Photophysical Properties and Kinetic Studies of 2-Vinylpyridine-Based Cycloplatinated(II) Complexes Containing Various Phosphine Ligands †
Abstract
1. Introduction
2. Result and Discussion
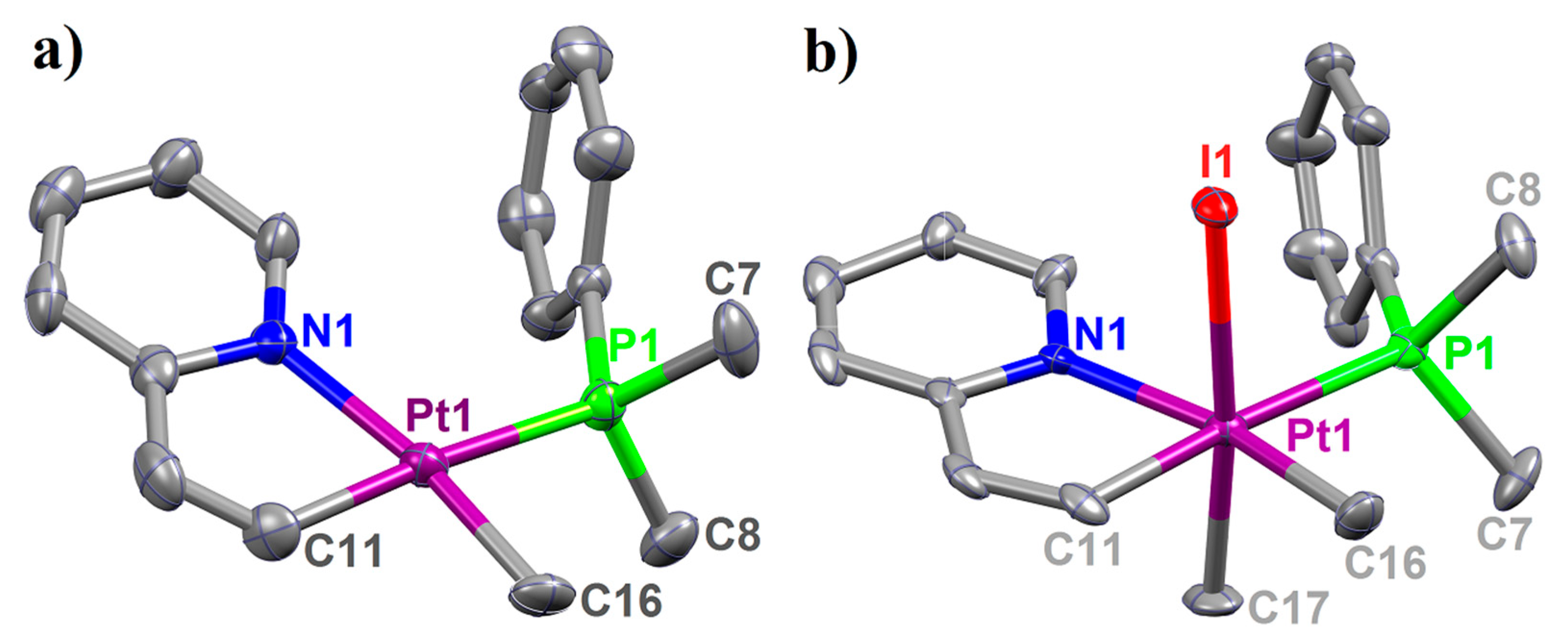
2.1. Synthesis and Characterization
2.2. Photophysical Properties
2.3. Kinetic Studies
3. Experimental
3.1. General Procedures and Materials
3.2. Synthesis of Complexes
3.2.1. [PtMe(Vpy)(PPhMe2)], 1c
3.2.2. cis-[PtMe2I(Vpy)(PPh3)], 3a
3.2.3. trans-[PtMe2I(Vpy)(PPhMe2)], 2c
3.3. Kinetic Study
3.4. X-ray Crystallography
3.5. Computational Details
4. Conclusion
Supplementary Materials
Author Contributions
Funding
Data Availability Statement
Conflicts of Interest
Sample Availability
References
- Saris, P.J.G.; Thompson, M.E. Gram Scale Synthesis of Benzophenanthroline and Its Blue Phosphorescent Platinum Complex. Org. Lett. 2016, 18, 3960–3963. [Google Scholar] [CrossRef] [PubMed]
- Berenguer, J.R.; Lalinde, E.; Moreno, M.T.; Sánchez, S.; Torroba, J. Facile Metalation of Hbzq by [cis-Pt(C6F5)2(thf)2]: A Route to a Pentafluorophenyl Benzoquinolate Solvate Complex That Easily Coordinates Terminal Alkynes. Spectroscopic and Optical Properties. Inorg. Chem. 2012, 51, 11665–11679. [Google Scholar] [CrossRef]
- Fuertes, S.; Chueca, A.J.; Arnal, L.; Martín, A.; Giovanella, U.; Botta, C.; Sicilia, V. Heteroleptic Cycloplatinated N-Heterocyclic Carbene Complexes: A New Approach to Highly Efficient Blue-Light Emitters. Inorg. Chem. 2017, 56, 4829–4839. [Google Scholar] [CrossRef] [PubMed]
- Fuertes, S.; Chueca, A.J.; Perálvarez, M.; Borja, P.; Torrell, M.; Carreras, J.; Sicilia, V. White Light Emission from Planar Remote Phosphor Based on NHC Cycloplatinated Complexes. ACS Appl. Mater. Interfaces 2016, 8, 16160–16169. [Google Scholar] [CrossRef]
- Micksch, M.; Tenne, M.; Strassner, T. C∧N-Cyclometalated Platinum(II) Complexes with Sterically Demanding 1,2-Diarylimidazole Ligands. Organometallics 2014, 33, 3464–3473. [Google Scholar] [CrossRef]
- Aghakhanpour, R.B.; Nabavizadeh, S.M.; Rashidi, M.; Kubicki, M. Luminescence properties of some monomeric and dimeric cycloplatinated(ii) complexes containing biphosphine ligands. Dalton Trans. 2015, 44, 15829–15842. [Google Scholar] [CrossRef]
- Chakraborty, A.; Yarnell, J.E.; Sommer, R.D.; Roy, S.; Castellano, F.N. Excited-State Processes of Cyclometalated Platinum(II) Charge-Transfer Dimers Bridged by Hydroxypyridines. Inorg. Chem. 2018, 57, 1298–1310. [Google Scholar] [CrossRef]
- Moussa, J.; Loch, A.; Chamoreau, L.-M.; Degli Esposti, A.; Bandini, E.; Barbieri, A.; Amouri, H. Luminescent Cyclometalated Platinum Complexes with π-Bonded Catecholate Organometallic Ligands. Inorg. Chem. 2017, 56, 2050–2059. [Google Scholar] [CrossRef]
- Paziresh, S.; Aghakhanpour, R.B.; Fuertes, S.; Sicilia, V.; Hosseini, F.N.; Nabavizadeh, S.M. A double rollover cycloplatinated(ii) skeleton: A versatile platform for tuning emission by chelating and non-chelating ancillary ligand systems. Dalton Trans. 2019, 48, 5713–5724. [Google Scholar] [CrossRef] [PubMed]
- Nikahd, S.; Aghakhanpour, R.B.; Nabavizadeh, S.M.; Hosseini, F.N.; Hoseini, S.J.; Pfitzner, A.; Sangari, M.S. Luminescent mononuclear and dinuclear cycloplatinated (II) complexes comprising azide and phosphine ancillary ligands. Appl. Organomet. Chem. 2019, 33, 5197. [Google Scholar] [CrossRef]
- Aghakhanpour, R.B.; Nabavizadeh, S.M.; Rashidi, M. Newly designed luminescent di- and tetra-nuclear double rollover cycloplatinated(II) complexes. J. Organomet. Chem. 2016, 819, 216–227. [Google Scholar] [CrossRef]
- Chi, Y.; Chou, P.-T. Transition-metal phosphors with cyclometalating ligands: Fundamentals and applications. Chem. Soc. Rev. 2010, 39, 638–655. [Google Scholar] [CrossRef] [PubMed]
- Wenger, O.S. Vapochromism in Organometallic and Coordination Complexes: Chemical Sensors for Volatile Organic Compounds. Chem. Rev. 2013, 113, 3686–3733. [Google Scholar] [CrossRef] [PubMed]
- Berenguer, J.R.; Lalinde, E.; Moreno, M.T. Luminescent cyclometalated-pentafluorophenyl PtII, PtIV and heteropolynuclear complexes. Coord. Chem. Rev. 2018, 366, 69–90. [Google Scholar] [CrossRef]
- Shahsavari, H.R.; Paziresh, S.; Babadi Aghakhanpour, R.; Chamyani, S. Luminescent Cycloplatinated(II) Complexes: Impact of Ancillary Ligands and Second Metals. Inorg. Chem. Res. 2020, 4, 225–249. [Google Scholar]
- Rausch, A.F.; Homeier, H.H.H.; Yersin, H. ChemInform Abstract: Organometallic Pt(II) and Ir(III) Triplet Emitters for OLED Applications and the Role of Spin-Orbit Coupling: A Study Based on High-Resolution Optical Spectroscopy. Chemin- 2010, 42, 193–235. [Google Scholar] [CrossRef]
- Murphy, L.; Gareth Williams, J.A. Luminescent Platinum Compounds: From Molecules to OLEDs In Molecular organometallic materials for optics; Springer: Berlin/Heidelberg, Germany, 2010; pp. 75–111. [Google Scholar]
- Yersin, H. Highly Efficient OLEDs with Phosphorescent Materials; WILEY-VCH Verlag GmbH & Co. KGaA: Weinheim, Germany, 2008. [Google Scholar]
- Pashaei, B.; Shahroosvand, H.; Graetzel, M.; Nazeeruddin, M.K. Influence of Ancillary Ligands in Dye-Sensitized Solar Cells. Chem. Rev. 2016, 116, 9485–9564. [Google Scholar] [CrossRef]
- Yam, V.W.-W.; Tang, R.P.-L.; Wong, K.M.-C.; Lu, X.-X.; Cheung, K.-K.; Zhu, N. Syntheses, Electronic Absorption, Emission, and Ion-Binding Studies of Platinum(II) C^N^C and Terpyridyl Complexes Containing Crown Ether Pendants. Chem.-A Eur. J. 2002, 8, 4066–4076. [Google Scholar] [CrossRef]
- Lanoë, P.-H.; Le Bozec, H.; Williams, J.A.G.; Fillaut, J.-L.; Guerchais, V. Cyclometallated platinum(ii) complexes containing pyridyl-acetylide ligands: The selective influence of lead binding on luminescence. Dalton Trans. 2010, 39, 707–710. [Google Scholar] [CrossRef]
- Shavaleev, N.M.; Adams, H.; Best, J.; Edge, R.; Navaratnam, S.; Weinstein, J.A. Deep-Red Luminescence and Efficient Singlet Oxygen Generation by Cyclometalated Platinum(II) Complexes with 8-Hydroxyquinolines and Quinoline-8-thiol. Inorg. Chem. 2006, 45, 9410–9415. [Google Scholar] [CrossRef]
- Liu, J.; Leung, C.-H.; Chow, A.L.-F.; Sun, R.W.-Y.; Yan, S.-C.; Che, C.-M. Cyclometalated platinum(ii) complexes as topoisomerase IIα poisons. Chem. Commun. 2011, 47, 719–721. [Google Scholar] [CrossRef] [PubMed]
- Bossi, A.; Rausch, A.F.; Leitl, M.J.; Czerwieniec, R.; Whited, M.T.; Djurovich, P.I.; Yersin, H.; Thompson, M.E. Photophysical Properties of Cyclometalated Pt(II) Complexes: Counterintuitive Blue Shift in Emission with an Expanded Ligand π System. Inorg. Chem. 2013, 52, 12403–12415. [Google Scholar] [CrossRef] [PubMed]
- Niedermair, F.; Waich, K.; Kappaun, S.; Mayr, T.; Trimmel, G.; Mereiter, K.; Slugovc, C. Heteroleptic κ2(N,C2)-2-phenylpyridine platinum complexes: The use of bis(pyrazolyl)borates as ancillary ligands. Inorg. Chim. Acta 2007, 360, 2767–2777. [Google Scholar] [CrossRef]
- Berenguer, J.R.; Díez, Á.; Lalinde, E.; Moreno, M.T.; Ruiz, S.; Sánchez, S. Luminescent Cycloplatinated Complexes Containing Poly(pyrazolyl)-borate and -methane Ligands. Organometallics 2011, 30, 5776–5792. [Google Scholar] [CrossRef]
- DePriest, J.C.; Zheng, G.Y.; Woods, C.H.; Rillema, D.; Mikirova, N.; Zandler, M.E. Structure, physical and photophysical properties of platinum(II) complexes containing 7,8-benzoquinoline and various bis(diphenylphosphine) ligands. Inorg. Chim. Acta 1997, 264, 287–296. [Google Scholar] [CrossRef]
- Godbert, N.; Pugliese, T.; Aiello, I.; Bellusci, A.; Crispini, A.; Ghedini, M. Efficient, Ultrafast, Microwave-Assisted Syntheses of Cycloplatinated Complexes. Eur. J. Inorg. Chem. 2007, 2007, 5105–5111. [Google Scholar] [CrossRef]
- Díez, Á.; Forniés, J.; Larraz, C.; Lalinde, E.; López, J.A.; Martín, A.; Moreno, M.T.; Sicilia, V. Structural and Luminescence Studies on π··· π and Pt··· Pt Interactions in Mixed Chloro-Isocyanide Cyclometalated Platinum(II) Complexes. Inorg. Chem. 2010, 49, 3239–3251. [Google Scholar] [CrossRef] [PubMed]
- Shahsavari, H.R.; Aghakhanpour, R.B.; Babaghasabha, M.; Haghighi, M.G.; Nabavizadeh, S.M.; Notash, B. Photophysical properties of a series of cycloplatinated( ii ) complexes featuring allyldiphenylphosphane. New J. Chem. 2017, 41, 3798–3810. [Google Scholar] [CrossRef]
- Shahsavari, H.R.; Aghakhanpour, R.B.; Hossein-Abadi, M.; Haghighi, M.G.; Notash, B.; Fereidoonnezhad, M. A new approach to the effects of isocyanide (CN-R) ligands on the luminescence properties of cycloplatinated( ii ) complexes. New J. Chem. 2017, 41, 15347–15356. [Google Scholar] [CrossRef]
- Paziresh, S.; Aghakhanpour, R.B.; Rashidi, M.; Nabavizadeh, S.M. Simple tuning of the luminescence properties of the double rollover cycloplatinated(ii) structure by halide ligands. New J. Chem. 2017, 42, 1337–1346. [Google Scholar] [CrossRef]
- Díez, A.; Forniés, J.; Fuertes, S.; Lalinde, E.; Larraz, C.; López, J.A.; Martín, A.; Moreno, M.T.; Sicilia, V. Synthesis and Luminescence of Cyclometalated Compounds with Nitrile and Isocyanide Ligands. Organometallics 2009, 28, 1705–1718. [Google Scholar] [CrossRef]
- Ezquerro, C.; Sepúlveda, A.E.; Grau-Atienza, A.; Serrano, E.; Lalinde, L.; Berenguer, J.R.; Garcia-Martinez, J. Organometallic phosphors as building blocks in sol–gel chemistry: Luminescent organometallo-silica materials. J. Mater. Chem. C 2017, 5, 9721–9732. [Google Scholar] [CrossRef]
- Díez, Á.; Lalinde, E.; Moreno, M.T.; Ruiz, S. Structural and Photophysical Study on Alkynyl Cyclometalated Pt2Pb2 and Pt2Pb Clusters. Organometallics 2016, 35, 1735–1746. [Google Scholar] [CrossRef]
- Forniés, J.; Giménez, N.; Ibáñez, S.; Lalinde, E.; Martín, A.; Moreno, M.T. An Extended Chain and Trinuclear Complexes Based on Pt(II)–M (M = Tl(I), Pb(II)) Bonds: Contrasting Photophysical Behavior. Inorg. Chem. 2015, 54, 4351–4363. [Google Scholar] [CrossRef] [PubMed]
- Fard, M.A.; Puddephatt, R.J. Oxidative addition of halogens to a Cycloneophylplatinum(II) complex and evidence for C–H bond activation at Platinum(IV). J. Organomet. Chem. 2020, 910, 121139. [Google Scholar] [CrossRef]
- Behnia, A.; Fard, M.A.; Puddephatt, R.J. Stereochemistry of oxidative addition of methyl iodide and hydrogen peroxide to organoplatinum(II) complexes having an appended phenol group and the supramolecular chemistry of the platinum(IV) products. J. Organomet. Chem. 2019, 902, 120962. [Google Scholar] [CrossRef]
- Sicilia, V.; Baya, M.; Borja, P.; Martín, A. Oxidation of Half-Lantern Pt2(II,II) Compounds by Halocarbons. Evidence of Dioxygen Insertion into a Pt(III)–CH3 Bond. Inorg. Chem. 2015, 54, 7316–7324. [Google Scholar] [CrossRef]
- Nabavizadeh, S.M.; Tabei, E.S.; Hosseini, F.N.; Keshavarz, N.; Jamali, S.; Rashidi, M. Diorganoplatinum(II) complexes with chelating PN ligand 2-(diphenylphosphinoamino)pyridine; synthesis and kinetics of the reaction with MeI. New J. Chem. 2010, 34, 495–499. [Google Scholar] [CrossRef]
- Nabavizadeh, S.M.; Shahsavari, H.R.; Sepehrpour, H.; Hosseini, F.N.; Jamali, S.; Rashidi, M. Oxidative addition reaction of diarylplatinum(II) complexes with MeI in ionic liquid media: A kinetic study. Dalton Trans. 2010, 39, 7800–7805. [Google Scholar] [CrossRef]
- Nabavizadeh, S.M.; Hoseini, S.J.; Momeni, B.Z.; Shahabadi, N.; Rashidi, M.; Pakiari, A.H.; Eskandari, K. Oxidative addition of n-alkyl halides to diimine–dialkylplatinum(ii) complexes: A closer look at the kinetic behaviors. Dalton Trans. 2008, 2414–2421. [Google Scholar] [CrossRef]
- Ghedini, M.; Pucci, D.; Crispini, A.; Barberio, G. Oxidative Addition to Cyclometalated Azobenzene Platinum(II) Complexes: A Route to Octahedral Liquid Crystalline Materials. Organometallics 1999, 18, 2116–2124. [Google Scholar] [CrossRef]
- Crespo, M.; Martínez, M.; Nabavizadeh, S.M.; Rashidi, M. Kinetico-mechanistic studies on CX (X=H, F, Cl, Br, I) bond activation reactions on organoplatinum(II) complexes. Coord. Chem. Rev. 2014, 279, 115–140. [Google Scholar] [CrossRef]
- Behnia, A.; Fard, M.A.; Blacquiere, J.M.; Puddephatt, R.J. Cycloneophylpalladium(IV) Complexes: Formation by Oxidative Addition and Selectivity of Their Reductive Elimination Reactions. Organometallics 2020, 39, 4037–4050. [Google Scholar] [CrossRef]
- Rashidi, M.; Nabavizadeh, M.; Hakimelahi, R.; Jamali, S. Kinetics and mechanism of cleavage of the oxygen–oxygen bond in hydrogen peroxide and dibenzoyl peroxide by arylplatinum(ii) complexes. J. Chem. Soc. Dalton Trans. 2001, 3430–3434. [Google Scholar] [CrossRef]
- Anderson, C.M.; Crespo, M.; Jennings, M.C.; Lough, A.J.; Ferguson, G.; Puddephatt, R.J. Competition between intramolecular oxidative addition and ortho metalation in organoplatinum(II) compounds: Activation of aryl-halogen bonds. Organometallics 1991, 10, 2672–2679. [Google Scholar] [CrossRef]
- Crabtree, R.H. The Organometallic Chemistry of the Transition Metals, 6th ed.; John Wiley & Sons, Inc.: Hoboken, NJ, USA, 2014. [Google Scholar]
- Hartwig, J.F. Organotransition Metal Chemistry: From Bonding to Catalysis; University Science Books: Sausalito, CA, USA, 2010. [Google Scholar]
- Canty, A.J. Organopalladium and platinum chemistry in oxidising milieu as models for organic synthesis involving the higher oxidation states of palladium. Dalton Trans. 2009, 10409–10417. [Google Scholar] [CrossRef] [PubMed]
- Rendina, L.M.; Puddephatt, R.J. Oxidative Addition Reactions of Organoplatinum(II) Complexes with Nitrogen-Donor Ligands. Chem. Rev. 1997, 97, 1735–1754. [Google Scholar] [CrossRef]
- Cross, W.B.; Hope, E.G.; Lin, Y.-H.; Macgregor, S.A.; Singh, K.; Solan, G.A.; Yahya, N. N,N-Chelate-control on the regioselectivity in acetate-assisted C–H activation. Chem. Commun. 2013, 49, 1918–1920. [Google Scholar] [CrossRef]
- Boutadla, Y.; Davies, D.L.; MacGregor, S.A.; Bahamonde, A.I.P. Mechanisms of C–H bond activation: Rich synergy between computation and experiment. Dalton Trans. 2009, 5820–5831. [Google Scholar] [CrossRef]
- Pérez-Rodríguez, M.; Braga, A.A.C.; Garcia-Melchor, M.; Pérez-Temprano, M.H.; Casares, J.A.; Ujaque, G.; De Lera, A.R.; Álvarez, R.; Maseras, F.; Espinet, P.C.−C. Reductive Elimination in Palladium Complexes, and the Role of Coupling Additives. A DFT Study Supported by Experiment. J. Am. Chem. Soc. 2009, 131, 3650–3657. [Google Scholar] [CrossRef]
- Roiban, G.-D.; Serrano, E.; Soler, T.; Aullón, G.; Grosu, I.; Cativiela, C.; Martínez, M.; Urriolabeitia, E.P.; Roiban, D.; Martínez, M. Regioselective Orthopalladation of (Z)-2-Aryl-4-Arylidene-5(4H)-Oxazolones: Scope, Kinetico-Mechanistic, and Density Functional Theory Studies of the C–H Bond Activation. Inorg. Chem. 2011, 50, 8132–8143. [Google Scholar] [CrossRef] [PubMed]
- Nabavizadeh, S.M.; Amini, H.; Jame, F.; Khosraviolya, S.; Shahsavari, H.R.; Hosseini, F.N.; Rashidi, M. Oxidative addition of MeI to some cyclometalated organoplatinum(II) complexes: Kinetics and mechanism. J. Organomet. Chem. 2012, 698, 53–61. [Google Scholar] [CrossRef]
- Aghakhanpour, R.B.; Nabavizadeh, S.M.; Mohammadi, L.; Jahromi, S.A.; Rashidi, M. A kinetic approach to carbon–iodide bond activation by rollover cycloplatinated(II) complexes containing monodentate phosphine ligands. J. Organomet. Chem. 2015, 781, 47–52. [Google Scholar] [CrossRef]
- Maidich, L.; Zucca, A.; Clarkson, G.J.; Rourke, J.P. Oxidative Addition of MeI to a Rollover Complex of Platinum(II): Isolation of the Kinetic Product. Organometallics 2013, 32, 3371–3375. [Google Scholar] [CrossRef]
- Zucca, A.; Maidich, L.; Canu, L.; Petretto, G.L.; Stoccoro, S.; Cinellu, M.A.; Clarkson, G.J.; Rourke, J.P. Rollover-Assisted C(sp2)-C(sp3) Bond Formation. Chem.-A Eur. J. 2014, 20, 5501–5510. [Google Scholar] [CrossRef] [PubMed]
- Aghakhanpour, R.B.; Rashidi, M.; Hosseini, F.N.; Raoof, F.; Nabavizadeh, S.M. Oxidation of a rollover cycloplatinated(II) dimer by MeI: A kinetic study. RSC Adv. 2015, 5, 66534–66542. [Google Scholar] [CrossRef]
- Raoof, F.; Boostanizadeh, M.; Esmaeilbeig, A.R.; Nabavizadeh, S.M.; Aghakhanpour, R.B.; Ghiassi, K.B.; Olmstead, M.M.; Balch, A.L. Reactivity comparison of five-and six-membered cyclometalated platinum(II) complexes in oxidative addition reactions. RSC Adv. 2015, 5, 85111–85121. [Google Scholar] [CrossRef]
- Jamali, S.; Nabavizadeh, S.M.; Rashidi, M. Binuclear Cyclometalated Organoplatinum Complexes Containing 1,1′-Bis(diphenylphosphino)ferrocene as Spacer Ligand: Kinetics and Mechanism of MeI Oxidative Addition. Inorg. Chem. 2008, 47, 5441–5452. [Google Scholar] [CrossRef]
- Chen, L.; Poë, A.J. Associative reactions of metal carbonyl clusters: Systematic kinetic studies of some ruthenium and other clusters. Coord. Chem. Rev. 1995, 143, 265–295. [Google Scholar] [CrossRef]
- Hu, J.; Nikravesh, M.; Shahsavari, H.R.; Aghakhanpour, R.B.; Rheingold, A.L.; Alshami, M.; Sakamaki, Y.; Beyzavi, H. A C^N Cycloplatinated(II) Fluoride Complex: Photophysical Studies and Csp3–F Bond Formation. Inorg. Chem. 2020, 59, 16319–16327. [Google Scholar] [CrossRef]
- Nazari, M.; Shahsavari, H.R. Strong red emissions induced by Pt–Pt interactions in binuclear cycloplatinated(II) complexes containing bridging diphosphines. Appl. Organomet. Chem. 2019, 33, 5020. [Google Scholar] [CrossRef]
- Shahsavari, H.R.; Giménez, N.; Lalinde, E.; Moreno, M.T.; Fereidoonnezhad, M.; Aghakhanpour, R.B.; Khatami, M.; Kalantari, F.; Jamshidi, Z.; Mohammadpour, M. Heterobimetallic PtII -AuI Complexes Comprising Unsymmetrical 1,1-Bis(diphenylphosphanyl)methane Bridges: Synthesis, Photophysical, and Cytotoxic Studies. Eur. J. Inorg. Chem. 2019, 2019, 1360–1373. [Google Scholar] [CrossRef]
- Shahsavari, H.R.; Aghakhanpour, R.B.; Nikravesh, M.; Ozdemir, J.; Haghighi, M.G.; Notash, B.; Beyzavi, M.H. Highly Emissive Cycloplatinated(II) Complexes Obtained by the Chloride Abstraction from the Complex [Pt(ppy)(PPh3)(Cl)]: Employing Various Silver Salts. Organometallics 2018, 37, 2890–2900. [Google Scholar] [CrossRef]
- Fereidoonnezhad, M.; Kaboudin, B.; Mirzaee, T.; Aghakhanpour, R.B.; Haghighi, M.G.; Faghih, Z.; Faghih, Z.; Ahmadipour, Z.; Notash, B.; Shahsavari, H.R. Cyclometalated Platinum(II) Complexes Bearing Bidentate O,O′-Di(alkyl)dithiophosphate Ligands: Photoluminescence and Cytotoxic Properties. Organometallics 2017, 36, 1707–1717. [Google Scholar] [CrossRef]
- Jamshidi, M.; Babaghasabha, M.; Shahsavari, H.R.; Nabavizadeh, S.M. The influence of thiolate ligands on the luminescence properties of cycloplatinated(ii) complexes. Dalton Trans. 2017, 46, 15919–15927. [Google Scholar] [CrossRef] [PubMed]
- Shahsavari, H.R.; Aghakhanpour, R.B.; Biglari, A.; Niazi, M.; Mastrorilli, P.; Todisco, S.; Gallo, V.; Lalinde, E.; Moreno, M.T.; Giménez, N.; et al. C(sp2)–C(sp2) Reductive Elimination from a Diarylplatinum(II) Complex Induced by a S–S Bond Oxidative Addition at Room Temperature. Organometallics 2020, 39, 417–424. [Google Scholar] [CrossRef]
- Chamyani, S.; Shahsavari, H.R.; Abedanzadeh, S.; Haghighi, M.G.; Shabani, S.; Notash, B. Carbon-iodide bond activation by cyclometalated Pt (II) complexes bearing tricyclohexylphosphine ligand: A comparative kinetic study and theoretical elucidation. Appl. Organomet. Chem. 2019, 33, e4674. [Google Scholar] [CrossRef]
- Shahsavari, H.R.; Aghakhanpour, R.B.; Hossein-Abadi, M.; Kia, R.; Raithby, P.R. Stable trans isomer as the kinetic and theromodynamic product for the oxidative addition of MeI to cycloplatinated(II) complexes comprising isocyanide ligands. Appl. Organomet. Chem. 2018, 32, e4216. [Google Scholar] [CrossRef]
- Shahsavari, H.R.; Aghakhanpour, R.B.; Fereidoonnezhad, M. An in-depth investigation on the C–I bond activation by rollover cycloplatinated(ii) complexes bearing monodentate phosphane ligands: Kinetic and kinetic isotope effect. New J. Chem. 2018, 42, 2564–2573. [Google Scholar] [CrossRef]
- Shahsavari, H.R.; Aghakhanpour, R.B.; Babaghasabha, M.; Haghighi, M.G.; Nabavizadeh, S.M.; Notash, B. Combined Kinetico-Mechanistic and Theoretical Elucidation of the Oxidative Addition of Iodomethane to Cycloplatinated(II) Complexes: Controlling the Rate of trans/cis Isomerization. Eur. J. Inorg. Chem. 2017, 2017, 2682–2690. [Google Scholar] [CrossRef]
- Zucca, A.; Maidich, L.; Carta, V.; Petretto, G.L.; Stoccoro, S.; Cinellu, M.A.; Pilo, M.I.; Clarkson, G.J. Cyclometalated Complexes of Platinum(II) with 2-Vinylpyridine. Eur. J. Inorg. Chem. 2014, 2014, 2278–2287. [Google Scholar] [CrossRef]
- Niazi, M.; Shahsavari, H.R. Cycloplatinated(II) complex bearing 2-vinylpyridine and monodentate phosphine ligands: Optical properties and kinetic study. J. Organomet. Chem. 2016, 803, 82–91. [Google Scholar] [CrossRef]
- Niazi, M.; Shahsavari, H.R. Organoplatinum(II) Complexes Featuring the 2-Vinylpyridine Ligand. ChemistrySelect 2016, 1, 1780–1783. [Google Scholar] [CrossRef]
- Facchetti, G.; Cesarotti, E.; Pellizzoni, M.; Zerla, D.; Rimoldi, I. “In situ” Activation of Racemic RuII Complexes: Separation of trans and cis Species and Their Application in Asymmetric Reduction. Eur. J. Inorg. Chem. 2012, 2012, 4365–4370. [Google Scholar] [CrossRef]
- Wilkins, R.G. Kinetics and Mechanism of Reactions of Transition Metal Complexes. In Kinetics and Mechanism of Reactions of Transition Metal Complexes; Wiley: Weinheim, Germany, 1991. [Google Scholar]
- Stoe & Cie. X–AREA: Program for the Acquisition and Analysis of Data, version 1.30; Stoe & Cie GmbH: Darmstadt, Germany, 2005. [Google Scholar]
- Farrugia, L.J. WinGX and ORTEP for Windows: An update. J. Appl. Cryst. 2012, 45, 849–854. [Google Scholar] [CrossRef]
- Coppens, P.; Leiserowitz, L.; Rabinovich, D. Calculation of absorption corrections for camera and diffractometer data. Acta Crystallogr. 1965, 18, 1035–1038. [Google Scholar] [CrossRef]
- Farrugia, L.J. WinGX suite for small-molecule single-crystal crystallography. J. Appl. Cryst. 1999, 32, 837–838. [Google Scholar] [CrossRef]
- Macrae, C.F.; Edgington, P.R.; McCabe, P.; Pidcock, E.; Shields, G.P.; Taylor, R.D.; Towler, M.; Van De Streek, J. Mercury: Visualization and analysis of crystal structures. J. Appl. Crystallogr. 2006, 39, 453–457. [Google Scholar] [CrossRef]
- Sheldrick, G.M. A short history of SHELX. Acta Crystallogr. Sect. A 2008, 64, 112–122. [Google Scholar] [CrossRef]
- Frisch, M.J.; Trucks, G.W.; Schlegel, H.B.; Scuseria, G.E.; Robb, M.A.; Cheeseman, J.R.; Scalmani, G.; Barone, V.; Mennucci, B.; Petersson, G.A.; et al. Gaussian 09; Revision A.02. Inc.: Wallingford, CT, USA, 2016; Available online: https://gaussian.com/g09citation/ (accessed on 20 January 2021).
- Becke, A.D. Density-functional thermochemistry. III. The role of exact exchange. J. Chem. Phys. 1993, 98, 5648–5652. [Google Scholar] [CrossRef]
- Miehlich, B.; Savin, A.; Stoll, H.; Preuss, H. Results obtained with the correlation energy density functionals of becke and Lee, Yang and Parr. Chem. Phys. Lett. 1989, 157, 200–206. [Google Scholar] [CrossRef]
- Lee, C.; Yang, W.; Parr, R.G. Development of the Colle-Salvetti correlation-energy formula into a functional of the electron density. Phys. Rev. B 1988, 37, 785–789. [Google Scholar] [CrossRef] [PubMed]
- Wadt, W.R.; Hay, P.J. Ab initio effective core potentials for molecular calculations. Potentials for main group elements Na to Bi. J. Chem. Phys. 1985, 82, 284–298. [Google Scholar] [CrossRef]
- Roy, L.E.; Hay, P.J.; Martin, R.L. Revised Basis Sets for the LANL Effective Core Potentials. J. Chem. Theory Comput. 2008, 4, 1029–1031. [Google Scholar] [CrossRef]
- Cossi, M.; Scalmani, G.; Rega, N.; Barone, V. New developments in the polarizable continuum model for quantum mechanical and classical calculations on molecules in solution. J. Chem. Phys. 2002, 117, 43–54. [Google Scholar] [CrossRef]
- Barone, V.; Cossi, M.; Tomasi, J. A new definition of cavities for the computation of solvation free energies by the polarizable continuum model. J. Chem. Phys. 1997, 107, 3210–3221. [Google Scholar] [CrossRef]
- Skripnikov, L. Chemissian: Software to Analyze Spectra, Build Density Maps and Molecular Orbitals. Version 2016, 4. Available online: https://www.chemissian.com/download (accessed on 20 January 2021).








| Complex | Excited State | Oscillator Strength | Calculated λ (nm) | Transitions (Major Contribution) | Assignment |
|---|---|---|---|---|---|
| 1a | S0 → S1 | 0.0569 | 372.78 | HOMO→LUMO (89%) | ILCT/MLCT |
| S0 → S2 | 0.0197 | 364.76 | H-1→LUMO (99%) | MLCT | |
| S0 → S3 | 0.1341 | 326.71 | H-2→LUMO (84%) | MLCT | |
| S0 → S4 | 0.0285 | 300.17 | HOMO→L+1 (93%) | ML′CT/LL′CT | |
| S0 → S10 | 0.1398 | 285.59 | HOMO→L+3 (86%) | ILCT/ML′CT | |
| 1b | S0 → S1 | 0.0465 | 373.00 | HOMO→LUMO (86%) | ILCT/MLCT |
| S0 → S2 | 0.0231 | 363.42 | H-1→LUMO (95%) | MLCT | |
| S0 → S3 | 0.1182 | 329.57 | H-2→LUMO (85%) | MLCT | |
| S0 → S8 | 0.1654 | 286.30 | HOMO→L+2 (80%) | ILCT/MLCT/MLʹCT | |
| 1c | S0 → S1 | 0.0436 | 374.56 | HOMO→LUMO (90%) | ILCT/MLCT |
| S0 →S2 | 0.0206 | 364.26 | H-1→LUMO (99%) | MLCT | |
| S0 →S3 | 0.1151 | 330.04 | H-2→LUMO (84%) | MLCT | |
| S0 → S5 | 0.1056 | 289.38 | HOMO→L+1 (76%) HOMO→L+2 (18%) | ML′CT/LL′CT ILCT/MLCT/ML′CT | |
| S0 → S6 | 0.0953 | 286.15 | HOMO→L+2 (73%) HOMO→L+1 (19%) | ILCT/MLCT/ML′CT ML′CT/LL′CT |
| Complex | State (Temp.) | λem/nm | τ/μs | Φ |
|---|---|---|---|---|
| 1a | Solid (298 K) Solid (77 K) | 550, 581max 530max, 575 | 0.9 4.1 | 0.01 0.04 |
| 1b | Solid (298 K) Solid (77 K) | 550, 579max 542max, 577 | 3.4 7.1 | 0.11 0.27 |
| 1c | Solid (298 K) Solid (77 K) | 550, 585max 543, 585max | 5.3 15.5 | 0.17 0.44 |
| Complex | L | 102 k2/L·mol−1·s−1 at Different Temperatures | ΔH#/kJ·mol−1 | ΔS#/J·K−1·mol−1 | ||||
|---|---|---|---|---|---|---|---|---|
| 10 °C | 15 °C | 20 °C | 25 °C | 30 °C | ||||
| 1a | PPh3 | 0.40 | 0.58 | 0.82 | 1.11 | 1.58 | 45.7 ± 0.1 | −129 ± 1 |
| 1bc | PPh2Me | 2.80 | 3.63 | 4.38 | 5.57 | 7.16 | 30.5 ± 0.1 | −166 ± 1 |
| 1c | PPhMe2 | 24.4 | 28.6 | 34.0 | 39.1 | 44.3 | 19.1 ± 0.1 | −189 ± 1 |
Publisher’s Note: MDPI stays neutral with regard to jurisdictional claims in published maps and institutional affiliations. |
© 2021 by the authors. Licensee MDPI, Basel, Switzerland. This article is an open access article distributed under the terms and conditions of the Creative Commons Attribution (CC BY) license (https://creativecommons.org/licenses/by/4.0/).
Share and Cite
Dolatyari, V.; Shahsavari, H.R.; Habibzadeh, S.; Babadi Aghakhanpour, R.; Paziresh, S.; Golbon Haghighi, M.; Halvagar, M.R. Photophysical Properties and Kinetic Studies of 2-Vinylpyridine-Based Cycloplatinated(II) Complexes Containing Various Phosphine Ligands. Molecules 2021, 26, 2034. https://doi.org/10.3390/molecules26072034
Dolatyari V, Shahsavari HR, Habibzadeh S, Babadi Aghakhanpour R, Paziresh S, Golbon Haghighi M, Halvagar MR. Photophysical Properties and Kinetic Studies of 2-Vinylpyridine-Based Cycloplatinated(II) Complexes Containing Various Phosphine Ligands. Molecules. 2021; 26(7):2034. https://doi.org/10.3390/molecules26072034
Chicago/Turabian StyleDolatyari, Vahideh, Hamid R. Shahsavari, Sepideh Habibzadeh, Reza Babadi Aghakhanpour, Sareh Paziresh, Mohsen Golbon Haghighi, and Mohammad Reza Halvagar. 2021. "Photophysical Properties and Kinetic Studies of 2-Vinylpyridine-Based Cycloplatinated(II) Complexes Containing Various Phosphine Ligands" Molecules 26, no. 7: 2034. https://doi.org/10.3390/molecules26072034
APA StyleDolatyari, V., Shahsavari, H. R., Habibzadeh, S., Babadi Aghakhanpour, R., Paziresh, S., Golbon Haghighi, M., & Halvagar, M. R. (2021). Photophysical Properties and Kinetic Studies of 2-Vinylpyridine-Based Cycloplatinated(II) Complexes Containing Various Phosphine Ligands. Molecules, 26(7), 2034. https://doi.org/10.3390/molecules26072034

