Study of Beryllium, Magnesium, and Spodium Bonds to Carbenes and Carbodiphosphoranes
Abstract
1. Introduction
2. Results and Discussion
2.1. Investigated Systems
2.1.1. Monomers
- MeX
- Carbenes and CDPs
2.1.2. Dimers
- Carbene dimers
- CDPs dimers
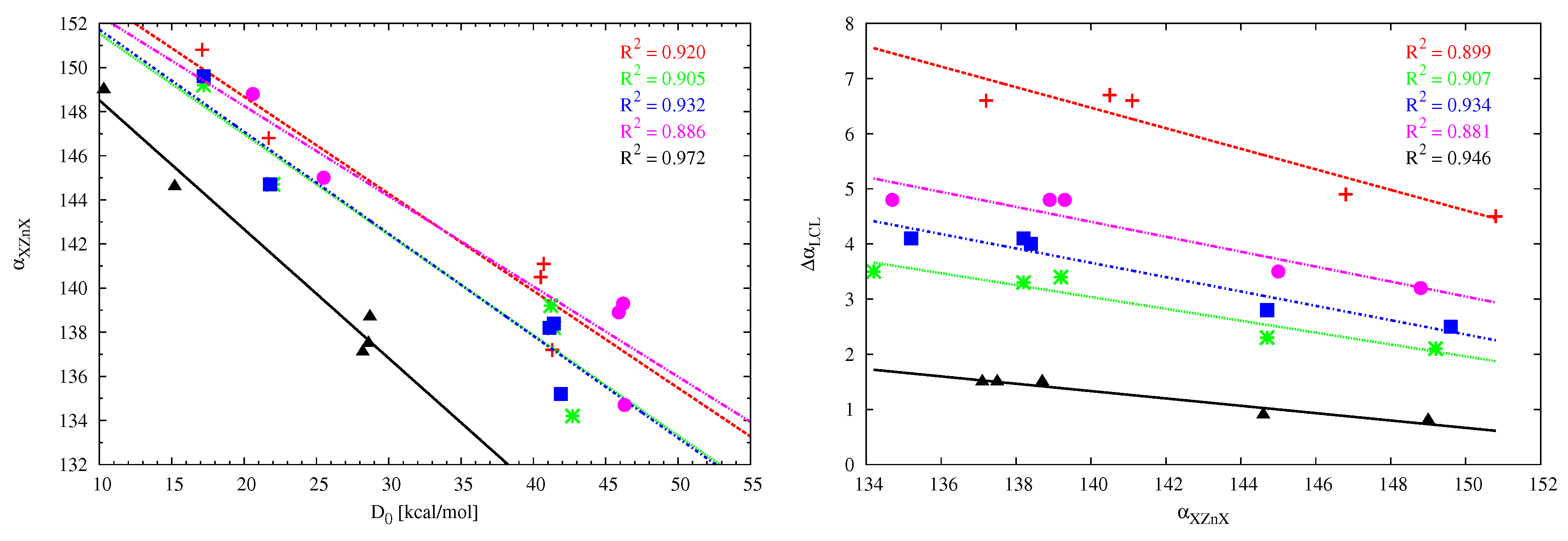
2.2. Other Accompanying Interactions
2.3. QTAIM- and NCI-Based Characteristics
2.3.1. QTAIM
2.3.2. NCI
3. Theoretical Methods
4. Conclusions
Funding
Conflicts of Interest
Sample Availability
Abbreviations
| CDPs | Carbodiphosphoranes |
| MESP | Molecular electrostatic potential |
| NBO | Natural Bond Orbital |
| QTAIM | Quantum Theory of Atoms in Molecules |
| NCI | Noncovalent Interactions (method) |
References
- Alkorta, I.; Elguero, J.; Frontera, A. Not Only Hydrogen Bonds: Other Noncovalent Interactions. Crystals 2020, 10, 180. [Google Scholar] [CrossRef]
- Pauling, L. The Nature of the Chemical Bond; Cornell University Press: New York, NY, USA, 1960. [Google Scholar]
- Pimentel, G.C.; McClellan, A.L. The Hydrogen Bond; W.H. Freeman & Co.: San Francisco, CA, USA, 1960. [Google Scholar]
- Hamilton, W.C.; Ibers, J.A. Hydrogen Bonding in Solids; W. A. Benjamin: New York, NY, USA, 1968. [Google Scholar]
- Vinogradov, S.N.; Linnell, R.H. Hydrogen Bonding; Van Nostrand-Reinhold: Princeton, NJ, USA, 1971. [Google Scholar]
- Schuster, P.; Zundel, G.; Sandorfy, C. (Eds.) The Hydrogen Bond. Recent Developments in Theory and Experiments; North Holland: Amsterdam, The Netherlands, 1976; Volume I–III. [Google Scholar]
- Schuster, P. Intermolecular Interactions: From Diatomics to Biopolymers; Pullman, B., Ed.; J. Wiley: New York, NY, USA, 1978. [Google Scholar]
- Jeffrey, G.A.; Saenger, W. Hydrogen Bonding in Biological Structures; Springer: Berlin, Germany, 1991. [Google Scholar]
- Hadži, D. (Ed.) Theoretical Treatments of Hydrogen Bonding; J. Wiley: Chichester, UK, 1997. [Google Scholar]
- Jeffrey, G.A. An Introduction to Hydrogen Bonding; Oxford University Press: New York, NY, USA, 1997. [Google Scholar]
- Scheiner, S. (Ed.) Molecular Interactions. From van der Waals to Strongly Bound Complexes; Wiley: Chichester, UK, 1997. [Google Scholar]
- Scheiner, S. Hydrogen Bonding: A Theoretical Perspective; Oxford University Press: New York, NY, USA, 1997. [Google Scholar]
- Desiraju, G.R.; Steiner, T. The Weak Hydrogen Bond in Structural Chemistry and Biology; Oxford University Press: New York, NY, USA, 1999. [Google Scholar]
- Grabowski, S.J. (Ed.) Hydrogen Bonding—New Insights; Springer: Dordrecht, The Netherlands, 2006. [Google Scholar]
- Maréchal, Y. The Hydrogen Bond and the Water Molecule; Elsevier: Amsterdam, The Netherlands, 2007. [Google Scholar]
- Gilli, G.; Gilli, P. The Nature of the Hydrogen Bond. Outline of a Comprehensive Hydrogen Bond Theory; Oxford University Press: Oxford, UK, 2009. [Google Scholar]
- Kollman, P.A.; Liebman, J.F.; Allen, L.C. The lithium bond. J. Am. Chem. Soc. 1970, 92, 1142–1150. [Google Scholar] [CrossRef]
- Del Bene, J.E.; Alkorta, I.; Elguero, J. Characterizing Complexes with F-Li⋯N, H-Li⋯N, and CH3Li⋯N Lithium Bonds: Structures, Binding Energies, and Spin–Spin Coupling Constants. J. Phys. Chem. A 2009, 113, 10327–10334. [Google Scholar] [CrossRef]
- Li, Q.; Hu, T.; An, X.; Li, W.; Cheng, J.; Gong, B.; Sun, J. Theoretical Study of the Interplay between Lithium Bond and Hydrogen Bond in Complexes Involved with HLi and HCN. ChemPhysChem 2009, 10, 3310–3315. [Google Scholar] [CrossRef]
- Ford, T.A. An Ab Initio Study Prop. Some Lithium-Bond. Complexes - Comp. Their Hydrog.-Bond. Analogues. J. Mol. Struct. 2013, 1044, 46–54. [Google Scholar] [CrossRef]
- Esrafili, M.D.; Mohammadirad, N. Halogen bond interactions enhanced by sodium bonds—Theoretical evidence for cooperative and substitution effects in NCX⋯NCNa⋯NCY complexes (X = F, Cl, Br, I; Y = H, F, OH). Can. J. Chem. 2014, 92, 653–658. [Google Scholar] [CrossRef]
- Solimannejad, M.; Rabbani, M.; Ahmadi, A.; Esrafili, M.D. Cooperative and diminutive interplay between the sodium bonding with hydrogen and dihydrogen bondings in ternary complexes of NaC3N with HMgH and HCN (HNC). Mol. Phys. 2014, 112, 2017–2022. [Google Scholar] [CrossRef]
- Yáñez, M.; Sanz, P.; Mó, O.; Alkorta, I.; Elguero, J. Beryllium Bonds, Do They Exists? J. Chem. Theory Comput. 2009, 5, 2763–2771. [Google Scholar] [CrossRef]
- Martín-Sómer, A.; Lamsabhi, A.M.; Mó, O.; Yáñez, M. The importance of deformation on the strength of beryllium bonds. Comput. Theor. Chem. 2012, 998, 74–79. [Google Scholar] [CrossRef]
- Eskandari, K. Characteristics of beryllium bonds: A QTAIM study. J. Mol. Model 2012, 18, 3481–3487. [Google Scholar] [CrossRef]
- Villanueva, E.F.; Mó, O.; Manuel Yáñez, M. On the existence and characteristics of π-beryllium bonds. Phys. Chem. Chem. Phys. 2014, 16, 17531–17536. [Google Scholar] [CrossRef]
- Eskandari, K. Nature of beryllium bonds in view of interacting quantum atoms and natural energy decomposition analysis. Comput. Theor. Chem. 2016, 1090, 74–79. [Google Scholar] [CrossRef]
- Montero-Campillo, M.M.; Mó, O.; Yáñez, M.; Alkorta, I.; Elguero, J. The beryllium bond. Adv. Inorg. Chem. 2019, 73, 73–121. [Google Scholar]
- Alkorta, I.; Legon, A.C. Non-Covalent Interactions Involving Alkaline-Earth Atoms and Lewis Bases B: An ab Initio Investigation of Beryllium and Magnesium Bonds, B⋯MR2 (M = Be or Mg, and R = H, F or CH3). Inorganics 2019, 7, 35. [Google Scholar] [CrossRef]
- Jabłoński, M. On the Uselessness of Bond Paths Linking Distant Atoms and on the Violation of the Concept of Privileged Exchange Channels. ChemistryOpen 2019, 8, 497–507. [Google Scholar] [CrossRef]
- Yang, X.; Li, Q.; Cheng, J.; Li, W. A new interaction mechanism of LiNH2 with MgH2: Magnesium bond. J. Mol. Model. 2013, 19, 247–253. [Google Scholar] [CrossRef]
- Xu, H.L.; Li, Q.Z.; Scheiner, S. Effect of magnesium bond on the competition between hydrogen and halogen bonds and the induction of proton and halogen transfer. ChemPhysChem 2018, 19, 1456–1464. [Google Scholar] [CrossRef]
- Sanz, P.; Montero-Campillo, M.M.; Mó, O.; Yáñez, M.; Alkorta, I.; Elguero, J. Intramolecular magnesium bonds in malonaldehyde-like systems: A critical view of the resonance-assisted phenomena. Theor. Chem. Acc. 2018, 137, 97. [Google Scholar] [CrossRef]
- Montero-Campillo, M.M.; Sanz, P.; Mó, O.; Yáñez, M.; Alkorta, I.; Elguero, J. Alkaline-earth (Be, Mg and Ca) bonds at the origin of huge acidity enhancements. Phys. Chem. Chem. Phys. 2018, 20, 2413–2420. [Google Scholar] [CrossRef]
- Jonas, V.; Frenking, G.; Reetz, M.T. Comparative Theoretical Study of Lewis Acid–Base Complexes of BH3, BF3, BCl3, AlCl3, and SO2. J. Am. Chem. Soc. 1994, 116, 8141–8753. [Google Scholar] [CrossRef]
- Fau, S.; Frenking, G. Theoretical investigation of the weakly bonded donor–acceptor complexes X3B–H2, X3B–C2H4, and X3B–C2H2 (X = H, F, Cl). Mol. Phys. 1999, 96, 519–527. [Google Scholar]
- Czerw, M.; Goldman, A.S.; Krogh-Jespersen, K. Addition of Ammonia to AlH3 and BH3. Why Does Only Aluminum Form 2:1 Adducts? Inorg. Chem. 2000, 39, 363–369. [Google Scholar] [CrossRef]
- Jabłoński, M. Binding of X–H to the lone-pair vacancy: Charge-inverted hydrogen bond. Chem. Phys. Lett. 2009, 477, 374–376. [Google Scholar] [CrossRef]
- Grabowski, S.J. Boron and other Triel Lewis Acid Centers: From Hypovalency to Hypervalency. ChemPhysChem 2014, 15, 2985–2993. [Google Scholar] [CrossRef]
- Grabowski, S.J. π-Hole Bonds: Boron and Aluminum Lewis Acid Centers. ChemPhysChem 2015, 16, 1470–1479. [Google Scholar] [CrossRef] [PubMed]
- Grabowski, S.J. Triel Bonds, π-Hole-π-Electrons Interactions in Complexes of Boron and Aluminium Trihalides and Trihydrides with Acetylene and Ethylene. Molecules 2015, 20, 11297–11316. [Google Scholar] [CrossRef] [PubMed]
- Grabowski, S.J. Triel bonds-complexes of boron and aluminum trihalides and trihydrides with benzene. Struct. Chem. 2017, 28, 1163–1171. [Google Scholar] [CrossRef]
- Yourdkhani, S.; Jabłoński, M. Revealing the Physical Nature and the Strength of Charge-Inverted Hydrogen Bonds by SAPT(DFT), MP2, SCS-MP2, MP2C, and CCSD(T) Methods. J. Comput. Chem. 2017, 38, 773–780. [Google Scholar] [CrossRef] [PubMed]
- Jabłoński, M. Hydride-Triel Bonds. J. Comput. Chem. 2018, 39, 1177–1191. [Google Scholar] [CrossRef]
- Jabłoński, M. Ten years of charge-inverted hydrogen bonds. Struct. Chem. 2020, 31, 61–80. [Google Scholar] [CrossRef]
- Grabowski, S.J. The Nature of Triel Bonds, a Case of B and Al Centres Bonded with Electron Rich Sites. Molecules 2020, 25, 2703. [Google Scholar] [CrossRef]
- Bauzá, A.; Mooibroek, T.J.; Frontera, A. Tetrel-Bonding Interaction: Rediscovered Supramolecular Force? Angew. Chem. Int. Ed. 2013, 52, 12317–12321. [Google Scholar] [CrossRef] [PubMed]
- Grabowski, S.J. Tetrel bond–σ-hole bond as a preliminary stage of the SN2 reaction. Phys. Chem. Chem. Phys. 2014, 16, 1824–1834. [Google Scholar] [CrossRef]
- Servati Gargari, M.; Stilinović, V.; Bauzá, A.; Frontera, A.; McArdle, P.; van Derveer, D.; Ng, S.W.; Mahmoudi, G. Design of Lead(II) Metal-Organic Frameworks Based on Covalent and Tetrel Bonding. Chem. Eur. J. 2015, 21, 17951–17958. [Google Scholar] [CrossRef] [PubMed]
- Yourdkhani, S.; Korona, T.; Hadipour, N.L. Interplay between Tetrel and Triel Bonds in RC6H4CN⋯MF3CN⋯BX3 Complexes: A Combined Symmetry-Adapted Perturbation Theory, Møller-Plesset, and Quantum Theory of Atoms-in-Molecules Study. J. Comput. Chem. 2015, 36, 2412–2428. [Google Scholar] [CrossRef]
- Bauzá, A.; Mooibroek, T.J.; Frontera, A. Tetrel Bonding Interactions. Chem. Rec. 2016, 16, 473–487. [Google Scholar] [CrossRef]
- Scheiner, S. Systematic Elucidation of Factors That Influence the Strength of Tetrel Bonds. J. Phys. Chem. A 2017, 121, 5561–5568. [Google Scholar] [CrossRef]
- Grabowski, S.J. Tetrel bonds, penta- and hexa-coordinated tin and lead centres. Appl. Organomet. Chem. 2017, 31, e3727. [Google Scholar] [CrossRef]
- Wei, Y.; Li, Q.; Yang, X.; McDowell, S.A.C. Intramolecular Si⋯O Tetrel Bonding: Tuning of Substituents and Cooperativity. ChemistrySelect 2017, 2, 11104–11112. [Google Scholar] [CrossRef]
- Grabowski, S.J. Pnicogen and tetrel bonds–tetrahedral Lewis acid centres. Struct. Chem. 2019, 30, 1141–1151. [Google Scholar] [CrossRef]
- Zahn, S.; Frank, R.; Hey-Hawkins, E.; Kirchner, B. Pnicogen Bonds: A New Molecular Linker? Chem. Eur. J. 2011, 17, 6034–6038. [Google Scholar] [CrossRef]
- Scheiner, S. A new noncovalent force: Comparison of P⋯N interaction with hydrogen and halogen bonds. J. Chem. Phys. 2011, 134, 094315. [Google Scholar] [CrossRef]
- Del Bene, J.E.; Alkorta, I.; Sánchez-Sanz, G.; Elguero, J. 31P–31P spin–spin coupling constants for pnicogen homodimers. Chem. Phys. Lett. 2011, 512, 184–187. [Google Scholar] [CrossRef]
- Scheiner, S. The Pnicogen Bond: Its Relation to Hydrogen, Halogen, and Other Noncovalent Bonds. Acc. Chem. Res. 2013, 46, 280–288. [Google Scholar] [CrossRef]
- Del Bene, J.E.; Alkorta, I.; Elguero, J. Properties of Complexes H2C=(X)P:PXH2, for X = F, Cl, OH, CN, NC, CCH, H, CH3, and BH2: P⋯P Pnicogen Bonding at σ-Holes and π-Holes. J. Phys. Chem. A 2013, 117, 11592–11604. [Google Scholar] [CrossRef]
- Del Bene, J.E.; Alkorta, I.; Elguero, J. The Pnicogen Bond in Review: Structures, Binding Energies, Bonding Properties, and Spin-Spin Coupling Constants of Complexes Stabilized by Pnicogen Bonds. In Noncovalent Forces. Challenges and Advances in Computational Chemistry and Physics; Scheiner, S., Ed.; Springer: Basel, Switzerland, 2015; Volume 19, pp. 191–264. [Google Scholar]
- Sarkar, S.; Pavan, M.S.; Row, T.N.G. Experimental validation of ‘Pnicogen Bonding’ in Nitrogen from charge density analysis. Phys. Chem. Chem. Phys. 2015, 17, 2330–2334. [Google Scholar] [CrossRef]
- Zierkiewicz, W.; Michalczyk, M.; Wysokiński, R.; Scheiner, S. On the ability of pnicogen atoms to engage in both σ and π-hole complexes. Heterodimers of ZF2C6H5 (Z = P, As, Sb, Bi) and NH3. J. Mol. Model. 2019, 25, 152. [Google Scholar] [CrossRef]
- Sanz, P.; Yáñez, M.; Mó, O. Competition between X⋯H⋯Y Intramolecular Hydrogen Bonds and X⋯Y (X = O, S, and Y = Se, Te) Chalcogen-Chalcogen Interactions. J. Phys. Chem. A 2002, 106, 4661–4668. [Google Scholar] [CrossRef]
- Bleiholder, C.; Werz, D.B.; Köppel, H.; Gleiter, R. Theoretical Investigations on Chalcogen-Chalcogen Interactions: What Makes These Nonbonded Interactions Bonding? J. Am. Chem. Soc. 2006, 128, 2666–2674. [Google Scholar] [CrossRef]
- Wang, W.; Ji, B.; Zhang, Y. Chalcogen Bond: A Sister Noncovalent Bond to Halogen Bond. J. Phys. Chem. A 2009, 113, 8132–8135. [Google Scholar] [CrossRef]
- Mahmudov, K.T.; Kopylovich, M.N.; Guedes da Silva, M.F.C.; Pombeiro, A.J.L. Chalcogen bonding in synthesis, catalysis and design of materials. Dalton Trans. 2016, 46, 10121–10138. [Google Scholar] [CrossRef]
- Gleiter, R.; Haberhauer, G.; Werz, D.B.; Rominger, F.; Bleiholder, C. From Noncovalent Chalcogen-Chalcogen Interactions to Supramolecular Aggregates: Experiments and Calculations. Chem. Rev. 2018, 118, 2010–2041. [Google Scholar] [CrossRef] [PubMed]
- Vogel, L.; Wonner, P.; Huber, S.M. Chalcogen Bonding: An Overview. Angew. Chem. Int. Ed. 2019, 58, 1880–1891. [Google Scholar] [CrossRef] [PubMed]
- Scilabra, P.; Terraneo, G.; Resnati, G. The Chalcogen Bond in Crystalline Solids: A World Parallel to Halogen Bond. Acc. Chem. Res. 2019, 52, 1313–1324. [Google Scholar] [CrossRef] [PubMed]
- Fellowes, T.; Harris, B.L.; White, J.M. Experimental evidence of chalcogen bonding at oxygen. Chem.Commun. 2020, 56, 3313–3316. [Google Scholar] [CrossRef]
- Ibrahim, M.A.A.; Telb, E.M.Z. σ-Hole and Lone-Pair Hole Interactions in Chalcogen-Containing Complexes: A Comparative Study. ACS Omega 2020, 5, 21631–21640. [Google Scholar] [CrossRef]
- Metrangolo, P.; Resnati, G. Halogen Bonding: Fundamentals and Applications. In Structure and Bonding; Mingos, D.M.P., Ed.; Springer: Berlin/Heidelberg, Germany, 2008; Volume 126. [Google Scholar]
- Metrangolo, P.; Resnati, G. Halogen Bonding: A Paradigm in Supramolecular Chemistry. Chem. Eur. J. 2001, 7, 2511–2519. [Google Scholar] [CrossRef]
- Voth, A.R.; Khuu, P.; Oishi, K.; Ho, P.S. Halogen bonds as orthogonal molecular interactions to hydrogen bonds. Nat. Chem. 2009, 1, 74–79. [Google Scholar] [CrossRef]
- Fourmigué, M. Halogen bonding: Recent advances. Curr. Opin. Solid State Mater. Sci. 2009, 13, 36–45. [Google Scholar] [CrossRef]
- Wang, H.; Wang, W.; Jin, W.J. σ-Hole Bond vs. π-Hole Bond: A Comparison Based on Halogen Bond. Chem. Rev. 2016, 116, 5072–5104. [Google Scholar]
- Varadwaj, P.R.; Varadwaj, A.; Marques, H.M. Halogen Bonding: A Halogen-Centered Noncovalent Interaction Yet to Be Understood. Inorganics 2019, 7, 40. [Google Scholar] [CrossRef]
- Bauzá, A.; Frontera, A. Aerogen Bonding Interactions: A New Supramolecular Force? Angew. Chem. Int. Ed. 2015, 54, 7340–7343. [Google Scholar] [CrossRef] [PubMed]
- Makarewicz, E.; Lundell, J.; Gordon, A.J.; Berski, S. On the nature of interactions in the F2OXe⋯NCCH3 complex: Is there the Xe(IV)–N bond? J. Comput. Chem. 2016, 37, 1876–1886. [Google Scholar] [CrossRef]
- Bauzá, A.; Frontera, A. σ/π-Hole noble gas bonding interactions: Insights from theory and experiment. Coord. Chem. Rev. 2020, 404, 213112. [Google Scholar] [CrossRef]
- Sánchez-Sanz, G.; Alkorta, I.; Elguero, J.; Yáñez, M.; Mó, O. Strong interactions between copper halides and unsaturated systems: New metallocycles? Or the importance of deformation. Phys. Chem. Chem. Phys. 2012, 14, 11468–11477. [Google Scholar] [CrossRef] [PubMed]
- Forfar, L.C.; Zeng, D.; Green, M.; McGrady, J.E.; Russell, C.A. Probing the Structure, Dynamics, and Bonding of Coinage Metal Complexes of White Phosphorus. Chem. Eur. J. 2016, 22, 5397–5403. [Google Scholar] [CrossRef] [PubMed]
- Radenković, S.; Antić, M.; Savić, N.D.; Glišić, B.D. The nature of the Au–N bond in gold(III) complexes with aromatic nitrogen-containing heterocycles: The influence of Au(III) ions on the ligand aromaticity. New J. Chem. 2017, 41, 12407–12415. [Google Scholar] [CrossRef]
- Legon, A.C.; Walker, N.R. What’s in a name? ‘Coinage-metal’ non-covalent bonds and their definition. Phys. Chem. Chem. Phys. 2018, 20, 19332–19338. [Google Scholar] [CrossRef]
- Frontera, A.; Bauzá, A. Regium-π bonds: An Unexplored Link between Noble Metal Nanoparticles and Aromatic Surfaces. Chem. Eur. J. 2018, 24, 7228–7234. [Google Scholar] [CrossRef] [PubMed]
- Bauzá, A.; Frontera, A. Regium–π Vs. Cation- Interact. M2 MCl (M = Cu, Ag Au) Complexes Small Aromat. Syst. Ab Initio Study. Inorganics 2018, 6, 64. [Google Scholar] [CrossRef]
- Wang, R.; Yang, S.; Li, Q. Coinage-Metal Bond between [1.1.1]Propellane and M2/MCl/MCH3 (M = Cu, Ag, and Au): Cooperativity and Substituents. Molecule 2019, 24, 2601. [Google Scholar] [CrossRef]
- Sánchez-Sanz, G.; Trujillo, C.; Alkorta, I.; Elguero, J. Understanding Regium Bonds and their Competition with Hydrogen Bonds in Au2:HX Complexes. ChemPhysChem 2019, 20, 1572–1580. [Google Scholar] [CrossRef]
- Terrón, A.; Buils, J.; Mooibroek, T.J.; Barceló-Oliver, M.; García-Raso, A.; Fiol, J.J.; Frontera, A. Synthesis, X-ray characterization and regium bonding interactions of a trichlorido-(1-hexylcytosine)gold(III) complex. Chem. Commun. 2020, 56, 3524–3527. [Google Scholar] [CrossRef]
- Lupinetti, A.J.; Jonas, V.; Thiel, W.; Strauss, S.H.; Frenking, G. Trends in Molecular Geometries and Bond Strengths of the Homoleptic d10 Metal Carbonyl Cations [M(CO)n]x+ (Mx+ = Cu+, Ag+, Au+, Zn2+, Cd2+, Hg2+; n = 1 – 6): A Theoretical Study. Chem. Eur. J. 1999, 5, 2573–2583. [Google Scholar] [CrossRef]
- Joy, J.; Jemmis, E.D. Contrasting Behavior of the Z Bonds in X–Z⋯Y Weak Interactions: Z = Main Group Elements Versus the Transition Metals. Inorg. Chem. 2017, 56, 1132–1143. [Google Scholar] [CrossRef]
- Wang, S.R.; Arrowsmith, M.; Braunschweig, H.; Dewhurst, R.D.; Dömling, M.; Mattock, J.D.; Pranckevicius, C.; Vargas, A. Monomeric 16-Electron π-Diborene Complexes of Zn(II) and Cd(II). J. Am. Chem. Soc. 2017, 139, 10661–10664. [Google Scholar] [CrossRef] [PubMed]
- Kirmse, W. Carbene Chemistry; Academic Press: Cambridge, MA, USA, 1964. [Google Scholar]
- Hubert, A.J. Catalysis in C1 Chemistry; Springer: Dordrecht, The Netherlands, 1983. [Google Scholar]
- Schubert, U. Advances in Metal Carbene Chemistry; Springer: Dordrecht, The Netherlands, 1989. [Google Scholar]
- Bertrande, G. Carbene Chemistry: From Fleeting Intermediates to Powerful Reagents; FontisMedia S.A. (Lausanne) and Marcel Dekker, Inc.: Basel, Switzerland, 2002. [Google Scholar]
- Moss, R.A.; Platz, M.S.; Jones, M., Jr. (Eds.) Reactive Intermediate Chemistry; John Wiley & Sons, Inc.: Hoboken, NJ, USA, 2005. [Google Scholar]
- Nolan, S.P. N-Heterocyclic Carbenes in Synthesis; Wiley-VCH: Weinheim, Germany, 2006. [Google Scholar]
- Carey, F.A.; Sundberg, R.J. Carbenes, Part B: Reactions and Synthesis. Advanced Organic Chemistry; Springer: New York, NY, USA, 2007. [Google Scholar]
- Moss, R.A.; Doyle, M.P. Contemporary Carbene Chemistry; John Wiley & Sons, Inc.: Hoboken, NJ, USA, 2013. [Google Scholar]
- Bellemin-Laponnaz, S.; Dagorne, S. Group 1 and 2 and Early Transition Metal Complexes Bearing N-Heterocyclic Carbene Ligands: Coordination Chemistry, Reactivity, and Applications. Chem. Rev. 2014, 114, 8747–8774. [Google Scholar] [CrossRef] [PubMed]
- Nesterov, V.; Reiter, D.; Bag, P.; Frisch, P.; Holzner, R.; Porzelt, A.; Inoue, S. NHCs in Main Group Chemistry. Chem. Rev. 2018, 118, 9678–9842. [Google Scholar] [CrossRef] [PubMed]
- Pople, J.A.; Raghavachari, K.; Frisch, M.J.; Binkley, J.S.; Schleyer, P.V.R. Comprehensive Theoretical Study of Isomers and Rearrangement Barriers of Even-Electron Polyatomic Molecules HmABHn (A, B = C, N, O, and F). J. Am. Chem. Soc. 1983, 105, 6389–6398. [Google Scholar] [CrossRef]
- Pople, J.A. A theoretical search for the methylenefluoronium ylide. Chem. Phys. Lett. 1986, 132, 144–146. [Google Scholar] [CrossRef]
- Arduengo, A.J., III; Gamper, S.F.; Tamm, M.; Calabrese, J.C.; Davidson, F.; Craig, H.A. A Bis(carbene)–Proton Complex: Structure of a C–H–C Hydrogen Bond. J. Am. Chem. Soc. 1995, 117, 572–573. [Google Scholar] [CrossRef]
- Alkorta, I.; Elguero, J. Carbenes and Silylenes as Hydrogen Bond Acceptors. J. Phys. Chem. 1996, 100, 19367–19370. [Google Scholar] [CrossRef]
- Jabłoński, M.; Palusiak, M. Divalent carbon atom as the proton acceptor in hydrogen bonding. Phys. Chem. Chem. Phys. 2009, 11, 5711–5719. [Google Scholar] [CrossRef]
- Giffin, N.A.; Makramalla, M.; Hendsbee, A.D.; Robertson, K.N.; Sherren, C.; Pye, C.C.; Masuda, J.D.; Clyburne, J.A.C. Anhydrous TEMPO-H: Reactions of a good hydrogen atom donor with low-valent carbon centres. Org. Biomol. Chem. 2011, 9, 3672–3680. [Google Scholar] [CrossRef]
- Gerbig, D.; Ley, D. Computational methods for contemporary carbene chemistry. WIREs Comput. Mol. Sci. 2013, 3, 242–272. [Google Scholar] [CrossRef]
- Samanta, R.C.; De Sarkar, S.; Fröhlich, R.; Grimme, S.; Studer, A. N-Heterocyclic carbene (NHC) catalyzed chemoselective acylation of alcohols in the presence of amines with various acylating reagents. Chem. Sci. 2013, 4, 2177–2184. [Google Scholar] [CrossRef]
- Li, Q.; Wang, H.; Liu, Z.; Li, W.; Cheng, J.; Gong, B.; Sun, J. Ab Initio Study of Lithium-Bonded Complexes with Carbene as an Electron Donor. J. Phys. Chem. A 2009, 113, 14156–14160. [Google Scholar] [CrossRef] [PubMed]
- Wang, Y.; Xie, Y.; Abraham, M.Y.; Wei, P.; Schaefer, H.F., III; Schleyer, P.v.R.; Robinson, G.H. A Viable Anionic N-Heterocyclic Dicarbene. J. Am. Chem. Soc. 2010, 132, 14370–14372. [Google Scholar] [CrossRef] [PubMed]
- Zhi-Feng, L.; Sheng, Y.; Hui-Xue, L. Theoretical prediction characters of unconventional weak bond with carbene as electron donors and Li-Y (Y = OH, H, F, NC and CN) as electron acceptors. J. Mol. Struct. THEOCHEM 2010, 952, 56–60. [Google Scholar] [CrossRef]
- Herrmann, W.A.; Runte, O.; Artus, G. Synthesis and structure of an ionic beryllium—“Carbene” complex. J. Organomet. Chem. 1995, 501, Cl–C4. [Google Scholar] [CrossRef]
- Gilliard, R.J., Jr.; Abraham, M.Y.; Wang, Y.; Wei, P.; Xie, Y.; Quillian, B.; Schaefer, H.F., III; Schleyer, P.V.R.; Robinson, G.H. Carbene-Stabilized Beryllium Borohydride. J. Am. Chem. Soc. 2012, 134, 9953–9955. [Google Scholar]
- Arrowsmith, M.; Hill, M.S.; Kociok-Köhn, G.; MacDougall, D.J.; Mahon, M.F. Beryllium-Induced C–N Bond Activation and Ring Opening of an N-Heterocyclic Carbene. Angew. Chem. Int. Ed. 2012, 51, 2098–2100. [Google Scholar] [CrossRef] [PubMed]
- Walley, J.E.; Wong, Y.-O.; Freeman, L.A.; Dickie, D.A.; Gilliard, R.J., Jr. N-Heterocyclic Carbene-Supported Aryl- and Alk- oxides of Beryllium and Magnesium. Catalysts 2019, 9, 934. [Google Scholar] [CrossRef]
- Arduengo, A.J., III; Dias, H.V.R.; Davidson, F.; Harlow, R.L. Carbene adducts of magnesium and zinc. J. Organomet. Chem. 1993, 462, 13–18. [Google Scholar] [CrossRef]
- Arrowsmith, M.; Hill, M.S.; MacDougall, D.J.; Mahon, M.F. A Hydride-Rich Magnesium Cluster. Angew. Chem. Int. Ed. 2009, 48, 4013–4016. [Google Scholar] [CrossRef] [PubMed]
- Arnold, P.L.; Casely, I.J.; Turner, Z.R.; Bellabarba, R.; Tooze, R.B. Magnesium and zinc complexes of functionalised, saturated N-heterocyclic carbene ligands: Carbene lability and functionalisation, and lactide polymerisation catalysis. Dalton Trans. 2009, 7236–7247. [Google Scholar] [CrossRef] [PubMed]
- Arduengo, A.J., III; Dias, H.V.R.; Calabrese, J.C.; Davidson, F. A Stable Carbene-Alane Adduct. J. Am. Chem. Soc. 1992, 114, 9724–9725. [Google Scholar] [CrossRef]
- Li, X.-W.; Su, J.; Robinson, G.H. Syntheses and molecular structure of organo-group 13 metal carbene complexes. Chem. Commun. 1996, 23, 2683–2684. [Google Scholar] [CrossRef]
- Hibbs, D.E.; Hursthouse, M.B.; Jones, C.; Smithies, N.A. Synthesis, crystal and molecular structure of the first indium trihydride complex, [InH3CN(Pri)C2Me2N(Pri)]. Chem. Commun. 1998, 8, 869–870. [Google Scholar] [CrossRef]
- Merceron, N.; Miqueu, K.; Baceiredo, A.; Bertrand, G. Stable (Amino)(phosphino)carbenes: Difunctional Molecules. J. Am. Chem. Soc. 2002, 124, 6806–6807. [Google Scholar] [CrossRef]
- Wang, Y.; Robinson, G.H. Unique homonuclear multiple bonding in main group compounds. Chem. Commun. 2009, 5201–5213. [Google Scholar] [CrossRef] [PubMed]
- Del Bene, J.E.; Alkorta, I.; Elguero, J. Carbon–Carbon Bonding between Nitrogen Heterocyclic Carbenes and CO2. J. Phys. Chem. A 2017, 121, 8136–8146. [Google Scholar] [CrossRef]
- Liu, M.; Li, Q.; Li, W.; Cheng, J. Carbene tetrel-bonded complexes. Struct. Chem. 2017, 28, 823–831. [Google Scholar] [CrossRef]
- Wang, Y.; Xie, Y.; Abraham, M.Y.; Gilliard, R.J., Jr.; Wei, P.; Schaefer, H.F., III; Schleyer, P.V.R.; Robinson, G.H. Carbene-Stabilized Parent Phosphinidene. Organometallics 2010, 29, 4778–4780. [Google Scholar] [CrossRef]
- Abraham, M.Y.; Wang, Y.; Xie, Y.; Wei, P.; Schaefer, H.F., III; Schleyer, P.V.R.; Robinson, G.H. Carbene Stabilization of Diarsenic: From Hypervalency to Allotropy. Chem. Eur. J. 2010, 16, 432–435. [Google Scholar] [CrossRef]
- Patel, D.S.; Bharatam, P.V. Divalent N(I) Compounds with Two Lone Pairs on Nitrogen. J. Phys. Chem. A 2011, 115, 7645–7655. [Google Scholar] [CrossRef]
- Zhao, Q.; Feng, D.; Sun, Y.; Hao, J.; Cai, Z. Theoretical Investigations on the Weak Nonbonded C=S⋯CH2 Interactions: Chalcogen-Bonded Complexes With Singlet Carbene as an Electron Donor. Int. J. Quant. Chem. 2011, 111, 3881–3887. [Google Scholar] [CrossRef]
- Arduengo, A.J., III; Kline, M.; Calabrese, J.C.; Davidson, F. Synthesis of a Reverse Ylide from a Nucleophilic Carbene. J. Am. Chem. Soc. 1991, 113, 9704–9705. [Google Scholar] [CrossRef]
- Kuhn, N.; Kratz, T.; Henkel, G. A Stable Carbene Iodine Adduct: Secondary Bonding in 1,3-Diethyl-2-iodo-4,5-dimethylimidazolium Iodide. J. Chem. Soc. Chem. Commun. 1993, 1778–1779. [Google Scholar] [CrossRef]
- Li, Q.; Wang, Y.; Liu, Z.; Li, W.; Cheng, J.; Gong, B.; Sun, J. An unconventional halogen bond with carbene as an electron donor: An ab initio study. Chem. Phys. Lett. 2009, 469, 48–51. [Google Scholar] [CrossRef]
- Esrafili, M.D.; Mohammadirad, N. Insights into the strength and nature of carbene⋯halogen bond interactions: A theoretical perspective. J. Mol. Model. 2013, 19, 2559–2566. [Google Scholar] [CrossRef]
- Esrafili, M.D.; Sabouri, A. Carbene–aerogen bonds: An ab initio study. Mol. Phys. 2017, 115, 971–980. [Google Scholar] [CrossRef]
- Frenking, G.; Solà, M.; Vyboishchikov, S.F. Chemical bonding in transition metal carbene complexes. J. Organomet. Chem. 2005, 690, 6178–6204. [Google Scholar] [CrossRef]
- Scott, N.M.; Nolan, S.P. Stabilization of Organometallic Species Achieved by the Use of N-Heterocyclic Carbene (NHC) Ligands. Eur. J. Inorg Chem. 2005, 1815–1828. [Google Scholar] [CrossRef]
- Schoeller, W.W. Electrophilicity and nucleophilicity in singlet carbenes. II. Electrophilic selectivity. Tetrahedron Lett. 1980, 21, 1509–1510. [Google Scholar] [CrossRef]
- Goumri-Magnet, S.; Polishchuck, O.; Gornitzka, H.; Marsden, C.J.; Baceiredo, A.; Bertrand, G. The Electrophilic Behavior of Stable Phosphanylcarbenes Towards Phosphorus Lone Pairs. Angew. Chem. Int. Ed. 1999, 38, 3727–3729. [Google Scholar] [CrossRef]
- Moss, R.A.; Wang, L.; Cang, H.; Krogh-Jespersen, K. Extremely reactive carbenes: Electrophiles and nucleophiles. J. Phys. Org. Chem. 2017, 30, e3555. [Google Scholar] [CrossRef]
- Jabłoński, M. The first theoretical proof of the existence of a hydride-carbene bond. Chem. Phys. Lett. 2018, 710, 78–83. [Google Scholar] [CrossRef]
- Jabłoński, M. In search for a hydride-carbene bond. J. Phys. Org. Chem. 2019, 32, e3949. [Google Scholar] [CrossRef]
- Yourdkhani, S.; Jabłoński, M. Physical nature of silane⋯carbene dimers revealed by state-of-the-art ab initio calculations. J. Comput. Chem. 2019, 40, 2643–2652. [Google Scholar] [CrossRef]
- Piela, L. Ideas of Quantum Chemistry; Elsevier: Amsterdam, The Netherlands, 2020. [Google Scholar]
- Hoffmann, R.; Zeiss, G.D.; Van Dine, G.W. The Electronic Structure of Methylenes. J. Am. Chem. Soc. 1968, 90, 1485–1499. [Google Scholar] [CrossRef]
- Gleiter, R.; Hoffmann, R. On Stabilizing a Singlet Methylene. J. Am. Chem. Soc. 1968, 90, 5457–5460. [Google Scholar] [CrossRef]
- Baird, N.C.; Taylor, K.F. Multiplicity of the Ground State and Magnitude of the T1–S0 Gap in Substituted Carbenes. J. Am. Chem. Soc. 1978, 100, 1333–1338. [Google Scholar] [CrossRef]
- Harrison, J.F.; Liedtke, R.C.; Liebman, J.F. The Multiplicity of Substituted Acyclic Carbenes and Related Molecules. J. Am. Chem. Soc. 1979, 101, 7162–7168. [Google Scholar] [CrossRef]
- Mueller, P.H.; Rondan, N.G.; Houk, K.N.; Harrison, J.F.; Hooper, D.; Willen, B.H.; Liebman, J.F. Carbene Singlet-Triplet Gaps. Linear Correlations with Substituent π Donation. J. Am. Chem. Soc. 1981, 103, 5049–5052. [Google Scholar] [CrossRef]
- Boehme, C.; Frenking, G. Electronic Structure of Stable Carbenes, Silylenes, and Germylenes. J. Am. Chem. Soc. 1996, 118, 2039–2046. [Google Scholar] [CrossRef]
- Alkorta, I.; Elguero, J. A LFER analysis of the singlet-triplet gap in a series of sixty-six carbenes. Chem. Phys. Lett. 2018, 691, 33–36. [Google Scholar] [CrossRef]
- Ramirez, F.; Desai, N.B.; Hansen, B.; McKelvie, N. Hexaphenylcarbodiphosporane, (C6H5)3PCP(C6H5)3. J. Am. Chem. Soc. 1961, 83, 3539–3540. [Google Scholar] [CrossRef]
- Kaska, W.C.; Mitchell, D.K.; Reichelderfer, R.F. Transition metal complexes of hexaphenylcarbodiphosphorane. J. Organomet. Chem. 1973, 47, 391–402. [Google Scholar] [CrossRef]
- Gasser, O.; Schmidbaur, H. Bis(trimethylphosphoranylidene)methane, (CH3)3PCP(CH3)3. J. Am. Chem. Soc. 1975, 97, 6281–6282. [Google Scholar] [CrossRef]
- Bestmann, H.J. Phosphacumulene Ylides and Phosphaallene Ylides. Angew. Chem. Int. Ed. Engl. 1977, 16, 349–364. [Google Scholar] [CrossRef]
- Hardy, G.E.; Zink, J.I.; Kaska, W.C.; Baldwin, J.C. Structure and triboluminescence of polymorphs of hexaphenylcarbodiphosphorane. J. Am. Chem. Soc. 1978, 100, 8001–8002. [Google Scholar] [CrossRef]
- Schmidbaur, H. Carbodiphosphorane. Nachr. Chem. Tech. Lab. 1979, 27, 620–622. [Google Scholar] [CrossRef]
- Schmidbaur, H.; Costa, T.; Milewski-Mahrla, B.; Schubert, U. Ring-Strained Carbodiphosphoranes. Angew. Chem. Int. Ed. Engl. 1980, 19, 555–556. [Google Scholar] [CrossRef]
- Schmidbaur, H. Phosphorus Ylides in the Coordination Sphere of Transition Metals: An Inventory. Angew. Chem. Int. Ed. Engl. 1983, 22, 907–927. [Google Scholar] [CrossRef]
- Johnson, A.W. (Ed.) Ylides and Imines of Phosphorus; Wiley: New York, NY, USA, 1993. [Google Scholar]
- Kolodiazhnyi, O.I. C-element-substituted phosphorus ylids. Tetrahedron 1996, 52, 1855–1929. [Google Scholar] [CrossRef]
- Kolodiazhnyi, O.I. Phosphorous Ylides: Chemistry and Application in Organic Synthesis; Wiley-VCH: Weinheim, Germany, 1999. [Google Scholar]
- Vicente, J.; Singhal, A.R.; Jones, P.G. New Ylide–, Alkynyl–, and Mixed Alkynyl/Ylide–Gold(I) Complexes. Organometallics 2002, 21, 5887–5900. [Google Scholar] [CrossRef]
- Jones, N.D.; Cavell, R.G. Phosphorus-substituted carbene complexes: Chelates, pincers and spirocycles. J. Organomet. Chem. 2005, 690, 5485–5496. [Google Scholar] [CrossRef]
- Tonner, R.; Öxler, F.; Neumüller, B.; Petz, W.; Frenking, G. Carbodiphosphoranes: The Chemistry of Divalent Carbon(0). Angew. Chem. Int. Ed. 2006, 45, 8038–8042. [Google Scholar] [CrossRef] [PubMed]
- Schmidbaur, H. Réplique: A New Concept for Bonding in Carbodiphosphoranes? Angew. Chem. Int. Ed. 2007, 46, 2984–2985. [Google Scholar] [CrossRef] [PubMed]
- Frenking, G.; Neumüller, B.; Petz, W.; Tonner, R.; Öxler, F. Reply to Réplique: A New Concept for Bonding in Carbodiphosphoranes? Angew. Chem. Int. Ed. 2007, 46, 2986–2987. [Google Scholar] [CrossRef]
- Tonner, R.; Frenking, G. C(NHC)2: Divalent Carbon(0) Compounds with N-Heterocyclic Carbene Ligands–Theoretical Evidence for a Class of Molecules with Promising Chemical Properties. Angew. Chem. Int. Ed. 2007, 46, 8695–8698. [Google Scholar] [CrossRef] [PubMed]
- Tonner, R.; Frenking, G. Divalent Carbon(0) Chemistry, Part 1: Parent Compounds. Chem. Eur. J. 2008, 14, 3260–3272. [Google Scholar] [CrossRef] [PubMed]
- Tonner, R.; Frenking, G. Divalent Carbon(0) Chemistry, Part 2: Protonation and Complexes with Main Group and Transition Metal Lewis Acids. Chem. Eur. J. 2008, 14, 3273–3289. [Google Scholar] [CrossRef] [PubMed]
- Wiberg, K.B.; Rablen, P.R. Comparison of Atomic Charges Derived via Different Procedures. J. Comput. Chem. 1993, 14, 1504–1518. [Google Scholar] [CrossRef]
- Martin, F.; Zipse, H. Charge Distribution in the Water Molecule–A Comparison of Methods. J. Comput. Chem. 2005, 26, 97–105. [Google Scholar] [CrossRef]
- Wiberg, K.B.; Rablen, P.R. Atomic Charges. J. Org. Chem. 2018, 83, 15463–15469. [Google Scholar] [CrossRef]
- Jabłoński, M.; Krygowski, T.M. Study of the influence of intermolecular interaction on classical and reverse substituent effects in Para-Substituted Phenylboranes. New J. Chem. 2020, 44, 9656–9670. [Google Scholar] [CrossRef]
- Hirshfeld, F.L. Bonded-Atom Fragments for Describing Molecular Charge Densities. Theor. Chim. Acta 1977, 44, 129–138. [Google Scholar] [CrossRef]
- Ritchie, J.P. Electron Density Distribution Analysis for Nitromethane, Nitromethide, and Nitramide. J. Am. Chem. Soc. 1985, 107, 1829–1837. [Google Scholar] [CrossRef]
- Ritchie, J.P.; Bachrach, S.M. Some Methods and Applications of Electron Density Distribution Analysis. J. Comput. Chem. 1987, 8, 499–509. [Google Scholar] [CrossRef]
- Reed, A.E.; Curtiss, L.A.; Weinhold, F. Intermolecular Interactions from a Natural Bond Orbital, Donor–Acceptor Viewpoint. Chem. Rev. 1988, 88, 899–926. [Google Scholar] [CrossRef]
- Weinhold, F.; Landis, C.R. Valency and Bonding—A Natural Bond Orbital Donor–Acceptor Perspective; Cambridge University Press: Cambridge, UK, 2005. [Google Scholar]
- Bader, R.F.W. Atoms in Molecules: A Quantum Theory; Oxford University Press: New York, NY, USA, 1990. [Google Scholar]
- Popelier, P.L.A. Atoms in Molecules. An Introduction; Longman: Singapore, 2000. [Google Scholar]
- Matta, C.F.; Boyd, R.J. The Quantum Theory of Atoms in Molecules; Wiley-VCH: Weinheim, Germany, 2007. [Google Scholar]
- Shannon, R.D. Revised Effective Ionic Radii and Systematic Studies of Interatomie Distances in Halides and Chaleogenides. Acta Cryst. 1976, A32, 751–767. [Google Scholar] [CrossRef]
- Fukui, K.; Yonezawa, T.; Shingu, H. A Molecular Orbital Theory of Reactivity in Aromatic Hydrocarbons. J. Chem. Phys. 1952, 20, 722–725. [Google Scholar] [CrossRef]
- Fleming, I. Frontier Orbitals and Organic Chemical Reactions; Wiley: London, UK, 1978. [Google Scholar]
- Klopman, G. Chemical reactivity and the concept of charge- and frontier-controlled reactions. J. Am. Chem. Soc. 1968, 90, 223–234. [Google Scholar] [CrossRef]
- Salem, L. Intermolecular orbital theory of the interaction between conjugated systems. I. General theory. J. Am. Chem. Soc. 1968, 90, 543–552. [Google Scholar] [CrossRef]
- Frenking, G.; Shaik, S. (Eds.) The Chemical Bond; Wiley-VCH Verlag GmbH & Co.: Weinheim, Germany, 2014. [Google Scholar]
- Grabowski, S.J.; Sokalski, W.A.; Leszczynski, J. Wide spectrum of H⋯H interactions: Van der Waals contacts, dihydrogen bonds and covalency. Chem. Phys. 2007, 337, 68–76. [Google Scholar] [CrossRef]
- Johnson, E.R.; Keinan, K.; Mori-Sánchez, P.; Contreras-García, J.; Cohen, A.J.; Yang, W. Revealing Noncovalent Interactions. J. Am. Chem. Soc. 2010, 132, 6498–6506. [Google Scholar]
- Contreras-García, J.; Johnson, E.R.; Keinan, S.; Chaudret, R.; Piquemal, J.-P.; Beratan, D.N.; Yang, W. NCIPLOT: A Program for Plotting Noncovalent Interaction Regions. J. Chem. Theory Comput. 2011, 7, 625–632. [Google Scholar] [CrossRef]
- Cremer, D.; Kraka, E. Chemical Bonds without Bonding Electron Density—Does the Difference Electron-Density Analysis Suffice for a Description of the Chemical Bond? Angew. Chem. Int. Ed. Engl. 1984, 23, 627–628. [Google Scholar] [CrossRef]
- García-Revilla, M.; Francisco, E.; Popelier, P.L.A.; Pendás, A.M. Domain-Averaged Exchange-Correlation Energies as a Physical Underpinning for Chemical Graphs. ChemPhysChem 2013, 14, 1211–1218. [Google Scholar] [CrossRef] [PubMed]
- Jabłoński, M. Bond Paths Between Distant Atoms Do Not Necessarily Indicate Dominant Interactions. J. Comput. Chem. 2018, 39, 2183–2195. [Google Scholar] [CrossRef] [PubMed]
- Jabłoński, M. Counterintuitive bond paths: An intriguing case of the C(NO2) ion. Chem. Phys. Lett. 2020, 759, 137946. [Google Scholar] [CrossRef]
- Chai, J.-D.; Head-Gordon, M. Long-range corrected hybrid density functionals with damped atom–atom dispersion corrections. Phys. Chem. Chem. Phys. 2008, 10, 6615–6620. [Google Scholar] [CrossRef]
- Hohenberg, P.; Kohn, W. Inhomogeneous Electron Gas. Phys. Rev. 1964, 136, B864–B871. [Google Scholar] [CrossRef]
- Kohn, W.; Sham, L.J. Self-Consistent Equations Including Exchange and Correlation Effects. Phys. Rev. 1965, 140, A1133–A1138. [Google Scholar] [CrossRef]
- Parr, R.G.; Yang, W. Density-Functional Theory of Atoms and Molecules; Oxford University Press: New York, NY, USA, 1989. [Google Scholar]
- Krishnan, R.; Binkley, J.S.; Seeger, R.; Pople, J.A. Self-consistent molecular orbital methods. XX. A basis set for correlated wave functions. J. Chem. Phys. 1980, 72, 650–654. [Google Scholar] [CrossRef]
- McLean, A.D.; Chandler, G.S. Contracted Gaussian basis sets for molecular calculations. I. second row atoms, Z=11–18. J. Chem. Phys. 1980, 72, 5639–5648. [Google Scholar] [CrossRef]
- Curtiss, L.A.; McGrath, M.P.; Blandeau, J.-P.; Davis, N.E.; Binning, R.C., Jr.; Radom, L. Extension of Gaussian-2 theory to molecules containing third-row atoms Ga–Kr. J. Chem. Phys. 1995, 103, 6104–6113. [Google Scholar] [CrossRef]
- Frisch, M.J.; Pople, J.A.; Binkley, J.S. Self-consistent molecular orbital methods 25. Supplementary functions for Gaussian basis sets. J. Chem. Phys. 1984, 80, 3265–3269. [Google Scholar] [CrossRef]
- Clark, T.; Chandrasekhar, J.; Spitznagel, G.W.; Schleyer, P.V.R. Efficient Diffuse Function-Augmented Basis Sets for Anion Calculations. III. The 3-21+G Basis Set for First-Row Elements, Li–F. J. Comput. Chem. 1983, 4, 294–301. [Google Scholar] [CrossRef]
- Mardirossian, N.; Head-Gordon, M. Thirty years of density functional theory in computational chemistry: An overview and extensive assessment of 200 density functionals. Mol. Phys. 2017, 19, 2315–2372. [Google Scholar] [CrossRef]
- Frisch, M.J.; Trucks, G.W.; Schlegel, H.B.; Scuseria, G.E.; Robb, M.A.; Cheeseman, J.R.; Scalmani, G.; Barone, V.; Mennucci, B.; Petersson, G.A.; et al. Gaussian 09; Gaussian, Inc.: Wallingford, CT, USA, 2013. [Google Scholar]
- Glendening, E.D.; Badenhoop, J.K.; Reed, A.E.; Carpenter, J.E.; Bohmann, J.A.; Morales, C.M.; Landis, C.R.; Weinhold, F. NBO 6.0; Theoretical Chemistry Institute, University of Wisconsin: Madison, WI, USA, 2013; Available online: http://nbo6.chem.wisc.edu/ (accessed on 12 April 2021).
- Keith, T.A. TK Gristmill Software, Version 15.05.18; AIMAll: Overland Park, KS, USA, 2015. Available online: aim.tkgristmill.com (accessed on 12 April 2021).
















| MX | /Å | q(M)/au | (M)/au | ||
|---|---|---|---|---|---|
| Hirshfeld | NBO | QTAIM | |||
| BeH | 1.335 | 0.421 | 1.185 | 1.689 | 0.057 |
| BeF | 1.381 | 0.646 | 1.737 | 1.772 | 0.101 |
| BeCl | 1.802 | 0.478 | 1.449 | 1.724 | 0.060 |
| BeBr | 1.950 | 0.486 | 1.358 | 1.696 | 0.052 |
| BeMe | 1.683 | 0.456 | 1.467 | 1.701 | 0.037 |
| MgH | 1.705 | 0.544 | 1.379 | 1.551 | 0.102 |
| MgF | 1.757 | 0.924 | 1.881 | 1.797 | 0.243 |
| MgCl | 2.176 | 0.776 | 1.688 | 1.724 | 0.164 |
| MgBr | 2.324 | 0.819 | 1.620 | 1.688 | 0.139 |
| MgMe | 2.088 | 0.659 | 1.532 | 1.581 | 0.087 |
| ZnH | 1.539 | 0.354 | 1.069 | 0.794 | 0.050 |
| ZnF | 1.730 | 0.714 | 1.646 | 1.401 | 0.093 |
| ZnCl | 2.079 | 0.569 | 1.397 | 1.133 | 0.071 |
| ZnBr | 2.215 | 0.622 | 1.304 | 1.008 | 0.065 |
| ZnMe | 1.942 | 0.444 | 1.284 | 0.861 | 0.037 |
| Molecule | q(C) | (C) | ||||
|---|---|---|---|---|---|---|
| Hirshfeld | NBO | QTAIM | ||||
| (NH)C | 113.0 | −0.139 | 0.174 | 0.945 | −0.074 | −7.86 |
| imidazol-2-ylidene | 100.7 | −0.188 | 0.104 | 0.787 | −0.077 | −8.22 |
| imidazolidin-2-ylidene | 104.7 | −0.158 | 0.191 | 0.882 | −0.079 | −7.92 |
| tetrahydropyrymid-2-ylidene | 113.9 | −0.163 | 0.170 | 0.886 | −0.081 | −7.41 |
| cyclopropenylidene | 55.8 | −0.200 | −0.108 | 0.040 | −0.072 | −8.74 |
| (PH)C | 127.8 | −0.516 | −1.536 | −2.261 | −0.067 | −7.28 |
| (NH)C | 100.8 | −0.563 | −0.672 | −0.179 | −0.109 | −4.35 |
| RC | MX | CT | ||||||||||
|---|---|---|---|---|---|---|---|---|---|---|---|---|
| (NH)C | BeH | 1.820 | 0.048 | 0.048 | 0.048 | 136.4 | 111.8 | 111.8 | 118.9 | 5.9 | 34.7 | −0.381 |
| BeF | 1.819 | 0.060 | 0.060 | 0.060 | 135.8 | 112.1 | 112.1 | 119.6 | 6.6 | 41.0 | −0.415 | |
| BeCl | 1.802 | 0.096 | 0.096 | 0.096 | 132.8 | 113.6 | 113.6 | 119.8 | 6.8 | 45.7 | −0.394 | |
| BeBr | 1.800 | 0.106 | 0.106 | 0.106 | 132.0 | 114.0 | 114.0 | 119.7 | 6.7 | 47.4 | −0.435 | |
| BeMe | 1.851 | 0.063 | 0.063 | 0.063 | 136.1 | 112.0 | 112.0 | 118.4 | 5.3 | 27.2 | −0.381 | |
| MgH | 2.268 | 0.064 | 0.033 | 0.049 | 148.5 | 94.2 | 117.3 | 117.7 | 4.6 | 28.2 | −0.268 | |
| MgF | 2.217 | 0.062 | 0.028 | 0.045 | 147.9 | 92.2 | 120.0 | 118.2 | 5.2 | 39.8 | −0.296 | |
| MgCl | 2.200 | 0.062 | 0.062 | 0.062 | 149.8 | 105.1 | 105.1 | 118.5 | 5.5 | 42.1 | −0.320 | |
| MgBr | 2.201 | 0.068 | 0.068 | 0.068 | 148.8 | 105.6 | 105.6 | 118.6 | 5.5 | 42.4 | −0.342 | |
| MgMe | 2.278 | 0.044 | 0.034 | 0.039 | 150.9 | 101.1 | 108.0 | 117.4 | 4.3 | 26.5 | −0.301 | |
| ZnH | 2.159 | 0.046 | 0.046 | 0.046 | 146.8 | 106.6 | 106.6 | 117.9 | 4.9 | 21.7 | −0.324 | |
| ZnF | 2.062 | 0.123 | 0.061 | 0.092 | 137.2 | 94.0 | 128.9 | 119.6 | 6.6 | 41.3 | −0.364 | |
| ZnCl | 2.067 | 0.090 | 0.091 | 0.091 | 141.1 | 109.7 | 109.2 | 119.6 | 6.6 | 40.7 | −0.385 | |
| ZnBr | 2.068 | 0.095 | 0.095 | 0.095 | 140.5 | 109.8 | 109.8 | 119.8 | 6.7 | 40.5 | −0.408 | |
| ZnMe | 2.202 | 0.054 | 0.054 | 0.054 | 150.8 | 104.6 | 104.6 | 117.6 | 4.5 | 17.1 | −0.313 | |
| imidazol-2-ylidene | BeH | 1.793 | 0.048 | 0.048 | 0.048 | 135.3 | 112.4 | 112.4 | 103.5 | 2.7 | 35.4 | −0.402 |
| BeF | 1.804 | 0.061 | 0.061 | 0.061 | 134.9 | 112.5 | 112.5 | 103.8 | 3.1 | 41.1 | −0.434 | |
| BeCl | 1.772 | 0.099 | 0.099 | 0.099 | 133.0 | 113.5 | 113.5 | 104.1 | 3.4 | 46.6 | −0.427 | |
| BeBr | 1.765 | 0.109 | 0.109 | 0.109 | 132.9 | 113.6 | 113.6 | 104.2 | 3.5 | 48.6 | −0.464 | |
| BeMe | 1.823 | 0.064 | 0.064 | 0.064 | 136.4 | 111.8 | 111.8 | 103.4 | 2.6 | 27.8 | −0.401 | |
| MgH | 2.246 | 0.073 | 0.030 | 0.051 | 146.3 | 91.7 | 122.0 | 103.0 | 2.2 | 29.2 | −0.270 | |
| MgF | 2.195 | 0.071 | 0.026 | 0.048 | 145.0 | 89.8 | 125.3 | 103.4 | 2.7 | 41.5 | −0.292 | |
| MgCl | 2.179 | 0.080 | 0.050 | 0.065 | 146.3 | 99.0 | 114.7 | 103.4 | 2.7 | 43.3 | −0.335 | |
| MgBr | 2.173 | 0.076 | 0.062 | 0.069 | 147.9 | 102.9 | 109.2 | 103.5 | 2.8 | 43.7 | −0.363 | |
| MgMe | 2.263 | 0.054 | 0.028 | 0.041 | 147.2 | 97.1 | 115.7 | 102.8 | 2.0 | 27.2 | −0.302 | |
| ZnH | 2.134 | 0.055 | 0.039 | 0.047 | 144.7 | 102.6 | 112.6 | 103.1 | 2.3 | 22.0 | −0.338 | |
| ZnF | 2.031 | 0.137 | 0.058 | 0.097 | 134.2 | 91.4 | 134.4 | 104.3 | 3.5 | 42.7 | −0.365 | |
| ZnCl | 2.039 | 0.110 | 0.078 | 0.094 | 138.2 | 104.2 | 117.6 | 104.1 | 3.3 | 41.4 | −0.408 | |
| ZnBr | 2.037 | 0.097 | 0.097 | 0.097 | 139.2 | 110.4 | 110.4 | 104.2 | 3.4 | 41.2 | −0.432 | |
| ZnMe | 2.179 | 0.061 | 0.050 | 0.056 | 149.2 | 101.3 | 109.5 | 102.9 | 2.1 | 17.2 | −0.327 | |
| imidazolidin-2-ylidene | BeH | 1.815 | 0.048 | 0.048 | 0.048 | 135.1 | 112.5 | 112.5 | 107.9 | 3.2 | 34.5 | −0.396 |
| BeF | 1.818 | 0.059 | 0.059 | 0.059 | 134.6 | 112.7 | 112.7 | 108.2 | 3.6 | 40.7 | −0.428 | |
| BeCl | 1.791 | 0.097 | 0.097 | 0.097 | 132.4 | 113.8 | 113.8 | 108.6 | 4.0 | 45.9 | −0.419 | |
| BeBr | 1.785 | 0.107 | 0.107 | 0.107 | 132.0 | 114.0 | 114.0 | 108.7 | 4.1 | 47.7 | −0.457 | |
| BeMe | 1.844 | 0.062 | 0.062 | 0.062 | 136.2 | 111.9 | 111.9 | 107.7 | 3.0 | 27.2 | −0.396 | |
| MgH | 2.263 | 0.065 | 0.033 | 0.049 | 146.3 | 94.2 | 119.5 | 107.3 | 2.7 | 28.5 | −0.280 | |
| MgF | 2.208 | 0.063 | 0.028 | 0.045 | 145.5 | 91.8 | 122.7 | 107.8 | 3.2 | 40.4 | −0.306 | |
| MgCl | 2.192 | 0.066 | 0.058 | 0.062 | 147.2 | 104.2 | 108.6 | 107.9 | 3.3 | 42.8 | −0.343 | |
| MgBr | 2.190 | 0.067 | 0.067 | 0.067 | 146.8 | 106.6 | 106.6 | 108.0 | 3.4 | 43.2 | −0.361 | |
| MgMe | 2.279 | 0.048 | 0.030 | 0.039 | 147.8 | 98.9 | 113.3 | 107.1 | 2.4 | 26.7 | −0.307 | |
| ZnH | 2.149 | 0.047 | 0.047 | 0.047 | 144.7 | 107.7 | 107.4 | 107.4 | 2.8 | 21.8 | −0.339 | |
| ZnF | 2.047 | 0.124 | 0.061 | 0.093 | 135.2 | 93.6 | 131.2 | 108.8 | 4.1 | 41.9 | −0.378 | |
| ZnCl | 2.052 | 0.092 | 0.092 | 0.092 | 138.4 | 110.8 | 110.8 | 108.7 | 4.0 | 41.4 | −0.411 | |
| ZnBr | 2.052 | 0.096 | 0.096 | 0.096 | 138.2 | 110.9 | 110.9 | 108.7 | 4.1 | 41.1 | −0.428 | |
| ZnMe | 2.192 | 0.054 | 0.054 | 0.054 | 149.6 | 105.2 | 105.2 | 107.2 | 2.5 | 17.2 | −0.328 | |
| tetrahydropyrymid-2-ylidene | BeH | 1.806 | 0.052 | 0.052 | 0.052 | 135.5 | 112.2 | 112.2 | 117.9 | 4.0 | 38.9 | −0.392 |
| BeF | 1.809 | 0.063 | 0.063 | 0.063 | 134.7 | 112.7 | 112.7 | 118.4 | 4.5 | 45.3 | −0.427 | |
| BeCl | 1.789 | 0.100 | 0.100 | 0.100 | 132.0 | 114.0 | 114.0 | 118.6 | 4.7 | 51.0 | −0.408 | |
| BeBr | 1.787 | 0.111 | 0.111 | 0.111 | 131.3 | 114.4 | 114.4 | 118.6 | 4.7 | 52.8 | −0.451 | |
| BeMe | 1.837 | 0.066 | 0.066 | 0.066 | 135.2 | 112.4 | 112.4 | 117.6 | 3.7 | 31.2 | −0.393 | |
| MgH | 2.250 | 0.069 | 0.036 | 0.053 | 146.8 | 94.6 | 118.6 | 117.2 | 3.3 | 31.9 | −0.279 | |
| MgF | 2.202 | 0.064 | 0.030 | 0.047 | 146.3 | 93.0 | 120.7 | 117.6 | 3.7 | 43.8 | −0.311 | |
| MgCl | 2.184 | 0.066 | 0.066 | 0.066 | 148.2 | 105.9 | 105.9 | 117.8 | 3.9 | 46.7 | −0.336 | |
| MgBr | 2.184 | 0.072 | 0.072 | 0.072 | 147.4 | 106.3 | 106.3 | 117.9 | 4.0 | 47.2 | −0.359 | |
| MgMe | 2.258 | 0.048 | 0.037 | 0.042 | 149.2 | 101.8 | 109.0 | 116.9 | 3.0 | 29.9 | −0.314 | |
| ZnH | 2.135 | 0.050 | 0.050 | 0.050 | 145.0 | 107.5 | 107.6 | 117.4 | 3.5 | 25.5 | −0.340 | |
| ZnF | 2.044 | 0.129 | 0.064 | 0.096 | 134.7 | 94.6 | 130.6 | 118.7 | 4.8 | 46.3 | −0.384 | |
| ZnCl | 2.049 | 0.096 | 0.096 | 0.096 | 139.3 | 110.3 | 110.4 | 118.6 | 4.8 | 46.2 | −0.407 | |
| ZnBr | 2.050 | 0.100 | 0.100 | 0.100 | 138.9 | 110.5 | 110.5 | 118.7 | 4.8 | 45.9 | −0.428 | |
| ZnMe | 2.173 | 0.059 | 0.059 | 0.059 | 148.8 | 105.6 | 105.6 | 117.1 | 3.2 | 20.6 | −0.332 | |
| cyclopropenylidene | BeH | 1.743 | 0.039 | 0.039 | 0.039 | 135.1 | 112.4 | 112.4 | 56.6 | 0.8 | 29.1 | −0.317 |
| BeF | 1.833 | 0.050 | 0.050 | 0.050 | 135.9 | 112.0 | 112.0 | 57.2 | 1.4 | 29.4 | −0.386 | |
| BeCl | 1.781 | 0.084 | 0.084 | 0.084 | 134.3 | 112.8 | 112.8 | 57.3 | 1.5 | 33.6 | −0.389 | |
| BeBr | 1.764 | 0.093 | 0.093 | 0.093 | 134.5 | 112.8 | 112.8 | 57.3 | 1.5 | 35.4 | −0.414 | |
| BeMe | 1.784 | 0.061 | 0.061 | 0.061 | 135.2 | 112.4 | 112.4 | 56.7 | 0.9 | 20.2 | −0.329 | |
| MgH | 2.268 | 0.035 | 0.035 | 0.035 | 148.3 | 105.9 | 105.9 | 56.7 | 0.9 | 20.9 | −0.273 | |
| MgF | 2.222 | 0.031 | 0.031 | 0.031 | 147.9 | 106.1 | 106.1 | 56.9 | 1.2 | 29.3 | −0.325 | |
| MgCl | 2.210 | 0.047 | 0.047 | 0.047 | 145.6 | 107.2 | 107.2 | 57.0 | 1.2 | 32.0 | −0.323 | |
| MgBr | 2.206 | 0.052 | 0.052 | 0.052 | 145.4 | 107.3 | 107.3 | 57.0 | 1.3 | 32.1 | −0.331 | |
| MgMe | 2.288 | 0.030 | 0.030 | 0.030 | 149.1 | 105.4 | 105.4 | 56.6 | 0.8 | 19.4 | −0.275 | |
| ZnH | 2.121 | 0.036 | 0.036 | 0.036 | 144.6 | 107.7 | 107.7 | 57.3 | 0.9 | 15.2 | −0.279 | |
| ZnF | 2.068 | 0.072 | 0.072 | 0.072 | 138.7 | 110.6 | 110.6 | 57.3 | 1.5 | 28.7 | −0.378 | |
| ZnCl | 2.063 | 0.078 | 0.078 | 0.078 | 137.5 | 111.3 | 111.3 | 57.3 | 1.5 | 28.6 | −0.371 | |
| ZnBr | 2.061 | 0.083 | 0.083 | 0.083 | 137.1 | 111.5 | 111.5 | 57.3 | 1.5 | 28.2 | −0.380 | |
| ZnMe | 2.192 | 0.048 | 0.048 | 0.048 | 149.0 | 105.5 | 105.5 | 56.6 | 0.8 | 10.3 | −0.270 |
| RC | MX | CT | ||||||||||
|---|---|---|---|---|---|---|---|---|---|---|---|---|
| (PH)C | BeH | 1.767 | 0.058 | 0.058 | 0.058 | 132.9 | 113.5 | 113.5 | 131.3 | 3.5 | 35.5 | −0.354 |
| BeF | 1.792 | 0.071 | 0.071 | 0.071 | 130.9 | 114.5 | 114.5 | 128.9 | 1.2 | 40.4 | −0.407 | |
| BeCl | 1.736 | 0.120 | 0.120 | 0.120 | 129.1 | 115.5 | 115.5 | 126.9 | −0.9 | 47.0 | −0.394 | |
| BeBr | 1.727 | 0.133 | 0.133 | 0.133 | 128.3 | 115.9 | 115.9 | 125.4 | −2.4 | 49.3 | −0.455 | |
| BeMe | 1.811 | 0.077 | 0.077 | 0.077 | 130.3 | 114.8 | 114.8 | 128.3 | 0.5 | 26.2 | −0.361 | |
| MgH | 2.199 | 0.054 | 0.054 | 0.054 | 147.5 | 106.2 | 106.2 | 127.8 | 0.1 | 30.7 | −0.259 | |
| MgF | 2.146 | 0.048 | 0.048 | 0.048 | 147.6 | 106.2 | 106.2 | 129.1 | 1.3 | 41.7 | −0.326 | |
| MgCl | 2.143 | 0.074 | 0.074 | 0.074 | 139.8 | 110.1 | 110.1 | 124.1 | −3.7 | 45.3 | −0.315 | |
| MgBr | 2.142 | 0.082 | 0.082 | 0.082 | 137.9 | 111.0 | 111.0 | 123.1 | −4.7 | 45.7 | −0.354 | |
| MgMe | 2.226 | 0.046 | 0.046 | 0.046 | 143.2 | 108.4 | 108.4 | 126.6 | −1.2 | 28.4 | −0.281 | |
| ZnH | 2.128 | 0.050 | 0.050 | 0.050 | 146.7 | 106.7 | 106.7 | 127.3 | −0.4 | 22.7 | −0.271 | |
| ZnF | 2.026 | 0.094 | 0.094 | 0.094 | 140.1 | 110.0 | 110.0 | 129.8 | 2.0 | 42.7 | −0.384 | |
| ZnCl | 2.025 | 0.107 | 0.107 | 0.107 | 133.1 | 113.5 | 113.5 | 125.4 | −2.3 | 43.0 | −0.367 | |
| ZnBr | 2.025 | 0.112 | 0.112 | 0.112 | 131.3 | 114.4 | 114.4 | 124.6 | −3.2 | 42.6 | −0.409 | |
| ZnMe | 2.182 | 0.060 | 0.060 | 0.060 | 143.9 | 108.1 | 108.1 | 125.0 | −2.7 | 17.0 | −0.265 | |
| (NH)C | BeH | 1.655 | 0.118 | 0.060 | 0.089 | 133.2 | 103.1 | 123.8 | 111.6 | 10.8 | 64.0 | −0.527 |
| BeF | 1.718 | 0.118 | 0.074 | 0.096 | 129.9 | 107.5 | 122.3 | 109.5 | 8.7 | 67.0 | −0.520 | |
| BeCl | 1.661 | 0.149 | 0.149 | 0.149 | 132.3 | 113.7 | 113.7 | 111.6 | 10.8 | 79.3 | −0.539 | |
| BeBr | 1.643 | 0.167 | 0.167 | 0.167 | 132.9 | 113.5 | 113.5 | 112.4 | 11.5 | 83.6 | −0.610 | |
| BeMe | 1.695 | 0.097 | 0.097 | 0.097 | 126.9 | 116.5 | 116.5 | 109.5 | 8.7 | 52.5 | −0.524 | |
| MgH | 2.076 | 0.172 | 0.041 | 0.106 | 136.8 | 86.6 | 136.6 | 108.1 | 7.3 | 54.6 | −0.329 | |
| MgF | 2.064 | 0.133 | 0.039 | 0.086 | 135.4 | 89.3 | 135.4 | 108.3 | 7.5 | 67.6 | −0.388 | |
| MgCl | 2.044 | 0.152 | 0.072 | 0.112 | 140.6 | 97.0 | 122.5 | 108.7 | 7.9 | 70.0 | −0.465 | |
| MgBr | 2.022 | 0.122 | 0.122 | 0.122 | 152.0 | 104.0 | 104.0 | 110.6 | 9.8 | 71.0 | −0.513 | |
| MgMe | 2.086 | 0.154 | 0.037 | 0.096 | 128.8 | 97.3 | 133.9 | 108.0 | 7.2 | 48.6 | −0.377 | |
| ZnH | 1.979 | 0.161 | 0.035 | 0.098 | 133.1 | 91.7 | 135.1 | 108.7 | 7.9 | 45.1 | −0.427 | |
| ZnF | 1.879 | 0.660 | 0.040 | 0.350 | 109.8 | 82.1 | 167.5 | 110.9 | 10.0 | 78.8 | −0.287 | |
| ZnCl | 1.952 | 0.212 | 0.091 | 0.151 | 130.1 | 99.7 | 130.1 | 108.8 | 8.0 | 71.1 | −0.535 | |
| ZnBr | 1.962 | 0.142 | 0.142 | 0.142 | 139.8 | 109.8 | 109.8 | 109.2 | 8.4 | 71.3 | −0.569 | |
| ZnMe | 2.021 | 0.087 | 0.087 | 0.087 | 136.7 | 111.7 | 111.7 | 107.3 | 6.5 | 36.3 | −0.481 |
| Dimer | (C,M) | |||
|---|---|---|---|---|
| cyclopropenylidene⋯BeH | 0.076 | 0.323 | −0.022 | 0.182 |
| cyclopropenylidene⋯MgH | 0.033 | 0.163 | 0.003 | 0.147 |
| cyclopropenylidene⋯ZnH | 0.074 | 0.205 | −0.023 | 0.493 |
| cyclopropenylidene⋯BeBr | 0.076 | 0.288 | −0.025 | 0.165 |
| cyclopropenylidene⋯MgBr | 0.040 | 0.194 | 0.001 | 0.157 |
| cyclopropenylidene⋯ZnBr | 0.085 | 0.236 | −0.028 | 0.519 |
| imidazol-2-ylidene⋯BeBr | 0.082 | 0.272 | −0.031 | 0.175 |
| imidazol-2-ylidene⋯MgBr | 0.046 | 0.218 | 0.000 | 0.177 |
| imidazol-2-ylidene⋯ZnBr | 0.093 | 0.249 | −0.032 | 0.548 |
| (PH)C⋯BeBr | 0.085 | 0.259 | −0.036 | 0.207 |
| (PH)C⋯MgBr | 0.045 | 0.208 | −0.001 | 0.204 |
| (PH)C⋯ZnBr | 0.089 | 0.209 | −0.032 | 0.629 |
| (NH)C⋯BeBr | 0.104 | 0.361 | −0.047 | 0.246 |
| (NH)C⋯MgBr | 0.059 | 0.309 | −0.003 | 0.253 |
| (NH)C⋯ZnBr | 0.110 | 0.276 | −0.041 | 0.732 |
Publisher’s Note: MDPI stays neutral with regard to jurisdictional claims in published maps and institutional affiliations. |
© 2021 by the author. Licensee MDPI, Basel, Switzerland. This article is an open access article distributed under the terms and conditions of the Creative Commons Attribution (CC BY) license (https://creativecommons.org/licenses/by/4.0/).
Share and Cite
Jabłoński, M. Study of Beryllium, Magnesium, and Spodium Bonds to Carbenes and Carbodiphosphoranes. Molecules 2021, 26, 2275. https://doi.org/10.3390/molecules26082275
Jabłoński M. Study of Beryllium, Magnesium, and Spodium Bonds to Carbenes and Carbodiphosphoranes. Molecules. 2021; 26(8):2275. https://doi.org/10.3390/molecules26082275
Chicago/Turabian StyleJabłoński, Mirosław. 2021. "Study of Beryllium, Magnesium, and Spodium Bonds to Carbenes and Carbodiphosphoranes" Molecules 26, no. 8: 2275. https://doi.org/10.3390/molecules26082275
APA StyleJabłoński, M. (2021). Study of Beryllium, Magnesium, and Spodium Bonds to Carbenes and Carbodiphosphoranes. Molecules, 26(8), 2275. https://doi.org/10.3390/molecules26082275
