Validated Stability-Indicating GC-MS Method for Characterization of Forced Degradation Products of Trans-Caffeic Acid and Trans-Ferulic Acid
Abstract
1. Introduction
2. Results and Discussion
2.1. Method Validation
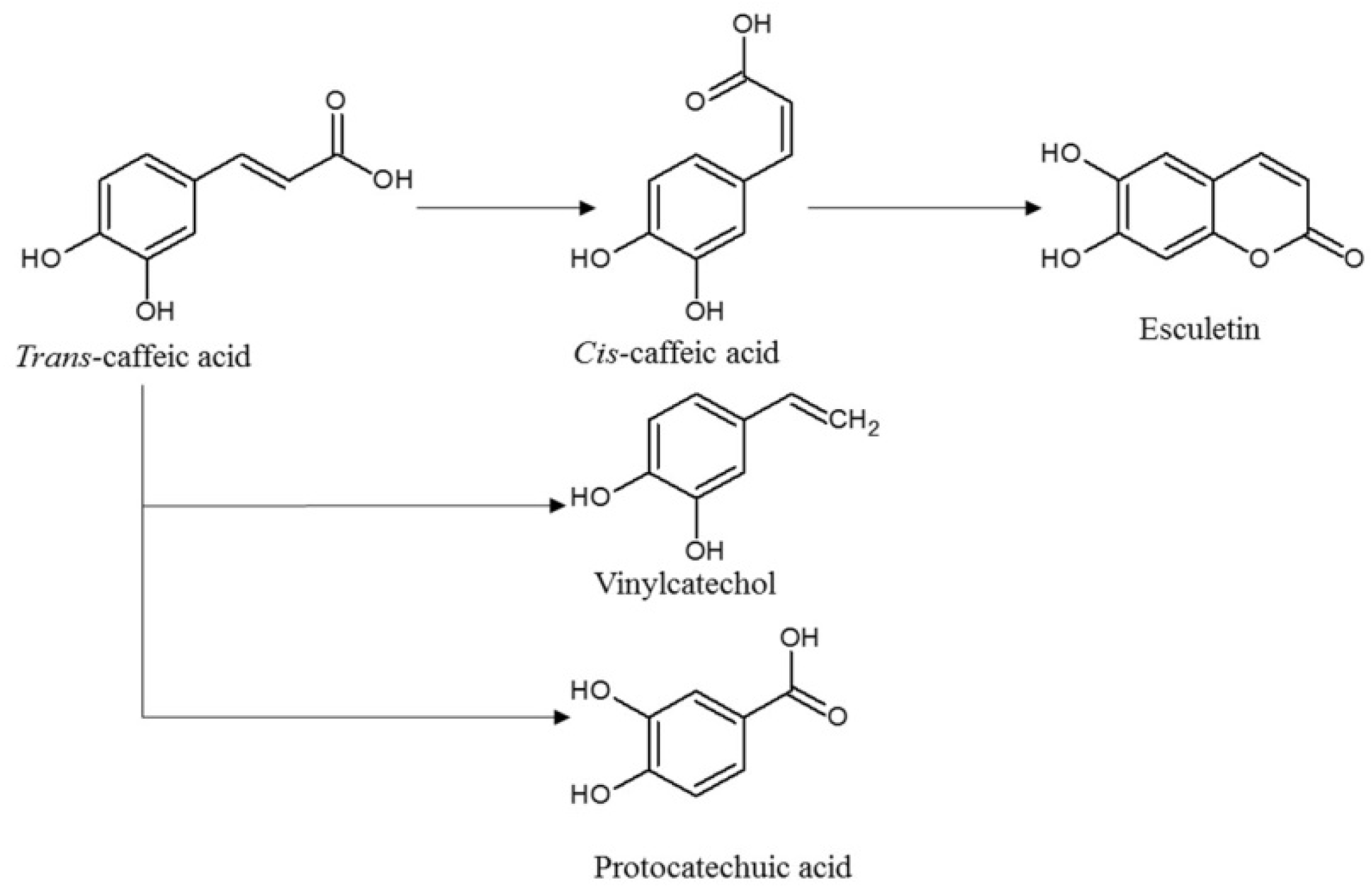
2.2. Stability of Trans-Caffeic Acid
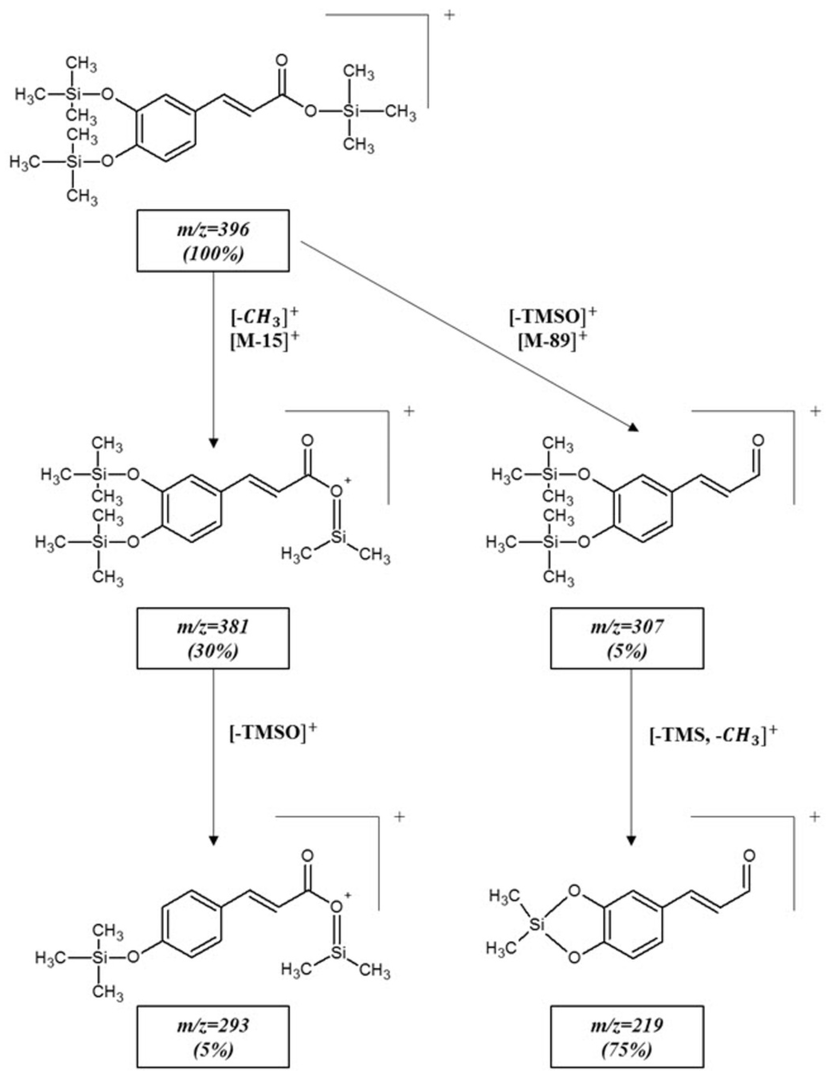
Analysis and Identification of Caffeic Acid Isomers
2.3. Stability of Trans-Ferulic Acid
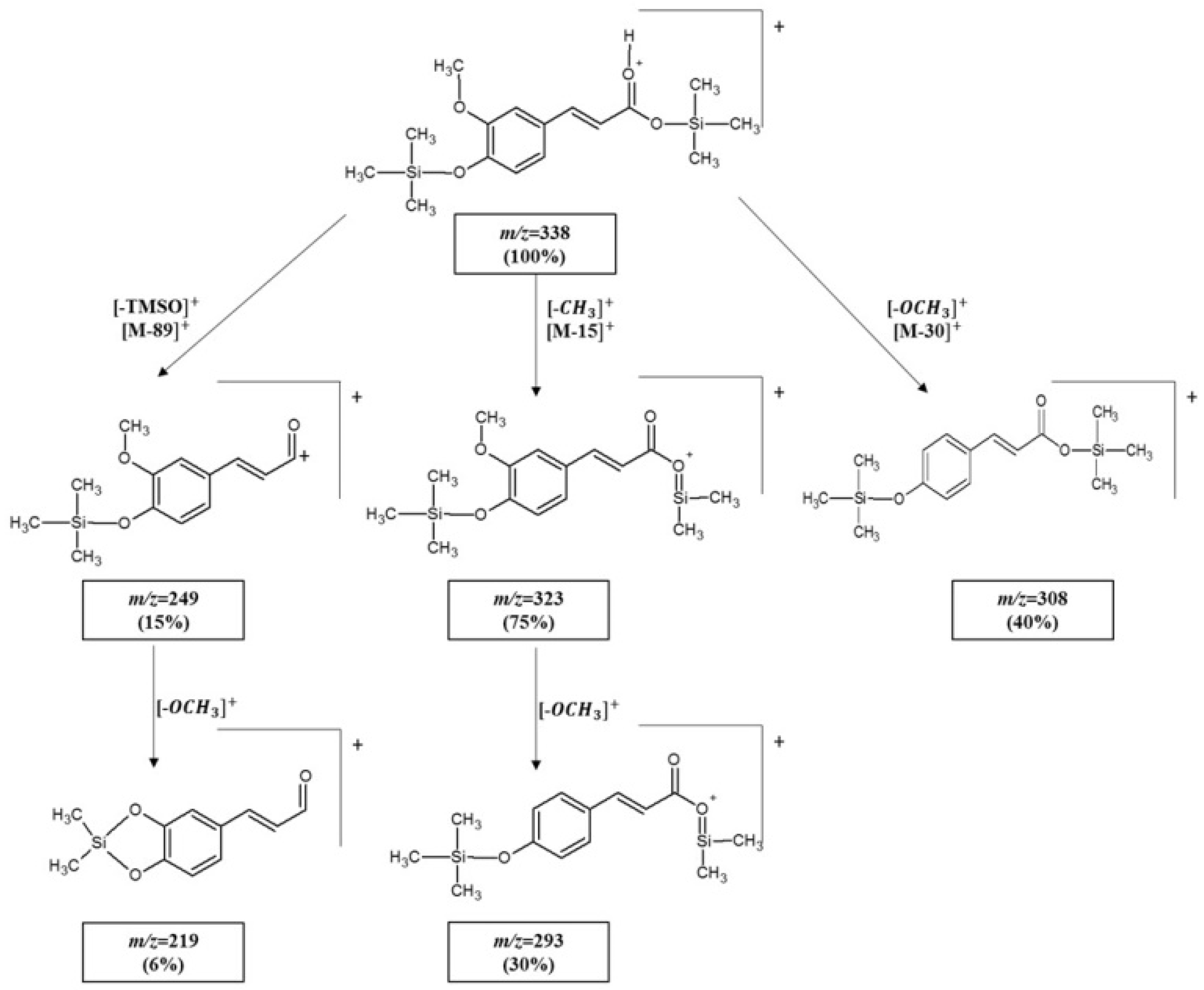
Analysis and Identification of Ferulic Acid Isomers
2.4. Stability of Trans-Caffeic Acid and Trans-Ferulic Acid under the Influence of UV Radiation
3. Materials and Methods
3.1. Chemicals
3.2. Preparation of Calibration Solutions and Calibration Curves
3.3. Instrumentation and GC-MS Conditions
3.4. Method Validation
3.5. Stability Tests of Trans-Caffeic Acid and Trans-Ferulic Acid
4. Conclusions
Supplementary Materials
Author Contributions
Funding
Institutional Review Board Statement
Informed Consent Statement
Data Availability Statement
Conflicts of Interest
References
- Razboršek, M.I.; Ivanović, M.; Krajnc, P.; Kolar, M. Choline Chloride Based Natural Deep Eutectic Solvents as Extraction Media for Extracting Phenolic Compounds from Chokeberry (Aronia Melanocarpa). Molecules 2020, 25, 1619. [Google Scholar] [CrossRef] [PubMed]
- Chhabra, N.; Aseri, M.L.; Padmanabhan, D. A review of drug isomerism and its significance. Int. J. Appl. Basic Med Res. 2013, 3, 16–18. [Google Scholar] [CrossRef]
- Grimes, S.M.; Mehta, L.K.; Ngwang, H.C. Photocatalytic degradation of trans-cinnamic,dihydrocinnamic, trans-caffeic, and dihydrocaffeic acids and characterization of the products. J. Environ. Sci. Health Part A 2001, 36, 599–612. [Google Scholar] [CrossRef] [PubMed]
- Hartley, R.D.; Jones, E.C. Effect of Ultraviolet Light on Suppstituted Cinnamic Acids and the Estimation of Their cis and Trans Isomers by Gas Chromatography. J. Chromatogr. 1975, 107, 213–218. [Google Scholar] [CrossRef]
- Kahnt, G. Trans-cis-equilibrium of hydroxycinnamic acids during irradiation of aqueous solutions at different pH. Phytochemistry 1967, 6, 755–758. [Google Scholar] [CrossRef]
- Le Person, A.; Lacoste, A.-S.; Cornard, J.-P. Photo-degradation of trans-caffeic acid in aqueous solution and influence of complexation by metal ions. J. Photochem. Photobiol. A Chem. 2013, 265, 10–19. [Google Scholar] [CrossRef]
- Oniszczuk, A. LC-ESI-MS/MS Analysis and Extraction Method of Phenolic Acids from Gluten-Free Precooked Buckwheat Pasta. Food Anal. Methods 2016, 9, 3063–3068. [Google Scholar] [CrossRef]
- Parrino, F.; Di Paola, A.; Loddo, V.; Pibiri, I.; Bellardita, M.; Palmisano, L. Photochemical and photocatalytic isomerization of trans-caffeic acid and cyclization of cis-caffeic acid to esculetin. Appl. Catal. B Environ. 2016, 182, 347–355. [Google Scholar] [CrossRef]
- Urbaniak, A.; Szelag, M.; Molski, M. Theoretical investigation of stereochemistry and solvent influence on antioxidant activity of ferulic acid. Comput. Theor. Chem. 2013, 1012, 33–40. [Google Scholar] [CrossRef]
- Venditti, F.; Cuomo, F.; Ceglie, A.; Avino, P.; Russo, M.V.; Lopez, F. Visible Light Caffeic Acid Degradation by Car-bon-Doped Titanium Dioxide. Langmuir 2014, 31, 3627–3634. [Google Scholar] [CrossRef]
- Wang, W.; Guo, J.; Zhang, J.; Peng, J.; Liu, T.; Xin, Z. Isolation, identification and antioxidant activity of bound phenolic compounds present in rice bran. Food Chem. 2015, 171, 40–49. [Google Scholar] [CrossRef] [PubMed]
- Rashmi, H.B.; Negi, P.S. Phenolic acids from vegetables: A review on processing stability and health benefits. Food Res. Int. 2020, 136, 109298. [Google Scholar] [CrossRef] [PubMed]
- Yilmaz, V.A.; Brandolini, A.; Hidalgo, A. Phenolic acids and antioxidant activity of wild, feral and domesticated diploid wheats. J. Cereal Sci. 2015, 64, 168–175. [Google Scholar] [CrossRef]
- Zhu, Y.; Li, T.; Fu, X.; Abbasi, A.M.; Zheng, B.; Liu, R.H. Phenolics content, antioxidant and antiproliferative activities of dehulled highland barley (Hordeum vulgare L.). J. Funct. Foods 2015, 19, 439–450. [Google Scholar] [CrossRef]
- Du, N.; Cao, S.; Yu, Y. Research on the adsorption property of supported ionic liquids for ferulic acid, caffeic acid and salicylic acid. J. Chromatogr. B 2011, 879, 1697–1703. [Google Scholar] [CrossRef]
- Li, S.; Huang, K.; Zhong, M.; Guo, J.; Wang, W.-Z.; Zhu, R. Comparative studies on the interaction of caffeic acid, chlorogenic acid and ferulic acid with bovine serum albumin. Spectrochim. Acta Part A Mol. Biomol. Spectrosc. 2010, 77, 680–686. [Google Scholar] [CrossRef]
- Kujumgiev, A.; Tsvetkova, I.; Serkedjieva, Y.; Bankova, V.; Christov, R.; Popov, S. Antibacterial, antifungal and antiviral activity of propolis of different geographic origin. J. Ethnopharmacol. 1999, 64, 235–240. [Google Scholar] [CrossRef]
- Janicsák, G.; Máthé, I.; Miklóssy-Vári, V.; Blunden, G. Comparative studies of the rosmarinic and caffeic acid contents of Lamiaceae species. Biochem. Syst. Ecol. 1999, 27, 733–738. [Google Scholar] [CrossRef]
- Yang, G.; Fu, Y.; Malakhova, M.; Kurinov, I.; Zhu, F.; Yao, K.; Li, H.; Chen, H.; Li, W.; Lim, D.Y.; et al. Caffeic acid directly targets ERK1/2 to attenuate solar UV-induced skin carcinogenesis. Cancer Prev. Res. 2014, 7, 1056–1066. [Google Scholar] [CrossRef] [PubMed]
- Kabała-Dzik, A.; Rzepecka-Stojko, A.; Kubina, R.; Jastrzębska-Stojko, Ż.; Stojko, R.; Wojtyczka, R.D.; Stojko, J. Comparison of Two Components of Propolis: Caffeic Acid (CA) and Caffeic Acid Phenethyl Ester (CAPE) Induce Apoptosis and Cell Cycle Arrest of Breast Cancer Cells MDA-MB-231. Molecules 2017, 22, 1554. [Google Scholar] [CrossRef]
- Aceituno-Medina, M.; Mendoza, S.; Rodríguez, B.A.; Lagaron, J.M.; López-Rubio, A. Improved antioxidant capacity of quercetin and ferulic acid during in-vitro digestion through encapsulation within food-grade electrospun fibers. J. Funct. Foods 2015, 12, 332–341. [Google Scholar] [CrossRef]
- Soobrattee, M.; Neergheen, V.; Luximon-Ramma, A.; Aruoma, O.; Bahorun, T. Phenolics as potential antioxidant therapeutic agents: Mechanism and actions. Mutat. Res. Mol. Mech. Mutagen. 2005, 579, 200–213. [Google Scholar] [CrossRef]
- Zhao, Z.; Moghadasian, M.H. Chemistry, natural sources, dietary intake and pharmacokinetic properties of ferulic acid: A review. Food Chem. 2008, 109, 691–702. [Google Scholar] [CrossRef]
- Pan, G.X.; Spencer, L.; Leary, G.J. Reactivity of ferulic acid and its derivatives toward hydrogen peroxide and peracetic acid. J. Agric. Food Chem. 1999, 47, 3325–3331. [Google Scholar] [CrossRef]
- Kalinke, C.; Zanicoski-Moscardi, A.P.; De Oliveira, P.R.; Mangrich, A.S.; Marcolino-Junior, L.H.; Bergamini, M.F. Simple and low-cost sensor based on activated biochar for the stripping voltammetric detection of caffeic acid. Microchem. J. 2020, 159, 105380. [Google Scholar] [CrossRef]
- Baytak, A.K.; Aslanoglu, M. A comparison study of adsorptive transfer voltammetry and solution phase voltammetry for the determination of caffeic acid. Arab. J. Chem. 2020, 13, 5539–5551. [Google Scholar] [CrossRef]
- Tian, W.; Chen, G.; Gui, Y.; Zhang, G.; Li, Y. Rapid quantification of total phenolics and ferulic acid in whole wheat using UV–Vis spectrophotometry. Food Control. 2021, 123, 107691. [Google Scholar] [CrossRef]
- Xie, Y.; Zhou, C.; Tu, C.; Zhang, Z.-L.; Wang, J.-F. Quantitative Determination of Ferulic Acid Content in Chrysanthemum Morifolium cv. (Chuju) Continuous Cropping Soil Using Near Infrared Spectroscopy. Chin. J. Anal. Chem. 2017, 45, 363–368. [Google Scholar] [CrossRef]
- Wang, J.P.; Li, N.B.; Luo, H.Q. Chemiluminescence determination of ferulic acid by flow-injection analysis using cerium (IV) sensitized by rhodamine 6G. Spectrochim. Acta Part A Mol. Biomol. Spectrosc. 2008, 71, 204–208. [Google Scholar] [CrossRef] [PubMed]
- Saini, S.; Sharma, T.; Patel, A.; Kaur, R.; Tripathi, S.K.; Katare, O.P.; Singh, B. QbD-steered development and validation of an RP-HPLC method for quantification of ferulic acid: Rational application of chemometric tools. J. Chromatogr. B 2020, 1155, 122300. [Google Scholar] [CrossRef] [PubMed]
- Shah, A.; Masoodi, F.; Gani, A.; Ashwar, B.A. Water extractable pentosans - Quantification of ferulic acid using RP-HPLC, techno-rheological and antioxidant properties. Int. J. Biol. Macromol. 2019, 133, 365–371. [Google Scholar] [CrossRef] [PubMed]
- Spagnol, C.M.; Isaac, V.L.B.; Corrêa, M.A.; Salgado, H.R.N. Validation of HPLC–UV Assay of Caffeic Acid in Emulsions. J. Chromatogr. Sci. 2015, 54, 305–311. [Google Scholar] [CrossRef]
- Gupta, M.K.; Anand, A.; Asati, A.; Thati, R.; Katragunta, K.; Agarwal, R.; Mudiam, M.K.R. Quantitative determination of phenolic antioxidants in fruit juices by GC-MS/MS using automated injector port silylation after QuEChERS extraction. Microchem. J. 2021, 160, 105705. [Google Scholar] [CrossRef]
- Ivanović, M.; Razboršek, M.I.; Kolar, M. Simultaneous GC-MS Determination of Free and Bound Phenolic Acids in Slovenian Red Wines and Chemometric Characterization. Acta Chim. Slov. 2016, 63, 661–669. [Google Scholar] [CrossRef] [PubMed]
- Istasse, T.; Jacquet, N.; Berchem, T.; Haubruge, E.; Nguyen, B.K.; Richel, A. Extraction of Honey Polyphenols: Method Development and Evidence of Cis Isomerization. Anal. Chem. Insights 2016, 11, 49–57. [Google Scholar] [CrossRef]
- Razbošek, M.I. Stability studies on trans-rosmarinic acid and GC: MS analysis of its degradation product. J. Pharm. Biomed. Anal. 2011, 55, 1010–1016. [Google Scholar] [CrossRef] [PubMed]
- Chasset, T.; Häbe, T.T.; Ristivojevic, P.; Morlock, G.E. Profiling and classification of French propolis by combined multi-variate data analysis of planar chromatograms and scanning direct analysis in real time mass spectra. J. Chromatogr. A 2016, 1465, 197–204. [Google Scholar] [CrossRef] [PubMed]
- Olegário, L.S.; Andrade, J.K.S.; Andrade, G.R.S.; Denadai, M.; Cavalcanti, R.L.; da Silva, M.A.A.P.; Narain, N. Chemical characterization of four Brazilian brown propolis: An insight in tracking of its geographical location of production and quality control. Food Res. Int. 2019, 123, 481–502. [Google Scholar] [CrossRef]
- Romero, M.; Freire, J.; Pastene, E.; García, A.; Aranda, M.; González, C.; Da Silva, C.C.F.; Salatino, A.; Da Motta, L.B.; Negri, G.; et al. Propolis polyphenolic compounds affect the viability and structure of Helicobacter pylori in vitro. Rev. Bras. de Farm. 2019, 29, 325–332. [Google Scholar] [CrossRef]
- Saftić, L.; Peršurić, Ž.; Fornal, E.; Pavlešić, T.; Pavelić, S.K. Targeted and untargeted LC-MS polyphenolic profiling and chemometric analysis of propolis from different regions of Croatia. J. Pharm. Biomed. Anal. 2019, 165, 162–172. [Google Scholar] [CrossRef]
- Horbury, M.D.; Baker, L.A.; Quan, W.-D.; Greenough, S.E.; Stavros, V.G. Photodynamics of potent antioxidants: Ferulic and caffeic acids. Phys. Chem. Chem. Phys. 2016, 18, 17691–17697. [Google Scholar] [CrossRef]
- Lara-Guzmán, O.J.; Álvarez-Quintero, R.; Osorio, E.; Naranjo-Cano, M.; Muñoz-Durango, K. GC/MS method to quantify bioavailable phenolic compounds and antioxidant capacity determination of plasma after acute coffee consumption in human volunteers. Food Res. Int. 2016, 89, 219–226. [Google Scholar] [CrossRef]
- Rashed, K.; Ćirić, A.; Glamočlija, J.; Soković, M. Antibacterial and antifungal activities of methanol extract and phenolic compounds from Diospyros virginiana L. Ind. Crop. Prod. 2014, 59, 210–215. [Google Scholar] [CrossRef]
- Phuong, N.N.M.; Le, T.T.; Dang, M.Q.; Van Camp, J.; Raes, K. Selection of extraction conditions of phenolic compounds from rambutan (Nephelium lappaceum L.) peel. Food Bioprod. Process. 2020, 122, 222–229. [Google Scholar] [CrossRef]
- Yáñez, E.; Santander, P.; Contreras, D.; Yañez, J.; Cornejo, L.; Mansilla, H.D. Homogeneous and heterogeneous degradation of caffeic acid using photocatalysis driven by UVA and solar light. J. Environ. Sci. Health Part A 2015, 51, 78–85. [Google Scholar] [CrossRef] [PubMed]
- Yeung, C.L.; Charlesworth, S.; Iqbal, P.; Bowen, J.; Preece, J.A.; Mendes, P.M. Different formation kinetics and photoisom-erization behavior of self-assembled monolayers of thiols and dithiolanes bearing azobenzene moieties. Phys. Chem. Chem. Phys. 2013, 15, 11014–11024. [Google Scholar] [CrossRef] [PubMed]
- Yin, Z.; Wong, W.; Ye, W.; Li, N. Biologically active cis-cinnamic acid occurs naturally in Brassica parachinensis. Chin. Sci. Bull. 2003, 48, 555–558. [Google Scholar] [CrossRef]
- Plessi, M.; Bertelli, D.; Miglietta, F. Extraction and identification by GC-MS of phenolic acids in traditional balsamic vinegar from Modena. J. Food Compos. Anal. 2006, 19, 49–54. [Google Scholar] [CrossRef]
- Molnár-Perl, I.; Horváth, K.; Bartha, R. GC-MS quantitation of benzoic and aralkyl carboxylic acids as their trimethylsilyl derivatives: In model solution I. Chromatographia 1998, 48, 101–110. [Google Scholar] [CrossRef]
- Athanasios, M.; Georgios, L.; Michael, K. A rapid microwave-assisted derivatization process for the determination of phenolic acids in brewer’s spent grains. Food Chem. 2007, 102, 606–611. [Google Scholar] [CrossRef]
- Proestos, C.; Sereli, D.; Komaitis, M. Food Chemistry Determination of phenolic compounds in aromatic plants by RP-HPLC and GC-MS. Food Chem. 2006, 95, 44–52. [Google Scholar] [CrossRef]
- Flores, N.; Sirés, I.; Garrido, J.A.; Centellas, F.; Rodríguez, R.M.; Cabot, P.L.; Brillas, E. Degradation of trans-ferulic acid in acidic aqueous medium by anodic oxidation, electro-Fenton and photoelectro-Fenton. J. Hazard. Mater. 2016, 319, 3–12. [Google Scholar] [CrossRef] [PubMed]
- Cornard, J.-P.; Lapouge, C. Absorption Spectra of Caffeic Acid, Caffeate and Their 1:1 Complex with Al(III): Density Functional Theory and Time-Dependent Density Functional Theory Investigations. J. Phys. Chem. A 2006, 110, 7159–7166. [Google Scholar] [CrossRef] [PubMed]
- Holser, R.A. Principal Component Analysis of Phenolic Acid Spectra. ISRN Spectrosc. 2012, 2012, 1–5. [Google Scholar] [CrossRef]



| Solvent | Storage Conditions (Day/Days) | RT | Freezing at −18 °C | ||||
|---|---|---|---|---|---|---|---|
| Darkness | Daylight | ||||||
| Trans (%) | Cis (%) | Trans (%) | Cis (%) | Trans (%) | Cis (%) | ||
| THF | 1 | 96.2 ± 4.2 | 3.8 ± 0.1 | 75.5 ± 2.1 | 24.5 ± 0.2 | 96.8 ± 2.4 | 3.2 ± 0.1 |
| 10 | 85.1 ± 3.8 | 14.9 ± 0.7 | 70.9 ± 0.5 | 29.1 ± 0.5 | 85.7 ± 5.3 | 14.3 ± 0.2 | |
| 20 | 90.8 ± 5.4 | 9.2 ± 0.6 | 69.5 ± 1.7 | 30.5 ± 0.5 | 92.5 ± 3.0 | 7.5 ± 0.1 | |
| 30 | 91.8 ± 5.6 | 8.2 ± 0.1 | 67.4 ± 1.4 | 32.6 ± 0.1 | 92.1 ± 0.7 | 7.9 ± 0.9 | |
| MeOH | 1 | 95.3 ± 3.7 | 4.7 ± 0.1 | 72.1 ± 1.5 | 27.8 ± 0.4 | 94.9 ± 2.1 | 5.1 ± 0.1 |
| 10 | 79.8 ± 2.2 | 20.2 ± 0.3 | 68.4 ± 1.4 | 31.6 ± 0.5 | 86.1 ± 2.6 | 13.9 ± 0.1 | |
| 20 | 82.5 ± 1.9 | 17.5 ± 0.2 | 65.7 ± 1.1 | 34.3 ± 0.5 | 86.4 ± 1.8 | 13.6 ± 0.7 | |
| 30 | 82.6 ± 2.0 | 17.5 ± 0.2 | 65.4 ± 2.0 | 34.6 ± 0.7 | 87.1 ± 1.2 | 12.9 ± 0.4 | |
| Solvent | Storage Conditions (Day/Days) | RT | Freezing at −18 °C | ||||
|---|---|---|---|---|---|---|---|
| Darkness | Daylight | ||||||
| Trans (%) | Cis (%) | Trans (%) | Cis (%) | Trans (%) | Cis (%) | ||
| THF | 1 | 92.8 ± 2.8 | 7.3 ± 0.1 | 74.6 ± 1.0 | 25.4 ± 0.2 | 94.8 ± 1.3 | 5.2 ± 0.2 |
| 10 | 79.3 ± 4.3 | 20.7 ± 0.5 | 66.7 ± 0.6 | 33.3 ± 0.6 | 78.9 ± 4.2 | 21.1 ± 0.4 | |
| 20 | 88.5 ± 5.8 | 11.5 ± 0.2 | 66.9 ± 2.1 | 33.1 ± 1.6 | 88.5 ± 3.4 | 11.5 ± 0.3 | |
| 30 | 80.3 ± 1.8 | 19.7 ± 0.4 | 63.4 ± 2.0 | 36.6 ± 0.6 | 80.7 ± 1.2 | 19.3 ± 0.9 | |
| MeOH | 1 | 94.7 ± 1.7 | 5.3 ± 0.4 | 57.5 ± 2.1 | 42.5 ± 1.1 | 89.3 ± 2.9 | 10.7 ± 0.3 |
| 10 | 79.5 ± 1.9 | 20.5 ± 0.3 | 60.4 ± 1.0 | 39.6 ± 0.3 | 78.4 ± 0.4 | 21.6 ± 0.4 | |
| 20 | 80.9 ± 2.0 | 19.1 ± 1.0 | 58.9 ± 0.7 | 41.1 ± 0.8 | 83.9 ± 4.5 | 16.1 ± 1.9 | |
| 30 | 73.6 ± 1.7 | 26.1 ± 2.0 | 57.9 ± 2.3 | 42.8 ± 0.9 | 79.2 ± 0.4 | 20.8 ± 0.2 | |
| Solvent | Wavelength (nm) | Exposure Time (h) | CA | FA | ||
|---|---|---|---|---|---|---|
| Trans (%) | Cis (%) | Trans (%) | Cis (%) | |||
| THF | 254 | 2 | 96.3 ± 1.2 | 3.9 ± 1.2 | 94.2 ± 2.1 | 6.5 ± 1.0 |
| 4 | 93.8 ± 0.2 | 6.3 ± 0.3 | 95.2 ± 1.2 | 4.4 ± 0.6 | ||
| 6 | 90.8 ± 1.0 | 9.2 ± 1.1 | 98.7 ± 1.3 | 1.3 ± 0.9 | ||
| 366 | 2 | 85.5 ± 1.7 | 14.5 ± 1.7 | 75.2 ± 0.7 | 24.8 ± 1.0 | |
| 4 | 82.3 ± 0.9 | 17.7 ± 1.0 | 74.1 ± 1.5 | 25.9 ± 0.8 | ||
| 6 | 87.4 ± 1.6 | 12.6 ± 1.5 | 71.3 ± 2.3 | 28.7 ± 2.1 | ||
| MeOH | 254 | 2 | 94.9 ± 3.1 | 5.1 ± 3.0 | 90.6 ± 1.2 | 9.3 ± 1.1 |
| 4 | 87.5 ± 0.4 | 12.5 ± 0.6 | 86.8 ± 1.0 | 13.2 ± 0.8 | ||
| 6 | 74.7 ± 0.5 | 25.3 ± 0.4 | 73.0 ± 0.7 | 27.0 ± 0.5 | ||
| 366 | 2 | 79.6 ± 1.1 | 20.3 ± 1.0 | 74.1 ± 2.4 | 25.9 ± 1.6 | |
| 4 | 73.2 ± 2.7 | 26.8 ± 1.6 | 69.4 ± 3.8 | 30.6 ± 3.2 | ||
| 6 | 68.9 ± 0.8 | 31.1 ± 0.7 | 66.4 ± 1.3 | 33.6 ± 1.6 | ||
Publisher’s Note: MDPI stays neutral with regard to jurisdictional claims in published maps and institutional affiliations. |
© 2021 by the authors. Licensee MDPI, Basel, Switzerland. This article is an open access article distributed under the terms and conditions of the Creative Commons Attribution (CC BY) license (https://creativecommons.org/licenses/by/4.0/).
Share and Cite
Razboršek, M.I.; Ivanović, M.; Kolar, M. Validated Stability-Indicating GC-MS Method for Characterization of Forced Degradation Products of Trans-Caffeic Acid and Trans-Ferulic Acid. Molecules 2021, 26, 2475. https://doi.org/10.3390/molecules26092475
Razboršek MI, Ivanović M, Kolar M. Validated Stability-Indicating GC-MS Method for Characterization of Forced Degradation Products of Trans-Caffeic Acid and Trans-Ferulic Acid. Molecules. 2021; 26(9):2475. https://doi.org/10.3390/molecules26092475
Chicago/Turabian StyleRazboršek, Maša Islamčević, Milena Ivanović, and Mitja Kolar. 2021. "Validated Stability-Indicating GC-MS Method for Characterization of Forced Degradation Products of Trans-Caffeic Acid and Trans-Ferulic Acid" Molecules 26, no. 9: 2475. https://doi.org/10.3390/molecules26092475
APA StyleRazboršek, M. I., Ivanović, M., & Kolar, M. (2021). Validated Stability-Indicating GC-MS Method for Characterization of Forced Degradation Products of Trans-Caffeic Acid and Trans-Ferulic Acid. Molecules, 26(9), 2475. https://doi.org/10.3390/molecules26092475

