Biodegradable and Biocompatible Silatrane Polymers
Abstract
1. Introduction
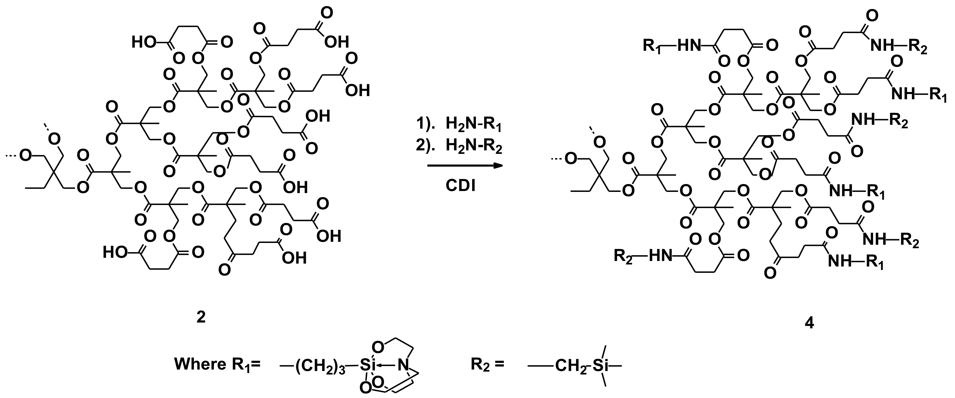
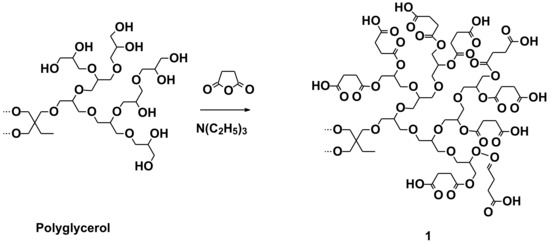
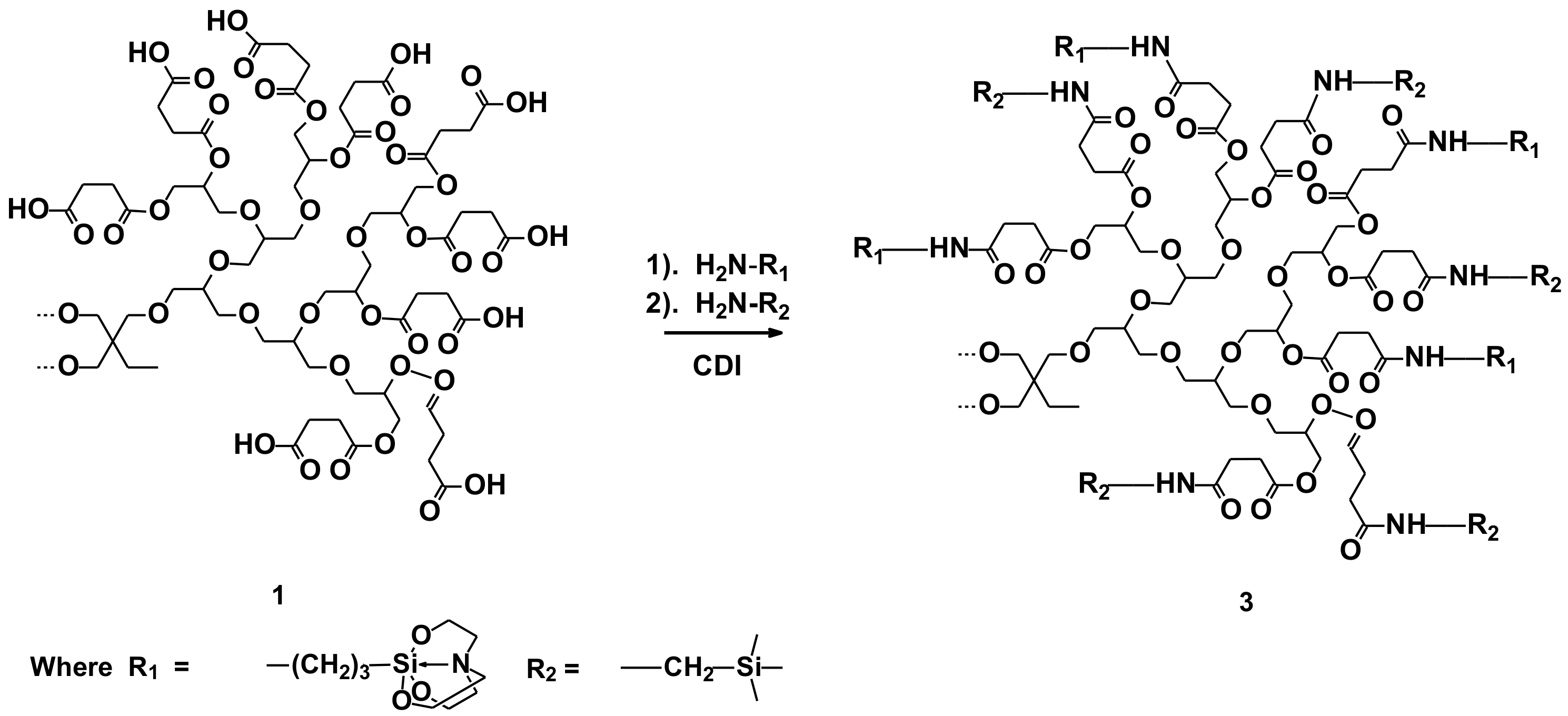
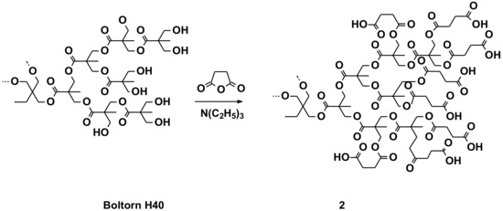
2. Results
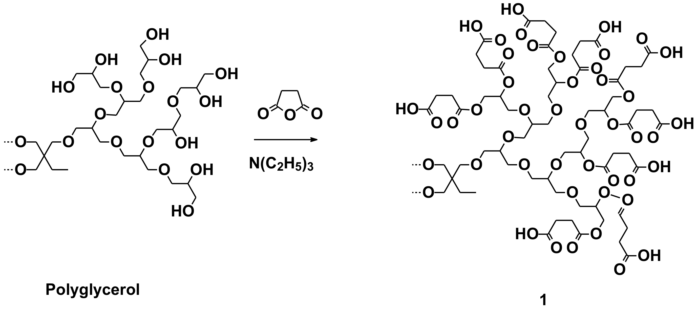
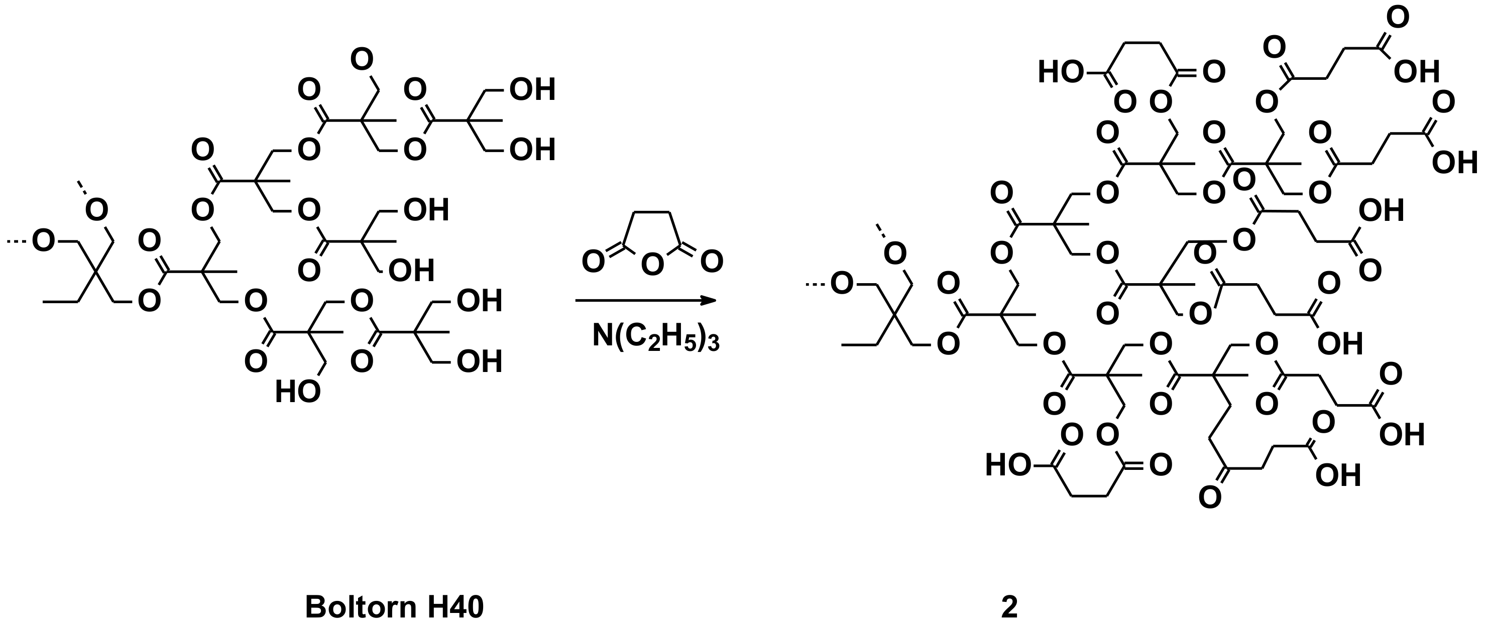
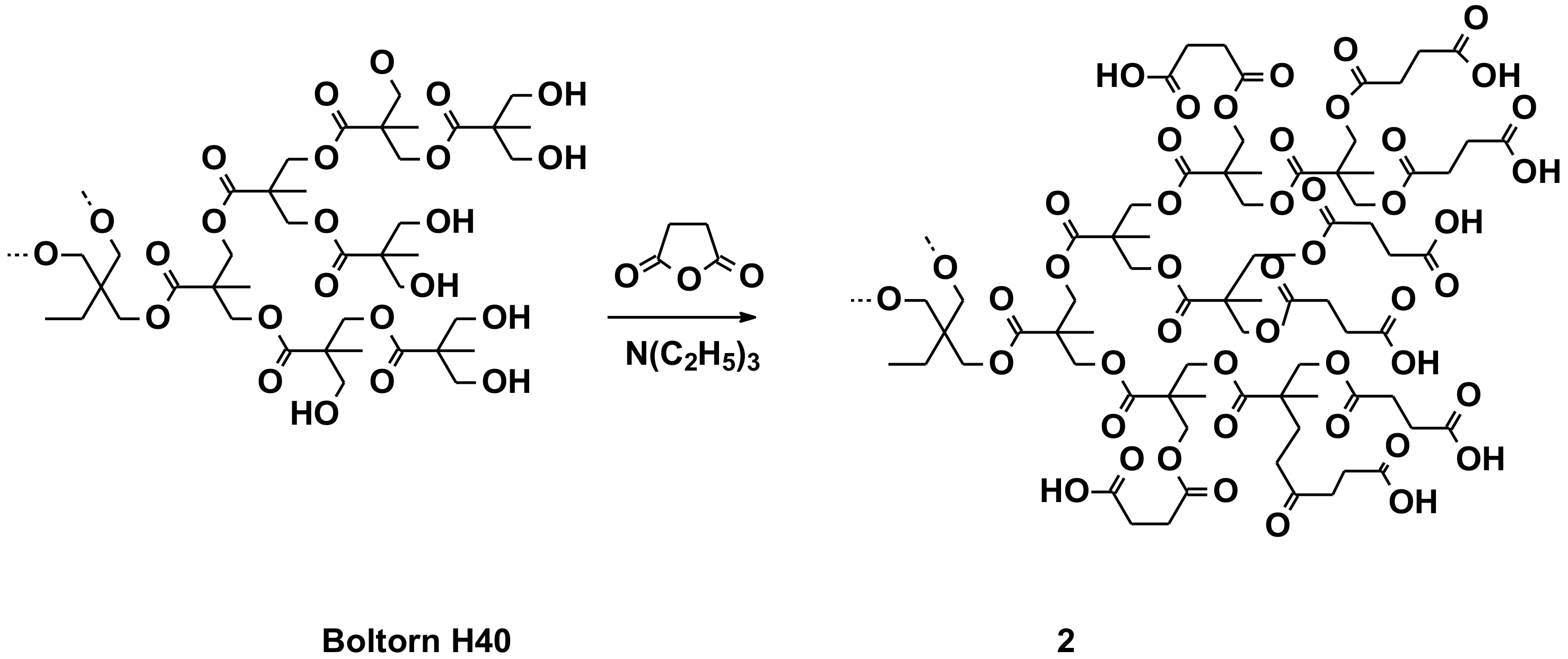
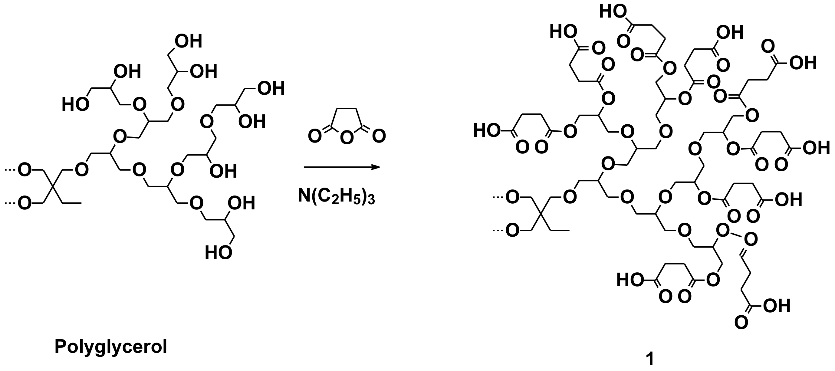
2.1. Polymer Structure Elucidation
2.2. Polymer Properties
3. Materials and Methods
3.1. Initial Materials
3.2. Polymer Syntheses
3.2.1. Synthesis of 1-(3-aminopropyl)silatrane
3.2.2. Synthesis of Polyglycerol and Boltorn H40 with a Carboxyl-Terminal Group (H40-COOH)
3.2.3. Synthesis of Amphiphilic Polyglycerol and Boltorn H40
3.3. Characterization Studies
3.4. Critical Micelle Concentration Measurements
3.5. Direct and Reverse Emulsions Measurements
3.6. Contact Angle Measurements
3.7. Antifungal Activity Studies
3.8. Seed Germination Studies
4. Conclusions
Author Contributions
Funding
Institutional Review Board Statement
Informed Consent Statement
Data Availability Statement
Acknowledgments
Conflicts of Interest
Sample Availability
References
- Chasin, M.; Langer, R. Biodegradable Polymers as Drug Delivery Systems; Marcel Dekker, Inc.: New York, NY, USA, 1990. [Google Scholar]
- Patel, B.; Chakraborty, S. Biodegradable polymers: Emerging excipients for the pharmaceutical and medical device industries. J. Excip. Food Chem. 2013, 4, 126–157. [Google Scholar]
- Singh, M.; Singh, D.; Kanwar, J.; Chauhan, N. Advances and Avenues in the Development of Novel Carriers for Bioactives and Biological Agents; Academic Press: San Diego, CA, USA, 2020. [Google Scholar]
- Tian, H.; Tang, Z.; Zhuang, X.; Chen, X.; Jing, X. Biodegradable synthetic polymers: Preparation, functionalization and biomedical application. Prog. Polym. Sci. 2012, 37, 237–280. [Google Scholar] [CrossRef]
- Rosen, M.R. Delivery System Handbook for Personal Care and Cosmetic Products. Technology, Applications, and Formulations; William Andrew, Inc.: Norvich, CT, USA, 2005. [Google Scholar]
- Fanun, M. Colloids in Drug Delivery; Taylor & Francis Group: Boca Raton, FL, USA, 2010. [Google Scholar]
- Malmsten, M. Surfactants and Polymers in Drug Delivery; Marcel Dekker, Inc.: New York, NY, USA, 2002. [Google Scholar]
- Kumar, N.; Ravikumar, M.N.V.; Domb, A.J. Biodegradable block copolymers. Adv. Drug Deliv. Rev. 2001, 53, 23–44. [Google Scholar] [CrossRef]
- Madaan, K.; Kumar, S.; Poonia, N.; Lather, V.; Pandita, D. Dendrimers in drug delivery and targeting: Drug-dendrimer interactions and toxicity issues. J. Pharm. Bioallied Sci. 2013, 6, 139–150. [Google Scholar] [CrossRef]
- Fabozzi, A.; Krauss, I.R.; Vitiello, R.; Fornasier, M.; Sicignano, L.; King, S.; Guido, S.; Jones, C.; Paduano, L.; Murgia, S.; et al. Branched alkyldimethylamine oxide surfactants: An effective strategy for the design of high concentration/low viscosity surfactant formulations. J. Colloid Interface Sci. 2019, 552, 448–463. [Google Scholar] [CrossRef]
- Noriega-Luna, B.; Godínez, L.A.; Rodríguez, F.J.; Rodríguez, A.; Zaldívar-Lelo de Larrea, G.; Sosa-Ferreyra, C.F.; Mercado-Curiel, R.F.; Manríquez, J.; Bustos, E. Applications of Dendrimers in Drug Delivery Agents, Diagnosis, Therapy, and Detection. J. Nanomater. 2014, 507273. [Google Scholar] [CrossRef]
- Istratov, V.V.; Krupina, T.V.; Gomzyak, V.I.; Vasnev, V.A. Development and characterization of bioresorbable polyglycerol esters and drug-loaded microparticles. High Perform. Polym. 2017, 29, 708–715. [Google Scholar] [CrossRef]
- Ostroumov, S.A. Biological Effects of Surfactants; CRC Press, Taylor & Francis: Boca Raton, FL, USA; London, UK; New York, NY, USA, 2005. [Google Scholar]
- El-Shahawi, M.M.; Shalaby, A.A.S.; Gabre, A.M.E.; Ghonim, A.E.M. Surface active properties and biological activities of novel anionic surfactant based on oxapyridazinone derivatives. Surfact. Deterg. 2016, 19, 137–144. [Google Scholar] [CrossRef]
- Schreier, S.; Malheiros, S.V.P.; de Paula, E. Surface active drugs: Self-association and interaction with membranes and surfactants. Physicochemical and biological aspects. Biochim. Biophys. Acta 2000, 1508, 210–234. [Google Scholar] [CrossRef]
- Tavano, L.; Nicoletta, F.P.; Picci, N.; Muzzalupo, R. Cromolyn as surface active drug (surfadrug): Effect of theself-association on diffusion and percutaneous permeation. Colloids Surf. B Biointerfaces 2016, 132–137. [Google Scholar] [CrossRef]
- Tavano, L.; Mazzotta, E.; Muzzalupo, R. Innovative topical formulations from diclofenac sodium used assurfadrug: The birth of Diclosomes. Colloids Surf. B Biointerfaces 2018, 177–184. [Google Scholar] [CrossRef]
- Voronkov, M.G. Silatranes: Intra-complex heterocyclic compounds of pentacordinated silicon. Pure Appl. Chem. 1966, 13, 35–60. [Google Scholar] [CrossRef]
- Baryshok, V.P.; Voronkov, M.G. Atranes as a new generation of biologically active substances. Her. Russ. Acad. Sci. 2010, 80, 514–521. [Google Scholar] [CrossRef]
- Puri, J.K.; Singh, R.; Chahal, V.K. Silatranes: A review on their synthesis, structure, reactivity and applications. Chem. Soc. Rev. 2011, 40, 1791–1840. [Google Scholar] [CrossRef]
- Xie, Z.-X.; Chen, L.-F.; Wang, Y.-W.; Song, X.-Q.; Qi, X.-L.; Guo, P.; Ye, F.-Q. Synthesis and stimulation of seed germination of γ-aminopropyl silatrane derivatives. Phytochem. Lett. 2014, 8, 202–206. [Google Scholar] [CrossRef]
- Voronkov, M.G.; Dolmaa, G.; Tserenpil, S.H.; Ugtakhbayar, O.; Chimidtsogzol, A. Stimulation of Barley Seed Germination by Micromolar Aqueous Solutions of Silatrane and Cresacin. Dokl. Biol. Sci. 2005, 404, 367–369. [Google Scholar] [CrossRef] [PubMed]
- Tseng, Y.-T.; Lu, H.-Y.; Li, J.-R.; Tung, W.-J.; Chen, W.-H.; Chau, L.-K. Facile Functionalization of Polymer Surfaces in Aqueous and Polar Organic Solvents via 3-Mercaptopropylsilatrane. ACS Appl. Mater. Interfaces 2016, 8, 34159–34169. [Google Scholar] [CrossRef]
- Kemmitt, T.; Henderson, W. Dendrimeric silatrane wedges. J. Chem. Soc. Perkin Trans. 1997, 1, 729–740. [Google Scholar] [CrossRef]
- Mizumo, T.; Kajihara, T.; Yamada, T.; Ohshita, J. Preparation and utilization of poly(methacryloylsilatrane) as a salt-dissociation enhancer in PEO-based polymer electrolytes. Polym. Adv. Technol. 2013, 24, 705–714. [Google Scholar] [CrossRef]
- Alentiev, D.A.; Dzhaparidze, D.M.; Chapala, P.P.; Bermeshev, M.V.; Belov, N.A.; Nikiforov, R.Y.; Starannikova, L.E.; Yampolskii, Y.P.; Finkelshteina, E.S. Synthesis and Properties of Metathesis Polymer Based on 3-Silatranyltricyclo non-7-ene. Polym. Sci. Ser. B 2018, 60, 612–620. [Google Scholar] [CrossRef]
- Alentiev, D.A.; Dzhaparidze, D.M.; Bermeshev, M.V. Addition Polymerization of Tricyclononene Containing Silatrane Groups. Polym. Sci. Ser. B 2019, 61, 806–811. [Google Scholar] [CrossRef]
- Sunder, A.; Hanselmann, R.; Frey, H.; Mülhaupt, R. Controlled Synthesis of Hyperbranched Polyglycerols by Ring-Opening Multibranching Polymerization. Macromolecules 1999, 32, 4240–4246. [Google Scholar] [CrossRef]
- Luciani, A.; Plummer, C.J.G.; Nguyen, T.; Garamszegi, L.S.; Menson, J.-A.E. Rheological and Physical Properties of Aliphatic Hyperbranched Polyesters. J. Polym. Sci. Part B Polym. Phys. 2004, 42, 1218–1225. [Google Scholar] [CrossRef]
- Singh, G.; Saroa, A.; Girdhar, S.; Rani, S.; Sahoo, S.; Choquesillo-Lazarte, D. Synthesis, characterization, electronic absorption and antimicrobial studies of N-(silatranylpropyl)phthalimide derived from phthalic anhydride. Inorg. Chim. Acta 2015, 427, 232–239. [Google Scholar] [CrossRef]
- Armarego, W.L.F.; Li, C.; Chai, L. Purification of Laboratory Chemicals, 5th ed.; Butterworth Heinemann: Amsterdam, The Netherlands, 2003. [Google Scholar]
- Dumitriu, A.-M.-C.; Cazacu, M.; Shova, S.; Turta, C.; Simionescu, B.C. Synthesis and structural characterization of 1-(3-aminopropyl)silatrane and some new derivatives. Polyhedron 2012, 33, 119–126. [Google Scholar] [CrossRef]
- Griffin, W.C. Calculation of HLB Values of Non-Ionic Surfactants. J. Soc. Cosm. Chem. 1954, 5, 249–256. [Google Scholar]
- Istratov, V.; Kim, H.Y.-K.; Schubert, R.; Frey, H. Linear-Dendritic Nonionic Poly(propylene oxide)—Polyglycerol Surfactants. Tetrahedron 2003, 59, 4017–4024. [Google Scholar] [CrossRef]
- Bilay, V.I. Metody Experimental’noy Micologii [Methods of Experimental Mycology]; Naukova Dumka: Kiev, Ukraine, 1982. [Google Scholar]
- International Seed Testing Association (ISTA). International Rules for Seed Testing; International Seed Testing Association: Zurich, Switzerland, 2010. [Google Scholar]















| Polymer | Yield,% | Ratio of R1 to R2 Substituents 1 | Mn 2 | Mw/Mn 2 | Intrinsic Viscosity dL/g (25 °C) | |
|---|---|---|---|---|---|---|
| Calculated | Measured | |||||
| 3a | 96 | 10:90 | 10:90 | 8150 | 2.3 | 4.445 |
| 3b | 94 | 30:70 | 28:72 | 7950 | 2.6 | 4.622 |
| 3c | 96 | 60:40 | 58:42 | 8300 | 2.8 | 4.818 |
| 3d | 93 | 90:10 | 90:10 | 8450 | 3.1 | 5.136 |
| 4a | 97 | 10:90 | 9:91 | 8250 | 2.7 | 1.554 |
| 4b | 98 | 30:70 | 29:71 | 7600 | 3.2 | 1.713 |
| 4c | 96 | 60:40 | 56:44 | 8700 | 3.1 | 1.932 |
| 4d | 93 | 90:10 | 88:12 | 8900 | 3.4 | 2.282 |
| Polymer | HLB | CMC, M | Polymer | HLB | CMC, M |
|---|---|---|---|---|---|
| 3a | 1.6 | 1.4 × 10−4 | 4a | 1.3 | 9.8 × 10−5 |
| 3b | 4.2 | 7.1 × 10−3 | 4b | 4.0 | 4.6 × 10−4 |
| 3c | 7.6 | 5.6 × 10−2 | 4c | 6.9 | 8.1 × 10−3 |
| 3d | 10.5 | 7.1 × 10−1 | 4d | 9.7 | 1.4 × 10−2 |
| Polymer | Glass | Parafilm | Polymer | Glass | Parafilm |
|---|---|---|---|---|---|
| 3a | 30 | 43 | 4a | 32 | 37 |
| 3b | 26 | 56 | 4b | 27 | 51 |
| 3c | 23 | 71 | 4c | 19 | 63 |
| 3d | 18 | 86 | 4d | 22 | 71 |
| Polymer | Radial Size of Verticillium dahlia Colonies (cm), after Time t, Days | |||||
|---|---|---|---|---|---|---|
| 2 | 3 | 4 | 5 | 6 | 7 | |
| Water (control) | 1.7 | 2.4 | 3.2 | 4.1 | 4.8 | 5.7 |
| 3c | 1.3 | 2.0 | 2.8 | 3.3 | 4.0 | 4.9 |
| 3d | 0.5 | 0.8 | 1.2 | 1.6 | 2.2 | 2.8 |
| 4c | 1.2 | 1.7 | 2.3 | 3.0 | 3.5 | 4.3 |
| 4d | 0.6 | 0.9 | 1.3 | 1.6 | 2.0 | 2.3 |
| Polymer | Wheat | Oat | Rye | |||
|---|---|---|---|---|---|---|
| GP | MGT | GP | MGT | GP | MGT | |
| − 1 | 78.3 ± 0.6 | 3.9± 0.03 | 77.67 ± 0.57 | 3.81 ± 0.04 | 69.00 ± 1.00 | 4.43 ± 0.06 |
| 3d | 91.0 ± 1.0 | 3.9± 0.07 | 95.33 ± 0.57 | 3.50 ± 0.15 | 88.33 ± 0.57 | 4.43 ± 0.07 |
| 4d | 89.0 ± 1.0 | 3.9 ± 0.07 | 97.00 ± 1.00 | 3.59 ± 0.16 | 92.33 ± 0.57 | 4.36 ± 0.02 |
Publisher’s Note: MDPI stays neutral with regard to jurisdictional claims in published maps and institutional affiliations. |
© 2021 by the authors. Licensee MDPI, Basel, Switzerland. This article is an open access article distributed under the terms and conditions of the Creative Commons Attribution (CC BY) license (http://creativecommons.org/licenses/by/4.0/).
Share and Cite
Istratov, V.V.; Vasnev, V.A.; Markova, G.D. Biodegradable and Biocompatible Silatrane Polymers. Molecules 2021, 26, 1893. https://doi.org/10.3390/molecules26071893
Istratov VV, Vasnev VA, Markova GD. Biodegradable and Biocompatible Silatrane Polymers. Molecules. 2021; 26(7):1893. https://doi.org/10.3390/molecules26071893
Chicago/Turabian StyleIstratov, Vladislav V., Valerii A. Vasnev, and Galy D. Markova. 2021. "Biodegradable and Biocompatible Silatrane Polymers" Molecules 26, no. 7: 1893. https://doi.org/10.3390/molecules26071893
APA StyleIstratov, V. V., Vasnev, V. A., & Markova, G. D. (2021). Biodegradable and Biocompatible Silatrane Polymers. Molecules, 26(7), 1893. https://doi.org/10.3390/molecules26071893

