Direct Amination of Nitroquinoline Derivatives via Nucleophilic Displacement of Aromatic Hydrogen
Abstract
1. Introduction
2. Results and Discussion
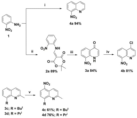
2.1. Synthesis of Nitroquinoline Derivatives
2.2. X-ray Studies of Nitroquinolines
2.3. Amination of Nitroquinoline Derivatives via Vicarious Nucleophilic Substitution of Hydrogen
2.4. UV-Vis Studies for Molecule 5b
2.5. Amination of Nitroquinoline Derivatives via Nitro Group Reduction with Stannous Chloride
2.6. X-ray Studies
3. Materials and Methods
3.1. Materials
3.2. Instrumentation
3.3. Synthesis of 8-(tert-Butyl)-2-methylquinoline (3c), 8-(iso-Propyl)-2-methylquinoline (3d) and 8-Nitroquinoline (4a)
3.4. Synthesis of 4-Chloro-8-nitroquinoline (4b)
3.4.1. Step A
3.4.2. Step B
3.4.3. Step C
3.5. Synthesis of 8-(Alkyl)-2-methyl-5-nitroquinolines 4c and 4d
3.6. Syntheses of 9H-Carbazol-9-yl-8-nitroquinolines 5a and 5b
3.7. Syntheses of Aminoquinolines 6
4. Conclusions
Supplementary Materials
Author Contributions
Funding
Data Availability Statement
Acknowledgments
Conflicts of Interest
References
- Collin, G.; Höke, H. Quinoline and Isoquinoline. In Ullmann’s Encyclopedia of Industrial Chemistry; Wiley-VCH: Weinheim, Germany, 2003. [Google Scholar]
- Nycz, J.E.; Wantulok, J.; Sokolova, R.; Pajchel, L.; Stankevič, M.; Szala, M.; Malecki, J.G.; Swoboda, D. Synthesis and Electrochemical and Spectroscopic Characterization of 4,7-diamino-1,10-phenanthrolines and Their Precursors. Molecules 2019, 24, 4102. [Google Scholar] [CrossRef] [PubMed]
- Makosza, M.; Winiarski, J. Vicarious nucleophilic substitution of hydrogen. Acc. Chem. Res. 1987, 20, 282–289. [Google Scholar] [CrossRef]
- Małecki, J.G.; Maroń, A.; Palion, J.; Nycz, J.E.; Szala, M. A copper(I) phosphine complex with 5,7-dinitro-2-methylquinolin-8-ol as co-ligand. Transit. Met. Chem. 2014, 39, 755–762. [Google Scholar] [CrossRef]
- Lawrence, N.J.; Lamarche, O.; Thurrab, N. The facile synthesis of α-aryl-α-hydroxy esters via one-pot vicarious nucleophilic substitution and oxidation. Chem. Commun. 1999, 689–690. [Google Scholar] [CrossRef]
- Mąkosza, M.; Staliński, K. Oxidative Nueleophilie Substitution of Hydrogen in Nitroarenes with Phenylacetonitrile Derivatives. Tetrahedron 1998, 54, 8797–8810. [Google Scholar] [CrossRef]
- Le Manach, C.; Paquet, T.; Wicht, K.J.; Nchinda, A.T.; Brunschwig, C.; Njoroge, M.; Gibhard, L.; Taylor, D.; Lawrence, N.; Wittlin, S.; et al. Antimalarial Lead-Optimization Studies on a 2,6-Imidazopyridine Series within a Constrained Chemical Space to Circumvent Atypical Dose-Response Curves against Multidrug Resistant Parasite Strains. J. Med. Chem. 2018, 61, 9371–9385. [Google Scholar] [CrossRef]
- Müller, A.V.; Ramos, L.D.; Frin, K.P.M.; De Oliveira, K.T.; Polo, A.S. A high efficiency ruthenium(ii) tris-heteroleptic dye containing 4,7-dicarbazole-1,10-phenanthroline for nanocrystalline solar cells. RSC Adv. 2016, 6, 46487–46494. [Google Scholar] [CrossRef]
- Szpakiewicz, B.; Grzegożek, M. Vicarious nucleophilic amination of nitroquinolines with 4-amino-1,2,4-triazole. Can. J. Chem. 2008, 86, 682–685. [Google Scholar] [CrossRef]
- Bocharova, E.A.; Gornostaev, L.M.; Gritsan, N.P.; Gurova, T.N. Amination of 3,5-dibromo-4-nitrosoanilines and 3-halo-4-nitrosophenols. Russ. J. Org. Chem. 2010, 46, 1639–1644. [Google Scholar] [CrossRef]
- Nicholls, A.J.; Batsanov, A.S.; Baxendale, I.R. Copper-Mediated Nitrosation: 2-Nitrosophenolato Complexes and Their Use in the Synthesis of Heterocycles. Molecules 2019, 24, 4154. [Google Scholar] [CrossRef]
- Malecki, G.; Nycz, J.E.; Ryrych, E.; Ponikiewski, L.; Nowak, M.; Kusz, J.; Pikies, J. Synthesis, spectroscopy and computational studies of some biologically important hydroxyhaloquinolines and their novel derivatives. J. Mol. Struct. 2010, 969, 130–138. [Google Scholar] [CrossRef]
- Szala, M.; Nycz, J.E.; Malecki, G.J.; Sokolova, R.; Ramesova, S.; Switlicka-Olszewska, A.; Strzelczyk, R.; Podsiadly, R.; Machura, B. Synthesis of 5-azo-8-hydroxy-2-methylquinoline dyes and relevant spectroscopic, electrochemical and computational studies. Dye. Pigment. 2017, 142, 277–292. [Google Scholar] [CrossRef]
- CrysAlisPro 1.171.38.43 (Rigaku Oxford Diffraction, 2015). Available online: https://www.rigaku.com/en/products/smc/crysalis (accessed on 20 December 2020).
- Dolomanov, O.V.; Bourhis, L.J.; Gildea, R.J.; Howard, J.A.K.; Puschmann, H. OLEX2: A complete structure solution, refinement and analysis program. J. Appl. Crystallogr. 2009, 42, 339–341. [Google Scholar] [CrossRef]
- Sheldrick, G.M. A short history of SHELX. Acta Cryst. 2008, A64, 112–122. [Google Scholar] [CrossRef] [PubMed]
- Nycz, J.E.; Malecki, G.J. Synthesis, spectroscopy and computational studies of selected hydroxyquinoline carboxylic acids and their selected fluoro-, thio-, and dithioanalogues. J. Mol. Struct. 2013, 1032, 159–168. [Google Scholar] [CrossRef]
- Vierhapper, F.W.; Eliel, E.L.; Zuniga, G. Carbon-13 spectra of saturated heterocycles. 10. Effect of lone electron pairs on nitrogen on the chemical shift of antiperiplanar vicinal methyl carbons. J. Org. Chem. 1980, 45, 4844–4850. [Google Scholar] [CrossRef]
- Prema, D.; Wiznycia, A.V.; Scott, B.M.T.; Hilborn, J.; Desper, J.; Levy, C.J. Dinuclear Zinc(II) complexes of symmetric Schiff-base ligands with extended quinoline sidearms. Dalton Trans. 2007, 4788–4796. [Google Scholar] [CrossRef] [PubMed]
- Sen, C.; Sahoo, T.; Singh, H.; Suresh, E.; Ghosh, S.C. Visible Light-Promoted Photocatalytic C-5 Carboxylation of 8-Aminoquinoline Amides and Sulfonamides via a Single Electron Transfer Pathway. J. Org. Chem. 2019, 84, 9869–9896. [Google Scholar] [CrossRef] [PubMed]
- Darque, A.; Dumètre, A.; Hutter, S.; Casano, G.; Robin, M.; Pannecouque, C.; Azas, N. Synthesis and biological evaluation of new heterocyclic quinolinones as anti-parasite and anti-HIV drug candidates. Bioorg. Med. Chem. Lett. 2009, 19, 5962–5964. [Google Scholar] [CrossRef] [PubMed]
- Todorov, A.R.; Aikonen, S.; Muuronen, M.; Helaja, J. Visible-Light-Photocatalyzed Reductions of N-Heterocyclic Nitroaryls to Anilines Utilizing Ascorbic Acid Reductant. Org. Lett. 2019, 21, 3764–3768. [Google Scholar] [CrossRef]
- Saggadi, H.; Luart, D.; Thiebault, N.; Polaert, I.; Estel, L.; Len, C. Quinoline and phenanthroline preparation starting from glycerol via improved microwave-assisted modified Skraup reaction. RSC Adv. 2014, 4, 21456–21464. [Google Scholar] [CrossRef]
- Ding, D.; Jiang, H.; Ma, X.; Nash, J.J.; Kenttämaa, H.I. Effects of the Distance between Radical Sites on the Reactivities of Aromatic Biradicals. J. Org. Chem. 2020, 85, 8415–8428. [Google Scholar] [CrossRef] [PubMed]












| D—H···A | D—H (Å) | H···A (Å) | D···A (Å) | D—H···A (°) |
|---|---|---|---|---|
| O11—H31···N116 | 0.82 | 1.80 | 2.548 (4) | 150.6 |
| C111—H111···O22i | 0.93 | 2.50 | 3.382 (4) | 158.3 |
| O21—H41···N216 | 0.82 | 1.78 | 2.533 (4) | 151.0 |
| C211—H211···O12ii | 0.93 | 2.44 | 3.311 (4) | 156.8 |
| 4b | 4c | 5a | 5b | |
|---|---|---|---|---|
| Empirical formula | C9H5ClN2O2 | C14H16N2O2 | C21H13N3O2 | C21H13N3O2 |
| Temperature (K) | 295(2) | 293(1) | 293(1) | 293(1) |
| Wavelength (Å) | 0.71073 | 1.54184 | 1.54184 | 0.71073 |
| Crystal system | orthorhombic | monoclinic | triclinic | orthorhombic |
| Space group | Pbc21 | P21/c | P-1 | Pna21 |
| Unit cell dimensions | ||||
| a (Å) | 7.4711(8) | 13.4230(8) | 8.4004(4) | 13.8510(6) |
| b (Å) | 15.429(2) | 6.9413(4) | 12.9693(7) | 7.6712(4) |
| c (Å) | 7.5911(11) | 28.5117(19) | 24.2324(16) | 29.7991(14) |
| α (°) | 90 | 90 | 90.326(5) | 90 |
| β (°) | 90 | 103.578(7) | 91.364(4) | 90 |
| γ (°) | 90 | 90 | 106.018(4) | 90 |
| Volume (Å3) | 875.0(2) | 2582.3(3) | 2536.6(2) | 3166.3(3) |
| Z | 4 | 8 | 6 | 8 |
| Calculated density(g/cm3) | 1.583 | 1.257 | 1.333 | 1.424 |
| Absorption coefficient (mm−1) | 0.406 | 0.689 | 0.715 | 0.094 |
| F(000) | 424 | 1040 | 1056 | 1408 |
| Crystal dimensions (mm) | 0.31 × 0.27 × 0.11 | 0.31 × 0.18 × 0.09 | 0.60 × 0.05 × 0.02 | 0.54 × 0.39 × 0.07 |
| θ range for data collection (°) | 3.766 to 29.448 | 3.189 to 73.960 | 3.546 to 73.741 | 3.244 to 26.367 |
| Index ranges | −10 < h < 7 | −11 ≤ h ≤ 16 | −10 ≤ h ≤ 8 | −15 ≤ h ≤ 17 |
| −20 < k < 21 | −8 ≤ k ≤ 8 | −15 ≤ k ≤ 15 | −8 ≤ k ≤ 9 | |
| −7 < l < 10 | −34 ≤ l ≤ 29 | −29 ≤ l ≤ 29 | −36 ≤ l ≤ 37 | |
| Reflections collected | 3969 | 16911 | 18166 | 22268 |
| Independent reflections | 1735 | 5152 | 9919 | 6198 |
| Data / restraints / parameters | 1735/1/127 | 5152/0/333 | 9919/0/704 | 6198/1/471 |
| Goodness-of-fit on F2 | 1.048 | 1.031 | 1.023 | 1.049 |
| Final R indices ( I > 2σ(I)) | 0.0394/0.0815 | 0.0593/0.1731 | 0.0733/0.2001 | 0.0458/0.0848 |
| R indices (all data) | 0.0572/0.0907 | 0.0808/0.2038 | 0.1117/0.2538 | 0.0675/0.0922 |
| Largest diff. Peak and hole | −0.228/0.164 | 0.223/−0.178 | 0.231/−0.248 | 0.117/−0.163 |
| CCDC number | 1967406 | 2048040 | 2048038 | 2048039 |
Sample Availability: Samples of the compounds are available on request from the corresponding authors. |
Publisher’s Note: MDPI stays neutral with regard to jurisdictional claims in published maps and institutional affiliations. |
© 2021 by the authors. Licensee MDPI, Basel, Switzerland. This article is an open access article distributed under the terms and conditions of the Creative Commons Attribution (CC BY) license (http://creativecommons.org/licenses/by/4.0/).
Share and Cite
Wantulok, J.; Swoboda, D.; Nycz, J.E.; Książek, M.; Kusz, J.; Małecki, J.G.; Kubíček, V. Direct Amination of Nitroquinoline Derivatives via Nucleophilic Displacement of Aromatic Hydrogen. Molecules 2021, 26, 1857. https://doi.org/10.3390/molecules26071857
Wantulok J, Swoboda D, Nycz JE, Książek M, Kusz J, Małecki JG, Kubíček V. Direct Amination of Nitroquinoline Derivatives via Nucleophilic Displacement of Aromatic Hydrogen. Molecules. 2021; 26(7):1857. https://doi.org/10.3390/molecules26071857
Chicago/Turabian StyleWantulok, Jakub, Daniel Swoboda, Jacek E. Nycz, Maria Książek, Joachim Kusz, Jan Grzegorz Małecki, and Vladimír Kubíček. 2021. "Direct Amination of Nitroquinoline Derivatives via Nucleophilic Displacement of Aromatic Hydrogen" Molecules 26, no. 7: 1857. https://doi.org/10.3390/molecules26071857
APA StyleWantulok, J., Swoboda, D., Nycz, J. E., Książek, M., Kusz, J., Małecki, J. G., & Kubíček, V. (2021). Direct Amination of Nitroquinoline Derivatives via Nucleophilic Displacement of Aromatic Hydrogen. Molecules, 26(7), 1857. https://doi.org/10.3390/molecules26071857

