utilization of CO2 Self-Released from L-Lysine Decarboxylation for pH Control. J. CO2 Util. 2020, 37, 278–284. [Google Scholar] [CrossRef]
- Zhang, Y.; Zhu, Q.; Fei, Z.; Lin, X.; Xia, B.; Wu, Q. Stereoselectivity-Tailored Chemo-Enzymatic Synthesis of Enantiocomplementary Poly (ω-Substituted-δ-Valerolactone) Enabled by Engineered Lipase. Eur. Polym. J. 2019, 119, 52–60. [Google Scholar] [CrossRef]
- Hollmann, F.; Kara, S.; Opperman, D.J.; Wang, Y. Biocatalytic Synthesis of Lactones and Lactams. Chem. Asian J. 2018, 13, 3601–3610. [Google Scholar] [CrossRef]
- Zhang, Y.; Zhao, Y.; Jiang, W.; Yao, Q.; Li, Z.; Gao, X.; Liu, T.; Yang, F.; Wang, F.; Liu, J. Lipase-Catalyzed Oxidation of Cyclohexanone to Form ε-Caprolactone and Kinetic Modeling. ACS Sustain. Chem. Eng. 2019, 7, 13294–13306. [Google Scholar] [CrossRef]
- Torron, S.; Semlitsch, S.; Martinelle, M.; Johansson, M. Biocatalytic Synthesis of Epoxy Resins from Fatty Acids as a Versatile Route for the Formation of Polymer Thermosets with Tunable Properties. Biomacromolecules 2016, 17, 4003–4010. [Google Scholar] [CrossRef]



















| Bioplastics (from Renewable Resources) | Plastics Made from Petroleum (from Fossil Resources) | |
|---|---|---|
| Biodegradable plastics | polyoxyacids (poly-lactic acid) polyhydroxyalkanoates polysaccharides (unsubstituted) polyamino acids polyesteramides polydepsipeptides | poly-ε-caprolactone poly(butylene succinate-adipate) poly(butylene adipate-terephthalate) |
| Non-biodegradable plastics | substituted polysaccharide derivatives polyol-polyurethane bio-polyethylenebio bio-poly(ethylene terephthalate) | polyethylene polypropylene polystyrene poly(ethylene terephthalate) |
| Enzyme Class | Enzyme | Polymer Type | Features | References |
|---|---|---|---|---|
| Oxidoreductases | Laccases | Polyanilines and polyphenols | Aqueous solution, pH 3–6, 30 °C, atmospheric air | [59,60,61,62,63,64] |
| Polythiophenes | [65,66,67] | |||
| Peroxidases | Polyphenols | Aqueous micellar system, H2O2 is added by small portions throughout the entire process | [68] | |
| Polythiophenes | [69] | |||
| Baeyer–Villiger monooxygenases (BVMO) | Lactones—monomers of polyesters | Aqueous solution, pH 8.5, atmospheric air, NADPH, H+ cyclic regeneration system based on alcohol dehydrogenase- or glucose oxidase-catalyzed reactions | [70,71,72,73] | |
| Transferases | Chondroitin synthase (glycosyltransferase) | Polysaccharides (chondroitin) | UDP-GlcA and UDP-GalNAc required as monomers, a regeneration system is needed | [74] |
| Polyhydroxybutyrate synthase (acyltransferase) | Poly-3-hydroxybutyrate | Propionyl-CoA transferase for regeneration of coenzyme A is needed | [75,76] | |
| Hydrolases | Lipases | Aromatic and aliphatic polyesters | The most commonly immobilized CALB (Novozym 435) is used, organic solvents (e.g., toluene), ionic liquids, including deep eutectic solvents, supercritical CO2 or solvent-free (in bulk), 50–100 °C | [73,77,78,79,80,81,82,83,84,85,86,87,88,89,90,91,92,93,94,95,96,97,98,99,100,101] |
| Polyamides and poly(amino acids) | [102,103,104,105,106] | |||
| Polyesteramides | [107,108,109,110] | |||
| Cutinases | Polyesters based on adipic acid and 1,4-butanediol | Immobilized cutinase 1 from Thermobifida cellulosilytica, solvent-free, 70 °C | [111,112,113] | |
| Papain | Oligopeptides and oligopeptidomimetics | Aqueous solution, pH 8-9, 40 °C | [114,115,116,117,118,119] | |
| Proteinase K | Cysteine oligopeptide | [120] |
Publisher’s Note: MDPI stays neutral with regard to jurisdictional claims in published maps and institutional affiliations. |
© 2021 by the authors. Licensee MDPI, Basel, Switzerland. This article is an open access article distributed under the terms and conditions of the Creative Commons Attribution (CC BY) license (https://creativecommons.org/licenses/by/4.0/).
Share and Cite
Nikulin, M.; Švedas, V. Prospects of Using Biocatalysis for the Synthesis and Modification of Polymers. Molecules 2021, 26, 2750. https://doi.org/10.3390/molecules26092750
Nikulin M, Švedas V. Prospects of Using Biocatalysis for the Synthesis and Modification of Polymers. Molecules. 2021; 26(9):2750. https://doi.org/10.3390/molecules26092750
Chicago/Turabian StyleNikulin, Maksim, and Vytas Švedas. 2021. "Prospects of Using Biocatalysis for the Synthesis and Modification of Polymers" Molecules 26, no. 9: 2750. https://doi.org/10.3390/molecules26092750
APA StyleNikulin, M., & Švedas, V. (2021). Prospects of Using Biocatalysis for the Synthesis and Modification of Polymers. Molecules, 26(9), 2750. https://doi.org/10.3390/molecules26092750

