Ethanol to Acetaldehyde Conversion under Thermal and Microwave Heating of ZnO-CuO-SiO2 Modified with WC Nanoparticles
Abstract
1. Introduction
2. Results and Discussion
2.1. Features of Microwave Heating
2.2. Results of Thermodynamic Calculations
2.3. Catalytic Results under Thermal and Microwave Heating
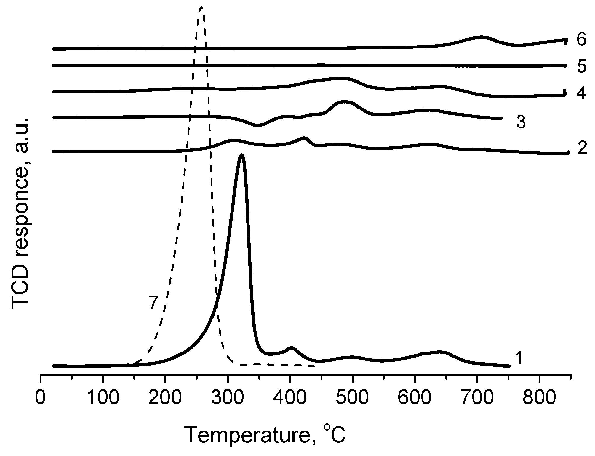
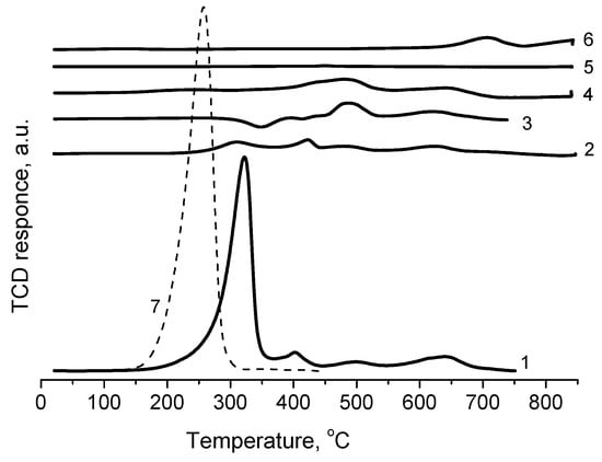
2.4. Results of Physicochemical Investigation of the Catalysts
3. Materials and Methods
3.1. Catalyst Preparation and Characterization
3.2. Catalytic Reaction
3.3. DRIFTS
3.4. XRD
3.5. TPR-H2
4. Conclusions
Author Contributions
Funding
Institutional Review Board Statement
Informed Consent Statement
Data Availability Statement
Conflicts of Interest
Sample Availability
References
- Timofeev, V.S. Principles of Technology of Basic Organic and Petrochemical Synthesis; Timofeev, V.S., Serafimov, L.A., Eds.; Higher School: Moscow, Russia, 2003; 536p. [Google Scholar]
- Freni, S.; Mondello, N.; Cavallaro, S.; Cacciola, G.; Parmon, V.N.; Sobyanin, V.A. Hydrogen production by steam reforming of ethanol: A two step process. React. Kinet. Catal. Lett. 2000, 71, 143–152. [Google Scholar] [CrossRef]
- Church, J.M.; Joshi, H.K. Acetaldehyde by dehydrogenation of ethyl alcohol. Ind. Eng. Chem. Res. 2004, 43, 1804–1811. [Google Scholar] [CrossRef]
- Iwasa, N.; Takezawa, N. Reforming of ethanol—Dehydrogenation to ethyl acetate and steam reforming to acetic acid over copper-based catalysts. Bull. Chem. Soc. Jpn. 1991, 64, 2619–2623. [Google Scholar] [CrossRef]
- Chang, F.W.; Yang, H.C.; Roselin, L.S.; Kuo, W.Y. Ethanol dehydrogenation over copper catalysts on rice husk ash prepared by ion exchange. Appl. Catal. A Gen. 2006, 304, 30–39. [Google Scholar] [CrossRef]
- Zonetti, P.C.; Celnik, J.; Letichevsky, S.; Gaspar, A.B.; Appel, L.G. Chemicals from ethanol—The dehydrogenative route of the ethyl acetate one-pot synthesis. J. Mol. Catal. A Chem. 2011, 334, 29–34. [Google Scholar] [CrossRef]
- Sinev, I.M.; Kustov, L.M. Microwave activation of catalysts and catalytic processes. Russ. J. Phys. Chem. 2010, 84, 1835–1856. [Google Scholar]
- Tretyakov, V.F.; Talyshinsky, R.M.; Ilolov, A.M. Initiated transformation of ethanol into divinyl by Lebedev reaction. Petrochemistry 2014, 54, 195–206. [Google Scholar]
- Tarasov, A.L.; Kustov, L.M.; Greish, A.A. A Method for Preparing a Catalyst for Oxidative Condensation of Methane, a Catalyst Prepared by this Method, and a Method for Oxidative Condensation of Methane Using a Catalyst. Russian Patent 2515497, 14 March 2014. [Google Scholar]
- Tarasov, A.L. The ethanol to acetaldehyde conversion activated by microwave radiation. Russ. Chem. Bull. 2018, 67, 1390–1393. [Google Scholar] [CrossRef]
- Davydov, A.A. Molecular Spectroscopy of Oxide Catalyst Surfaces; Wiley Interscience Publ.: Hoboken, NJ, USA, 2003; 466p. [Google Scholar]
- Hadjiivanov, K.I.; Vayssilov, G.N. Characterization of oxide surfaces and zeolites by carbon monoxide as an IR probe molecule. Adv. Catal. 2002, 47, 307–501. [Google Scholar]
- Alexeev, O.; Graham, G.W.; Kim, D.W.; Shelef, M.; Gates, B.C. γ-Al2O3-supported Pt-W catalysts prepared from molecular organometallic precursors: Characterization by infrared spectroscopy. Phys. Chem. Chem. Phys. 1999, 1, 5725–5733. [Google Scholar] [CrossRef]
- Balkenende, A.R.; Van der Grift, C.J.G.; Meulenkamp, E.A.; Geus, J.W. Characterization of the surface of a Cu/SiO2 catalyst exposed to NO and CO using IR spectroscopy. Appl. Surf. Sci. 1993, 68, 161–171. [Google Scholar] [CrossRef]
- Millar, G.J.; Rochester, C.H.; Waugh, K.C. Infrared study of CO, CO2, H2 and H2O interactions on potassium-promoted reduced and oxidized silica-supported copper catalysts. J. Chem. Soc. Faraday Trans. 1992, 88, 1477–1488. [Google Scholar] [CrossRef]
- Suvanto, M.; Pakkanen, T.A. Deposition of tungsten hexacarbonyl on alumina: A diffuse reflectance infrared Fourier transform spectroscopy study. J. Mol. Catal. A 1999, 138, 211–220. [Google Scholar] [CrossRef]
- Wang, X.; Ma, K.; Guo, L.; Tiana, Y.; Cheng, Q.; Bai, X.; Huang, J.; Ding, T.; Li, X. Cu/ZnO/SiO2 catalyst synthesized by reduction of ZnO-modified copper phyllosilicate for dimethyl ether steam reforming. Appl. Catal. A Gen. 2017, 540, 37–46. [Google Scholar] [CrossRef]





| Composition (wt%) | Specific Surface Area (BET), m2 g−1 |
|---|---|
| ZnO: 25.1; CuO: 64.7; SiO2: 10.2 | 185 |
| ZnO: 22.8; CuO: 58.8; SiO2: 9.2; WC: 9.1 | 245 |
| T, °C | Thermal Heating | Thermodynamic Data, Figure 1 | |||
|---|---|---|---|---|---|
| C, % | S, % | Productivity, μmolAA/(gcat h) | C (%) | S (%) | |
| 200 | 34.2 | 10.8 | 2.4 | 73.0 | 5.2 |
| 300 | 69.1 | 33.1 | 14.8 | 85.0 | 30.0 |
| 400 | 92.8 | 72.7 | 44.0 | 94.5 | 77.9 |
Publisher’s Note: MDPI stays neutral with regard to jurisdictional claims in published maps and institutional affiliations. |
© 2021 by the authors. Licensee MDPI, Basel, Switzerland. This article is an open access article distributed under the terms and conditions of the Creative Commons Attribution (CC BY) license (http://creativecommons.org/licenses/by/4.0/).
Share and Cite
Kustov, A.L.; Tarasov, A.L.; Tkachenko, O.P.; Mishin, I.V.; Kapustin, G.I.; Kustov, L.M. Ethanol to Acetaldehyde Conversion under Thermal and Microwave Heating of ZnO-CuO-SiO2 Modified with WC Nanoparticles. Molecules 2021, 26, 1955. https://doi.org/10.3390/molecules26071955
Kustov AL, Tarasov AL, Tkachenko OP, Mishin IV, Kapustin GI, Kustov LM. Ethanol to Acetaldehyde Conversion under Thermal and Microwave Heating of ZnO-CuO-SiO2 Modified with WC Nanoparticles. Molecules. 2021; 26(7):1955. https://doi.org/10.3390/molecules26071955
Chicago/Turabian StyleKustov, Alexander L., Andrey L. Tarasov, Olga P. Tkachenko, Igor V. Mishin, Gennady I. Kapustin, and Leonid M. Kustov. 2021. "Ethanol to Acetaldehyde Conversion under Thermal and Microwave Heating of ZnO-CuO-SiO2 Modified with WC Nanoparticles" Molecules 26, no. 7: 1955. https://doi.org/10.3390/molecules26071955
APA StyleKustov, A. L., Tarasov, A. L., Tkachenko, O. P., Mishin, I. V., Kapustin, G. I., & Kustov, L. M. (2021). Ethanol to Acetaldehyde Conversion under Thermal and Microwave Heating of ZnO-CuO-SiO2 Modified with WC Nanoparticles. Molecules, 26(7), 1955. https://doi.org/10.3390/molecules26071955

