Secondary Formation of Aromatic Nitroderivatives of Environmental Concern: Photonitration Processes Triggered by the Photolysis of Nitrate and Nitrite Ions in Aqueous Solution
Abstract
1. Introduction
2. Aromatic Photonitration in Aqueous Solution
2.1. Nitrate (NO3−) Photolysis
- Diffusion of •NO2 + O•− out of the solvent cage and into the solution bulk, where O•− undergoes prompt protonation to •OH if pH < 12;
- Geminate recombination of the two fragments back to the original NO3−; and
- Recombination of the fragments to form peroxynitrite, ONOO−, which is an isomer of nitrate (this latter process takes the form of nitrate photoisomerisation). Peroxynitrite is the conjugate base of the weak acid HOONO (pKa = 7), peroxynitrous acid. HOONO is an unstable species that can either give back nitrate or decompose into •OH + •NO2. In contrast, OONO− mainly reacts with dissolved CO2 [24].
2.2. Nitrite (NO2−) Photolysis
2.3. A Brief Overview of the Different Photogenerated Nitrating Agents
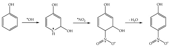
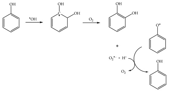
2.4. Phenol Photonitration Pathways
2.5. The Photonitration of Nitrophenols
2.6. Photonitration by HOONO/H2OONO+: The Case of Naphthalene/NO3−/hν
2.7. Nitrosation/Oxidation by Photogenerated HNO2: The Cases of Catechol and 1-Naphthol with NO3−/hν
2.8. Proposal of a Protocol for the Study of Photonitration Pathways
- In neutral solution, there is a real chance for •NO2 to be involved in photonitration (especially with electron-rich substrates). Addition of •OH scavengers such as alcohols may help supporting the possible involvement of •NO2—indeed, photonitration by nitrate should be enhanced upon addition of the scavengers, if it involves •NO2 (solvent-cage effect, see Scheme 1). In contrast, •OH scavengers should inhibit photonitration by nitrite (•OH is needed to oxidise NO2− to •NO2, see Scheme 2);
- The effect of pH is key to differentiate between different reactive species, especially in the case of nitrate irradiation. Therefore, photonitration rates should be studied as a function of pH with irradiated nitrate, comparing the results with those reported in Figure 2. In several cases, such a comparison will give a clue as to which reactive species is mostly involved in the process;
- If the pH trend of photonitration by NO3−/UV suggests the possible involvement of HNO2, it is advisable to directly study the reactivity of the substrate with HNO2 in the dark (HNO2 is produced by acidifying an NO2− solution). Direct nitration by HNO2 is studied by taking into account the initial formation rates of the nitroderivatives, while the nitrosation/oxidation process is highlighted by quantifying the concentration values reached by the nitroderivatives after a certain amount of time (e.g., 30 to 60 min reaction time in the dark). Note that the oxidation of the nitrosoderivatives might be faster with NO3− under irradiation than with HNO2 in the dark;
- If, in contrast, the pH trend of photonitration suggests the involvement of HOONO or H2OONO+, one should study the dark reactivity of these species. HOONO can be produced in the dark by the reaction of H2O2 + HNO2 [54]. An important issue is that the dark formation of HOONO involves H3O2+ + HNO2, thus the pH trend of nitroderivatives formed by HOONO in the dark would show an inflection point at pH ~ 1.5 [54], which is not expected to be seen in the corresponding process taking place under irradiation. In contrast, the involvement of H2OONO+ in dark nitration would still produce nitroderivative formation rates that are ∝ [H+].
2.9. Possible Occurrence of Photonitration in Natural Waters
- 2,4-Dichlorophenoxyacetic acid → 2,4-dichlorophenol → 2,4-dichloro-6-nitrophenol
- MCPA → 4-chloro-2-methylphenol → 4-chloro-2-methyl-6-nitrophenol
- Dichlorprop → 4-chlorophenol → 2-nitro-4-chlorophenolwhere MCPA = 4-chloro-2-methylphenoxyacetic acid, and dichlorprop = 2-(2,4-dichlorophenoxy)propanoic acid.
3. Conclusions
Author Contributions
Funding
Institutional Review Board Statement
Informed Consent Statement
Data Availability Statement
Conflicts of Interest
Sample Availability
References
- Dzengel, J.; Theurich, J.; Bahnemann, D.W. Formation of nitroaromatic compounds in advanced oxidation processes: Photolysis versus photocatalysis. Environ. Sci. Technol. 1999, 33, 294–300. [Google Scholar] [CrossRef]
- Vione, D.; Maurino, V.; Minero, C.; Pelizzetti, E. Aqueous atmospheric chemistry: Formation of 2,4-dinitrophenol upon nitration of 2-nitrophenol and 4-nitrophenol in solution. Environ. Sci. Technol. 2005, 39, 7921–7931. [Google Scholar] [CrossRef]
- Suzuki, J.; Okazaki, H.; Sato, T.; Suzuki, S. Formation of mutagens by photochemical reaction of biphenyl in nitrate aqueous solution. Chemosphere 1982, 11, 437–444. [Google Scholar] [CrossRef]
- Suzuki, J.; Ueki, T.; Shimizu, S.; Uesugi, K.; Suzuki, S. Formation of mutagens by photolysis of amino acids in neutral aqueous solution containing nitrite or nitrate ion. Chemosphere 1985, 14, 493–500. [Google Scholar] [CrossRef]
- Scholes, R.C.; Prasse, C.; Sedlak, D.L. The role of reactive nitrogen species in sensitized photolysis of wastewater-derived Trace organic contaminants. Environ. Sci. Technol. 2019, 53, 6483–6491. [Google Scholar] [CrossRef]
- Machado, F.; Boule, P. Photonitration and photonitrosation of phenolic derivatives induced in aqueous solution by excitation of nitrite and nitrate ions. J. Photochem. Photobiol. A Chem. 1995, 86, 73–80. [Google Scholar] [CrossRef]
- Natangelo, M.; Mangiapan, S.; Bagnati, R.; Benfenati, E.; Fanelli, R. Increased concentrations of nitrophenols in leaves from a damaged forestal site. Chemosphere 1999, 38, 1495–1503. [Google Scholar] [CrossRef]
- Sugiyama, H.; Watanabe, T.; Hirayama, T. Nitration of pyrene in metallic oxides as soil components in the presence of indoor air, nitrogen dioxide gas, nitrite ion, or nitrate ion under xenon irradiation. J. Health Sci. 2001, 47, 28–35. [Google Scholar] [CrossRef][Green Version]
- Guidi, G.; Librando, V.; Minniti, Z.; Bolzacchini, E.; Perrini, G.; Bracchitta, G.; Alparone, A.; Catalfo, A. The PAH and nitro-PAH concentration profiles in size-segregated urban particulate matter and soil in traffic-related sites in Catania, Italy. Polycycl. Aromat. Compd. 2012, 32, 439–456. [Google Scholar] [CrossRef]
- Rubio, M.A.; Lissi, E.; Herrera, N.; Pérez, V.; Fuentes, N. Phenol and nitrophenols in the air and dew waters of Santiago de Chile. Chemosphere 2012, 86, 1035–1039. [Google Scholar] [CrossRef] [PubMed]
- Kitanovski, Z.; Čusak, A.; Grgić, I.; Claeys, M. Chemical characterization of the main products formed through aqueous-phase photonitration of guaiacol. Atmos. Meas. Tech. 2014, 7, 2457–2470. [Google Scholar] [CrossRef]
- Kroflič, A.; Grilc, M.; Grgić, I. Unraveling pathways of guaiacol nitration in atmospheric waters: Nitrite, a source of reactive nitronium ion in the atmosphere. Environ. Sci. Technol. 2015, 49, 9150–9158. [Google Scholar] [CrossRef] [PubMed]
- Vidović, K.; Jurković, D.L.; Šala, M.; Kroflič, A.; Grgić, I. Nighttime aqueous-phase formation of nitrocatechols in the atmospheric condensed phase. Environ. Sci. Technol. 2018, 52, 9722–9730. [Google Scholar] [CrossRef]
- Kroflič, A.; Huš, M.; Grilc, M.; Grgić, I. Underappreciated and complex role of nitrous acid in aromatic nitration under mild environmental conditions: The case of activated methoxyphenols. Environ. Sci. Technol. 2018, 52, 13756–13765. [Google Scholar] [CrossRef] [PubMed]
- Vidović, K.; Kroflič, A.; Šala, M.; Grgić, I. Aqueous-phase brown carbon formation from aromatic precursors under sunlight conditions. Atmosphere 2020, 11, 131. [Google Scholar] [CrossRef]
- Pang, H.; Zhang, Q.; Lu, X.; Li, K.; Chen, H.; Chen, J.; Yang, X.; Ma, Y.; Ma, J.; Huang, C. Nitrite-mediated photooxidation of vanillin in atmospheric aqueous phase. Environ. Sci. Technol. 2019, 53, 14253–14263. [Google Scholar] [CrossRef]
- Huang, Y.; Kong, M.; Westerman, D.C.; Xu, E.G.; Coffin, S.; Cochran, K.H.; Liu, Y.; Richardson, S.; Schlenk, D.; Dionysiou, D. Effects of HCO3− on degradation of toxic contaminants of emerging concern by UV/NO3−. Environ. Sci. Technol. 2018, 52, 12697–12707. [Google Scholar] [CrossRef] [PubMed]
- Wu, Z.; Chen, C.; Zhu, B.; Huang, C.; An, T.; Meng, F.; Fang, J. Reactive nitrogen species are also involved in the transformation of micropollutants by the UV/monochloramine process. Environ. Sci. Technol. 2019, 53, 11142–11152. [Google Scholar] [CrossRef]
- Xu, L.; Sun, Y.; Gan, L.; Han, J.; Wang, P.; Yu, L.; Mei, X.; Li, W.; Lyu, B.; Pei, C.; et al. Utilization of photochemical circulation between NO3− and NO2− in water to degrade photoinert dimethyl phthalate: Influence of organic media and mechanism study. Appl. Catal. B Environ. 2019, 259, 117958. [Google Scholar] [CrossRef]
- Zhou, S.; Li, L.; Wu, Y.; Zhu, S.; Zhu, N.; Bu, L.; Dionysiou, D. UV365 induced elimination of contaminants of emerging concern in the presence of residual nitrite: Roles of reactive nitrogen species. Water Res. 2020, 178, 115829. [Google Scholar] [CrossRef]
- Chen, C.; Wu, Z.; Zheng, S.; Wang, L.; Niu, X.; Fang, J. Comparative study for interactions of sulfate radical and hydroxyl radical with phenol in the presence of nitrite. Environ. Sci. Technol. 2020, 54, 8455–8463. [Google Scholar] [CrossRef]
- Mack, J.; Bolton, J. Photochemistry of nitrite and nitrate in aqueous solution: A review. J. Photochem. Photobiol. A Chem. 1999, 128, 1–13. [Google Scholar] [CrossRef]
- Vione, D.; Sur, B.; Dutta, B.K.; Maurino, V.; Minero, C. On the effect of 2-propanol on phenol photonitration upon nitrate photolysis. J. Photochem. Photobiol. A Chem. 2011, 224, 68–70. [Google Scholar] [CrossRef]
- Carena, L.; Vione, D. Photochemical reaction of peroxynitrite and carbon dioxide could account for up to 15% of carbonate radicals generation in surface waters. Environ. Chem. Lett. 2016, 14, 183–187. [Google Scholar] [CrossRef]
- Ohta, T.; Suzuki, J.; Iwano, Y.; Suzuki, S. Photochemical nitrosation of dimethylamine in aqueous solution containing nitrite. Chemosphere 1982, 11, 797–801. [Google Scholar] [CrossRef]
- Vione, D.; Minero, C.; Housari, F.; Chirón, S. Photoinduced transformation processes of 2,4-dichlorophenol and 2,6-dichlorophenol on nitrate irradiation. Chemosphere 2007, 69, 1548–1554. [Google Scholar] [CrossRef] [PubMed]
- Bedini, A.; Maurino, V.; Minero, C.; Vione, D. Theoretical and experimental evidence of the photonitration pathway of phenol and 4-chlorophenol: A mechanistic study of environmental significance. Photochem. Photobiol. Sci. 2012, 11, 418–424. [Google Scholar] [CrossRef] [PubMed]
- Shankar, M.; Nélieu, S.; Kerhoas, L.; Einhorn, J. Photo-induced degradation of diuron in aqueous solution by nitrites and nitrates: Kinetics and pathways. Chemosphere 2007, 66, 767–774. [Google Scholar] [CrossRef]
- Ge, J.; Huang, D.; Han, Z.; Wang, X.; Wang, Z. Photochemical behavior of benzophenone sunscreens induced by nitrate in aquatic environments. Water Res. 2019, 153, 178–186. [Google Scholar] [CrossRef]
- Palma, D.; Arbid, Y.; Sleiman, M.; Sainte-Claire, P.D.; Richard, C. New route to toxic nitro and nitroso products upon irradiation of micropollutants mixtures containing imidacloprid: Role of NOx and effect of natural organic matter. Environ. Sci. Technol. 2020, 54, 3325–3333. [Google Scholar] [CrossRef]
- Chirón, S.; Minero, C.; Vione, D. Occurrence of 2,4-dichlorophenol and of 2,4-dichloro-6-nitrophenol in the Rhône River Delta (Southern France). Environ. Sci. Technol. 2007, 41, 3127–3133. [Google Scholar] [CrossRef] [PubMed]
- Chen, L.; Kong, L.; Tong, S.; Yang, K.; Jin, S.; Wang, C.; Wang, L. Aqueous phase oxidation of bisulfite influenced by nitrate photolysis. Atmos. Chem. Phys. 2020, 1–40. [Google Scholar] [CrossRef]
- Bianco, A.; Passananti, M.; Brigante, M.; Mailhot, G. Photochemistry of the cloud aqueous phase: A review. Molecules 2020, 25, 423. [Google Scholar] [CrossRef] [PubMed]
- Mariotti, M.; Rogowska-Wrzesińska, A.; Hägglund, P.; Davies, M.J. Cross-linking and modification of fibronectin by peroxynitrous acid: Mapping and quantification of damage provides a new model for domain interactions. J. Biol. Chem. 2021, 296, 100360. [Google Scholar] [CrossRef] [PubMed]
- Benedict, K.; McFall, A.S.; Anastasio, C. Quantum yield of nitrite from the photolysis of aqueous nitrate above 300 nm. Environ. Sci. Technol. 2017, 51, 4387–4395. [Google Scholar] [CrossRef]
- Yang, W.; Han, C.; Yang, H.; Xue, X. Significant HONO formation by the photolysis of nitrates in the presence of humic acids. Environ. Pollut. 2018, 243, 679–686. [Google Scholar] [CrossRef]
- Maiti, B.K.; Maia, L.; Moura, I.; Moura, J. NiII -ATCUN-catalyzed tyrosine nitration in the presence of nitrite and sulfite. Chem. Eur. J. 2019, 25, 4309–4314. [Google Scholar] [CrossRef]
- De Laurentiis, E.; Minella, M.; Berto, S.; Maurino, V.; Minero, C.; Vione, D. The fate of nitrogen upon nitrite irradiation: Formation of dissolved vs. gas-phase species. J. Photochem. Photobiol. A Chem. 2015, 307, 30–34. [Google Scholar] [CrossRef]
- Fu, X.; Wang, T.; Zhang, L.; Li, Q.; Wang, Z.; Xia, M.; Yun, H.; Wang, W.; Yu, C.; Yue, D.; et al. The significant contribution of HONO to secondary pollutants during a severe winter pollution event in southern China. Atmos. Chem. Phys. 2019, 19, 1–14. [Google Scholar] [CrossRef]
- Vione, D.; Maurino, V.; Minero, C.; Pelizzetti, E. Nitration and photonitration of naphthalene in aqueous systems. Environ. Sci. Technol. 2005, 39, 1101–1110. [Google Scholar] [CrossRef]
- Degendorfer, G.; Chuang, C.; Mariotti, M.; Hammer, A.; Hoefler, G.; Hägglund, P.; Malle, E.; Wise, S.G.; Davies, M. Exposure of tropoelastin to peroxynitrous acid gives high yields of nitrated tyrosine residues, di-tyrosine cross-links and altered protein structure and function. Free Rad. Biol. Med. 2018, 115, 219–231. [Google Scholar] [CrossRef] [PubMed]
- Campolo, N.; Issoglio, F.; Estrin, D.; Bartesaghi, S.; Radi, R. 3-Nitrotyrosine and related derivatives in proteins: Precursors, radical intermediates and impact in function. Essays Biochem. 2020, 64, 111–133. [Google Scholar] [CrossRef] [PubMed]
- Minero, C.; Bono, F.; Rubertelli, F.; Pavino, D.; Maurino, V.; Pelizzetti, E.; Vione, D. On the effect of pH in aromatic photonitration upon nitrate photolysis. Chemosphere 2007, 66, 650–656. [Google Scholar] [CrossRef] [PubMed]
- Vione, D.; De Laurentiis, E.; Berto, S.; Minero, C.; Hatipoglu, A.; Çınar, Z. Modeling the photochemical transformation of nitrobenzene under conditions relevant to sunlit surface waters: Reaction pathways and formation of intermediates. Chemosphere 2016, 145, 277–283. [Google Scholar] [CrossRef]
- Mekic, M.; Liu, J.; Zhou, W.; Loisel, G.; Cai, J.; He, T.; Jiang, B.; Yu, Z.; Lazarou, Y.; Li, X.; et al. Formation of highly oxygenated multifunctional compounds from cross-reactions of carbonyl compounds in the atmospheric aqueous phase. Atmos. Environ. 2019, 219, 117046. [Google Scholar] [CrossRef]
- Hayyan, M.; Hashim, M.A.; Al Nashef, I. Superoxide ion: Generation and chemical implications. Chem. Rev. 2016, 116, 3029–3085. [Google Scholar] [CrossRef]
- Wang, F. Reactivity of the Solvated Electron, the Hydroxyl Radical and Its Precursor in Deuterated Water Studied by Picosecond Pulse Radiolysis. Ph.D. Thesis, Université Paris Saclay, Paris, France, 2018; p. 179. [Google Scholar]
- Nayebzadeh, M.; Vahedpour, M. A Review on reactions of polycyclic aromatic hydrocarbons with the most abundant atmospheric chemical fragments: Theoretical and experimental data. Prog. React. Kinet. Mech. 2017, 42, 201–220. [Google Scholar] [CrossRef]
- Mao, X.; Wang, S.; Huang, Y.; Zhou, T. A theoretical investigation of gas phase OH-initiated acenaphthylene degradation reaction. Comput. Chem. 2017, 5, 22–37. [Google Scholar] [CrossRef][Green Version]
- Rubio, M.A.; Lissi, E.; Olivera, N.; Reyes, J.; López-Alarcón, C. Reactions of p-substituted phenols with nitrous acid in aqueous solution. Int. J. Chem. Kinet. 2014, 46, 143–150. [Google Scholar] [CrossRef]
- Takahama, U.; Hirota, S. Possible reactions of dietary phenolic compounds with salivary nitrite and thiocyanate in the stomach. Antioxidants 2017, 6, 53. [Google Scholar] [CrossRef] [PubMed]
- Vione, D.; Maurino, V.; Minero, C.; Pelizzetti, E. Phenol photonitration. Ann. Chim. 2002, 92, 919–929. [Google Scholar]
- Vione, D.; Maurino, V.; Minero, C.; Pelizzetti, E. Phenol photonitration upon UV irradiation of nitrite in aqueous solution II: Effects of pH and TiO2. Chemosphere 2001, 45, 903–910. [Google Scholar] [CrossRef]
- Vione, D.; Maurino, V.; Minero, C.; Borghesi, D.; Lucchiari, M.; Pelizzetti, E. New processes in the environmental chemistry of nitrite. 2. The role of hydrogen peroxide. Environ. Sci. Technol. 2003, 37, 4635–4641. [Google Scholar] [CrossRef]
- Bartesaghi, S.; Radi, R. Fundamentals on the biochemistry of peroxynitrite and protein tyrosine nitration. Redox Biol. 2018, 14, 618–625. [Google Scholar] [CrossRef]
- Harrison, M.; Barra, S.; Borghesi, D.; Vione, D.; Arsene, C.; Olariu, R. Nitrated phenols in the atmosphere: A review. Atmos. Environ. 2005, 39, 231–248. [Google Scholar] [CrossRef]
- Daviere, A.; Sotomski, M.; Audibert, A.; Carol, P.; Hubert, S.; Lebreton, S.; Louvet-Vallée, S.; Pédron, J.; Puyaubert, J.; Kraepiel, Y.; et al. Synergistic toxicity between glyphosate and 2,4-dinitrophenol on budding yeast is not due to H2O2-mediated oxidative stress. Matters 2019. [Google Scholar] [CrossRef]
- Barsotti, F.; Bartels-Rausch, T.; De Laurentiis, E.; Ammann, M.; Brigante, M.; Mailhot, G.; Maurino, V.; Minero, C.; Vione, D. Photochemical formation of nitrite and nitrous acid (HONO) upon irradiation of nitrophenols in aqueous solution and in viscous secondary organic aerosol proxy. Environ. Sci. Technol. 2017, 51, 7486–7495. [Google Scholar] [CrossRef] [PubMed]
- Vione, D.; Maurino, V.; Minero, C.; Lucchiari, M.; Pelizzetti, E. Nitration and hydroxylation of benzene in the presence of nitrite/nitrous acid in aqueous solution. Chemosphere 2004, 56, 1049–1059. [Google Scholar] [CrossRef]
- Gligorovski, S.; Strekowski, R.; Barbati, S.; Vione, D. Environmental implications of hydroxyl radicals (•OH). Chem. Rev. 2015, 115, 13051–13092. [Google Scholar] [CrossRef]
- Duan, L.; Zhang, T.; Song, W.; Jiang, C.; Hou, Y.; Zhao, W.; Chen, W.; Alvarez, P. Photolysis of graphene oxide in the presence of nitrate: Implications for graphene oxide integrity in water and wastewater treatment. Environ. Sci. Nano 2019, 6, 136–145. [Google Scholar] [CrossRef]
- Vione, D.; Maurino, V.; Pelizzetti, E.; Minero, C. Phenol photonitration and photonitrosation upon nitrite photolysis in basic solution. Int. J. Environ. Anal. Chem. 2004, 84, 493–504. [Google Scholar] [CrossRef]
- Lorentzen, L.; Chuang, C.; Rogowska-Wrzesińska, A.; Davies, M. Identification and quantification of sites of nitration and oxidation in the key matrix protein laminin and the structural consequences of these modifications. Redox Biol. 2019, 24, 101226. [Google Scholar] [CrossRef]
- Taraborrelli, D.; Cabrera-Perez, D.; Bacer, S.; Gromov, S.; Lelieveld, J.; Sander, R.; Pozzer, A. Influence of aromatics on tropospheric gas-phase composition. Atmos. Chem. Phys. 2020, 2615–2636. [Google Scholar] [CrossRef]
- Xia, Z.; Zhang, L.; Zhao, Y.; Yan, X.; Li, S.; Gu, T.; Jiang, J. Biodegradation of the herbicide 2,4-dichlorophenoxyacetic acid by a new isolated strain of Achromobacter sp. LZ35. Curr. Microbiol. 2016, 74, 193–202. [Google Scholar] [CrossRef] [PubMed]
- Nowak, K.; Miltner, A.; Poll, C.; Kandeler, E.; Streck, T.; Pagel, H. Plant litter enhances degradation of the herbicide MCPA and increases formation of biogenic non-extractable residues in soil. Environ. Int. 2020, 142, 105867. [Google Scholar] [CrossRef] [PubMed]
- Chirón, S.; Comoretto, L.; Rinaldi, E.; Maurino, V.; Minero, C.; Vione, D. Pesticide by-products in the Rhône delta (Southern France). The case of 4-chloro-2-methylphenol and of its nitroderivative. Chemosphere 2009, 74, 599–604. [Google Scholar] [CrossRef] [PubMed]
- Muszyński, P.; Brodowska, M.; Paszko, T. Occurrence and transformation of phenoxy acids in aquatic environment and photochemical methods of their removal: A review. Environ. Sci. Pollut. Res. 2019, 27, 1276–1293. [Google Scholar] [CrossRef]
- Maddigapu, P.R.; Vione, D.; Ravizzoli, B.; Minero, C.; Maurino, V.; Comoretto, L.; Chirón, S. Laboratory and field evidence of the photonitration of 4-chlorophenol to 2-nitro-4-chlorophenol and of the associated bicarbonate effect. Environ. Sci. Pollut. Res. 2010, 17, 1063–1069. [Google Scholar] [CrossRef] [PubMed]
- Xu, H.; Li, Y.; Liu, J.; Du, H.; Du, Y.; Su, Y.; Jiang, H. Photogeneration and steady-state concentration of hydroxyl radical in river and lake waters along middle-lower Yangtze region, China. Water Res. 2020, 176, 115774. [Google Scholar] [CrossRef]
- Vione, D.; Maurino, V.; Minero, C.; Pelizzetti, E. New processes in the environmental chemistry of nitrite: Nitration of phenol upon nitrite photoinduced oxidation. Environ. Sci. Technol. 2002, 36, 669–676. [Google Scholar] [CrossRef]
- Guan, C.; Jiang, J.; Shen, Y.; Pang, S.; Luo, C.; Zhao, X. Carbon materials inhibit formation of nitrated aromatic products in treatment of phenolic compounds by thermal activation of peroxydisulfate (PDS) in the presence of nitrite. Environ. Sci. Technol. 2019, 53, 9054–9062. [Google Scholar] [CrossRef] [PubMed]
- Ji, Y.; Wang, L.; Jiang, M.; Lu, J.; Ferronato, C.; Chovelon, J. The role of nitrite in sulfate radical-based degradation of phenolic compounds: An unexpected nitration process relevant to groundwater remediation by in-situ chemical oxidation (ISCO). Water Res. 2017, 123, 249–257. [Google Scholar] [CrossRef]
- Yang, P.; Ji, Y.; Lu, J.; Huang, Q. Formation of nitrophenolic byproducts during heat-activated peroxydisulfate oxidation in the presence of natural organic matter and nitrite. Environ. Sci. Technol. 2019, 53, 4255–4264. [Google Scholar] [CrossRef] [PubMed]
- Zhao, X.; Zhang, T.; Lu, J.; Zhou, L.; Chovelon, J.; Ji, Y. Formation of chloronitrophenols upon sulfate radical-based oxidation of 2-chlorophenol in the presence of nitrite. Environ. Pollut. 2020, 261, 114242. [Google Scholar] [CrossRef] [PubMed]












Publisher’s Note: MDPI stays neutral with regard to jurisdictional claims in published maps and institutional affiliations. |
© 2021 by the authors. Licensee MDPI, Basel, Switzerland. This article is an open access article distributed under the terms and conditions of the Creative Commons Attribution (CC BY) license (https://creativecommons.org/licenses/by/4.0/).
Share and Cite
Marussi, G.; Vione, D. Secondary Formation of Aromatic Nitroderivatives of Environmental Concern: Photonitration Processes Triggered by the Photolysis of Nitrate and Nitrite Ions in Aqueous Solution. Molecules 2021, 26, 2550. https://doi.org/10.3390/molecules26092550
Marussi G, Vione D. Secondary Formation of Aromatic Nitroderivatives of Environmental Concern: Photonitration Processes Triggered by the Photolysis of Nitrate and Nitrite Ions in Aqueous Solution. Molecules. 2021; 26(9):2550. https://doi.org/10.3390/molecules26092550
Chicago/Turabian StyleMarussi, Giovanna, and Davide Vione. 2021. "Secondary Formation of Aromatic Nitroderivatives of Environmental Concern: Photonitration Processes Triggered by the Photolysis of Nitrate and Nitrite Ions in Aqueous Solution" Molecules 26, no. 9: 2550. https://doi.org/10.3390/molecules26092550
APA StyleMarussi, G., & Vione, D. (2021). Secondary Formation of Aromatic Nitroderivatives of Environmental Concern: Photonitration Processes Triggered by the Photolysis of Nitrate and Nitrite Ions in Aqueous Solution. Molecules, 26(9), 2550. https://doi.org/10.3390/molecules26092550

