Self-Associating Polymers Chitosan and Hyaluronan for Constructing Composite Membranes as Skin-Wound Dressings Carrying Therapeutics
Abstract
1. Introductory Remarks
1.1. Pharmacokinetics
1.2. Tissues Covering the Organisms
1.3. Chitin, Chitosan, and Hyaluronan
1.4. Chitosan-Hyaluronan Associates
1.5. Treatment of Difficult-to-Healing Skin Wounds
1.6. Drug Release from Chitosan-HA Membrane
1.7. Chitosan-HA-MTA Composite Membranes
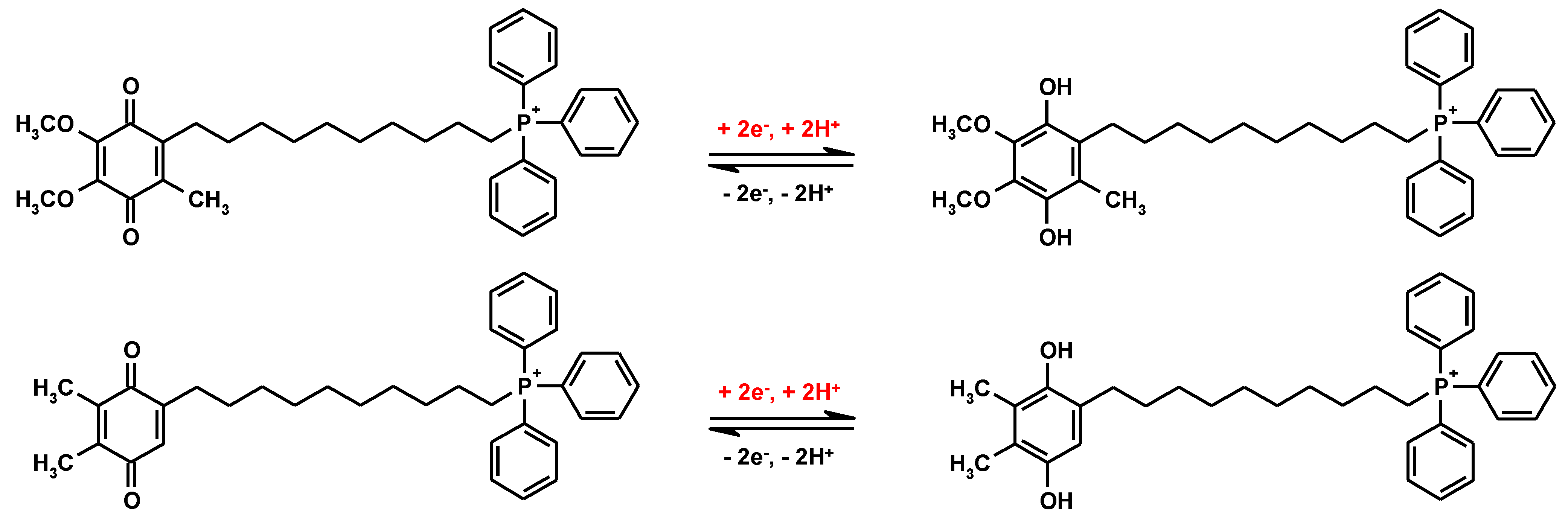
1.8. Chitosan-HA-Antioxidant Composite Membranes
1.9. Chitosan-HA-Resveratrol Composite Membrane
1.10. Chitosan-HA-Ergothioneine Composite Membrane
1.11. Limitations/Dangers of Not Critical Application of Antioxidants
2. Addendum
- to solve a patentable procedure of l-ergothioneine synthesis [92];
- to persuade consumers to buy l-ergothioneine and to ingest it as a natural supplement.
Author Contributions
Funding
Institutional Review Board Statement
Informed Consent Statement
Data Availability Statement
Acknowledgments
Conflicts of Interest
References
- Subedi, R.K.; Oh, S.Y.; Chun, M.-K.; Choi, H.-K. Recent advances in transdermal drug delivery. Arch. Pharm. Res. 2010, 33, 339–351. [Google Scholar] [CrossRef]
- Dias, A.M.A.; Braga, M.E.M.; Seabra, I.J.; Ferreira, P.; Gil, M.H.; de Sousa, H.C. Development of natural-based wound dressings impregnated with bioactive compounds and using supercritical carbon dioxide. Int. J. Pharm. 2011, 408, 9–19. [Google Scholar] [CrossRef]
- Moura, L.I.; Dias, A.M.; Carvalho, E.; de Sousa, H.C. Recent advances on the development of wound dressings for diabetic foot ulcer treatment--a review. Acta Biomater. 2013, 9, 7093–7114. [Google Scholar] [CrossRef]
- Zhang, X.; Chen, G.; Yu, Y.; Sun, L.; Zhao, Y. Bioinspired adhesive and antibacterial microneedles for versatile transdermal drug delivery. Research 2020, 2020, 3672120. [Google Scholar] [CrossRef]
- Graça, M.F.P.; Miguel, S.P.; Cabral, C.S.D.; Correia, I.J. Hyaluronic acid-based wound dressings: A review. Carbohydr. Polym. 2020, 241, 116364. [Google Scholar] [CrossRef] [PubMed]
- Zhu, J.; Tang, X.; Jia, Y.; Ho, C.T.; Huang, Q. Applications and delivery mechanisms of hyaluronic acid used for topical/transdermal delivery—A review. Int. J. Pharm. 2020, 578, 119127. [Google Scholar]
- Wang, F.; Zhang, X.; Chen, G.; Zhao, Y. Living bacterial microneedles for fungal infection treatment. Research 2020, 2020, 2760594. [Google Scholar]
- Zhang, H.; Chen, G.; Yu, Y.; Guo, J.; Tan, Q.; Zhao, Y. Microfluidic printing of slippery textiles for medical drainage around wounds. Adv. Sci. 2020, 7, 2000789. [Google Scholar] [CrossRef] [PubMed]
- Available online: https://www.fpharm.uniba.sk/uploads/media/Bauerova_24.3._Transdermalne_terapeuticke_sytemy.pdf (accessed on 15 March 2021).
- Mero, A.; Campisi, M. Hyaluronic acid bioconjugates for the delivery of bioactive molecules. Polymers 2014, 6, 346–369. [Google Scholar] [CrossRef]
- Mousavi, S.M.; Zarei, M.; Hashemi, S.A.; Ramakrishna, S.; Chiang, W.-H.; Lai, C.W.; Gholami, A.; Omidifar, N.; Shokripour, M. Asymmetric membranes: A potential scaffold for wound healing applications. Symmetry 2020, 12, 1100. [Google Scholar] [CrossRef]
- Kim, S.J.; Shin, S.R.; Lee, K.B.; Park, Y.D.; Kim, S.I. Synthesis and characteristics of polyelectrolyte complexes composed of chitosan and hyaluronic acid. J. Appl. Polym. Sci. 2004, 91, 2908–2913. [Google Scholar] [CrossRef]
- Xu, H.; Ma, L.; Shi, H.; Gao, C.; Han, C. Chitosan–hyaluronic acid hybrid film as a novel wound dressing: In vitro and in vivo studies. Polym. Adv. Technol. 2007, 18, 869–875. [Google Scholar] [CrossRef]
- Landolina, J.A. In-Situ Cross-Linkable Polymeric Compositions and Methods Thereof. WO 2013/071235, 12 November 2012. [Google Scholar]
- Escobar, J.J.; Nino, V.A.T.; Banilla, L.L.C.; Quintero, M.P.; Díaz, J.P.O.; Camago, C.M.; Briceno, J.C. In vitro biological evaluation of small intestinal submucosa—chitosan/hyaluronic acid tridimensional scaffolds as deep wound healing dressings. In Proceedings of the IX International Seminar of Biomedical Engineering (SIB), Bogota, Colombia, 16–18 May 2018; pp. 1–9. [Google Scholar]
- Hussain, Y.; Thu, H.E.; Shuid, A.N.; Katas, H.; Hussain, F. Recent advances in polymer-based wound dressings for the treatment of diabetic foot ulcer: An overview of state-of-the-art. Curr. Drug Targets 2018, 19, 527–550. [Google Scholar] [CrossRef]
- Kononova, S.V.; Kruchinina, E.V.; Petrova, V.A.; Baklagina, Y.G.; Klechkovskaya, V.V.; Orekhov, A.S.; Vlasova, E.N.; Popova, E.N.; Gubanova, G.N.; Skorik, Y.A. Pervaporation membranes of a simplex type with polyelectrolyte layers of chitosan and sodium hyaluronate. Carbohydr. Polym. 2019, 209, 10–19. [Google Scholar] [CrossRef]
- Vigani, B.; Rossi, S.; Sandri, G.; Bonferoni, M.C.; Caramella, C.M.; Ferrari, F. Hyaluronic acid and chitosan-based nanosystems: A new dressing generation for wound care. Expert. Opin. Drug Deliv. 2019, 16, 715–740. [Google Scholar] [CrossRef] [PubMed]
- Burdick, J.A.; Mauck, R.L. (Eds.) Biomaterials for Tissue Engineering Applications, A Review of the Past and Future Trends; Springer: Wien, Austria, 2011. [Google Scholar]
- Chen, L.; Tingfei, X.; Zhixiong, Y.; Liyuan, S. High-Ventilated Degradable Medicine-Carrying Skin Wound Dressing as well as Preparation Method and Device Thereof. Chinese Patent Application No. CN 102210885A, 6 June 2011. [Google Scholar]
- Yunjie, G.; Xiaoping, N.; Ruijin, X.; Zhixiu, X. A Kind of Medical Chitosan Bleeding-Stopping Dressing. CN103690989B, 10 December 2013. [Google Scholar]
- Available online: https://www.medicines.org.uk/emc/product/1211/smpc#gref (accessed on 15 March 2021).
- Available online: https://www.rxlist.com/flector-patch-drug.htm (accessed on 15 March 2021).
- Available online: https://www.researchgate.net/figure/Composition-of-the-ketoprofen-transdermal-patches_tbl1_264850860 (accessed on 15 March 2021).
- Available online: https://patents.google.com/patent/US20080279914A1/en (accessed on 15 March 2021).
- Rogitonine. Available online: https://www.medicines.org.uk/emc/product/1996/smpc#gref (accessed on 14 April 2021).
- Seliginine. Available online: https://www.accessdata.fda.gov/drugsatfda_docs/label/2007/021336s002lbl.pdf (accessed on 14 April 2021).
- Rossi, S.; Marciello, M.; Sandri, G.; Ferrari, F.; Bonferoni, M.C.; Papetti, A.; Caramella, C.; Dacarro, C.; Grisoli, P. Wound dressings based on chitosans and hyaluronic acid for the release of chlorhexidine diacetate in skin ulcer therapy. Pharm. Dev. Technol. 2007, 12, 415–422. [Google Scholar] [CrossRef] [PubMed]
- Available online: https://www.medicines.org.uk/emc/medicine/16787#gref (accessed on 14 April 2021).
- Available online: https://adisinsight.springer.com/drugs/800024335 (accessed on 14 April 2021).
- Sarkar, G.; Orasugh, J.T.; Saha, N.R.; Roy, I.; Bhattacharyya, A.; Chattopadhyay, A.K.; Rana, D.; Chattopadhyay, D. Cellulose nanofibrils/chitosan based transdermal drug delivery vehicle for controlled release of ketorolac tromethamine. New J. Chem. 2017, 41, 15312–15319. [Google Scholar] [CrossRef]
- Varshosaz, J.; Jaffari, F.; Karimzadeh, S. Development of bioadhesive chitosan gels for topical delivery of lidocaine. Sci. Pharm. 2006, 74, 209–223. [Google Scholar] [CrossRef]
- Available online: https://www.medicines.org.uk/emc/product/7225/smpc#gref (accessed on 14 April 2021).
- Available online: https://www.medicines.org.uk/emc/product/6808/smpc#gref (accessed on 14 April 2021).
- Available online: https://www.medicines.org.uk/emc/product/6411/smpc#gref (accessed on 15 March 2021).
- Available online: https://www.medicines.org.uk/emc/product/1185/smpc#gref (accessed on 15 March 2021).
- Available online: https://patents.google.com/patent/US20140271792A1/en (accessed on 15 March 2021).
- Available online: https://www.accessdata.fda.gov/drugsatfda_docs/label/2014/020145s027lbl.pdf (accessed on 15 March 2021).
- Available online: https://www.drugs.com/pro/clonidine-patch.html (accessed on 15 March 2021).
- Available online: http://www.madehow.com/Volume-3/Nicotine-Patch.html (accessed on 15 March 2021).
- Tzoumaki, M.V.; Moschakis, T.; Kiosseoglou, V.; Biliaderis, C.G. Oil-in-water emulsions stabilized by chitin nanocrystal particles. Food Hydrocoll. 2011, 25, 1521–1529. [Google Scholar] [CrossRef]
- Valachová, K.; Šoltés, L. Versatile use of chitosan and hyaluronan in medicine. Molecules 2021, 26, 1195. [Google Scholar]
- Sodhi, H.; Panitch, A. Glycosaminoglycans in tissue engineering: A review. Biomolecules 2021, 11, 29. [Google Scholar] [CrossRef]
- Fallacara, A.; Baldini, E.; Manfredini, S.; Vertuani, S. Hyaluronic acid in the third millennium. Polymers 2018, 10, 701. [Google Scholar] [CrossRef]
- Behin, S.R.; Punitha, I.S.; Saju, F. Development of matrix dispersion transdermal therapeutic system containing glipizide. Der Pharmacia Lettre 2013, 5, 278–286. [Google Scholar]
- Tamer, M.T.; Hassan, M.A.; Omer, A.M.; Valachova, K.; Mohamed, S.; Mohy Eldin, M.S.; Collins, M.N.; Soltes, L. Antibacterial and antioxidative activity of O-amine functionalized chitosan. Carbohydr. Polym. 2017, 169, 441–450. [Google Scholar] [CrossRef] [PubMed]
- Tamer, M.T.; Valachova, K.; Mohy Eldin, M.S.; Soltes, L. Free radical scavenger activity of chitosan and its aminated derivative. J. Appl. Pharmaceut. Sci. 2016, 6, 195–201. [Google Scholar] [CrossRef]
- Abdelrazik, T.M.; Valachova, K.; Mohy Eldin, M.S.; Soltes, L. Free radical scavenger activity of cinnamyl chitosan schiff base. J. Appl. Pharmaceut. Sci. 2016, 6, 130–136. [Google Scholar]
- Kahya, N. Water soluble chitosan derivatives and their biological activities: A review. Polym. Sci. 2019, 5, 1–11. [Google Scholar] [CrossRef]
- Wu, Q.X.; Lin, D.Q.; Yao, S.J. Design of chitosan and its water soluble derivatives-based drug carriers with polyelectrolyte complexes. Mar. Drugs 2014, 12, 6236–6253. [Google Scholar] [CrossRef]
- Sergi, R.; Bellucci, D.; Cannillo, V. A Review of bioactive glass/natural polymer composites: State of the Art. Materials 2020, 13, 5560. [Google Scholar] [CrossRef]
- Nair, S.S. Chitosan-based transdermal drug delivery systems to overcome skin barrier functions. J. Drug Deliv. Ther. 2019, 9, 266–270. [Google Scholar] [CrossRef]
- Qin, C.; Li, H.; Xiao, Q.; Liu, Y.; Zhu, J. Water-solubility of chitosan and its antimicrobial activity. Carbohydr. Polym. 2006, 63, 367–374. [Google Scholar] [CrossRef]
- Nataraj, D.; Sakkara, S.; Meghwal, M.; Reddy, N. Crosslinked chitosan films with controllable properties for commercial applications. Int. J. Biol. Macromol. 2018, 120, 1256–1264. [Google Scholar] [CrossRef]
- Abraham, S.; Rajamanickam, D.; Srinivasan, B. Preparation, characterization and cross-linking of chitosan by microwave assisted synthesis. Sci. Int. 2018, 6, 18–30. [Google Scholar] [CrossRef]
- Tamer, T.M.; Collins, M.N.; Valachova, K.; Hassan, M.A.; Omer, A.M.; Eldin, M.S.M.; Svik, K.; Jurcik, R.; Ondruska, L.; Biró, C.; et al. MitoQ loaded chitosan-hyaluronan composite membranes for wound healing. Materials 2018, 11, 569. [Google Scholar] [CrossRef] [PubMed]
- Murphy, M.P. Targeting lipophilic cations to mitochondria. Biochim. Biophys. Acta (BBA)—Bioenerg. 2008, 1777, 1028–1031. [Google Scholar] [CrossRef]
- Smith, R.A.J.; Murphy, M.P. Animal and human studies with the mitochondria-targeted antioxidant MitoQ. Ann. N. Y. Acad. Sci. 2010, 1201, 96–103. [Google Scholar] [CrossRef] [PubMed]
- Skulachev, V.P. Cationic antioxidants as a powerful tool against mitochondrial oxidative stress. Biochem. Biophys. Res. Commun. 2013, 441, 275–279. [Google Scholar] [CrossRef]
- Tamer, M.T.; Valachova, K.; Hassan, M.A.; Omer, A.M.; El-Shafeey, M.; Mohy Eldin, M.S.; Soltes, L. Chitosan/hyaluronan/edaravone membranes for anti-inflammatory wound dressing: In vitro and in vivo evaluation studies. Mater. Sci. Eng. C 2018, 90, 227–235. [Google Scholar] [CrossRef]
- Watanabe, K.; Tanaka, M.; Yuki, S.; Hirai, M.; Yamamoto, Y. How is edaravone effective against acute ischemic stroke and amyotrophic lateral sclerosis? J. Clin. Biochem. Nutr. 2018, 62, 20–38. [Google Scholar] [CrossRef] [PubMed]
- Tamer, M.T.; Hassan, M.A.; Valachová, K.; Omer, A.M.; El-Shafeey, M.E.; Eldin, M.S.M.; Šoltés, L. Enhancement of wound healing by chitosan/hyaluronan polyelectrolyte membrane loaded with glutathione: In vitro and in vivo evaluations. J. Biotechnol. 2020, 310, 103–113. [Google Scholar] [CrossRef] [PubMed]
- Garcia, A.; Eljack, N.D.; Sani, M.-A.; Separovic, F.; Rasmussen, H.H.; Kopec, W.; Khandelia, H.; Cornelius, F.; Clarke, R.J. Membrane accessibility of glutathione. Biochim. Biophys. Acta (BBA)—Biomembr. 2015, 1848, 2430–2436. [Google Scholar] [CrossRef]
- Hassan, M.A.; Tamer, M.T.; Valachova, K.; Omer, A.M.; El-Shafeey, M.; Mohy Eldin, M.S.; Soltes, L. Antioxidant and antibacterial polyelectrolyte wound dressing based on chitosan/hyaluronan/phosphatidylcholine dihydroquercetin. Int. J. Biol. Macromol. 2021, 166, 18–31. [Google Scholar] [CrossRef]
- Berce, C.; Muresan, M.S.; Soritau, O.; Petrushev, B.; Tefas, L.; Rigo, I.; Ungureanu, G.; Catoi, C.; Irimie, A.; Tomuleasa, C. Cutaneous wound healing using polymeric surgical dressings based on chitosan, sodium hyaluronate and resveratrol. A preclinical experimental study. Colloids Surf B: Biointerfaces 2018, 163, 155–166. [Google Scholar] [CrossRef]
- Mora-Boza, A.; López-Ruiz, E.; López-Donaire, M.L.; Jiménez, G.; Aguilar, M.R.; Marchal, J.A.; Pedraz, J.L.; Vázquez-Lasa, B.; San Román, J.; Gálvez-Martín, P. Evaluation of glycerylphytate crosslinked semi- and interpenetrated polymer membranes of hyaluronic acid and chitosan for tissue engineering. Polymers 2020, 12, 2661. [Google Scholar] [CrossRef]
- Feng, Q.; Zeng, G.; Yang, P.; Wang, C.; Cai, J. Self-assembly and characterization of polyelectrolyte complex films of hyaluronic acid/chitosan. Colloids Surf. A 2005, 257–258, 85–88. [Google Scholar] [CrossRef]
- Anisha, B.S.; Biswas, R.; Chennazhi, K.P.; Jayakumar, R. Chitosan-hyaluronic acid/nano silver composite sponges for drug resistant bacteria infected diabetic wounds. Int. J. Biol. Macromol. 2013, 62, 310–320. [Google Scholar] [CrossRef] [PubMed]
- Quemeneur, F.; Rinaudo, M.; Pépin-Donat, B. Influence of polyelectrolyte chemical structure on their interaction with lipid membrane of zwitterionic liposomes. Biomacromolecules 2008, 9, 2237–2243. [Google Scholar] [CrossRef] [PubMed]
- Lin, Y.C.; Tan, F.J.; Marra, K.G.; Jan, S.S.; Liu, D.C. Synthesis and characterization of collagen/hyaluronan/chitosan composite sponges for potential biomedical applications. Acta Biomater. 2009, 5, 2591–2600. [Google Scholar] [CrossRef] [PubMed]
- Almodóvar, J.; Place, L.W.; Gogolski, J.; Erickson, K.; Kipper, M.J. Layer-by-layer assembly of polysaccharide-based polyelectrolyte multilayers: A spectroscopic study of hydrophilicity, composition, and ion pairing. Biomacromolecules 2011, 12, 2755–2765. [Google Scholar] [CrossRef]
- Boudou, T.; Crouzier, T.; Auzély-Velty, R.; Glinel, K.; Picart, P. Internal composition versus the mechanical properties of polyelectrolyte multilayer films: The influence of chemical cross-linking. Langmuir 2009, 25, 13809–13819. [Google Scholar] [CrossRef]
- Valachová, K.; Svik, K.; Biro, C.; Soltes, L. Skin wound healing with composite biomembranes loaded by tiopronin or captopril. J. Biotechnol. 2020, 310, 49–53. [Google Scholar] [CrossRef] [PubMed]
- Bigucci, F.; Abruzzo, A.; Saladini, B.; Gallucci, M.C.; Cerchiara, T.; Luppi, B. Development and characterization of chitosan/hyaluronan film for transdermal delivery of thiocolchicoside. Carbohydr. Polym. 2015, 130, 32–40. [Google Scholar] [CrossRef] [PubMed]
- Soltes, L.; Tamer, M.T.; Veverka, M.; Valachova, K.; Mohy Eldin, M.S. Self-Associating Biopolymeric Membranes as Carriers of Remedies with Antioxidative Properties and Their Usage. Slovak Patent No.: 288581, 10 July 2015. [Google Scholar]
- Soltes, L.; Valachova, K.; Mach, M.; Juranek, I. Composite Membranes Containing a Smart-Released Cytoprotectant Targeting the Inflamed Tissue and Use Thereof. European Patent Application EP20020280.2, 17 June 2020. [Google Scholar]
- Valachova, K.; Svik, K.; Biro, C.; Collins, M.N.; Jurcik, R.; Ondruska, L.; Soltes, L. Impact of ergothioneine, hercynine and histidine on oxidative degradation of hyaluronan and wound healing. Polymers 2021, 13, 95. [Google Scholar] [CrossRef]
- Gruber, J.; Fong, S.; Chen, C.B.; Yoong, S.; Pastorin, G.; Schaffer, S.; Cheah, I.; Halliwell, B. Mitochondria-targeted antioxidants and metabolic modulators as pharmacological interventions to slow ageing. Biotechnol. Adv. 2013, 13, 563–592. [Google Scholar] [CrossRef] [PubMed]
- Kelso, G.F.; Porteous, C.M.; Coulter, C.V.; Hughes, G.; Porteous, W.K.; Ledgerwood, E.C.; Smith, R.A.; Murphy, M.P. Selective targeting of a redox-active ubiquinone to mitochondria within cells: Antioxidant and antiapoptotic properties. J. Biol. Chem. 2001, 276, 4588–4596. [Google Scholar] [CrossRef]
- Skulachev, V.P.; Bakeeva, L.E.; Chernyak, B.V.; Domnina, L.V.; Minin, A.A.; Pletjushkina, O.Y.; Saprunova, V.B.; Skulachev, I.V.; Tsyplenkova, V.G.; Vasiliev, J.M.; et al. Thread–grain transition of mitochondrial reticulum as astep of mitoptosis and apoptosis. Mol. Cell. Biochem. 2004, 256, 341–358. [Google Scholar] [CrossRef]
- Valachová, K.; Topoľská, D.; Šoltés, L. Protective effect of mitochondrially targeted antioxidant MitoQ on oxidatively stressed fibroblasts. Chem. Pap. 2018, 72, 1223–1230. [Google Scholar] [CrossRef]
- Doughan, A.K.; Dikalov, S.I. Mitochondrial redox cycling of mitoquinone leads to superoxide production and cellular apoptosis. Antioxid. Redox Signal. 2007, 9, 1825–1836. [Google Scholar] [CrossRef]
- Skulachev, V.P.; Anisimov, V.N.; Antonenko, Y.N.; Bakeeva, L.E.; Chernyak, B.V.; Erichev, V.P.; Filenko, O.F.; Kalinina, N.I.; Kapelko, V.I.; Kolosova, N.G.; et al. An attempt to prevent senescence: A mitochondrial approach. Biochim. Biophys. Acta 2009, 1787, 437–461. [Google Scholar] [CrossRef] [PubMed]
- Fink, B.D.; Herlein, J.A.; Yorek, M.A.; Fenner, A.M.; Kerns, R.J.; Sivitz, W.I. Bioenergetic effects of mitochondrial-targeted coenzyme Q analogs in endothelial cells. J. Pharmacol. Exp. Ther. 2012, 342, 709–719. [Google Scholar] [CrossRef] [PubMed]
- Brzheskiy, V.V.; Efimova, E.L.; Vorontsova, T.N.; Alekseev, V.N.; Gusarevich, O.G.; Shaidurova, K.N.; Ryabtseva, A.A.; Andryukhina, O.M.; Kamenskikh, T.G.; Sumarokova, E.S.; et al. Results of a multicenter, randomized, double-masked, placebo-controlled clinical study of the efficacy and safety of Visomitin eye drops in patients with dry eye syndrome. Adv. Ther. 2015, 32, 1263–1279. [Google Scholar] [CrossRef]
- Vang, O.; Ahmad, N.; Baile, C.A.; Baur, J.A.; Brown, K.; Csiszar, A.; Das, D.K.; Delmas, D.; Gottfried, C.; Lin, H.-Y.; et al. What is new for an old molecule? Systematic review and recommendations on the use of resveratrol. PLoS ONE 2011, 6, e19881. [Google Scholar] [CrossRef] [PubMed]
- Shang, Y.J.; Qian, Y.P.; Liu, X.D.; Dai, F.; Shang, X.L.; Jia, W.Q.; Qiang Liu, Q.; Fang, J.G.; Zhou, B. Radical-scavenging activity and mechanism of resveratrol-oriented analogues: Influence of the solvent, radical, and substitution. J. Org. Chem. 2009, 74, 5025–5031. [Google Scholar] [CrossRef] [PubMed]
- Iuga, C.; Alvarez-Idaboy, J.R.; Russo, N. Antioxidant activity of trans-resveratrol toward hydroxyl and hydroperoxyl radicals: A quantum chemical and computational kinetics study. J. Org. Chem. 2012, 77, 3868–3877. [Google Scholar] [CrossRef]
- Xiao, W.; Loscalzo, J. Metabolic responses to reductive stress. Antioxid. Redox Signal. 2020, 32, 1330–1347. [Google Scholar] [CrossRef] [PubMed]
- Valachová, K.; Mach, M.; Dubovický, M.; Šoltés, L. The importance of ergothioneine synthesis in ancient-time by organisms living in oxygen free atmosphere. Med. Hypotheses 2019, 123, 72–73. [Google Scholar] [CrossRef]
- Gründemann, D.; Harlfinger, S.; Golz, S.; Geerts, A.; Lazar, A.; Berkels, R.; Jung, N.; Rubbert, A.; Schömig, E. Discovery of the ergothioneine transporter. Proc. Natl. Acad. Sci. USA 2005, 102, 5256–5261. [Google Scholar] [CrossRef]
- Jardine, M.A.; Khonde, L.P. Process for synthesizing ergothioneine and related compounds. WO2016046618A1, 22 September 2014. [Google Scholar]
- Paul, B.D.; Snyder, S.H. The unusual amino acid l-ergothioneine is a physiologic cytoprotectant. Cell Death Diff. 2010, 17, 1134–1140. [Google Scholar] [CrossRef]
- Ruszczycky, M.W.; Liu, H.W. The surprising history of an antioxidant. Nature 2017, 551, 37–38. [Google Scholar] [CrossRef]
- Burn, R.; Misson, L.; Meury, M.; Seebeck, F.P. Anaerobic origin of ergothioneine. Angew. Chemie Int. Ed. 2017, 56, 12508–12511. [Google Scholar] [CrossRef]









| Group | Active/Medical Principle, Drug | Water Solubility | References | Note |
|---|---|---|---|---|
| − | [12,13,14,15,16,17,18] | Polymeric reservoir = free of any active/medical principle, drug. | ||
| Antibiotics | ✓ | [19,20,21] | Ref. [15]: Chitosan lactate 45–50%, HA 45–50%, antibiotic 5–10%. Ref. [16]: Chitosan 25–40 parts, succinyl-chitosan 10–25 parts, HA sodium 5–15 parts, antibacterial 1–5 parts.a | |
| Antiemetics | Granisetron | ✓ | [22] | This drug exists also as Granisetron hydrochloride. Patch matrix layer is an acrylate-vinylacetate copolymer. |
| Antiinflammatory, NSAIDs | Diclofenac | (✓) b | [23] | This drug exists also as Na salt with increased drug solubility. Diclofenac epolamine is applied to non-woven polyester. |
| Ketoprofen | (✓) | [24] | Patch matrix layer is an acrylic pressure-sensitive adhesive polymer. | |
| Piroxicam | (✓) | [25] | Multipolymeric composite patch. | |
| Quercetin | (✓) | [2] | N-carboxybutylchitosan and agarose film- or foam-like reservoirs. | |
| Antiparkinsonians | Rotigotine | (✓) | [26] | This drug exists also as Rotigotine hydrochloride. Multipolymeric composite patch. |
| Selegiline | (✓) | [27] | This drug exists also as Selegiline hydrochloride. Multipolymeric composite patch. | |
| Antiseptics | Chlorhexidine diacetate | ✓ | [28] | Multipolymeric composite patch. |
| Analgesics, Anesthetics, Anodynes | Buprenorphine | (✓) | [29] | This drug exists also as Buprenorphine hydrochloride. Multipolymeric composite patch. |
| Fentanyl | (✓) | [30] | Multipolymeric composite patch. This drug is incorporated within a patch as Fentanyl:Citric acid, 1:1, which increases the drug solubility. | |
| Ketorolac | (✓) | [31] | Chitosan-cellulose patch. | |
| Lidocaine | (✓) | [32] | Chitosan patch. This drug exists also as Lidocaine hydrochloride, which increases the drug solubility. | |
| Contraceptives, Hormoness | Estradiol | (✓) | [33] | Encapsulation to cyclodextrin increases estradiol solubility in water. This drug is combined within a patch also with Noretisterone or Progesterone. |
| Testosterone | (✓) | [34] | Encapsulation to cyclodextrin increases testosterone solubility in water. | |
| Parasympatholytics | Scopolamine | This drug exists also as Scopolamine hydrobromide. | ||
| Oxybutynin hydrochloride | ✓ | [35] | Multipolymeric composite patch. | |
| Psychostimulants | Rivastigmine | ✓ | [36] | Multipolymeric composite patch. |
| Methylphenidate hydrochloride | ✓ | [37] | Patch polymer matrix comprises styrene-isoprene-styrene or polyisobutylene polymers. | |
| Vasodilatant | Nitroglycerine | ✓ | [38] | Patch contains acrylic-based adhesives with a resinous cross-linking agent. |
| Varia | Clonidine | (✓) | [39] | Multipolymeric composite patch. |
| Nicotine | ✓ | [40] | Multipolymeric composite patch. |
| Group | Active/Medical Principle, Drug | Formal Charge | Water Solubility | References | Note |
|---|---|---|---|---|---|
| Mitochondrially targeted antioxidants | MitoQ | + | ✓ | [56] | Scavenger of O2●− anion radicals [57,58]. |
| SkQ a | + | ✓ | Scavenger of O2●− anion radicals [59]. | ||
| Antioxidants | Edaravone | ✓ | [60,61] | Efficient free-radical scavenging properties [14]. | |
| Glutathione | + | ✓ | [62,63] | Endogenous antioxidant, H atom and electron donor [21]. | |
| Phosphatidylcholine dihydroquercetin | + | (✓) | [64] | Electron donor. | |
| Resveratrol | (✓) | [65] | Endogenous antioxidant, H atom and electron donor. | ||
| Varia | - | [66,67,68,69,70,71,72] | Wound dressing preparations. | ||
| Captopril | ✓ | [73] | H atom donor. | ||
| Thiocolchicoside | ✓ | [74] | Muscle relaxant with antiinflammatory and analgesic effects. | ||
| Tiopronin | ✓ | [73] | H atom donor. |
Publisher’s Note: MDPI stays neutral with regard to jurisdictional claims in published maps and institutional affiliations. |
© 2021 by the authors. Licensee MDPI, Basel, Switzerland. This article is an open access article distributed under the terms and conditions of the Creative Commons Attribution (CC BY) license (https://creativecommons.org/licenses/by/4.0/).
Share and Cite
Valachová, K.; Šoltés, L. Self-Associating Polymers Chitosan and Hyaluronan for Constructing Composite Membranes as Skin-Wound Dressings Carrying Therapeutics. Molecules 2021, 26, 2535. https://doi.org/10.3390/molecules26092535
Valachová K, Šoltés L. Self-Associating Polymers Chitosan and Hyaluronan for Constructing Composite Membranes as Skin-Wound Dressings Carrying Therapeutics. Molecules. 2021; 26(9):2535. https://doi.org/10.3390/molecules26092535
Chicago/Turabian StyleValachová, Katarína, and Ladislav Šoltés. 2021. "Self-Associating Polymers Chitosan and Hyaluronan for Constructing Composite Membranes as Skin-Wound Dressings Carrying Therapeutics" Molecules 26, no. 9: 2535. https://doi.org/10.3390/molecules26092535
APA StyleValachová, K., & Šoltés, L. (2021). Self-Associating Polymers Chitosan and Hyaluronan for Constructing Composite Membranes as Skin-Wound Dressings Carrying Therapeutics. Molecules, 26(9), 2535. https://doi.org/10.3390/molecules26092535

