Genome Mining, Heterologous Expression, Antibacterial and Antioxidant Activities of Lipoamides and Amicoumacins from Compost-Associated Bacillus subtilis fmb60
Abstract
1. Introduction
2. Results
2.1. Genome Sequencing, Annotation, and Bioinformatics Analysis
2.2. Isolation and Characterization of Lipoamides
2.3. Isolation and Characterization of New Amicoumacins
2.4. Direct Cloning and Heterologous Expression of NRPS/PKS Gene Cluster
2.5. Direct Cloning and Heterologous Expression of NRPS/PKS Gene Cluster and ace Gene Cluster
2.6. Antimicrobial Bioassay of Lipoamides and Amicoumacins
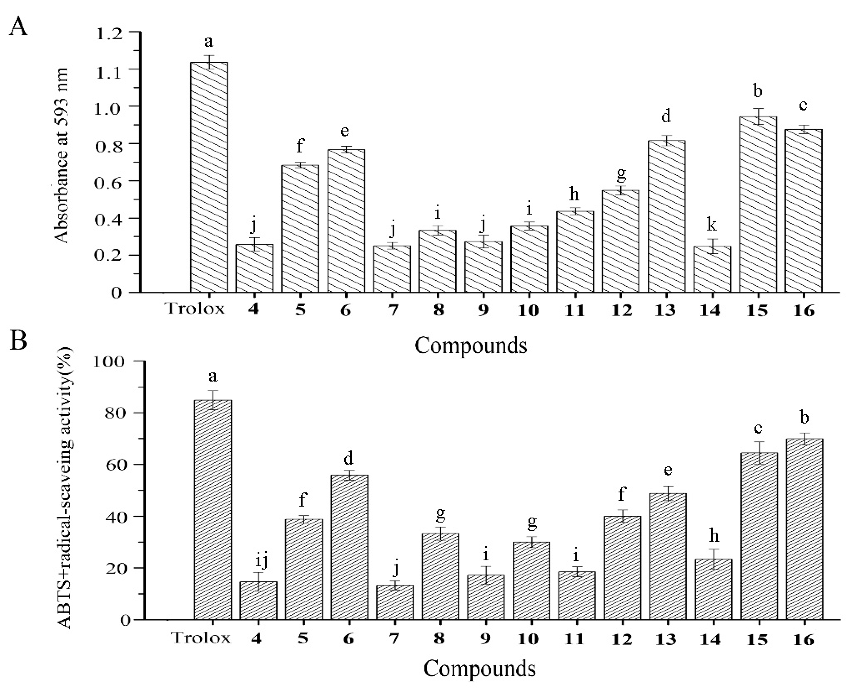
2.7. Assay of FRAP Activities and ABTS+ Radical Scavenging
3. Discussion
4. Materials and Methods
4.1. Bacterial Strains and Culture Conditions
4.2. Genome Sequencing, Annotation, and Bioinformatics Analysiszz
4.3. Isolation and Purification of Lipoamides and Amicoumacins
4.4. Determination of Amicoumacins by HPLC-MS
4.5. NMR Spectroscopy Identification
4.6. B. subtilis fmb60 Genomic DNA Isolation
4.7. Direct Cloning of the NRPS/PKS and ace Gene Clusters
4.8. Heterologous Expression of NRPS/PKS and ace Gene Clusters in E. coli
4.9. Minimal Inhibitory Concentration (MIC) Assays and the Effects of Antimicrobials on Bacterial Morphology
4.10. Assay of ABTS+ Radical Scavenging and Ferric-Reducing Activity
4.11. Data Processing
5. Conclusions
Supplementary Materials
Author Contributions
Funding
Institutional Review Board Statement
Informed Consent Statement
Data Availability Statement
Conflicts of Interest
Sample Availability
References
- Guan, Z.; Xue, D.; Abdallah, I.I.; Dijkshoorn, L.; Setroikromo, R.; Lv, G.; Quax, W.J. Metabolic engineering of Bacillus subtilis for terpenoid production. Appl. Microbiol. Biotechnol. 2015, 99, 9395–9406. [Google Scholar] [CrossRef] [PubMed]
- Shafi, J.; Tian, H.; Ji, M. Bacillus species as versatile weapons for plant pathogens: A review. Biotechnol. Biotechnol. Equip. 2017, 31, 446–459. [Google Scholar] [CrossRef]
- Stein, T. Bacillus subtilis antibiotics: Structures, syntheses and specific functions. Mol. Microbiol. 2005, 56, 845–857. [Google Scholar] [CrossRef] [PubMed]
- Kaspar, F.; Neubauer, P.; Gimpel, M. Bioactive secondary metabolites from Bacillus subtilis: A comprehensive review. J. Nat. Prod. 2019, 82, 2038–2053. [Google Scholar] [CrossRef]
- Guo, S.; Li, X.; He, P.; Ho, H.; Wu, Y.; He, Y. Whole-genome sequencing of Bacillus subtilis XF-1 reveals mechanisms for biological control and multiple beneficial properties in plants. J. Ind. Microbiol. Biotechnol. 2015, 42, 925–937. [Google Scholar] [CrossRef]
- Wang, Z.J.; Zhou, H.; Zhong, G.; Huo, L.J.; Tang, Y.J.; Zhang, Y.M.; Bian, X.Y. genome mining and biosynthesis of primary amine-acylated desferrioxamines in a marine gliding bacterium. Org. Lett. 2020, 22, 939–943. [Google Scholar] [CrossRef] [PubMed]
- Winter, J.M.; Behnken, S.; Hertweck, C. Genomics-inspired discovery of natural products. Curr. Opin. Chem. Biol. 2011, 15, 22–31. [Google Scholar] [CrossRef] [PubMed]
- Dunlap, C.A.; Bowman, M.J.; Schisler, D.A. Genomic analysis and secondary metabolite production in Bacillus amyloliquefaciens AS 43.3: A biocontrol antagonist of fusarium head blight. Biol. Control. 2013, 64, 166–175. [Google Scholar] [CrossRef]
- Wen, Y.; Wu, X.; Teng, Y.; Qian, C.; Zhan, Z.; Zhao, Y.; Li, O. Identification and analysis of the gene cluster involved in biosynthesis of paenibactin, a catecholate siderophore produced by Paenibacillus elgii B69. Environ. Microbiol. 2011, 13, 2726–2737. [Google Scholar] [CrossRef]
- Nikolouli, K.; Mossialos, D. Bioactive compounds synthesized by non-ribosomal peptide synthetases and type-I polyketide synthases discovered through genome-mining and metagenomics. Biotechnol. Lett. 2012, 34, 1393–1403. [Google Scholar] [CrossRef]
- Mizuno, C.M.; Kimes, N.E.; López-Pérez, M.; Ausó, E.; Rodriguez-Valera, F.; Ghai, R. A hybrid NRPS-PKS gene cluster related to the bleomycin family of antitumor antibiotics in Alteromonas macleodii strains. PLoS ONE 2013, 8, e76021. [Google Scholar]
- Ugai, T.; Minami, A.; Gomi, K.; Oikawa, H. Genome mining approach for harnessing the cryptic gene cluster in Alternaria solani: Production of PKS–NRPS hybrid metabolite, didymellamide B. Tetrahedron Lett. 2016, 57, 2793–2796. [Google Scholar] [CrossRef]
- Reimer, D.; Bode, H.B. A natural prodrug activation mechanism in the biosynthesis of nonribosomal peptides. Nat. Prod. Rep. 2014, 31, 154–159. [Google Scholar] [CrossRef] [PubMed]
- Fu, J.; Bian, X.Y.; Hu, S.B.; Wang, H.L.; Huang, F. Full-length rece enhances linear-linear homologous recombination and facilitates direct cloning for bioprospecting. Nat. Biotechnol. 2012, 30, 440–446. [Google Scholar] [CrossRef] [PubMed]
- Wang, H.L.; Li, Z.; Jia, R.N.; Yin, J.; Li, A.Y.; Xia, L.Q.; Yin, Y.L.; Müller, R.; Fu, J.; Stewart, A.F.; et al. ExoCET: Exonuclease in vitro assembly combined with RecET recombination for highly efficient direct DNA cloning from complex genomes. Nucleic Acids Res. 2018, 46, e28. [Google Scholar] [CrossRef] [PubMed]
- Yang, J.; Zhu, X.; Cao, M.; Wang, C.; Zhang, C.; Lu, Z.; Lu, F. Genomics-inspired discovery of three antibacterial active metabolites, aurantinins B, C, and D from compost-associated Bacillus subtilis fmb60. J. Agric. Food Chem. 2016, 64, 8811–8820. [Google Scholar] [CrossRef] [PubMed]
- Song, J.Y.; Kim, H.A.; Kim, J.S.; Kim, S.Y.; Jeong, H.; Kang, S.G.; Kim, B.K.; Kwon, S.K.; Lee, C.H.; Yu, D.S. Genome sequence of the plant growth-promoting rhizobacterium Bacillus sp. strain JS. J. Bacteriol. 2012, 194, 3760–3761. [Google Scholar] [CrossRef]
- Zhou, T.; Zeng, H.; Qiu, D.; Yang, X.; Wang, B.; Chen, M.; Guo, L.; Wang, S. Global transcriptional responses of Bacillus subtilis to xenocoumacin 1. J. Appl. Microbiol. 2011, 111, 652–662. [Google Scholar] [CrossRef] [PubMed]
- Park, D.; Ciezki, K.; Van, D.H.R.; Singh, S.; Reimer, D.; Bode, H.B.; Forst, S. Genetic analysis of xenocoumacin antibiotic production in the mutualistic bacterium Xenorhabdus nematophila. Mol. Microbiol. 2009, 73, 938–949. [Google Scholar] [CrossRef]
- Berrue, F.; Ibrahim, A.; Boland, P.; Kerr, R.G. Newly isolated marine Bacillus pumilus (SP21): A source of novel lipoamides and other antimicrobial agents. Pure Appl. Chem. 2009, 81, 1027–1031. [Google Scholar] [CrossRef]
- Brotherton, C.A.; Balskus, E.P. A prodrug resistance mechanism is involved in colibactin biosynthesis and cytotoxicity. J. Am. Chem. Soc. 2013, 135, 3359–3362. [Google Scholar] [CrossRef] [PubMed]
- Li, Y.; Xu, Y.; Liu, L.; Han, Z.; Lai, P.Y.; Guo, X.; Zhang, X.; Lin, W.; Qian, P.Y. Five new amicoumacins isolated from a marine-derived bacterium Bacillus subtilis. Mar. Drugs 2012, 10, 319–328. [Google Scholar] [CrossRef] [PubMed]
- Itoh, J.; Omoto, S.; Nishizawa, N.; Kodama, Y.; Inouye, S. Chemical structures of amicoumacins produced by Bacillus pumilus. Agric. Biol. Chem. 1982, 46, 2659–2665. [Google Scholar] [CrossRef]
- Kurasawa, K.; Kuwahara, S.; Enomoto, M. Synthesis of bacilosarcins B and C. Tetrahedron Lett. 2016, 57, 4997–4999. [Google Scholar] [CrossRef]
- Azumi, M.; Ogawa, K.I.; Fujita, T.; Takeshita, M.; Yoshida, R.; Furumai, T.; Igarashi, Y. Bacilosarcins A and B, novel bioactive isocoumarins with unusual heterocyclic cores from the marine-derived bacterium Bacillus subtilis. Tetrahedron 2008, 64, 6420–6425. [Google Scholar] [CrossRef]
- Wang, H.L.; Li, Z.; Jia, R.N.; Hou, Y.; Yin, J. RecET direct cloning and Redab recombineering of biosynthetic gene clusters, large operons or single genes for heterologous expression. Nat. Protoc. 2016, 11, 1175–1190. [Google Scholar] [CrossRef] [PubMed]
- Lin, H.F.; Chen, T.H.; Liu, S.D. The antifungal mechanism of Bacillus subtilis against Pestalotiopsis eugeniae and its development for commercial applications against wax apple infection. Afr. J. Microbiol. Res. 2011, 5, 1723–1728. [Google Scholar]
- Wu, L.; Wu, H.; Chen, L.; Xie, S.; Zang, H.; Borriss, R.; Gao, X. Bacilysin from Bacillus amyloliquefaciens FZB42 has specific bactericidal activity against harmful algal bloom species. Appl. Environ. Microbiol. 2014, 80, 7512–7520. [Google Scholar] [CrossRef] [PubMed]
- Earl, A.M.; Losick, R.; Kolter, R. Ecology and genomics of Bacillus subtilis. Trends Microbiol. 2008, 16, 269–275. [Google Scholar] [CrossRef] [PubMed]
- Terekhov, S.S.; Nazarov, A.S.; Mokrushina, Y.A.; Baranova, M.N.; Potapova, N.A.; Malakhova, M.V.; Elena, N.I.; Ivan, V.S.; Alexander, G.G. Deep functional profiling facilitates the evaluation of the antibacterial potential of the antibiotic amicoumacin. J. Antibiot. 2020, 9, 157. [Google Scholar] [CrossRef]
- Liu, S.; Han, X.; Jiang, Z.; Wu, G.; Hu, X.; You, X.; Jiang, J.; Zhang, Y.; Sun, C. Hetiamacin B–D, new members of amicoumacin group antibiotics isolated from Bacillus subtilis PJS. J. Antibiot. 2016, 69, 769–772. [Google Scholar] [CrossRef]
- Li, Y.; Li, Z.; Yamanaka, K.; Xu, Y.; Zhang, W.; Vlamakis, H.; Kolter, R.; Moore, B.S.; Qian, P.Y. Directed natural product biosynthesis gene cluster capture and expression in the model bacterium Bacillus subtilis. Sci. Rep. 2015, 5, 9383. [Google Scholar] [CrossRef] [PubMed]
- Hisayuki, K.; Akira, H.; Natsuko, I.; Yasuhiro, I. Draft genome sequence of marine-derived Bacillus subtilis TP-B0611, a producer of bacilosarcins and amicoumacins. Genome Announc. 2016, 4, e01134-16. [Google Scholar]
- Enomoto, M.; Kuwahara, S. Total synthesis of bacilosarcins A and B. Angew. Chem. Int. Edit. 2009, 48, 1144–1148. [Google Scholar] [CrossRef]
- Zhang, X.; Zhang, R.Z.; Bao, T.; Rao, Z.M.; Yang, T.W.; Xu, M.J.; Xu, Z.H.; Li, H.Z.; Yang, S.T. The rebalanced pathway significantly enhances acetoin production by disruption of acetoin reductase gene and moderate-expression of a new water-forming NADH oxidase in Bacillus subtilis. Metab. Eng. 2014, 23, 34–41. [Google Scholar] [CrossRef]
- Park, H.B.; Perez, C.E.; Perry, E.K.; Crawford, J.M. Activating and attenuating the amicoumacin antibiotics. Molecules 2016, 21, 824. [Google Scholar] [CrossRef]
- Blin, K.; Shaw, S.; Steinke, K.; Villebro, R.; Ziemert, N.; Lee, S.Y.; Medema, M.H.; Weber, T. antiSMASH 5.0: Updates to the secondary metabolite genome mining pipeline. Nucleic Acids Res. 2019, 47, W81–W87. [Google Scholar] [CrossRef] [PubMed]
- Clinical and Laboratory Standards Institute. Methods for Dilution Antimicrobial Susceptibility Tests for Bacteria that Grow Aerobically; Approved Standards, 9th ed.; Document M07-A9; CLSI: Wayne, PA, USA, 2012. [Google Scholar]
- Heine, H.S.; Hershfield, J.; Marchand, C.; Miller, L.; Halasohoris, S.; Purcell, B.K.; Worsham, P.L. In vitro antibiotic susceptibilities of Yersinia pestis determined by broth microdilution following CLSI methods. Antimicrob. Agents Chemother. 2015, 59, 1919–1921. [Google Scholar] [CrossRef] [PubMed][Green Version]
- Clinical and Laboratory Standards Institute. Performance Standards for Antimicrobial Susceptibility Testing; Twenty-Fourth Informational Supplement; Document M100-S24; CLSI: Wayne, PA, USA, 2014. [Google Scholar]





| Position | Lipomide D, 1 | Position | Lipomide E, 2 | Position | Lipomide F, 3 | |||
|---|---|---|---|---|---|---|---|---|
| δH ppm (J, Hz) | δC ppm | δH ppm (J, Hz) | δC ppm | δH ppm (J, Hz) | δC ppm | |||
| Fatty acid | ||||||||
| 1 | 176.2 C | 1 | 176.1 C | 1 | 176.2 C | |||
| 2 | 2.23, t(2H,7.80) | 37.0 CH2 | 2 | 2.23, m(2H) | 37.0 CH2 | 2 | 2.23, m(2H) | 37.0 CH2 |
| 3 | 1.61, t(2H,5.40) | 26.9 CH2 | 3 | 1.61, m(2H) | 26.9 CH2 | 3 | 1.61, m(2H) | 26.9 CH2 |
| 4–7 | 1.31, m(10H) | 28.3–31.2 CH2 | 4–8 | 1.31, m(8H) | 28.3–31.2 CH2 | 4–9 | 1.32, m(12H) | 28.3–31.2 CH2 |
| 8 | 1.15, m(1H) | 30.7 CH2 | 9 | 1.15, m(1H) | 30.7 CH2 | 10 | 1.15, m(1H) | 30.7 CH2 |
| 1.31, m(2H) | 1.31, m(2H) | 1.31, m(2H) | ||||||
| 9 | 1.31, m(1H) | 35.8 CH | 10 | 1.31, m(1H) | 35.8 CH | 11 | 1.31, m(1H) | 35.8 CH |
| 10 | 1.09, m(1H) | 37.9 CH2 | 11 | 1.09, m(1H) | 37.9 CH2 | 12 | 1.09, m(1H) | 37.9 CH2 |
| 1.31, m(1H) | 1.31, m(1H) | 1.31, m(1H) | ||||||
| 11 | 0.85, m(3H) | 11.8 CH3 | 12 | 0.85, m(3H) | 11.8 CH3 | 13 | 0.87, m(3H) | 11.8 CH3 |
| 12 | 0.85, m(3H) | 19.7 CH3 | 13 | 0.85, m(3H) | 19.7 CH3 | 14 | 0.87, m(3H) | 19.7 CH3 |
| Asparagine | ||||||||
| 1′ | 175.1 C | 1′ | 175.2 C | 1′ | 175.4 C | |||
| 2′ | 4.70, t(1H,6.60) | 50.5 CH | 2′ | 4.70, t(1H,6.60) | 50.5 CH | 2′ | 4.70, m(1H) | 50.5 CH |
| 3′ | 2.76, m(1H) | 37.9 CH2 | 3′ | 2.76, m(1H) | 37.8 CH2 | 3′ | 2.82, m(1H) | 37.4 CH2 |
| 2.72, m(1H) | 2.72, m(1H) | 2.76, m(1H) | ||||||
| 4′ | 174.1 C | 4′ | 174.2 C | 4′ | 174.4 C | |||
| Position | Amicoumacin D, 4 | Position | Amicoumacin E, 5 | ||||
|---|---|---|---|---|---|---|---|
| δH ppm (J, Hz) | δC ppm | HMBC | δH ppm (J, Hz) | δC ppm | HMBC | ||
| 1 | 171.1 C | 1 | 171.3 C | ||||
| 3 | 4.66, dt(1H,12.5, 3.0) | 82.8 CH | 4, 4′ | 3 | 4.80, m(1H) | 82.1 CH | 4 |
| 4 | 3.09,m(1H) | 30.9 CH2 | 5 | 4 | 3.04, m(1H) | 31.0 CH2 | 5 |
| 2.90, dd(1H,16.5, 3.0) | 2.95, dd(1H, 13.5, 2.5) | ||||||
| 5 | 6.77, d(1H, 7.0) | 119.5 CH | 4, 7 | 5 | 6.80, d(1H, 6.5) | 119.8 CH | 4, 7 |
| 6 | 7.46, t(1H,8.0) | 137.5 CH | 6 | 7.45, t(1H, 6.5) | 137.5 CH | 5 | |
| 7 | 6.82, d(1H, 8.5) | 116.7 CH | 5 | 7 | 6.83, d(1H, 7.0) | 116.7 CH | 5 |
| 8 | 163.2 C | 6, 7 | 8 | 163.3 C | 6, 7 | ||
| 9 | 109.4 C | 4, 5, 7 | 9 | 109.7 C | 4, 5, 7 | ||
| 10 | 141.6 C | 3, 4, 5, 6 | 10 | 141.7 C | 4, 5, 6 | ||
| 1′ | 0.94, d(3H, 6.5) | 22.0 CH3 | 2′, 3′, 4′ | 1′ | 0.93, d(3H, 5.5) | 21.8 CH3 | 2′, 3′, 4′ |
| 2′ | 0.98, d(3H, 6.5) | 23.7 CH3 | 1′, 3′, 4′ | 2′ | 0.98, d(3H, 6.0) | 23.8 CH3 | 1′, 3′, 4′ |
| 3′ | 1.72, m(1H) | 25.8 CH | 1′, 2′, 4′ | 3′ | 1.73, m(1H) | 25.7 CH | 1′, 2′, 4′, 5′ |
| 4′ | 1.81,m(1H) | 40.9 CH2 | 1′, 2′, 3′, 5′, 3 | 4′ | 1.83, m(1H) | 40.1 CH2 | 1′, 2′, 3′, 5′ |
| 1.47, m(1H) | 1.46, m(1H) | ||||||
| 5′ | 4.33, dt(1H,10.5, 3.5) | 50.4 CH | 3′, 4 | 5′ | 4.19, m(1H) | 51.6 CH | 3′, 4 |
| 7′ | 175.2 C | 5′, 8′, 9′ | 7′ | 172.7 C | 5′, 8′, 9′ | ||
| 8′ | 4.09, d(1H, 6.5) | 74.2 CH | 9′, 10′ | 8′ | 4.43, m(1H) | 74.4 CH | 10′ |
| 9′ | 3.76, dd(1H, 4.5, 1.5) | 75.2 CH | 8′, 11′ | 9′ | 4.66, m(1H) | 87.7 CH | 8′, 10′ |
| 10′ | 3.88, m(1H) | 57.8 CH | 8′, 9′, 11′, 12′ | 10′ | 4.80, m(1H) | 59.7 CH | 14′ |
| 11′ | 2.22, m(1H) | 22.7 CH2 | 9′, 10′, 12′ | 11′ | 3.09, d(1H, 6.5) | 51.9 CH | 10′, 14′ |
| 2.16, m(1H) | 12′ | 177.4 C | 9′, 10′, 11′ | ||||
| 12′ | 2.36, m(1H) | 31.1 CH2 | 11′ | 13′ | 1.19, d(3H, 5.5) | 17.1 CH3 | 14′ |
| 2.23, m(1H) | 14′ | 3.76, dd(1H,5.5, 11.0) | 64.6 CH | 11′, 13′, 18′ | |||
| 13′ | 181.5 C | 10′, 11′, 12′ | 15′ | 78.1 C | 11′, 13′, 14′, 18′ | ||
| 16′ | 172.1 C | 17′ | |||||
| 17′ | 2.05, s(3H) | 22.3 CH3 | 16′ | ||||
| 18′ | 1.44, s(3H) | 30.2 CH3 | 11′, 14′ | ||||
| Microorganism | Erythromycin Gluceptate | Lipomide D | Lipomide E | Lipomide F | Amicoumacin A | Bacilosarcin B |
|---|---|---|---|---|---|---|
| S. aureus ATCC 25923 | 0.10 | 12.5 | 12.5 | 12.5 | 1.56 | 1.56 |
| M. luteus CMCC 28001 | 0.39 | 25 | 25 | 25 | 1.56 | 1.56 |
| B. pumilus CMCC 63202 | 1.56 | 12.5 | 12.5 | 12.5 | 3.13 | 1.56 |
| B. cereus ATCC 14579 | 3.12 | 6.25 | 6.25 | 6.25 | 1.56 | 1.56 |
| L. monocytogenes CICC 21662 | 0.39 | 12.5 | 12.5 | 12.5 | 1.56 | 3.13 |
| S. aureus MRSA | 1.56 | 12.5 | 12.5 | 12.5 | 6.25 | 3.13 |
| P. fluorescens ATCC 49642 | 0.78 | >100 | >100 | >100 | 6.25 | 6.25 |
| E. coli ATCC 25922 | 50 | >100 | >100 | >100 | 100 | 100 |
Publisher’s Note: MDPI stays neutral with regard to jurisdictional claims in published maps and institutional affiliations. |
© 2021 by the authors. Licensee MDPI, Basel, Switzerland. This article is an open access article distributed under the terms and conditions of the Creative Commons Attribution (CC BY) license (http://creativecommons.org/licenses/by/4.0/).
Share and Cite
Yang, J.; Zhu, Q.; Xu, F.; Yang, M.; Du, H.; Bian, X.; Lu, Z.; Lu, Y.; Lu, F. Genome Mining, Heterologous Expression, Antibacterial and Antioxidant Activities of Lipoamides and Amicoumacins from Compost-Associated Bacillus subtilis fmb60. Molecules 2021, 26, 1892. https://doi.org/10.3390/molecules26071892
Yang J, Zhu Q, Xu F, Yang M, Du H, Bian X, Lu Z, Lu Y, Lu F. Genome Mining, Heterologous Expression, Antibacterial and Antioxidant Activities of Lipoamides and Amicoumacins from Compost-Associated Bacillus subtilis fmb60. Molecules. 2021; 26(7):1892. https://doi.org/10.3390/molecules26071892
Chicago/Turabian StyleYang, Jie, Qingzheng Zhu, Feng Xu, Ming Yang, Hechao Du, Xiaoying Bian, Zhaoxin Lu, Yingjian Lu, and Fengxia Lu. 2021. "Genome Mining, Heterologous Expression, Antibacterial and Antioxidant Activities of Lipoamides and Amicoumacins from Compost-Associated Bacillus subtilis fmb60" Molecules 26, no. 7: 1892. https://doi.org/10.3390/molecules26071892
APA StyleYang, J., Zhu, Q., Xu, F., Yang, M., Du, H., Bian, X., Lu, Z., Lu, Y., & Lu, F. (2021). Genome Mining, Heterologous Expression, Antibacterial and Antioxidant Activities of Lipoamides and Amicoumacins from Compost-Associated Bacillus subtilis fmb60. Molecules, 26(7), 1892. https://doi.org/10.3390/molecules26071892

