Rh(I) Complexes in Catalysis: A Five-Year Trend
Abstract
1. Introduction
2. Phosphines and Other P-Donors
2.1. New P-Ligands
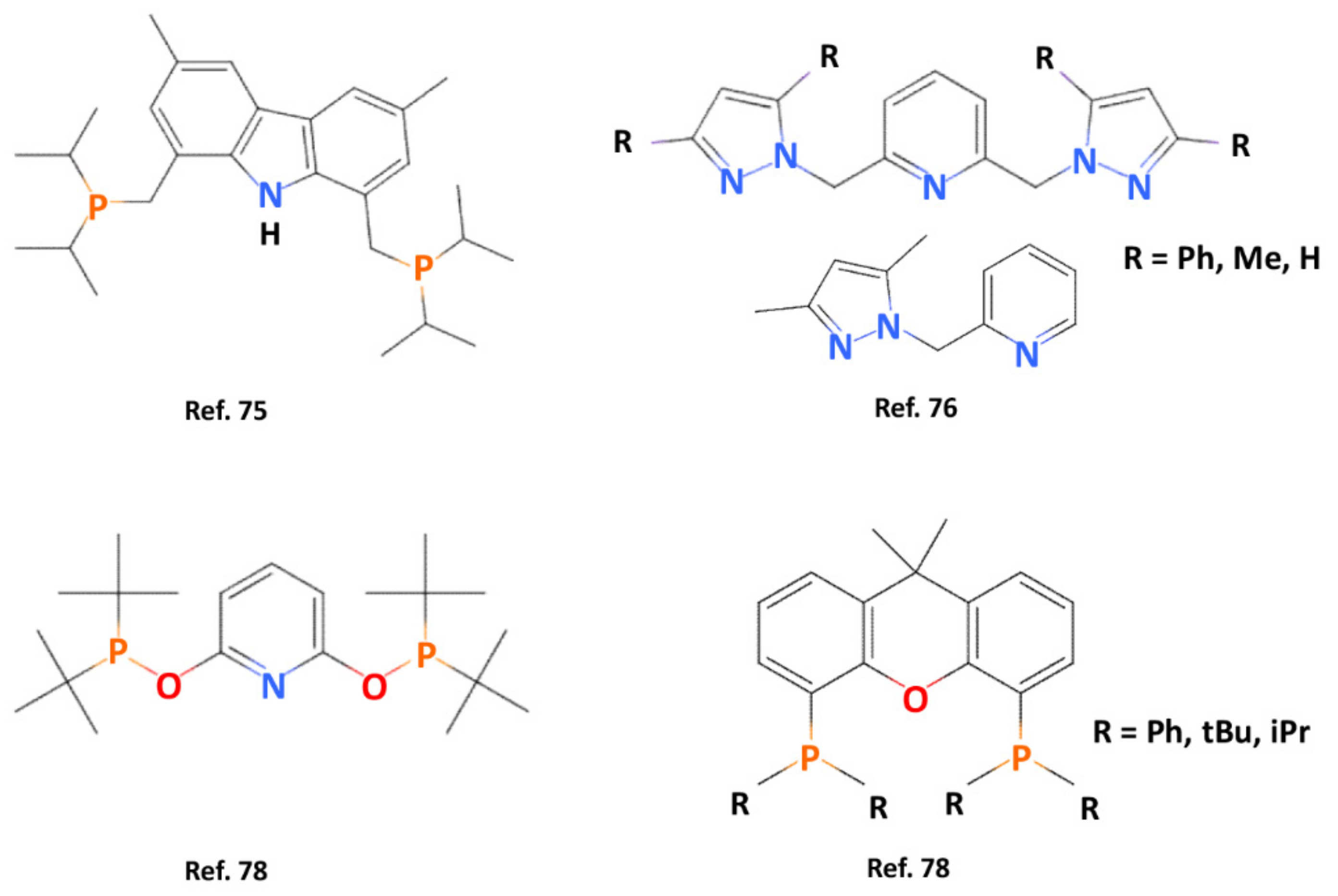
2.2. Already Reported P-Ligands
2.3. Immobilization and Heterogenization
3. N-Heterocyclic Carbene (NHC) Ligands
3.1. New NHC Ligands
3.2. Already Reported NHC Ligands
3.3. Immobilization and Heterogenization
4. Cyclopentadienyl- and Ferrocenyl-Based Ligands
5. Pincer Ligands
6. Miscellaneous
7. Conclusions
Author Contributions
Funding
Conflicts of Interest
Abbreviations
| Benzoxantphos | 6,7-bis(diphenylphosphino)benzo[k,l]xanthene |
| Benzylnixantphos | 10-benzyl-4,5-bis(diphenylphosphino)phenoxazine |
| BINAM | 2,2′-bis(diphenylphosphinoamino)-1,1′-binaphthyl |
| BINAP | 2,2′-bis(diphenylphosphino)-1,1′-binaphthyl |
| BINOL | 1,1′-binaphthalene-2,2′-diol |
| BIPHEP | 2,2′-bis(diphenylphosphino)biphenyl |
| BISBI | 2,2′-bis(diphenylphosphinomethyl)-1,1′-biphenyl |
| Chiraphos | bis(diphenylphosphino)butane |
| COD | 1,5-cyclooctadiene |
| Cy | Cyclohexyl |
| DPEphos | bis[(2-diphenylphosphino)phenyl] ether |
| DIPP | 2,6-diisopropylphenyl |
| DPPB | 1,4-bis(diphenylphosphino)butane |
| DPPE | 1,2-bis(diphenylphosphino)ethane |
| DPPP | 1,3-bis(diphenylphosphino)propane |
| DPPM | bis(diphenylphosphino)methane |
| DTBB | di-tert-butylphosphido-boratabenzene |
| Fur | Furane |
| iPr | Isopropyl |
| Isopropxantphos | 4,5-bis(diphenylphosphino)-9-isopropylidenexanthene |
| Me | Methyl |
| MOP | 2-(diphenylphosphino)-2-methoxy-1,1-binaphthyl |
| NBD | norbornadiene |
| Ph | Phenyl |
| PTA | 1,3,5-triaza-7-phosphaadamantane |
| pTol | para-Toluene |
| SEGPHOS | 5,5′-bis(diphenylphosphino)-4,4′-bi-1,3-benzodioxole |
| tBu | tert-Butyl |
| TPPTS | triphenylphosphine-3,3′,3″-trisulfonic acid trisodium salt |
| Nixantphos | 4,5-bis(diphenylphosphino)phenoxazine |
| PCy3 | tricyclohexylphosphine |
| Phosxantphos | 4,5-bis(diphenylphosphino)-10-phenylphenoxaphosphine |
| DIOP | 2,3-o-isopropylidene-2,3-dihydroxy-1,4-bis(diphenylphosphino)butane |
| DIPAMP | ethane-1,2-diylbis[(2-methoxyphenyl)phenylphosphane] |
| Duxantphos | 4,5-bis[(2,5-dimethylphospholanyl)]-9,9-dimethylxanthene |
| Segphos | 4,4′-bi-1,3-benzodioxole-5,5′-diylbis(diphenylphosphane) |
| Thixantphos | [7-(diphenylphosphanyl)phenoxathiin-4-yl]diphenylphosphane |
| Xantphos | 4,5-bis(diphenylphosphino)-9,9-dimethylxanthene |
References
- Osborn, J.A.; Jardine, F.H.; Young, J.F.; Wilkinson, G. The preparation and properties of tris(triphenylphosphine)halogenorhodium(I) and some reactions thereof including catalytic homogeneous hydrogenation of olefins and acetylenes and their derivatives. J. Chem. Soc. A Inorg. Phys. Theor. 1966, 1711–1732. [Google Scholar] [CrossRef]
- Tanaka, K. (Ed.) Rhodium Catalysis in Organic Synthesis: Methods and Reactions; Wiley-VCH Verlag GmbH & Co. KGaA: Weinheim, Germany, 2019. [Google Scholar] [CrossRef]
- Crabtree, R.H. Cationic Rhodium and Iridium Complexes in Catalysis. In Homogeneous Catalysis with Metal Phosphine Complexes; Pignolet, L.H., Ed.; Springer: Boston, MA, USA, 1983; pp. 297–316. [Google Scholar] [CrossRef]
- Pignolet, L.M. Homogeneous Catalysis with Metal Phosphine Complexes; Springer Science & Business Media: Berlin/Heidelberg, Germany, 2013. [Google Scholar] [CrossRef]
- Kamer, P.C.J.; Reek, J.N.H.; van Leeuwen, P.W.N.M. Rhodium Phosphite Catalysts. In Rhodium Catalyzed Hydroformylation; Van Leeuwen, P.W.N.M., Claver, C., Eds.; Springer: Dordrecht, The Netherlands, 2002; pp. 35–62. [Google Scholar] [CrossRef]
- Pombeiro, A.J.L. Nitrogen ligands. Dalton Trans 2019, 48, 13904–13906. [Google Scholar] [CrossRef] [PubMed]
- Bayón, J.C.; Claver, C.; Masdeu-Bultó, A.M. Homogeneous catalysis with transition metal complexes containing sulfur ligands. Coord. Chem. Rev. 1999, 193–195, 73–145. [Google Scholar] [CrossRef]
- Zucca, A.; Pilo, M.I. Rollover Cyclometalation as a Valuable Tool for Regioselective C–H Bond Activation and Functionalization. Molecules 2021, 26, 328. [Google Scholar] [CrossRef] [PubMed]
- Fache, F.; Schulz, E.; Tommasino, M.L.; Lemaire, M. Nitrogen-Containing Ligands for Asymmetric Homogeneous and Heterogeneous Catalysis. Chem. Rev. 2000, 100, 2159–2232. [Google Scholar] [CrossRef]
- Börner, A. (Ed.) Phosphorus Ligands in Asymmetric Catalysis: Synthesis and Applications; Wiley-VCH: Weinheim, Germany, 2008; Volume 1. [Google Scholar]
- Mellah, M.; Voituriez, A.; Schulz, E. Chiral Sulfur Ligands for Asymmetric Catalysis. Chem. Rev. 2007, 107, 5133–5209. [Google Scholar] [CrossRef]
- Pellissier, H. Chiral Sulfur Ligands: Asymmetric Catalysis; Royal Society of Chemistry: Cambridge, UK, 2009. [Google Scholar] [CrossRef]
- Wassenaar, J.; Reek, J.N. Hybrid bidentate phosphorus ligands in asymmetric catalysis: Privileged ligand approach vs. combinatorial strategies. Org. Biomol. Chem. 2011, 9, 1704–1713. [Google Scholar] [CrossRef]
- Li, Y.-M.; Kwong, F.-Y.; Yu, W.-Y.; Chan, A.S.C. Recent advances in developing new axially chiral phosphine ligands for asymmetric catalysis. Coord. Chem. Rev. 2007, 251, 2119–2144. [Google Scholar] [CrossRef]
- Demchuk, O.M.; Arlt, D.; Jasiński, R.; Pietrusiewicz, K.M. Relationship between structure and efficiency of atropisomeric phosphine ligands in homogeneous catalytic asymmetric hydrogenation. J. Phys. Org. Chem. 2012, 25, 1006–1011. [Google Scholar] [CrossRef]
- Alsalahi, W.; Trzeciak, A.M. Rhodium-catalyzed hydroformylation under green conditions: Aqueous/organic biphasic, “on water”, solventless and Rh nanoparticle based systems. Coord. Chem. Rev. 2021, 430, 213732. [Google Scholar] [CrossRef]
- Meißner, A.; Alberico, E.; Drexler, H.-J.; Baumann, W.; Heller, D. Rhodium diphosphine complexes: A case study for catalyst activation and deactivation. Catal. Sci. Technol. 2014, 4, 3409–3425. [Google Scholar] [CrossRef]
- Musina, E.I.; Balueva, A.S.; Karasik, A.A. Phosphines: Preparation, reactivity and applications. In Organophosphorus Chemistry; The Royal Society of Chemistry: Croydon, UK, 2019; Volume 48, pp. 1–63. [Google Scholar] [CrossRef]
- Guo, H.; Fan, Y.C.; Sun, Z.; Wu, Y.; Kwon, O. Phosphine Organocatalysis. Chem. Rev. 2018, 118, 10049–10293. [Google Scholar] [CrossRef]
- Van der Boom, M.E.; Milstein, D. Cyclometalated Phosphine-Based Pincer Complexes: Mechanistic Insight in Catalysis, Coordination, and Bond Activation. Chem. Rev. 2003, 103, 1759–1792. [Google Scholar] [CrossRef]
- Xiang, Y.; Ge, Q.; Wu, S.; Zheng, X.; Yang, Z. Synthesis and application in asymmetric catalysis of P-stereogenic pincer–metal complexes. RSC Adv. 2020, 10, 9563–9578. [Google Scholar] [CrossRef]
- Naicker, D.; Friedrich, H.B.; Pansuriya, P.B. Iridium and rhodium “PNP” aminodiphosphine complexes used as catalysts in the oxidation of styrene. RSC Adv. 2016, 6, 31005–31013. [Google Scholar] [CrossRef]
- Rovira, L.; Vaquero, M.; Vidal-Ferran, A. Asymmetric Hydroformylation of Heterocyclic Olefins Mediated by Supramolecularly Regulated Rhodium-Bisphosphite Complexes. J. Org. Chem. 2015, 80, 10397–10403. [Google Scholar] [CrossRef]
- Sawatsugawa, Y.; Tamura, K.; Sano, N.; Imamoto, T. A Bulky Three-Hindered Quadrant Bisphosphine Ligand: Synthesis and Application in Rhodium-Catalyzed Asymmetric Hydrogenation of Functionalized Alkenes. Org. Lett. 2019, 21, 8874–8878. [Google Scholar] [CrossRef] [PubMed]
- Sokolovskaya, M.V.; Lyubimov, S.E.; Mikhel, I.S.; Birin, K.P.; Davankov, V.A. Synthesis of a new bulky phosphite ligand and its application in the enantioselective hydrogenation. J. Organomet. Chem. 2018, 861, 230–233. [Google Scholar] [CrossRef]
- Ramarou, D.S.; Makhubela, B.C.E.; Smith, G.S. Synthesis of Rh(I) alkylated-PTA complexes as catalyst precursors in the aqueous-biphasic hydroformylation of 1-octene. J. Organomet. Chem. 2018, 870, 23–31. [Google Scholar] [CrossRef]
- Potier, J.; Guerriero, A.; Menuel, S.; Monflier, E.; Peruzzini, M.; Hapiot, F.; Gonsalvi, L. Cyclodextrins as first and second sphere ligands for Rh(I) complexes of lower-rim PTA derivatives for use as catalysts in aqueous phase hydrogenation. Catal. Commun. 2015, 63, 74–78. [Google Scholar] [CrossRef]
- Kandel, R.; Schatte, G.; Jessop, P.G. Rh(i) and Ru(ii) phosphaamidine and phosphaguanidine (1,3-P,N) complexes and their activity for CO2 hydrogenation. Dalton Trans 2019, 48, 12512–12521. [Google Scholar] [CrossRef] [PubMed]
- Perez, V.; Audet, P.; Bi, W.; Fontaine, F.-G. Phosphidoboratabenzene–rhodium(i) complexes as precatalysts for the hydrogenation of alkenes at room temperature and atmospheric pressure. Dalton Trans 2016, 45, 2130–2137. [Google Scholar] [CrossRef] [PubMed]
- Fleming, J.T.; Wills, C.; Waddell, P.G.; Harrington, R.W.; Higham, L.J. A comparison of MOP-phosphonite ligands and their applications in Rh(i)- and Pd(ii)-catalysed asymmetric transformations. Dalton Trans 2016, 45, 15660–15670. [Google Scholar] [CrossRef]
- Gavrilov, K.N.; Mikhel, I.S. Coordination chemistry of hydrophosphorane compounds. Russ. Chem. Rev. 1996, 65, 225–247. [Google Scholar] [CrossRef]
- Carroll, H.K.; Parlane, F.G.L.; Reich, N.; Jelier, B.J.; Montgomery, C.D. Phosphoramidite complexes of Pd(II), Pt(II) and Rh(I): An effective hydrosilylation catalyst of 1-hexyne and 1-octene. Inorg. Chim. Acta 2017, 465, 78–83. [Google Scholar] [CrossRef]
- Drommi, D.; Arena, C.G. An effective diphosphoramidite rhodium catalyst for selective hydroformylation of 1-octene. Catal. Commun. 2018, 115, 36–39. [Google Scholar] [CrossRef]
- Ren, Z.; Lyu, Y.; Feng, S.; Song, X.; Ding, Y. A highly efficient single site Rh-POL-PPh3 catalyst for heterogeneous methanol carbonylation. Mol. Catal. 2017, 442, 83–88. [Google Scholar] [CrossRef]
- Guenther, J.; Reibenspies, J.; Blümel, J. Synthesis and characterization of tridentate phosphine ligands incorporating long methylene chains and ethoxysilane groups for immobilizing molecular rhodium catalysts. Mol. Catal. 2019, 479, 110629. [Google Scholar] [CrossRef]
- Rodrigues, F.M.S.; Calvete, M.J.F.; Monteiro, C.J.P.; Carabineiro, S.A.C.; Maria, T.M.R.; Figueiredo, J.L.; Pereira, M.M. Hydroaminomethylation reaction as powerful tool for preparation of rhodium/phosphine-functionalized nanomaterials. Catalytic evaluation in styrene hydroformylation. Catal. Today 2020, 356, 456–463. [Google Scholar] [CrossRef]
- Hope, E.G.; Stuart, A.M. Highlights of Applications in Synthesis and Catalysis: 10.9 Hydroformylation and Hydrogenation Catalyzed by Perfluoroalkylated Phosphine/Metal Complexes. In Handbook of Fluorous Chemistry; Gladysz, J.A., Curran, D.P., Horváth, I.T., Eds.; John Wiley & Sons: Hoboken, NJ, USA, 2004. [Google Scholar] [CrossRef]
- Dobbs, A.P.; Kimberley, M.R. Fluorous phase chemistry: A new industrial technology. J. Fluor. Chem. 2002, 118, 3–17. [Google Scholar] [CrossRef]
- Hope, E.G.; Stuart, A.M. Fluorous biphase catalysis. J. Fluor. Chem. 1999, 100, 75–83. [Google Scholar] [CrossRef]
- Maqeda, L.; Makhubela, B.C.E.; Smith, G.S. Synthesis, characterization and evaluation of fluorocarbon-containing rhodium(I) complexes for biphasic hydroformylation reactions. Polyhedron 2015, 91, 128–135. [Google Scholar] [CrossRef]
- Joó, F. Aqueous Organometallic Catalysis; Springer: Dordrecht, The Netherlands, 2001; Volume 23. [Google Scholar] [CrossRef]
- Cornils, B.; Herrmann, W.A. Aqueous-Phase Organometallic Catalysis: Concepts and Applications; John Wiley & Sons: Hoboken, NJ, USA, 2004. [Google Scholar]
- Shaughnessy, K.H. Hydrophilic Ligands and Their Application in Aqueous-Phase Metal-Catalyzed Reactions. Chem. Rev. 2009, 109, 643–710. [Google Scholar] [CrossRef]
- Butler, R.N.; Coyne, A.G. Water: Nature’s Reaction Enforcer—Comparative Effects for Organic Synthesis “In-Water” and “On-Water”. Chem. Rev. 2010, 110, 6302–6337. [Google Scholar] [CrossRef] [PubMed]
- Kitanosono, T.; Masuda, K.; Xu, P.; Kobayashi, S. Catalytic Organic Reactions in Water toward Sustainable Society. Chem. Rev. 2018, 118, 679–746. [Google Scholar] [CrossRef] [PubMed]
- Zábranský, M.; Císařová, I.; Trzeciak, A.M.; Alsalahi, W.; Štěpnička, P. Synthesis, Structural Characterization, and Hydroformylation Activity of Rhodium(I) Complexes with a Polar Phosphinoferrocene Sulfonate Ligand. Organometallics 2019, 38, 479–488. [Google Scholar] [CrossRef]
- Jalal, M.; Hammouti, B.; Touzani, R.; Aouniti, A.; Ozdemir, I. Metal-NHC heterocycle complexes in catalysis and biological applications: Systematic review. Mater. Today Proc. 2020, 31, S122–S129. [Google Scholar] [CrossRef]
- Lee, J.; Hahm, H.; Kwak, J.; Kim, M. New Aspects of Recently Developed Rhodium (N-Heterocyclic Carbene)-Catalyzed Organic Transformations. Adv. Synth. Catal. 2019, 361, 1479–1499. [Google Scholar] [CrossRef]
- Tapu, D.; Buckner, O.J.; Boudreaux, C.M.; Norvell, B.; Vasiliu, M.; Dixon, D.A.; McMillen, C.D. A benzothiadiazole-supported N-heterocyclic carbene and its rhodium and iridium complexes. J. Organomet. Chem. 2016, 823, 40–49. [Google Scholar] [CrossRef]
- Ramasamy, B.; Kumar Gangwar, M.; Ghosh, P. Chiral Oxazolidine-Fused N-Heterocyclic Carbene Complexes of Rhodium and Iridium and Their Utility in the Asymmetric Transfer Hydrogenation of Ketones. Eur. J. Inorg. Chem. 2017, 2017, 3253–3268. [Google Scholar] [CrossRef]
- Yiğit, B.; Yiğit, M.; Özdemir, İ. Rhodium(I) N-heterocyclic carbene complexes as catalysts for the hydrosilylation of aromatic ketones with triethylsilane. Inorg. Chim. Acta 2017, 467, 75–79. [Google Scholar] [CrossRef]
- Jamil, M.S.S.; Alkaabi, S.; Brisdon, A.K. Simple NMR predictors of catalytic hydrogenation activity for [Rh(cod)Cl(NHC)] complexes featuring fluorinated NHC ligands. Dalton Trans 2019, 48, 9317–9327. [Google Scholar] [CrossRef]
- Sluijter, S.N.; Jongkind, L.J.; Elsevier, C.J. Synthesis of BINAM-Based Chiral Di-1,2,3-triazolylidene Complexes and Application of the Di-NHC RhI Catalyst in Enantioselective Hydrosilylation. Eur. J. Inorg. Chem. 2015, 2015, 2948–2955. [Google Scholar] [CrossRef]
- Morales-Cerón, J.P.; Lara, P.; López-Serrano, J.; Santos, L.L.; Salazar, V.; Álvarez, E.; Suárez, A. Rhodium(I) Complexes with Ligands Based on N-Heterocyclic Carbene and Hemilabile Pyridine Donors as Highly E Stereoselective Alkyne Hydrosilylation Catalysts. Organometallics 2017, 36, 2460–2469. [Google Scholar] [CrossRef]
- Jiménez, M.V.; Pérez-Torrente, J.J.; Bartolomé, M.I.; Gierz, V.; Lahoz, F.J.; Oro, L.A. Rhodium(I) Complexes with Hemilabile N-Heterocyclic Carbenes: Efficient Alkyne Hydrosilylation Catalysts. Organometallics 2008, 27, 224–234. [Google Scholar] [CrossRef]
- Tyagi, A.; Yadav, S.; Daw, P.; Ravi, C.; Bera, J.K. A Rh(I) complex with an annulated N-heterocyclic carbene ligand for E-selective alkyne hydrosilylation. Polyhedron 2019, 172, 167–174. [Google Scholar] [CrossRef]
- Srivastava, R.; Jakoobi, M.; Thieuleux, C.; Quadrelli, E.A.; Camp, C. A family of rhodium(i) NHC chelates featuring O-containing tethers for catalytic tandem alkene isomerization–hydrosilylation. Dalton Trans 2021, 50, 869–879. [Google Scholar] [CrossRef]
- Wang, W.; Lynch, V.M.; Guo, H.; Datta, A.; Jones, R.A. Electropolymerizable N-heterocyclic carbene complexes of Rh and Ir with enantiotropic polymorphic phases. Dalton Trans 2020, 49, 2264–2272. [Google Scholar] [CrossRef] [PubMed]
- Ling, L.; He, Y.; Zhang, X.; Luo, M.; Zeng, X. Hydrogenation of (Hetero)aryl Boronate Esters with a Cyclic (Alkyl)(amino)carbene–Rhodium Complex: Direct Access to cis-Substituted Borylated Cycloalkanes and Saturated Heterocycles. Angew. Chem. Int. Ed. 2019, 58, 6554–6558. [Google Scholar] [CrossRef]
- Ruiz-Botella, S.; Peris, E. Immobilization of Pyrene-Adorned N-Heterocyclic Carbene Complexes of Rhodium(I) on Reduced Graphene Oxide and Study of their Catalytic Activity. ChemCatChem 2018, 10, 1874–1881. [Google Scholar] [CrossRef]
- Trifonova, E.; Perekalin, D. Rhodium Complexes with Chiral Cyclopentadienyl Ligands for Catalytic Synthesis of Dihydroisoquinolones from Aryl Hydroxamic Acids and Alkenes. INEOS OPEN 2019, 2, 124–129. [Google Scholar] [CrossRef]
- Li, G.; Yan, X.; Jiang, J.; Liang, H.; Zhou, C.; Wang, J. Chiral Bicyclo[2.2.2]octane-Fused CpRh Complexes: Synthesis and Potential Use in Asymmetric C−H Activation. Angew. Chem. Int. Ed. 2020, 59, 22436–22440. [Google Scholar] [CrossRef]
- Pitman, C.L.; Finster, O.N.L.; Miller, A.J.M. Cyclopentadiene-mediated hydride transfer from rhodium complexes. Chem. Commun. 2016, 52, 9105–9108. [Google Scholar] [CrossRef]
- Pederzolli, F.R.S.; Wolke, S.I.; da Rosa, R.G. Recyclable rhodium-Cp′-heterogenized catalysts for hydrogenation of olefins. J. Catal. 2018, 360, 201–212. [Google Scholar] [CrossRef]
- Calhorda, M.J.; Romão, C.C.; Veiros, L.F. The Nature of the Indenyl Effect. Chem. Eur. J. 2002, 8, 868–875. [Google Scholar] [CrossRef]
- Kharitonov, V.B.; Makarova, M.; Arsenov, M.A.; Nelyubina, Y.V.; Chusova, O.; Peregudov, A.S.; Zlotskii, S.S.; Chusov, D.; Loginov, D.A. Indenyl Rhodium Complexes with Arene Ligands: Synthesis and Application for Reductive Amination. Organometallics 2018, 37, 2553–2562. [Google Scholar] [CrossRef]
- Liang, H.; Vasamsetty, L.; Li, T.; Jiang, J.; Pang, X.; Wang, J. A New Class of C2-Symmetric Chiral Cyclopentadienyl Ligand Derived from Ferrocene Scaffold: Design, Synthesis and Application. Chem. Eur. J. 2020, 26, 14546–14550. [Google Scholar] [CrossRef] [PubMed]
- Abbas, Z.; Hu, X.-H.; Ali, A.; Xu, Y.-W.; Hu, X.-P. New chiral ferrocene/indole-based diphosphine ligands for Rh-catalyzed asymmetric hydrogenation of functionalized olefins. Tetrahedron Lett. 2020, 61, 151860. [Google Scholar] [CrossRef]
- Bárta, O.; Císařová, I.; Mieczyńska, E.; Trzeciak, A.M.; Štěpnička, P. Synthesis and Catalytic Evaluation of Phosphanylferrocene Ligands with Cationic Guanidinium Pendants and Varied Phosphane Substituents. Eur. J. Inorg. Chem. 2019, 2019, 4846–4854. [Google Scholar] [CrossRef]
- Siangwata, S.; Baartzes, N.; Makhubela, B.C.E.; Smith, G.S. Synthesis, characterisation and reactivity of water-soluble ferrocenylimine-Rh(I) complexes as aqueous-biphasic hydroformylation catalyst precursors. J. Organomet. Chem. 2015, 796, 26–32. [Google Scholar] [CrossRef]
- Van Koten, G.; Milstein, D. (Eds.) Organometallic Pincer Chemistry; Springer: Berlin/Heidelberg, Germany, 2013; Volume 40, pp. 1–356. [Google Scholar] [CrossRef]
- Van Koten, G. The Monoanionic ECE-Pincer Ligand: A Versatile Privileged Ligand Platform—General Considerations. In Organometallic Pincer Chemistry; van Koten, G., Milstein, D., Eds.; Springer: Berlin/Heidelberg, Germany, 2013; pp. 1–20. [Google Scholar] [CrossRef]
- Gunanathan, C.; Ben-David, Y.; Milstein, D. Direct Synthesis of Amides from Alcohols and Amines with Liberation of H2. Science 2007, 317, 790–792. [Google Scholar] [CrossRef]
- Medici, S.; Gagliardo, M.; Williams, S.B.; Chase, P.A.; Gladiali, S.; Lutz, M.; Spek, A.L.; van Klink, G.P.M.; van Koten, G. Novel P-Stereogenic PCP Pincer-Aryl Ruthenium(II) Complexes and Their Use in the Asymmetric Hydrogen Transfer Reaction of Acetophenone. Helv. Chim. Acta 2005, 88, 694–705. [Google Scholar] [CrossRef]
- Bézier, D.; Guan, C.; Krogh-Jespersen, K.; Goldman, A.S.; Brookhart, M. Experimental and computational study of alkane dehydrogenation catalyzed by a carbazolide-based rhodium PNP pincer complex. Chem. Sci. 2016, 7, 2579–2586. [Google Scholar] [CrossRef] [PubMed]
- Gamede, N.V.; Kapfunde, T.A.; Ocansey, E.; Ngumbu, D.M.; Darkwa, J.; Makhubela, B.C.E. N′N′N pincer and N′N bidentate(pyrazolylpyridyl) Rh(I) complexes as catalyst precursors for hydroformylation of olefins. Transit. Met. Chem. 2020, 45, 1–8. [Google Scholar] [CrossRef]
- Findlater, M.; Schultz, K.M.; Bernskoetter, W.H.; Cartwright-Sykes, A.; Heinekey, D.M.; Brookhart, M. Dihydrogen Complexes of Iridium and Rhodium. Inorg. Chem. 2012, 51, 4672–4678. [Google Scholar] [CrossRef]
- Spearing-Ewyn, E.A.K.; Beattie, N.A.; Colebatch, A.L.; Martinez-Martinez, A.J.; Docker, A.; Boyd, T.M.; Baillie, G.; Reed, R.; Macgregor, S.A.; Weller, A.S. The role of neutral Rh(PONOP)H, free NMe2H, boronium and ammonium salts in the dehydrocoupling of dimethylamine-borane using the cationic pincer [Rh(PONOP)(η2-H2)]+ catalyst. Dalton Trans 2019, 48, 14724–14736. [Google Scholar] [CrossRef] [PubMed]
- Kranenburg, M.; van der Burgt, Y.E.M.; Kamer, P.C.J.; van Leeuwen, P.W.N.M.; Goubitz, K.; Fraanje, J. New Diphosphine Ligands Based on Heterocyclic Aromatics Inducing Very High Regioselectivity in Rhodium-Catalyzed Hydroformylation: Effect of the Bite Angle. Organometallics 1995, 14, 3081–3089. [Google Scholar] [CrossRef]
- Zhao, X.; Jia, H.; Wang, Q.; Song, H.; Tang, Y.; Ma, L.; Shi, Y.; Yang, G.; Wang, Y.; Zang, Y.; et al. The oxidative coupling between benzaldehyde derivatives and phenylacetylene catalyzed by rhodium complexes via C-H bond activation. Heterocycl. Commun. 2020, 26, 20–25. [Google Scholar] [CrossRef]
- Wang, Q.; Jia, H.; Shi, Y.; Ma, L.; Yang, G.; Wang, Y.; Xu, S.; Wang, J.; Zang, Y.; Aoki, T. [Rh(L-alaninate)(1,5-Cyclooctadiene)] Catalyzed Helix-Sense-Selective Polymerizations of Achiral Phenylacetylenes. Polymers 2018, 10, 1223. [Google Scholar] [CrossRef]
- Jia, H.-G.; Shi, Y.-Q.; Ma, L.-Q.; Wang, Y.-Z.; Zang, Y.; Peng, J.-J. Asymmetric polymerisation of substituted phenylacetylene using chiral Rh(2,5-norbornadiene)(l-proline) catalyst. Chem. Pap. 2015, 69, 756–760. [Google Scholar] [CrossRef]
- Tan, N.S.L.; Simpson, P.V.; Nealon, G.L.; Sobolev, A.N.; Raiteri, P.; Massi, M.; Ogden, M.I.; Lowe, A.B. Rhodium(I)-α-Phenylvinylfluorenyl Complexes: Synthesis, Characterization, and Evaluation as Initiators in the Stereospecific Polymerization of Phenylacetylene. Eur. J. Inorg. Chem. 2019, 2019, 592–601. [Google Scholar] [CrossRef]
- Chen, Q.-C.; Saltsman, I.; Kaushansky, A.; Xiao, Z.-Y.; Fridman, N.; Zhan, X.; Gross, Z. Rhodium Complexes of a New-Generation Sapphyrin: Unique Structures, Axial Chirality, and Catalysis. Chem. Eur. J. 2018, 24, 17255–17261. [Google Scholar] [CrossRef] [PubMed]
- Coburger, P.; Kahraman, G.; Straube, A.; Hey-Hawkins, E. Rhodium(i) complexes with carborane-substituted P,N ligands: Investigations of electronic structure and dynamic behaviour. Dalton Trans 2019, 48, 9625–9630. [Google Scholar] [CrossRef] [PubMed]


















Publisher’s Note: MDPI stays neutral with regard to jurisdictional claims in published maps and institutional affiliations. |
© 2021 by the authors. Licensee MDPI, Basel, Switzerland. This article is an open access article distributed under the terms and conditions of the Creative Commons Attribution (CC BY) license (https://creativecommons.org/licenses/by/4.0/).
Share and Cite
Medici, S.; Peana, M.; Pelucelli, A.; Zoroddu, M.A. Rh(I) Complexes in Catalysis: A Five-Year Trend. Molecules 2021, 26, 2553. https://doi.org/10.3390/molecules26092553
Medici S, Peana M, Pelucelli A, Zoroddu MA. Rh(I) Complexes in Catalysis: A Five-Year Trend. Molecules. 2021; 26(9):2553. https://doi.org/10.3390/molecules26092553
Chicago/Turabian StyleMedici, Serenella, Massimiliano Peana, Alessio Pelucelli, and Maria Antonietta Zoroddu. 2021. "Rh(I) Complexes in Catalysis: A Five-Year Trend" Molecules 26, no. 9: 2553. https://doi.org/10.3390/molecules26092553
APA StyleMedici, S., Peana, M., Pelucelli, A., & Zoroddu, M. A. (2021). Rh(I) Complexes in Catalysis: A Five-Year Trend. Molecules, 26(9), 2553. https://doi.org/10.3390/molecules26092553

