Mesomorphic Behavior of Symmetric Azomethine Dimers Containing Different Chromophore Groups
Abstract
1. Introduction
2. Results and Discussion
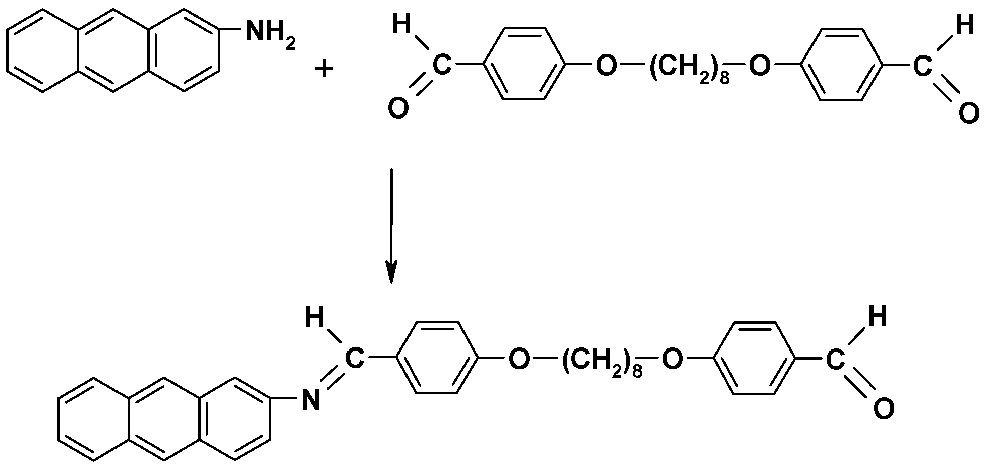
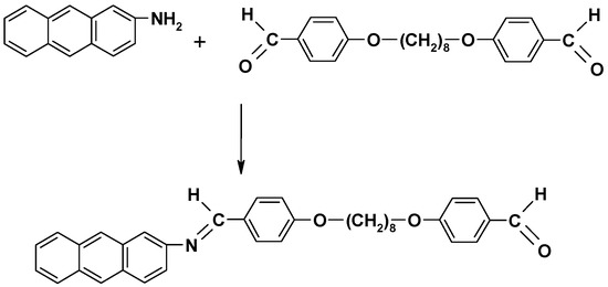
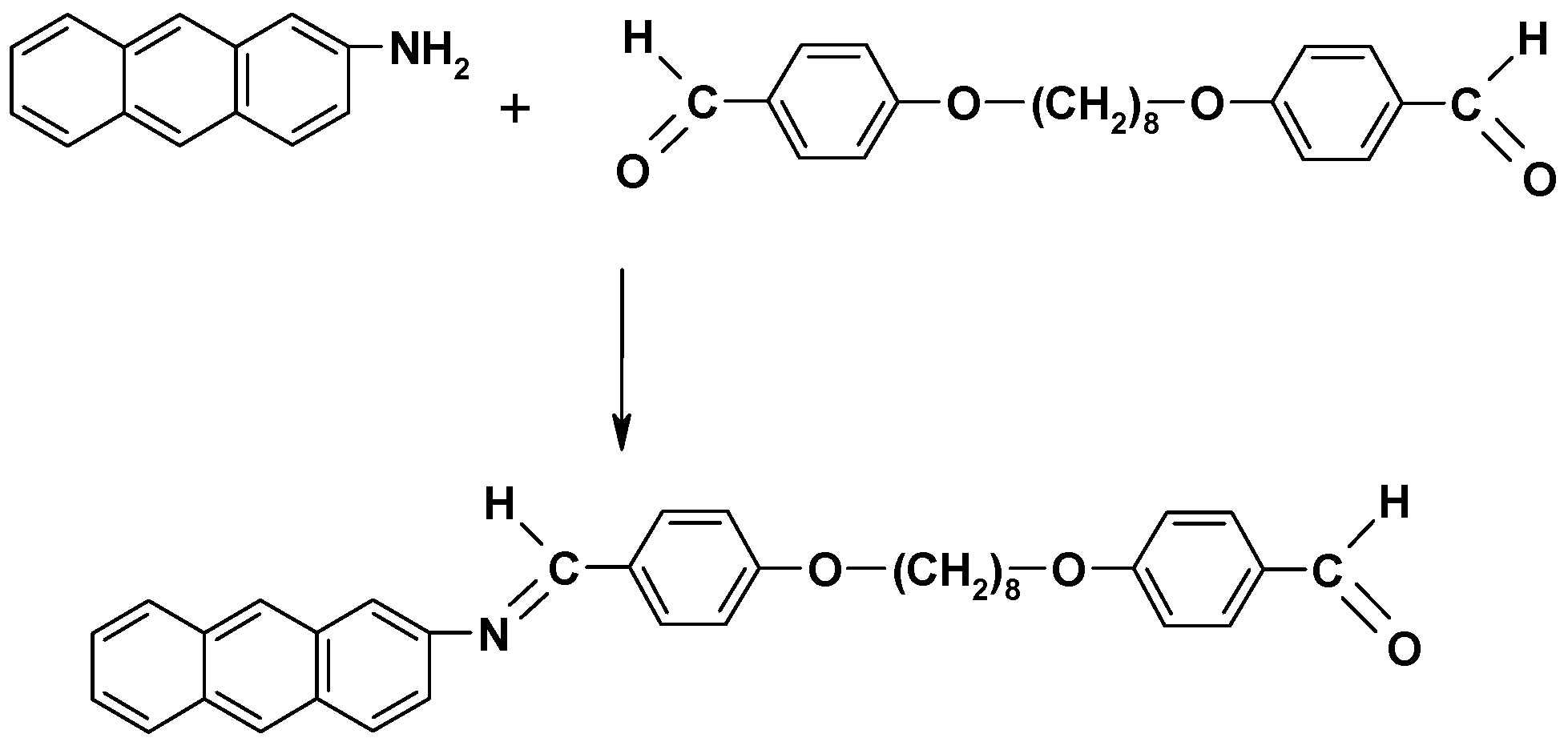
2.1. Synthesis and Structural Characterization
2.2. Thermal Properties
2.2.1. Thermal Stability
2.2.2. Thermotropic Behavior
2.3. Optical Properties
3. Materials and Methods
3.1. Characterization
3.2. Reagents
3.3. Synthetic Procedure
4. Conclusions
Author Contributions
Funding
Institutional Review Board Statement
Informed Consent Statement
Data Availability Statement
Acknowledgments
Conflicts of Interest
Sample Availability
References
- Imrie, C.T. Liquid Crystal Dimers. Struct. Bond. 1999, 95, 149–192. [Google Scholar]
- Imrie, C.T.; Henderson, P.A. Liquid crystal dimers and oligomers. Curr. Opin. Colloid Interface Sci. 2002, 7, 298–311. [Google Scholar] [CrossRef]
- Imrie, C.T.; Henderson, P.A.; Yeap, G.Y. Liquid crystal oligomers: Going beyond dimers. Liq. Cryst. 2009, 36, 755–777. [Google Scholar] [CrossRef]
- Donaldsona, T.; Staeschea, H.; Lua, Z.B.; Hendersona, P.A.; Achardband, M.F.; Imrie, C.T. Symmetric and non-symmetric chiral liquid crystal dimers. Liq. Cryst. 2010, 37, 1097–1110. [Google Scholar] [CrossRef]
- Tuchband, M.R.; Paterson, D.A.; Salamończyk, M.; Norman, V.A.; Scarbrough, A.N.; Forsyth, E.; Garcia, E.; Wang, C.; Storey, J.M.D.; Walba, D.M.; et al. Distinct differences in the nanoscale behaviors of the twist–bend liquid crystal phase of a flexible linear trimer and homologous dimer. Proc. Natl. Acad. Sci. USA 2019, 116, 10698–10704. [Google Scholar] [CrossRef] [PubMed]
- Workineh, Z.G.; Amlak, T. Model liquid crystalline dimers in a slit pore: Monte Carlo simulation study. Liq. Cryst. 2019, 46, 1843–1851. [Google Scholar] [CrossRef]
- Nayak, R.A.; Bhat, S.A.; Shankar Rao, D.S.; Yelamaggad, C.V. Wide thermal range, exclusive occurrence of technically significant chiral nematic phase: Synthesis and mesomorphism of cholesterol-based non-symmetric dimers. Bull. Mater. Sci. 2020, 43, 188. [Google Scholar] [CrossRef]
- Imrie, C.T.; Henderson, P.A. Liquid crystal dimers and higher oligomers: Between monomers and polymers. Chem. Soc. Rev. 2007, 36, 2096–2124. [Google Scholar] [CrossRef] [PubMed]
- Arakawa, Y.; Komatsu, K.; Inui, S.; Tsuji, H. Thioether-linked liquid crystal dimers and trimers: The twist-bend nematic phase. J. Mol. Struct. 2020, 119, 126913. [Google Scholar] [CrossRef]
- Walker, R.; Pociecha, D.; Martinez-Felipe, A.; Storey, J.M.D.; Gorecka, E.; Imrie, C.T. Twist-bend nematogenic supramolecular dimers and trimers formed by hydrogen bonding. Crystals 2020, 10, 175. [Google Scholar] [CrossRef]
- Al-Hamdani, U.J.; Abbo, H.S.; Shaheeb, E.H.; Titinchi, S.J.J. Symmetrical and asymmetrical liquid crystal dimers: Synthesis, characterisation and mesomorphic behavior. Liq. Cryst. 2019, 46, 2291–2300. [Google Scholar] [CrossRef]
- Marin, L.; Zabulica, A.; Sava, M. New symmetric azomethinic dimer: The influence of structural heterogeneity on the liquid crystalline behavior. Liq. Cryst. 2011, 38, 433–440. [Google Scholar] [CrossRef]
- Abberley, J.P.; Storey, J.M.D.; Imrie, C.T. Structure-property relationships in azobenzene-based twist-bend nematogens. Liq. Cryst. 2019, 46, 2102–2114. [Google Scholar] [CrossRef]
- Henderson, P.A.; Seddon, J.M.; Imrie, C.T. Methylene- and ether-linked liquid crystal dimers II. Effects of mesogenic linking unit and terminal chain length. Liq. Cryst. 2005, 32, 1499–1513. [Google Scholar] [CrossRef]
- Białecka-Florjańczyk, E.; Śledzińska, I.; Górecka, E.; Przedmojski, J. Odd–even effect in biphenyl-based symmetrical dimers with methylene spacer – evidence of the B4 phase. Liq. Cryst. 2008, 35, 401–406. [Google Scholar] [CrossRef]
- Fay, H.; Meeker, S.; Cayer-Barrior, J.; Mazuyer, D.; Ly, I.; Nallet, F.; Desbat, B.; Douliez, J.P.; Posinet, V.; Mondain-Monval, O. Polymorphism of natural fatty acid liquid crystalline phases. Lagmuir 2012, 28, 272–282. [Google Scholar] [CrossRef] [PubMed]
- Emsley, J.W.; Lelli, M.; Luckhurst, G.R.; Zimmermann, H. 13C NMR study of the director distribution adopted by the modulated nematic phases formed by liquid-crystal dimers with odd numbers of atoms in their spacers. Phys. Rev. E 2017, 96, 062702. [Google Scholar] [CrossRef]
- Arakawa, Y.; Komatsu, K.; Ishida, Y.; Igawa, K.; Tsuji, H. Carbonyl- and thioether-linked cyanobiphenyl-based liquid crystal dimers exhibiting twist-bend nematic phases. Tetrahedron 2021, 81, 131870. [Google Scholar] [CrossRef]
- Pocock, E.E.; Mandle, R.J.; Goodby, J.W. Experimental and computational study of a liquid crystalline dimesogen exhibiting nematic, twist-bend nematic, intercalated smectic, and soft crystalline mesophases. Molecules 2021, 26, 532. [Google Scholar] [CrossRef]
- Varanytsia, A.; Chien, L.-C. Giant Flexoelectro-optic Effect with Liquid Crystal Dimer CB7CB. Sci. Rep. 2017, 7, 41333. [Google Scholar] [CrossRef]
- Roy, A.; Singh, B.P.; Yadav, G.; Khan, H.; Kumar, S.; Srivastava, A.; Manohar, R. Effect of gold nanoparticles on intrinsic material parameters and luminescent characteristics of nematic liquid crystals. J. Mol. Liq. 2019, 295, 111872. [Google Scholar] [CrossRef]
- Mandle, R.J.; Stevens, M.P.; Goodby, J.W. Developments in liquid-crystalline dimers and oligomers. Liq. Cryst. 2017, 44, 2046–2059. [Google Scholar] [CrossRef]
- Setia, S.; Kumar, S.; Pal, S.K. Discotic liquid crystalline dimers: Chemistry and applications. In Advanced Functional Materials; Tiwari, A., Uzun, L., Eds.; Wiley-Scrivener: Beverly, MA, USA, 2015; Volume 7, pp. 195–365. [Google Scholar]
- Huang, S.; Kong, X.; Xiong, Y.; Zhang, X.; Chen, H.; Jiang, W.; Niu, Y.; Xu, W.; Ren, C. An overview of dynamic covalent bonds in polymer material and their applications. Eur. Polym. J. 2020, 141, 110094. [Google Scholar] [CrossRef]
- Zhang, Y.; Qi, Y.; Ulrich, S.; Barboiu, M.; Ramström, O. Dynamic covalent polymers for biomedical applications. Mater. Chem. Front. 2020, 4, 489–506. [Google Scholar] [CrossRef]
- Hafezi, N.; Lehn, J.-M. Adaptation of dynamic covalent systems of imine constituents to medium change by component redistribution under reversible phase separation. J. Am. Chem. Soc. 2012, 134, 12861–12868. [Google Scholar] [CrossRef]
- Blatch, A.E.; Luckhurst, G.R. The liquid crystal properties of symmetric and non-symmetric dimers based on the azobenzene mesogenic group. Liq. Cryst. 2000, 27, 775–787. [Google Scholar] [CrossRef]
- Marin, L.; Destri, S.; Porzio, W.; Bertini, F. Synthesis and characterization of new azomethine derivatives exhibiting liquid crystalline properties. Liq. Cryst. 2009, 36, 21–32. [Google Scholar] [CrossRef]
- Parra, M.L.; Elgueta, E.Y.; Jimenez, V.; Hidalgo, P.I. Novel amides and Schiff’s bases derived from 1,3,4-oxadiazole derivatives: Synthesis and mesomorphic behavior. Liq. Cryst. 2009, 36, 301–317. [Google Scholar] [CrossRef]
- Majumdar, K.C.; Shyam, P.K.; Chakravorty, S. Synthesis and characterisation of unsymmetrical six-aromatic ring containing bent-shaped compounds. Liq. Cryst. 2010, 37, 1237–1243. [Google Scholar] [CrossRef]
- Bolduc, A.; Rivier, L.; Dufresne, S.; Skene, W.G. Spectral investigation of conjugated azomethines: A large palette of colors possible with acid and oxidant doping. Mater. Chem. Phys. 2012, 132, 722–728. [Google Scholar] [CrossRef]
- Iwan, A.; Janeczek, H.; Jarzabek, B.; Rannou, P. Mesomorphic behavior of symmetrical and unsymmetrical azomethines with two imine groups. Materials 2009, 2, 38–61. [Google Scholar] [CrossRef]
- Yeap, G.-Y.; Leea, H.-C.; Mahmood, W.A.K.; Imrie, C.; Daisuke, T.; Kohtaro, O. Synthesis, thermal and optical behaviour of non-symmetric liquid crystal dimers α-(4-benzylidene-substituted-aniline-4′-oxy)-ω-[pentyl-4-(4′-phenyl)benzoateoxy]hexane. Phase Transit. 2011, 84, 29–37. [Google Scholar] [CrossRef]
- Marin, L.; Zabulica, A.; Sava, M. Symmetric liquid crystal dimers containing a luminescent mesogen: Synthesis, mesomorphic behavior, and optical properties. Soft Mater. 2013, 11, 32–39. [Google Scholar] [CrossRef]
- Zabulica, A.; Balan, M.; Belei, D.; Sava, M.; Simionescu, B.C.; Marin, L. Novel luminescent phenothiazine-based Schiff bases with tuned morphology. Synthesis, structure, photophysical and thermotropic characterization. Dyes Pigment. 2013, 96, 686–698. [Google Scholar] [CrossRef]
- Zhu, G.; Xu, J.; Yue, R.; Lu, B.; Hou, J. Novel poly-bridged-naphthalene with blue-light-emitting property via electropolymerization. J. Appl. Polym. Sci. 2012, 123, 2706–2714. [Google Scholar] [CrossRef]
- Zhuang, S.; Shangguan, R.; Huang, H.; Tu, G.; Wang, L.; Zhu, X. Synthesis, characterization, physical properties, and blue electroluminescent device applications of phenanthroimidazole derivatives containing anthracene or pyrene moiety. Dyes Pigment. 2014, 101, 93–102. [Google Scholar] [CrossRef]
- Kim, B.; Park, Y.; Lee, J.; Yokoyama, D.; Lee, J.-H.; Kido, J.; Park, J. Synthesis and electroluminescence properties of highly efficient blue fluorescence emitters using dual core chromophores. J. Mater. Chem. C 2013, 1, 432–440. [Google Scholar] [CrossRef]
- Walker, R.; Majewska, M.; Pociecha, D.; Makal, A.; Storey, J.M.D.; Gorecka, E.; Imrie, C.T. Twist-bend nematic glasses: The synthesis and characterisation of pyrene-based nonsymmetric dimers. ChemPlusChem 2021, 22, 461–470. [Google Scholar]
- Tavares, A.; Costa, R.O.; Weber, C.S.B.; Cazati, T.; Ceschi, M.A.; Vieira, A.A.; Merlo, A.A. Blue Glow Sticks: Cinnamic acids and arylacrylonitriles with liquid-crystalline properties and highly fluorescent. J. Braz. Chem. Soc. 2021, 32, 98–109. [Google Scholar] [CrossRef]
- Arakawa, Y.; Sasaki, S.; Igawa, K.; Tokita, M.; Konishi, G.; Tsuji, H. Birefringence and photoluminescence properties of diphenylacetylene-based liquid crystal dimers. New J. Chem. 2020, 44, 17531–17541. [Google Scholar] [CrossRef]
- Arakawa, Y.; Ishida, Y.; Tsuji, H. Ether- and thioether-linked naphthalene-based liquid-crystal dimers: Influence of chalcogen linkage and mesogenic-arm symmetry on the incidence and stability of the twist–bend nematic phase. Chemistry 2020, 26, 3767–3775. [Google Scholar] [CrossRef] [PubMed]
- Forsyth, E.; Paterson, D.A.; Cruickshank, E.; Strachan, G.J.; Gorecka, E.; Walker, R.; Storey, J.M.D.; Imrie, C.T. Liquid crystal dimers and the twist-bend nematic phase: On the role of spacers and terminal alkyl chains. J. Mol. Liq. 2020, 320, 114391. [Google Scholar] [CrossRef]
- Pal, S.K.; Kumar, S. Liquid Crystal Dimers; Cambridge University Press: Cambridge, UK, 2017; pp. 225–233. [Google Scholar]
- Dierking, I. Textures of Liquid Crystals; Wilez-VCH: Weinheim, Germany, 2003. [Google Scholar]
- Baron, M. Definitions of basic terms relating to low-molar-mass and polymer liquid crystals (IUPAC Recommendations 2001). Pure Appl. Chem. 2001, 73, 845–895. [Google Scholar] [CrossRef]
- Thoen, J.; Cordoyiannis, G.; Glorieux, C. Investigations of phase transitions in liquid crystals by means of adiabatic scanning calorimetry. Liq. Cryst. 2009, 36, 669–684. [Google Scholar] [CrossRef]
- Sandy Subala, S.; Syama Sundar, B.; Sreehari Sastry, S. Synthesis and characterization of nonsymmetric liquid crystal dimer containing biphenyl and azobenzene moiety. J. Chem. 2013, 939406, 1–6. [Google Scholar] [CrossRef]
- Sebezeanu, D.; Vlad-Bubulac, T.; Hamciuc, C.; Aflori, M. Synthesis and properties of novel phosphorus-containing thermotropic liquid crystalline copoly(ester imide)s. J. Polym. Sci. A Polym. Chem. 2010, 48, 5391–5403. [Google Scholar] [CrossRef]
- Leung, N.L.C.; Xie, N.; Yuan, W.; Liu, Y.; Wu, Q.; Peng, Q.; Miao, Q.; Lam, J.W.Y.; Tang, B.Z. Restriction of intramolecular motions: The general mechanism behind aggregation-induced emission. Chem. Eur. J. 2014, 20, 15349–15353. [Google Scholar] [CrossRef]
- Marin, L.; Perju, E.; Damaceanu, M.D. Designing thermotropic liquid crystalline polyazomethines based on fluorene and/or oxadiazole chromophores. Eur. Polym. J. 2011, 47, 1284–1299. [Google Scholar] [CrossRef]
- Gonciarz, A.; Pich, R.; Bogdanowicz, K.A.; Jewloszewicz, B.; Przybył, W.; Dysz, K.; Dylong, A.; Kwak, A.; Kaim, A.; Iwan, A.; et al. UV–Vis absorption properties of new aromatic imines and their compositions with poly({4,8-bis[(2-ethylhex-yl)oxy]benzo[1,2-b:4,5-b’]dithiophene-2,6-diyl}{3-fluoro-2-[(2ethylhex-yl)carbonyl]thieno[3,4-b]thiophenediyl}). Materials 2019, 12, 4191. [Google Scholar] [CrossRef] [PubMed]
- Nitschke, P.; Jarząbek, B.; Vasylieva, M.; Honisz, D.; Małecki, J.G.; Musioł, M.; Janeczek, H.; Chaber, P. Influence of chemical structure on thermal, optical and electrochemical properties of conjugated azomethines. Synth. Met. 2021, 273, 116689. [Google Scholar] [CrossRef]
- Naga, N.; Miyanaga, T.; Furukawa, H. Synthesis and optical properties of organic–inorganic hybrid gels containing fluorescent molecules. Polymer 2010, 51, 5095–5099. [Google Scholar] [CrossRef]
- Costa, J.C.S.; Taveira, R.J.S.; Lima, C.F.R.A.C.; Mendes, A.; Santos, L.M.N.B.F. Optical band gaps of organic semiconductor materials. Opt. Mater. 2016, 58, 51–60. [Google Scholar] [CrossRef]
- Estévez-Fregosoa, M.; Hernández-Trujillo, J. Electron delocalization and electron density of small polycyclic aromatic hydrocarbons in singlet excited states. Phys. Chem. Chem. Phys. 2016, 18, 11792–11799. [Google Scholar] [CrossRef] [PubMed]
- Tao, F.; Bernasek, S.L. Understanding Odd−Even Effects in Organic Self-Assembled Monolayers. Chem. Rev. 2007, 107, 1408–1453. [Google Scholar] [CrossRef]
- Fraind, A.M.; Sini, G.; Risko, C.; Ryzhkov, L.R.; Brédas, J.-L.; Tovar, J.D. Delocalization through Benzene, Naphthalene, and Anthracene Bridges in π-Conjugated Oligomers: An Experimental and Quantum Chemical Study. J. Phys. Chem. B 2013, 117, 6304–6317. [Google Scholar] [CrossRef] [PubMed]
- Wang, H.; Zhao, E.; Lam, J.W.Y.; Tang, B.Z. AIE luminogens: Emission brightened by aggregation. Mater. Today 2015, 18, 365–377. [Google Scholar] [CrossRef]
- Marin, L.; Timpu, D.; Cozan, V.; Rusu, G.I.; Airinei, A. Solid state properties of thin films of new copoly(azomethine-sulfone)s. J. Appl. Polym. Sci. 2011, 120, 1720–1728. [Google Scholar] [CrossRef]
- Popovici, D.; Diaconu, A.; Rotaru, A.; Marin, L. Microwave-assisted synthesis of an alternant poly(fluorene–oxadiazole). synthesis, properties, and white light-emitting devices. Polymers 2019, 11, 1562. [Google Scholar] [CrossRef] [PubMed]
- Donahoe, H.B.; Benjamin, L.E.; Fennoy, L.V.; Greiff, D. Synthesis of Potential Rickettsiostatic Agents. I. 4,4’-Dicarboxy-α,ι-diphenoxyalkanes. J. Org. Chem. 1961, 26, 474–476. [Google Scholar] [CrossRef]









| Code | DAH4 | DAH6 | DAH8 | DAH9 | DNH6 | DNH8 | DPyH8 | DPyH9 | DPyH10 | DAtH8 | DAtH9 | MAtH8 |
|---|---|---|---|---|---|---|---|---|---|---|---|---|
| DMSO | (+) | (+) | (+) | (+) | (+) | (+) | (+) | (+) | (+) | (+) | (+) | (+) |
| DMF | (+) | (+) | (+) | (+) | (+) | (+) | (+) | (+) | (+) | (+) | (+) | (+) |
| CHCl3 | (+) | (+) | (+) | (+) | (+) | (+) | + | + | + | (−) | (−) | (−) |
| THF | (+) | (+) | (+) | (+) | (+) | (+) | + | + | + | (±) | (±) | (±) |
| Code | PLMa | DSCb | ||
|---|---|---|---|---|
| 1H | 1C | 1H | 1C | |
| DAH4 | Cr 195 I | I 160 Cr | Cr 192 (40.8)f I | I 149 (34.1) Cr |
| DAH6 | Cr 168 I | I 160 Cr | Cr 166 (45.9) I | I 142 (45.5) Cr |
| DAH8 | Cr 163 I | I 135 Cr | Cr 159 (71.6) I | I 136 (68.9) Cr |
| DAH9 | Cr 102 I | I 79 Cr | Cr 100 (75.2) I | I 77 (73.5) Cr |
| DNH6 | Cr 169 I | –c | Cr1 139 Cr2 168 (36.5)g I | I 20 G |
| DNH8 | Cr 128 I | – | Cr1 109 Cr2 125 (61.0)g I | I 9 G |
| DPyH8 | Cr 194 I | I 165 N 137 Cr | Cr 190 (17.6) I | I 160 (0.8) N 127 (11.7) Cr |
| DPyH9 | Cr 136 I | I 108 N –e | Cr 134 (38.1) I | I 98 (0.3) N 38 G |
| DPyH10 | Cr 157 I | I 147 N – | Cr1120 Cr2 135 Cr3 152 (20.7)g I | I 139 (1.5) N 68 G |
| MAtH8 | Cr1 152 Cr2 170 N 254 I | I 245 N 170 Cr2 120 Cr1 | Cr1 157 (18.2) Cr2 174 (0.3) N 250 (24.5) I | I 224 (26.0) N 164 (0.5) Cr2 119 (13.2) Cr1 |
| DAtH8 | Cr 267 I | I 271 N 238 Cr | Cr1 259 Cr2 264 (118.7)g I | I 247 (2.1) N 215 (90.58)Cr |
| DAtH9 | Cr 248 N 260 I | I 255 N 238 Cr | Cr 240 (54.9) N 252 (0.9) I | I 247 (1.2) N 188 (43.9) Cr |
| Code | λ
abs (nm) | λ
edge (nm) |
ε (M−1cm−1) | Eg (eV) | λ
em (nm) |
|---|---|---|---|---|---|
| DAH4 | 293; 320 | 388 | 2090 | 3.19 | 361 |
| DAH6 | 293; 320 | 386 | 2740 | 3.21 | 361 |
| DAH8 | 294; 320 | 386 | 1610 | 3.21 | 361 |
| DAH9 | 293; 320 | 386 | 1550 | 3.21 | 361 |
| DNH6 | 280; 302; 344 | 428 | 1390 | 2.89 | 418 |
| DNH8 | 280; 303; 344 | 428 | 1690 | 2.89 | 415 |
| DPyH8 | 284; 297; 310; 340; 370; 385; 410 | 470 | 2600 | 2.63 | 439 |
| DPyH9 | 284; 297; 307; 340; 360; 380; 410 | 470 | 4820 | 2.63 | 436 |
| DPyH10 | 285; 297; 310; 340; 370; 385; 410 | 470 | 2530 | 2.63 | 439 |
| DAtH8 | 325; 336; 364; 390; 411; 437 | 465 | 980 | 2.66 | 442; 470; 501 |
| DAtH9 | 294; 307; 321; 335; 376; 390 | 465 | 2280 | 2.66 | 379; 406; 445; 490 |
| MAtH8 | 285; 293; 307; 320; 335; 375; 390 | 465 | 1750 | 2.66 | 380; 406; 439; 483 |
Publisher’s Note: MDPI stays neutral with regard to jurisdictional claims in published maps and institutional affiliations. |
© 2021 by the authors. Licensee MDPI, Basel, Switzerland. This article is an open access article distributed under the terms and conditions of the Creative Commons Attribution (CC BY) license (https://creativecommons.org/licenses/by/4.0/).
Share and Cite
Perju, E.; Marin, L. Mesomorphic Behavior of Symmetric Azomethine Dimers Containing Different Chromophore Groups. Molecules 2021, 26, 2183. https://doi.org/10.3390/molecules26082183
Perju E, Marin L. Mesomorphic Behavior of Symmetric Azomethine Dimers Containing Different Chromophore Groups. Molecules. 2021; 26(8):2183. https://doi.org/10.3390/molecules26082183
Chicago/Turabian StylePerju, Elena, and Luminita Marin. 2021. "Mesomorphic Behavior of Symmetric Azomethine Dimers Containing Different Chromophore Groups" Molecules 26, no. 8: 2183. https://doi.org/10.3390/molecules26082183
APA StylePerju, E., & Marin, L. (2021). Mesomorphic Behavior of Symmetric Azomethine Dimers Containing Different Chromophore Groups. Molecules, 26(8), 2183. https://doi.org/10.3390/molecules26082183

