Next Article in Journal
Development and Validation of 2-Azaspiro [4,5] Decan-3-One (Impurity A) in Gabapentin Determination Method Using qNMR Spectroscopy
Next Article in Special Issue
Petasis vs. Strecker Amino Acid Synthesis: Convergence, Divergence and Opportunities in Organic Synthesis
Previous Article in Journal
Synthesis and Biological Activity Evaluation of Coumarin-3-Carboxamide Derivatives
Previous Article in Special Issue
Synthesis of Chromeno[3,4-b]piperazines by an Enol-Ugi/Reduction/Cyclization Sequence
 
 
Font Type:
Arial Georgia Verdana
Font Size:
Aa Aa Aa
Line Spacing:
Column Width:
Background:
Communication

Ugi Reaction on α-Phosphorated Ketimines for the Synthesis of Tetrasubstituted α-Aminophosphonates and Their Applications as Antiproliferative Agents

by
Adrián López-Francés
,
Xabier del Corte
,
Edorta Martínez de Marigorta
,
Francisco Palacios
* and
Javier Vicario
*
Departamento de Química Orgánica I, Centro de Investigación y Estudios Avanzados “Lucio Lascaray”, Facultad de Farmacia, University of the Basque Country, UPV/EHU Paseo de la Universidad 7, 01006 Vitoria-Gasteiz, Spain
*
Authors to whom correspondence should be addressed.
Molecules 2021, 26(6), 1654; https://doi.org/10.3390/molecules26061654
Submission received: 25 February 2021 / Revised: 12 March 2021 / Accepted: 14 March 2021 / Published: 16 March 2021
(This article belongs to the Special Issue New Approach in Multicomponent Reactions)

Abstract

An Ugi three-component reaction using preformed α-phosphorated N-tosyl ketimines with different isocyanides in the presence of a carboxylic acid affords tetrasubstituted α-aminophosphonates. Due to the high steric hindrance, the expected acylated amines undergo a spontaneous elimination of the acyl group. The reaction is applicable to α-aryl ketimines bearing a number of substituents and several isocyanides. In addition, the densely substituted α-aminophosphonate substrates showed in vitro cytotoxicity, inhibiting the growth of carcinoma human tumor cell line A549 (carcinomic human alveolar basal epithelial cell).

Graphical Abstract

1. Introduction

In the interdisciplinary research field of chemical biology and drug discovery, diversity-oriented synthesis is an interesting model for the production of large chemical libraries of small molecules, bearing multiple functional groups, in order to explore their influence into the biological properties of those substrates [1,2,3]. At the heart of this concept, multicomponent reactions (MCRs) have become a mainstay of medicinal and organic chemistry that allow the preparation of a broad spectrum of compounds with a reduced number of synthetic steps [4,5]. In such synthetic procedures, three reactants or more are combined in the same pot to generate a new substrate, whose structure shows portions of all the starting materials. The atom economy, efficiency, mild conditions and high convergence of MCRs justify a central place in the toolbox of diversity-oriented synthesis [6,7]. Among the numerous MCRs described along the last decades, the Ugi reaction [8] has been verified as one of the most important multicomponent processes for the synthesis of peptide-like structures [9,10]. The Ugi reaction consists on a nucleophilic attack of an isonitrile 6 to an iminium ion 5, a salt composed of a carboxylic acid 4 and an imine 3, which is often generated in situ from a carbonyl derivative 1 and an amine 2. Then, a second nucleophilic attack of the carboxylate anion in the intermediate nitrilium species 7 results in the formation of acyl imidate 8. The reaction ends with an irreversible Mumm rearrangement of species 8, leading to α-amido amide substrates 9 in a very efficient manner (Scheme 1). Remarkably, the whole reaction is driven by the Mumm rearrangement since all other species involved in the mechanism are in equilibrium. Due to its versatility, the Ugi reaction has become increasingly practical in the synthesis of many active complex drugs and natural products [11,12,13].
On the other hand, the α-aminophosphonic acid framework enjoys significant attention in medicinal sciences, due to its unique ability to mimic the transition state of peptide cleavage in an irreversible fashion, thus blocking very efficiently enzymes implicated in proteolysis processes (Figure 1). For this reason, α-aminophosphonic acid derivatives and their phosphapeptides display an assorted biological activity, including anticancer properties [14,15,16,17,18]. α-Aminophosphonic acids can be considered as structural isosters of α-aminoacids, where the flat carboxylic acid group has been replaced by a phosphonic acid group, and one of the most straightforward methods for the preparation of both compounds, α-aminoacids and α-aminophosphonic acids, consists on the addition of carbon nucleophiles to α-iminoesters or α-iminophosphonates, respectively [19,20]. While an Ugi reaction using α-iminoesters to afford α,α-diamino acid derivatives is documented [21,22] no examples are described using α-iminophosphonates as starting materials. In addition, the use of ketones or ketimines as substrates in such reactions, in order to generate structures bearing tetrasubstituted carbons, entails additional obstacles, since the inherent steric factors observed in these systems enhance the difficulty level in these synthetic methodologies [23]. In addition, the use of acyclic ketones typically requires preformation of the imine intermediate in a separate step, and the yields of the Ugi are often modest [24,25,26].
In this context, during the course of our research on the addition of nucleophiles to α-ketiminophosphonates, in the past, we achieved the synthesis of tetrasubtituted α-aminophosphonates [27] using cyanide [28], organometallics [29] and nitromethane [30] as nucleophiles and, more recently, we have reported the first enantioselective Reformatsky reaction using acyclic ketimines as substrates [31]. Continuing with our interest in the chemistry of organophosphorus compounds, we thought that α-ketiminophosphonates would be excellent substrates in Ugi reactions for the generation of phosphorated peptide-like structures bearing tetrasubstituted carbons. Due to the great occurrence of tetrasubstituted carbons in natural products and drugs [32], the high affinity of α-aminophosphonates to proteolytic enzymes and the synthetic versatility of multicomponent reactions, a synthetic protocol of an Ugi reaction using α-phosphorated ketimines would be of great value in organic and medicinal chemistry.

2. Results and Discussion

2.1. Chemistry

N-tosyl α-ketiminophosphonates 10 can be synthesized by a formal oxidation of trisubstituted aminophosphonates as reported in literature [28,31]. In our first experiment we studied the Ugi reaction of N-tosyl ketimine 10a (R1 = Me, R2 = Ph) with phenyl acetic acid 11 and cyclohexyl isocyanide 12a (R3 = Cy) under the typical reaction conditions (Scheme 2). After stirring a mixture of the three compounds in CH2Cl2 at room temperature for 1 h, NMR showed the complete disappearance of the starting materials and formation of tetrasubstituted α-aminophosphonate 13a. Due to the insolubility of the starting materials, the use of other environmentally friendly solvents led to the formation of substrate 13a in lower yields and longer reaction times.
With this result in hand, next we extended the Ugi protocol to different α-iminophosphonates 10 and isocyanides 12 using phenylacetic acid 11 in CH2Cl2 (Scheme 2). First, different isocyanides 12 were tested in the reaction using ketimine 10a (R1 = Me, R2 = Ph) derived from dimethylphosphonate. The reactions proceed fast (1 h) and with good yields, not only using cyclohexyl isocyanide 12a (R3 = Cy), but also with methyl isocyanoacetate 12b (R1 = CH2CO2Me) or benzyl isocyanide 12c (R3 = Bn) to afford α-aminophosphonates 13bc (Scheme 2).
Next, diethyl, dibenzyl and di-iso-propyl phosphonate substituted ketimines 10bd (R1 = Et, Bn, iPr,) were tested as electrophilic substrates with very good results but different reactivity. In the case of diethylphosphonates 13df (R1 = Et, R2 = Ph), and dibenzylphosphonates 13g (R1 = Bn, R2 = Ph) the reactions proceed to full conversion after 6 h and even longer reaction times of 14 h are needed for di-iso-propylphosphonates 13hj (R1 = iPr, R2 = Ph) (Scheme 2). These differences in the reactivity related to the size of the phosphonate substituents are in agreement with what has been observed in similar reactions [28,30].
Then, the scope of the reaction was extended to the use of phosphorated ketimines bearing substituted aromatic rings. Aromatic ketimines holding strong electron withdrawing substituents such as a para-nitro group showed very good reactivity and aminophosphonate 13k was obtained in very good yield after 1 h at room temperature (Scheme 2). The reaction is also fast using ketimines with halogenated aromatic groups. Several halogen substituted aromatic ketimines were successfully used in the reaction, including para-substituted aromatic rings containing bromine or chlorine to yield halogenated α-aminophosphonates in full conversion after 1 h (Scheme 2, 13lm). The reaction tolerates also the presence of an ortho-fluor substituted aromatic ring in (Scheme 2, 13n) and even the existence of a perfluorinated phenyl group (Scheme 2, 13o). Besides, when aromatic ketimines substituted by electron donating groups were used as substrates, an increase in the reaction times was observed. However, α-aminophosphonates 13pq were obtained in full conversion after 14 h (Scheme 2).
Tetrasubstituted α-aminophosphonates 13 were characterized on the basis of their 1H, 31P, 19F and 13C NMR, IR spectra and high-resolution mass spectra (see Supplementary Materials for the detail). For example, 1H NMR spectrum α-aminophosphonate 13a presents the signals corresponding to the aliphatic cyclohexyl moiety with several chemical shifts in the interval δH = 0.92–1.91 ppm for the five methylene groups and an additional multiplet at δH = 3.77 ppm for the CH bonded to the nitrogen. The phosphonate moiety is seen as two representative doublets at δH = 3.80 ppm (3JPH = 10.5 Hz) and δH = 3.99 ppm (3JPH = 10.7 Hz), typical for the diastereotopic methoxy groups at the phosphonate. The presence of the tosyl group is evident from the chemical shift for its para-methyl substituent at δH = 2.33 ppm, that appears as a singlet, and the two doublets at δH = 7.00 and 7.16 ppm (3JHH = 8.3 Hz), corresponding to the four aromatic protons, that appear partially overlapped with the five protons of the phenyl substituent in the interval at δH = 6.99–7.25 ppm. The sulfamide and amide NH protons appear as two doublets that interchange with D2O at δH = 6.47 ppm (3JPH = 8.2 Hz) and δH = 6.76 ppm (3JHH = 6.4 Hz), respectively. Due to the low interchange rate in such acidic protons, the signal corresponding to the NH of the sulfamide moiety is coupled with the magnetically active phosphorus atom, while the amide NH is coupled with the neighboring CH of the cyclohexyl group.
In addition, in the 13C NMR spectrum of α-aminophosphonate 13a, the cyclohexyl group can be detected by the chemical shift at δC = 49.8 ppm, corresponding to its methyne group, bonded to the nitrogen atom and, due to the stereogenic center present in the structure, the other five methylene carbons show five different signals at δC = 24.5, 24.6, 25.4, 32.1 and 32.3 ppm. Here, again, the two diastereotopic methoxy groups at the phosphonate moiety are seen as two doublets at δH = 55.8 ppm (2JPC = 8.2 Hz) and δC = 55.2 ppm (2JPC = 7.5 Hz). The most characteristic chemical shift of α-aminophosphonate 13a in 13C NMR is certainly the doublet corresponding to the quaternary carbon directly bonded to the phosphonate that appears at δC = 68.5 ppm and presents a strong coupling with the phosphorus atom (1JPC = 157.2 Hz). The presence of the tosyl group is here deduced from the chemical shift corresponding to its para-methyl substituent at δC = 21.6 ppm and the aromatic carbons with two signals at δC = 126.5 and 129.1 ppm for each of the two couples of the equivalent CH carbons of the aromatic ring, as well as another two signals for the two quaternary carbons at δC = 142.4 and 139.2 ppm, the latter seen as a doublet due to the coupling with the phosphorus atom (4JPC = 1.6 Hz). In the aromatic region it also appears the chemical shifts of the carbons corresponding to the phenyl ring, with the signals corresponding to the two pairs of equivalent CH carbons at δC = 127.9 and 130.2 ppm, the second as a doublet coupled with the phosphorus atom (3JPC = 8.3 Hz). The fifth aromatic CH appears at δC = 128.7 ppm and the quaternary carbon as a doublet at δC = 131.9 (2JPC = 1.8 Hz). Surprisingly, the amide carbonyl group does not show coupling with the phosphorus atom and the signal appears as a singlet at δC = 166.1 ppm.
The most relevant absorptions observed in IR spectrum correspond to the amide, sulfamide and phosphonate moieties. The stretching vibration of amide and sulfamide NH groups can be observed at ν = 3426 and 3333 cm−1, respectively. In addition, two strong bands are observed at ν =1678 and 1256 cm−1, correspond to the vibration of amide C=O and phosphonate P=O bonds. Finally, the spectrum shows two characteristic absorptions ν = 1333 and 1164 cm−1 that correspond to the asymmetric and symmetric stretching vibration of the sulfonyl group.
Regarding the mechanism of the reaction, we theorized that compounds 13 might be formed by a typical three-component Ugi reaction that leads to the formation of the predicted phosphorated α-amido amide 15, followed by a spontaneous cleavage of the acyl group, due to the high steric hindrance present in the intermediate 15 (Scheme 3). In fact, the same behavior has been observed in the acylcyanation reaction of N-tosyl ketimines 10 (R2 = Ar, PG = Ts) with pyruvonitrile [28]. In our attempts to detect the acylated intermediate 15, different carboxylic acids were used in the reaction, but α-aminophosphonate 13a was obtained in all cases, even when acetic, trifluoroacetic or benzoic acid were used as reagents. Nevertheless, the reaction does not proceed in the absence of a carboxylic acid, which at least indicates that the formation of iminium species is crucial prior to the nucleophilic attack of isocyanide.
In order to check if the Mumm rearrangement was indeed taking place, next we used N-trityl aldimine 14 (R2 = H, PG = CPh3) [33] as the electrophile substrate, in the presence of phenylacetic acid 11 and cyclohexyl isocyanide 12a (R3 = Cy) (Scheme 3). Due to the utilization of an aldimine derived electrophile in the reaction, a less hindered structure is expected in the Ugi adduct, which may result in the isolation of species 15. However, in this case, trisubstituted α-aminophosphonate 16 was obtained in full conversion, where, the formation of α-amido amide 15 is followed by a spontaneous cleavage of the bulky trityl protecting group (Scheme 3).
Although this last experiment supports an Ugi three-component mechanism of the process, still we were skeptical about the real role of the carboxylic acid in the system. It is true that, considering the accepted mechanism for the Ugi reaction, only through the irreversible Mumm rearrangement all the equilibrium in the process can be displaced to the final products. But yet, it might be vaguely possible that, in the case of our ketimines 10, a simple addition of isocyanide to iminium species could afford tetrasubstituted α-aminophosphonate 13a after an irreversible hydrolysis of the nitrilium intermediate, due to the presence of traces of water in the solvent. Then the key question to be addressed is: is the third reactant of the multicomponent reaction a carboxylic acid or is it just water?
This matter could be resolved in view of the fact that the isolation of intermediate 15 was achieved when para-fluorophenyl or para-trifluoromethylphenyl substituted α-phosphorated ketimines 10l,m (R = CF3, F) were used as the electrophile unit in the Ugi reaction. Using phenylacetic acid 11 and cyclohexyl isocyanide 12a, phosphorated α-amido amides 15a,b were obtained, without the elimination of the amide group (Scheme 4). Although substrate 15b proved to be very stable, trifluoromethyl substituted α-amido amide 15a underwent spontaneous hydrolysis of the amide under the air moisture to yield tetrasubstituted α-aminophosphonate 13r.
NMR properties of phosphorated α-amido amides 15 were very similar to the parent substrates 13 except for some significant differences. In the case of substrate 15b, the presence of benzylamide group was evident in 13C NMR by the existence of the chemical shifts for two carbonyl groups at δC = 176.4 and 165.3 ppm and a methylene carbon at δC = 45.7 ppm (DEPT). Key features for this compound in 1H NMR spectrum are mainly the two diastereotopic protons of the benzyl group that appear as doublets at δC = 3.92 and 4.16 ppm with a strong geminal coupling constant 2JHH = 17.1 Hz. It is also noteworthy the presence of an atypical doublet for two equivalent aromatic protons at δC = 8.26 ppm (3JHH = 7.9 Hz) that corresponds either to the benzyl or the tosyl moiety that appears especially deshielded, which is probably originated by the proximity of both aromatic rings due to the steric crowding present in the structure.
In order to shed more light on this issue, we set up an additional experiment where the three-component reaction was performed using of N-tosyl ketimine 10a, thioacetic acid 17 and cyclohexyl isocyanide 12a in CDCl3. However, after 1h at room temperature a complex mixture was observed in the reaction vessel. We hypothesized that the high steric hindrance due to the presence of the tetrasubstituted carbon together with the higher Van der Waals radius of the sulfur atom versus the oxygen (180 pm vs. 152 pm) could be the reason of such different behavior.
For this reason, next we tried the Ugi reaction using a less sterically demanding isocyanide such as methyl isocyanoacetate 12b (Scheme 5). In this case, formation of thioamide 18 was observed in full conversion. The presence of a sulfur atom in the structure confirms unambiguously the Ugi mechanism of our reaction through the formation of iminium species 19 from α-ketiminophosphonate 10a and thioacid 17, followed by a nucleophilic attack of isocyanide 12b. Then, a second nucleophilic attack of thiocarboxylate anion in the intermediate nitrilium species 20 results in the formation of acyl thioimidate 21. To complete the Ugi sequence, the acyl transfer from thioimidate 21 to the adjacent nitrogen atom yields irreversibly phosphorated α-amido amide 22 that, due to the high steric hindrance owing to the presence of the tetrasubstituted carbon, undergoes a spontaneous cleavage of the acyl group that affords finally tetrasubstituted α-aminophosphonate 18.
Nevertheless, attempts to isolate compound 18 failed due to its decomposition during the workup, but the identity of thioamide 22 was confirmed by NMR of the crude reaction. 31P NMR showed the disappearance of the starting imine (δP = 6.6 ppm) and the formation of a major compound with a chemical shift at δP = 18.7 ppm. On the other hand, 1H NMR showed two clear doublets at δH = 3.90 ppm (3JPH = 10.7 Hz) and δH = 3.79 ppm (3JPH = 10.8 Hz), typical for the diastereotopic methoxy groups at the phosphonate, that suggest the formation of a stereogenic carbon close to the phosphorus atom and a broad triplet that interchanges with D2O, at δH = 8.63 ppm (1JNH = 4.0 Hz), that may correspond to the NH of thioamide group, where the proton is coupled with the quadrupolar nucleus of 14N. More importantly, 13C NMR shows a doublet for the quaternary C-P (DEPT) at δC = 58.6 ppm (1JPH = 167.2 Hz), and the characteristic chemical shift for the C=S group of thioamides at δC = 199.2 ppm. A similar result was obtained using thiobenzoic acid instead of thioacetic acid.
Additionally, the hydrolysis the phosphonate group to its phosphonic acid derivative 23 can be performed under mild conditions in chloroform by the treatment of 13b with trimethylsilyl bromide at room temperature. The subsequent aqueous workup yields α-aminophosphonic acid 23 in almost quantitative yield (Scheme 6).

2.2. Biological Results

In vitro cytotoxicity of tetrasubstituted α-aminophosphonate derivatives 13, 15 and 23 was evaluated by testing their antiproliferative activities against A549 cell line (carcinomic human alveolar basal epithelial cell). Cell counting kit (CCK-8) assay was used for the evaluation of growth inhibition. Moreover, nonmalignant MRC5 lung fibroblasts were tested for studying selective toxicity [34] and chemotherapeutic doxorubicin is used as reference value. The cell proliferation inhibitory activity is shown as IC50 values (Table 1).
In a preliminary study, we tested the cytotoxicity of simple phenyl substituted α-aminophosphonates 13aj as lead compounds. Although no grown inhibition activity was observed for dimethyl and diethylphosphonates 13a,f (Table 1, Entries 1–2), dibenzylphosphonate 13g showed some cytotoxicity against A549 cell line with an IC50 value of 16.46 ± 1.49 µM and, interestingly, very good selectivity was also obtained towards MRC5 nonmalignant cell line (Table 1, Entry 3). Besides, bulkier di-iso-propylphosphonate 13h, derived from cyclohexyl isocyanide, presented an IC50 value of 19.72 ± 3.70 µM (Table 1, Entry 4).
Then we studied the introduction of substituents at the aromatic ring of tetrasubstituted aminophosphonates 13. Scarce cytotoxic effect was found for para-nitrophenyl substituted substrate 13k, bearing an electron poor aromatic group (Table 1, Entry 5). Although the effect of the introduction of fluorine atoms in the structure of organic compounds is rather difficult to predict, very often it leads to increased activities [35,36,37]. For this reason, next we tested the in vitro cytotoxicity of fluorine containing α-aminophosphonates 13n. However, ortho-fluorophenyl and para-trifluoromethylphenyl substituted substrates 13n,r presented IC50 values higher than 50 µM (Table 1, Entries 6, 8). Interestingly, thioether derived α-aminophosphonate 13p, showed a considerable antiproliferative activity with an IC50 value of 14.56 ± 2.53 µM and a very good selectivity towards MRC5 cell line (Table 1, Entry 7). Phosphorated α-amido amide 15a bearing a para-trifluomethylphenyl substituent showed better toxicity than its parent compound 13r with an IC50 value of 28.76 ± 3.20 µM and a good selectivity towards nonmalignant cells (Table 1, Entry 8 vs. Entry 9). Finally phosphonic acid derivative 23 did not provide any toxicity against A549 cell line (Table 1, Entry 10).

3. Materials and Methods

3.1. Chemistry

3.1.1. General Experimental Information

Solvents for extraction and chromatography were technical grade. All solvents used in reactions were freshly distilled from appropriate drying agents before use. All other reagents were recrystallized or distilled as necessary. All reactions were performed under an atmosphere of dry nitrogen. Analytical TLC was performed with silica gel 60 F254 plates. Visualization was accomplished by UV light. 1H, 13C, 31P and 19F-NMR spectra were recorded on a Varian Unity Plus (Varian Inc, NMR Systems, Palo Alto, CA, USA) (at 300 MHz, 75 MHz, 120 MHz and 282 MHz respectively) and on a Bruker Avance 400 (Bruker BioSpin GmbH, Rheinstetten, Germany) (at 400 MHz for 1H, and 100 MHz for 13C). Chemical shifts (δ) are reported in ppm relative to residual CHCl3 (δ = 7.26 ppm for 1H and δ = 77.16 ppm for 13C NMR) and using phosphoric acid (50%) as external reference (δ = 0.0 ppm) for 31P NMR spectra. Coupling constants (J) are reported in Hertz. Data for 1H NMR spectra are reported as follows: chemical shift, multiplicity, coupling constant, integration. Multiplicity abbreviations are as follows: s = singlet, d = doublet, t = triplet, q = quartet, m = multiplet). 13C NMR peak assignments were supported by distortionless enhanced polarization transfer (DEPT). High resolution mass spectra (HRMS) were obtained by positive-ion electrospray ionization (ESI). Data are reported in the form m/z (intensity relative to base = 100). Infrared spectra (IR) were taken in a Nicolet iS10 Thermo Scientific spectrometer (Thermo Scientific Inc., Waltham, Massachusetts, MA, USA) as neat solids. Peaks are reported in cm−1.

3.1.2. Compounds Purity Analysis

All synthesized compounds were analyzed by HPLC to determine their purity. The analyses were performed on Agilent 1260 infinity HPLC system (Agilent, Santa Clara, CA, USA) using a CHIRALPAK® IA column (5μm, 0.54 cm ø × 25 cm, Daicel Chiral Technologies, Illkirch Cedex, France) at room temperature. All the tested compounds were dissolved in dichloromethane, and 5 μL of the sample was loaded onto the column. Ethanol and heptane were used as the mobile phase, and the flow rate was set at 1.0 mL/min. The maximal absorbance at the range of 190–400 nm was used as the detection wavelength. The purity of all the tested α-aminophosphonate derivatives 13, 15 and α-aminophosphonaic acid 23 is >95%, which meets the purity requirement by the Journal.

3.1.3. Experimental Procedures and Characterization Data for Compounds 13, 15, 16 and 23

General Procedure for the Synthesis N-Tosyl α-Iminophosphonates 10
Following a literature procedure, [28,31] to a solution of the corresponding tetrasubstituted N-tosyl α-aminophosphonate (10 mmol) in CH2Cl2 (30 mL) was added trichloroisocyanuric acid (6.97 g, 30 mmol). The resulting suspension was stirred at 0 °C until disappearance of the starting N-tosyl α-aminophosphonate, as monitored by 31P NMR (14 to 48 h). The solid residue was eliminated by filtration to afford a clear solution of intermediate N-chloro α-aminophosphonate and then, poly(4-vinylpyridine) (3.0 g), previously dried at 100 °C overnight, was added. The resulting suspension was stirred under reflux overnight and the reaction was then filtered and concentrated under reduced pressure. The resulting yellow oily crude was purified by crystallization from diethyl ether.
General Procedure for the Synthesis N-Trityl α-Iminophosphonate 14
Following a literature procedure, [33] N-bromosuccinimide (178 mg, 1 mmol) was added on a solution of dimethyl ((tritylamino)methyl)phosphonate (457 mg, 1 mmol) in CCl4 (3 mL). The mixture was stirred in quartz flask under UV light until the disappearance of starting α-aminophosphonate as monitored by 31P-NMR (δH 30.9 to 10.1 ppm). The resulting suspension was filtered under inert atmosphere to afford a clear solution of dimethyl (E)-((tritylimino)methyl)phosphonate that can be used without any further workup.
General Procedure for the Ugi Reaction of α-Phosphorated Ketimines 10 and 14
A mixture of α-iminophosphonate 10 or 14 (1 mmol), phenylacetic acid (11, 136 mg, 1 mmol) and isocyanide 12 (1.1 mmol) in ichloromethane (3 mL) was stirred at room temperature until disappearance of the starting iminophosphonate 10 as monitored by 31P-NMR. The reaction was concentrated under vacuum and the resulting crude residue was purified by crystallization (Dichomethane/Hexanes 1:3), yielding α-aminophosphonates 13, 15 or 16. In some cases, a purification by column chromatography was necessary as detailed for each compound.
Dimethyl (2-(cyclohexylamino)-1-((4-methylphenyl)sulfonamido)-2-oxo-1-phenylethyl)phosphonate (13a). The general procedure was followed, using dimethyl (E)-(phenyl(tosylimino)methyl) phosphonate (10a, 367 mg, 1 mmol), phenylacetic acid (11, 136 mg, 1 mmol) and cyclohexyl isocyanide (12a, 136 μL, 1.1 mmol) to afford 420 mg (85%) of 13a after 1 h as white crystals after crystallization (Dichloromethane/Hexanes 1:3). M.p.: 206–208 °C. 1H-NMR (400 MHz, CDCl3) δ 7.25–7.15 (m, 3H, 3 × CHAr), 7.16 (d, 3JHH = 8.3 Hz, 2H, 2 × CHAr), 7.05 (d, 3JHH = 8.5 Hz, 2H, 2 × CHAr), 7.00 (d, 3JHH = 8.3 Hz, 2H, 2 × CHAr), 6.76 (d, 3JHH = 6.4 Hz, 1H, NHCO), 6.47 (d, 3JPH = 8.2 Hz, 1H, NHTs), 3.99 (d, 3JPH = 10.7 Hz, 3H, OCH3), 3.80 (d, 3JPH = 10.5 Hz, 3H, OCH3), 3.77 (m, 1H, CHCy), 2.33 (s, 3H, CH3Ts), 1.91–1.44 (m, 4H, CH2Cy), 1.39–0.92 (m, 6H, 3 × CH2Cy) ppm. 13C-NMR {1H} (101 MHz, CDCl3) δ 166.1 (C=O), 142.5 (CquatTs), 139.2 (d, 4JPC = 1.6 Hz, CquatTs), 131.9 (d, 2JPC = 1.8 Hz, Cquat Ph), 130.2 (d, 3JPC = 8.3 Hz, 2 × CHAr Ph), 129.1 (2 × CHAr), 128.7 (CHAr), 127.9 (2 × CHAr), 126.5 (2 × CHAr), 68.5 (d, 1JPC = 157.2 Hz, Cquat-P), 55.8 (d, 2JPC = 8.2 Hz, OCH3), 55.2 (d, 2JPC = 7.5 Hz, OCH3), 49.8 (CHCy), 32.3 (CH2Cy), 32.1 (CH2Cy), 25.4 (CH2Cy), 24.6 (CH2Cy), 24.5 (CH2Cy), 21.6 (CH3Ts) ppm. 31P-NMR (121 MHz, CDCl3) δ 20.5 ppm. FTIR (neat) νmax: ν = 3426 (N-H st) 3333 (N-H st) 1678 (C=O st) 1256 (P=O st) 1333 (S=O st sym) 1164 (S=O st as) cm−1. HRMS (ESI-TOF) m/z: [M + H]+ calcd for C23H32N2O6PS 495.1719, Found 495.1718.
Methyl (2-(dimethoxyphosphoryl)-2-((4-methylphenyl)sulfonamido)-2-phenylacetyl)glycinate (13b). The general procedure was applied starting from dimethyl (E)-(phenyl(tosylimino)methyl)phosphonate (10a, 367 mg, 1 mmol), phenylacetic acid (11, 136 mg, 1 mmol) and methyl 2-isocyanoacetate (12b, 100 μL, 1.1 mmol) to afford 378 mg (78%) of 13b after 1 h as a white solid after a chromatography column (Hexanes/AcOEt 1:1), followed by crystallization (Dichloromethane/Hexanes 1:3). M.p.: 130–132 °C. 1H-NMR (400 MHz, CDCl3) δ 7.37–7.30 (m, 2H, 2 × CHAr), 7.23–7.16 (m, 3H, 3 × CHAr), 7.15 (d, 3JHH = 5.5 Hz, 1H, NHCO), 7.11–6.95 (m, 4H, 4 × CHAr), 6.64 (d, 3JPH = 6.8 Hz, 1H, NHTs), 4.00 (d, 3JHH = 5.5 Hz, 2H, CH2), 3.91 (d, 3JPH = 10.8 Hz, 3H, POCH3), 3.78 (d, 3JPH = 10.6 Hz, 3H, POCH3), 3.68 (s, 3H, COCH3), 2.33 (s, 3H, CH3Ts) ppm. 13C-NMR {1H} (101 MHz, CDCl3) δ 169.2 (C=O), 167.8 (C=O), 142.7 (CquatTs), 139.0 (CquatTs), 131.5 (CquatPh), 130.2 (d, 3JPC = 7.8 Hz, 2 × CHArPh), 129.1 (2 × CHAr), 128.9 (CHAr), 128.0 (2 × CHAr), 126.7 (2 × CHAr), 69.0 (d, 1JPC = 155.3 Hz, Cquat-P), 55.6 (d, 2JPC = 8.0 Hz, POCH3), 55.4 (d, 2JPC = 7.5 Hz, POCH3), 52.5 (COCH3), 42.2 (CH2), 21.6 (CH3Ts) ppm. 31P-NMR (121 MHz, CDCl3) δ 18.9 ppm. FTIR (neat) νmax: ν = 3437 (N-H st) 3323 (N-H st) 1675 (C=O st) 1266 (P=O st) 1338 (S=O st sym) 1165 (S=O st as) cm−1. HRMS (ESI-TOF) m/z: [M+H]+ calcd for C20H26N2O8PS 485.1147, Found 485.1149.
Dimethyl (2-(benzylamino)-1-((4-methylphenyl)sulfonamido)-2-oxo-1-phenylethyl)phosphonate (13c). The general procedure was applied starting from dimethyl (E)-(phenyl(tosylimino)methyl) phosphonate (10a, 367 mg, 1 mmol), phenylacetic acid (11, 136 mg, 1 mmol) and (isocyanomethyl) benzene (12c, 134 μL, 1.1 mmol) to afford 402 mg (80%) of 13c after 1 h as white crystals after a chromatography column (Hexanes/AcOEt 7:3), followed by crystallization (Dichloromethane/Hexanes 1:3). M.p.: 150–152 °C. 1H-NMR (400 MHz, CDCl3) δ 7.32–7.09 (m, 11H, 11 × CHAr), 7.08–6.99 (m, 3H, 3 × CHAr), 6.97 (d, 3JHH = 6.3 Hz, 1H, NHCO), 6.74 (d, 3JPH = 6.6 Hz, 1H, NHTs), 4.51 (dd, 2JHH = 14.9 Hz, 3JHH = 6.2 Hz, 1H, CHACHB), 4.35 (dd, 2JHH = 14.9 Hz, 3JHH = 5.7 Hz, 1H, CHACHB), 3.91 (d, 3JPH = 10.8 Hz, 3H, OCH3), 3.67 (d, 3JPH = 10.6 Hz, 3H, OCH3), 2.34 (s, 3H, CH3Ts) ppm. 13C-NMR {1H} (101 MHz, CDCl3) δ 167.2 (C=O), 142.7 (CquatTs), 139.2 (CquatTs), 137.2 (CquatPh), 132.0 (CquatPh), 130.1 (d, 3JPC = 8.1 Hz, 2 × CHArPh), 129.1 (2 × CHAr), 128.8 (CHAr), 128.7 (2 × CHAr), 128.1 (2 × CHAr), 127.8 (2 × CHAr), 127.7 (CHAr), 126.6 (2 × CHAr), 68.8 (d, 1JPC = 156.0 Hz, Cquat-P), 55.6 (d, 2JPC = 8.0 Hz, OCH3), 55.1 (d, 2JPC = 7.6 Hz, OCH3), 44.7 (CH2), 21.6 (CH3Ts) ppm. 31P-NMR (121 MHz, CDCl3) δ 19.3 ppm. FTIR (neat) νmax: ν = 3428 (N-H st) 3341 (N-H st) 1675 (C=O st) 1255 (P=O st) 1332 (S=O st sym) 1160 (S=O st as) cm−1. HRMS (ESI-TOF) m/z: [M + H]+ calcd for C24H28N2O6PS 503.1406, Found 503.1411.
Diethyl (2-(cyclohexylamino)-1-((4-methylphenyl)sulfonamido)-2-oxo-1-phenylethyl)phosphonate (13d). The general procedure was applied starting from diethyl (E)-(phenyl(tosylimino)methyl) phosphonate (10b, 395 mg, 1 mmol), phenylacetic acid (11, 136 mg, 1 mmol) and cyclohexyl isocyanide (12a, 136 μL, 1.1 mmol) to afford 434 mg (83%) of 13d after 6 h as white crystals after a chromatography column (Hexanes/AcOEt 8:2), followed by crystallization (Dichloromethane/Hexanes 1:3). M.p.: 122–124 °C. 1H NMR (400 MHz, CDCl3) δ 7.28–7.10 (m, 5H, 5 × CHAr), 7.05–6.95 (m, 4H, 4 × CHAr), 6.73 (d, 3JHH = 6.4 Hz, 1H, NHCO), 6.54 (d, 3JPH = 8.1 Hz, 1H, NHTs), 4.47–4.28 (m, 2H, OCH2), 4.27–4.06 (m, 2H, OCH2), 3.76 (m, 1H, CHCy), 2.33 (s, 3H, CH3Ts), 1.91–1.47 (m, 6H, 3 × CH2Cy), 1.40 (t, 3JHH = 7.0 Hz, 3H, CH3CH2), 1.27 (t, 3JHH = 7.0 Hz, 3H, CH3CH2) 1.30–0.94 (m, 4H, 2 × CH2Cy) ppm. 13C NMR {1H} (101 MHz, CDCl3) δ 166.4 (C=O), 142.4 (CquatTs), 139.3 (CquatTs), 132.1 (CquatPh), 130.4 (d, 3JPC = 7.8 Hz, 2 × CHArPh), 129.0 (2 × CHAr), 128.6 (CHAr), 127.8 (2 × CHAr), 126.6 (2 × CHAr), 68.6 (d, 1JPC = 156.2 Hz, Cquat-P), 65.5 (d, 2JPC = 8.3 Hz, OCH2), 65.0 (d, 2JPC = 7.6 Hz, OCH2), 49.7 (CHCy), 32.2 (CH2Cy), 32.2 (CH2Cy), 25.4 (CH2Cy), 24.6 (CH2Cy), 24.5 (CH2Cy), 21.5 (CH3Ts), 16.6 (d, 3JPC = 5.7 Hz, CH3CH2), 16.4 (d, 3JPC = 5.8 Hz, CH3CH2) ppm. 31P-NMR (121 MHz, CDCl3) δ 17.1 ppm. FTIR (neat) νmax: ν = 3432 (N-H st) 3340 (N-H st) 1672 (C=O st) 1253 (P=O st) 1338 (S=O st sym) 1165 (S=O st as) cm−1. HRMS (ESI-TOF) m/z: [M + H]+ calcd for C25H36N2O6PS 523.2032, Found 523.2034.
Methyl (2-(diethoxyphosphoryl)-2-((4-methylphenyl)sulfonamido)-2-phenylacetyl)glycinate (13e). The general procedure was applied starting from diethyl (E)-(phenyl(tosylimino)methyl) phosphonate (10b, 395 mg, 1 mmol), phenylacetic acid (11, 136 mg, 1 mmol) and methyl 2-isocyanoacetate (12b, 100 μL, 1.1 mmol) to afford 453 mg (88%) of 13e after 6 h as white crystals after crystallization (Dichloromethane/Hexanes 1:3). M.p.: 147–149 °C. 1H-NMR (400 MHz, CDCl3) δ 7.36–7.29 (m, 2H, 2 × CHAr), 7.21–7.11 (m, 4H, 3 × CHAr + NHCO), 7.06–6.92 (m, 4H, 4 × CHAr), 6.61 (d, 3JPH = 6.9 Hz, 1H, NHTs), 4.34–4.19 (m, 2H, OCH2), 4.18–4.04 (m, 2H, OCH2), 3.96 (dd, 3JHH = 5.5 Hz, 5JPH = 2.7 Hz, 2H, NCH2), 3.65 (s, 3H, OCH3), 2.29 (s, 3H, CH3Ts), 1.30 (t, 3JHH = 6.9 Hz, 3H, CH3CH2), 1.19 (t, 3JHH = 7.0 Hz, 3H, CH3CH2) ppm. 13C-NMR {1H} (101 MHz, CDCl3) δ 169.2 (C=O), 167.9 (C=O), 142.6 (CquatTs), 139.09 (d, 4JPC = 1.4 Hz, CquatTs), 131.6 (CquatPh), 130.4 (d, 3JPC = 7.6 Hz, 2 × CHArPh), 129.0 (2 × CHAr), 128.7 (CHAr), 127.8 (2 × CHAr), 126.7 (2 × CHAr), 69.1 (d, 1JPC = 153.9 Hz, Cquat-P), 65.4 (d, 2JPC = 8.0 Hz, OCH2), 65.1 (d, 2JPC = 7.5 Hz, OCH2), 52.4 (OCH3), 42.2 (NCH2), 21.5 (CH3Ts), 16.5 (d, 3JPC = 5.7 Hz, CH3CH2), 16.4 (d, 3JPC = 5.6 Hz, CH3CH2) ppm. 31P-NMR (121 MHz, CDCl3) δ 16.7 ppm. FTIR (neat) νmax: ν = 3425 (N-H st) 3331 (N-H st) 1678 (C=O st) 1256 (P=O st) 1332 (S=O st sym) 1165 (S=O st as) cm−1. HRMS (ESI-TOF) m/z: [M + H]+ calcd for C22H30N2O8PS 513.1460, Found 513.1462.
Diethyl (2-(benzylamino)-1-((4-methylphenyl)sulfonamido)-2-oxo-1-phenylethyl)phosphonate (13f). The general procedure was applied starting from diethyl (E)-(phenyl(tosylimino)methyl) phosphonate (10b, 395 mg, 1 mmol), phenylacetic acid (11, 136 mg, 1 mmol) and (isocyanomethyl) benzene (12c, 134 μL, 1.1 mmol) to afford 411 mg (78%) of 13f after 6 h as white crystals after crystallization (Dichloromethane/Hexanes 1:3). M.p.: 140–142 °C. 1H-NMR (400 MHz, CDCl3) δ 7.34–7.14 (m, 10H, 10 × CHAr), 7.11–6.97 (m, 5H, 4 × CHAr + NHCO), 6.69 (d, 3JPH = 5.7 Hz, 1H, NHTs), 4.52 (dd, 2JHH = 14.9, 3JHH = 6.2 Hz, 1H, NCHACHB), 4.44–4.22 (m, 3H, NCHACHB + OCH2), 4.17–3.95 (m, 2H, OCH2), 2.35 (s, 3H, CH3Ts), 1.35 (t, 3JHH = 7.0 Hz, 3H, CH3CH2), 1.17 (t, 3JHH = 7.0 Hz, 3H, CH3CH2) ppm. 13C-NMR {1H} (101 MHz, CDCl3) δ 167.5 (C=O), 142.5 (CquatTs), 139.3 (CquatTs), 137.2 (CquatPh), 132.1 (CquatPh), 130.2 (d, 3JPC = 7.7 Hz, 2 × CHArPh), 129.1 (2 × CHAr), 128.7 (2 × CHAr), 128.6 (CHAr), 128.0 (2 × CHAr), 127.8 (2 × CHAr), 127.7 (CHAr), 126.6 (2 × CHAr), 68.9 (d, 1JPC = 155.0 Hz, Cquat-P), 65.5 (d, 2JPC = 8.2 Hz, OCH2), 65.0 (d, 2JPC = 7.5 Hz, OCH2), 44.7 (NCH2), 21.6 (CH3Ts), 16.5 (d, 3JPC = 5.7 Hz, CH3CH2), 16.3 d, 3JPC = 5.7 Hz, CH3CH2) ppm. 31P-NMR (121 MHz, CDCl3) δ 16.9 ppm. FTIR (neat) νmax: ν = 3433 (N-H st) 3342 (N-H st) 1679 (C=O st) 1257 (P=O st) 1330 (S=O st sym) 1162 (S=O st as) cm−1. HRMS (ESI-TOF) m/z: [M + H]+ calcd for C26H32N2O6PS 531.1719, Found 531.1728.
Dibenzyl (2-(benzylamino)-1-((4-methylphenyl)sulfonamido)-2-oxo-1-phenylethyl)phosphonate (13g). The general procedure was applied starting from dibenzyl (E)-(phenyl(tosylimino)methyl) phosphonate (10c, 520 mg, 1 mmol), phenylacetic acid (11, 136 mg, 1 mmol) and cyclohexyl isocyanide (12a, 136 μL, 1.1 mmol) to afford 583 mg (90%) of 13g after 6 h as white crystals after a chromatography column (Hexanes/AcOEt 8:2), followed by crystallization (Ether/Pentane 1:3). M.p.: 80–82 °C. 1H-NMR (400 MHz, CDCl3) δ 7.44–7.25 (m, 10H, 10 × CHAr), 7.24–7.13 (m, 5H, 5 × CHAr), 7.04 (t, 3JHH = 7.7 Hz, 2H, 2 × CHAr), 6.96 (d, 3JHH = 8.1 Hz, 2H, 2 × CHAr), 6.82 (d, 3JHH = 6.6 Hz, 1H, NHCO), 6.44 (d, 3JPH = 8.0 Hz, 1H, NHTs), 5.31–5.09 (m, 2H, OCH2), 5.06–4.91 (m, 2H, OCH2), 3.77–3.63 (m, 1H, CHCy), 2.33 (s, 3H, CH3Ts), 1.80–0.81 (m, 10H, 5 × CH2Cy) ppm. 13C-NMR {1H} (101 MHz, CDCl3) δ 166.1 (C=O), 142.5 (CquatTs), 139.2 (CquatTs), 135.9 (d, 3JPC = 5.2 Hz, CquatBn), 135.7 (d, 3JPC = 6.0 Hz, CquatBn), 131.9 (CquatPh), 129.1 (2 × CHAr), 128.8–128.5 (m, 9 × CHAr), 128.3 (2 × CHAr), 128.2 (2 × CHAr), 127.9 (2 × CHAr), 126.6 (2 × CHAr), 70.6 (d, 2JPC = 8.0 Hz, OCH2), 70.1 (d, 2JPC = 7.5 Hz, OCH2), 68.9 (d, 1JPC = 156.4 Hz, Cquat-P), 49.8 (CHCy), 32.1 (CH2Cy), 32.0 (CH2Cy), 25.4 (CH2Cy), 24.5 (CH2Cy), 24.5 (CH2Cy), 21.6 (CH3Ts) ppm. 31P-NMR (121 MHz, CDCl3) δ (ppm): 17.7 ppm. FTIR (neat) νmax: ν = 3417 (N-H st) 3324 (N-H st) 1677 (C=O st) 1259 (P=O st) 1336 (S=O st sym) 1162 (S=O st as) cm−1. HRMS (ESI-TOF) m/z: [M + H]+ calcd for C35H40N2O6PS 647.2346, Found 647.2348.
Di-iso-propyl (2-(cyclohexylamino)-1-((4-methylphenyl)sulfonamido)-2-oxo-1-phenylethyl)phosphonate (13h). The general procedure was applied starting from di-iso-propyl (E)-(phenyl(tosylimino)methyl) phosphonate (10d, 423 mg, 1 mmol), phenylacetic acid (11, 136 mg, 1 mmol) and cyclohexyl isocyanide (12a, 136 μL, 1.1 mmol) to afford 474 mg (86%) of 13h after 14 h as white crystals after a chromatography column (Hexanes/AcOEt 8:2), followed by crystallization (Dichloromethane/Hexanes 1:3). M.p.: 141–143 °C. 1H-NMR (400 MHz, CDCl3) δ 7.32–7.27 (m, 2H, 2 × CHAr), 7.21–7.09 (m, 3H, 3 × CHAr), 7.05–6.93 (m, 4H, 4 × CHAr), 6.63 (d, 3JHH = 7.3 Hz, 1H, NHCO), 6.58 (d, 3JPH = 8.0 Hz, 1H, NHTs), 4.88 (m, 1H, CH3CH), 4.76 (m, 1H, CH3CH), 3.77 (m, 1H, CHCy), 2.32 (s, 3H, CH3Ts), 1.93–1.44 (m, 6H, 3 × CH2Cy), 1.37 (d, 3JHH = 6.1 Hz, 3H, CH3CH), 1.36 (d, 3JHH = 6.2 Hz, 3H, CH3CH), 1.24 (d, 3JHH = 6.1 Hz, 3H, CH3CH), 1.15 (d, 3JHH = 6.2 Hz, 3H, CH3CH), 1.40–0.97 (m, 4H, 2 × CH2Cy) ppm. 13C-NMR {1H} (101 MHz, CDCl3) δ 166.4 (C=O), 142.3 (CquatTs), 139.4 (CquatTs), 132.4 (CquatPh), 130.3 (d, 3JPC = 7.7 Hz, 2 × CHAr), 129.0 (2 × CHAr), 128.4 (CHAr), 127.7 (2 × CHAr), 126.7 (2 × CHAr), 73.9 (d, 2JPC = 7.8 Hz, CH3CH), 73.8 (d, 2JPC = 8.2 Hz, CH3CH), 68.8 (d, 1JPC = 156.0 Hz, Cquat-P), 49.6 (CHCy), 32.2 (2 × CH2Cy), 25.5 (CH2Cy), 24.5 (d, 3JPC = 7.2 Hz, CH3CH), 24.3 (d, 3JPC = 6.5 Hz, CH3CH), 24.2 (2 × CH2Cy), 23.9 (d, 3JPc = 5.5 Hz, CH3CH), 23.5 (d, 2JPc = 5.8 Hz, CH3CH), 21.5 (CH3Ts) ppm. 31P-NMR (121 MHz, CDCl3) δ 15.8 ppm. FTIR (neat) νmax: ν = 3424 (N-H st) 3345 (N-H st) 1680 (C=O st) 1258 (P=O st) 1335 (S=O st sym) 1165 (S=O st as) cm−1. HRMS (ESI-TOF) m/z: [M + H]+ calcd for C27H40N2O6PS 551.2345, Found 551.2348.
Methyl (2-(di-iso-propoxyphosphoryl)-2-((4-methylphenyl)sulfonamido)-2-phenylacetyl)glycinate (13i). The general procedure was applied starting from diisopropyl (E)-(phenyl(tosylimino)methyl) phosphonate (10d, 423 mg, 1 mmol), phenylacetic acid (11, 136 mg, 1 mmol) and methyl 2-isocyanoacetate (12b, 100 μL, 1.1 mmol) to afford 335 mg (62%) of 13i after 14 h as white crystals after a chromatography column (Hexanes/AcOEt 6:4), followed by crystallization (Dichloromethane/Hexanes 1:3). M.p.: 146–148 °C. 1H-NMR (400 MHz, CDCl3) δ 7.44–7.35 (m, 2H, 2 × CHAr), 7.25–7.14 (m, 4H, 3 × CHAr + NHCO), 7.08–6.98 (m, 4H, 4 × CHAr), 6.43 (d, 3JPH = 7.8 Hz, 1H, NHTs), 4.82 (hept, 3JHH = 6.0, 1H, CHCH3), 4.74 (hept, 3JHH = 6.3 Hz, 1H, CHCH3), 4.03 (d, 3JHH = 5.2 Hz, 2H, CH2), 3.72 (s, 3H, OCH3), 2.33 (s, 3H, CH3Ts), 1.34 (d, 3JHH = 6.0 Hz, 3H, CH3CH), 1.31 (d, 3JHH = 6.3 Hz, 3H, CH3CH), 1.23 (d, 3JHH = 6.3 Hz, 3H, CH3CH), 1.11 (d, 3JHH = 6.0 Hz, 3H, CH3CH) ppm. 13C-NMR {1H} (101 MHz, CDCl3) δ 169.3 (C=O), 167.9 (d, 2JPC = 1.3 Hz, C=O), 142.6 (CquatTs), 139.0 (d, 4JPC = 1.3 Hz, CquatTs), 131.8 (d, 2JPC = 1.1 Hz, CquatPh), 130.3 (d, 3JPC = 7.5 Hz, 2 × CHAr), 129.1 (2 × CHAr), 128.6 (CHAr), 127.7 (2 × CHAr), 126.8 (2 × CHAr), 74.4 (d, 2JPC = 7.9 Hz, CH), 74.1 (d, 2JPC = 8.0 Hz, CH), 69.5 (d, 1JPC = 152.4 Hz, Cquat-P), 52.5 (OCH3), 42.2 (CH2), 24.3 (d, 3JPC = 5.0 Hz, CH3CH), 24.2 (d, 3JPC = 4.5 Hz, CH3CH), 23.8 (d, 3JPC = 5.7 Hz, CH3CH), 23.4 (d, 3JPC = 6.0 Hz, CH3CH), 21.6 (CH3Ts) ppm. 31P-NMR (121 MHz, CDCl3) δ 15.1 ppm. FTIR (neat) νmax: ν = 3425 (N-H st) 3334 (N-H st) 1674 (C=O st) 1254 (P=O st) 1330 (S=O st sym) 1163 (S=O st as) cm−1. HRMS (ESI-TOF) m/z: [M + H]+ calcd for C24H34N2O8PS 541.1773, Found 541.1778.
Di-iso-propyl (2-(benzylamino)-1-((4-methylphenyl)sulfonamido)-2-oxo-1-phenylethyl)phosphonate (13j). The general procedure was applied starting from di-iso-propyl (E)-(phenyl(tosylimino)methyl) phosphonate (10d, 423 mg, 1 mmol), phenylacetic acid (11, 136 mg, 1 mmol) and (isocyanomethyl) benzene (12c, 134 μL, 1.1 mmol) to afford 464 mg (83%) of 13j after 14 h as white crystals after a chromatography column (Hexanes/AcOEt 8:2), followed by crystallization (Dichloromethane/Hexanes 1:3). M.p.: 100–102 °C. 1H-NMR (400 MHz, CDCl3) δ 7.39–7.31 (m, 2H, 2 × CHAr), 7.30–7.13 (m, 8H, 7 × CHAr + NHCO), 7.06–6.98 (m, 5H, 5 × CHAr), 6.59 (d, 3JPH = 7.4 Hz, 1H, NHTs), 4.85 (hept, 3JHH = 6.2 Hz, 1H, CH), 4.64 (hept, 3JHH = 6.1 Hz, 1H, CH), 4.55 (dd, 2JHH = 14.9, 3JHH = 6.3 Hz, 1H, CHACHB), 4.33 (dd, 2JHH = 14.9, 3JHH = 5.3 Hz, 1H, CHACHB), 2.33 (s, 3H, CH3Ts), 1.33 (d, 3JHH = 6.1 Hz, 3H, CH3CH), 1.30 (d, 3JHH = 6.2 Hz, 3H, CH3CH), 1.14 (d, 3JHH = 6.1 Hz, 3H, CH3CH), 1.06 (d, 3JHH = 6.2 Hz, 3H, CH3CH) ppm. 13C-NMR {1H} (101 MHz, CDCl3) δ 167.5 (C=O), 142.5 (CquatTs), 139.3 (d, 4JPC = 1.3 Hz, CquatTs), 137.2 (CquatPh), 132.4 (CquatPh), 130.2 (d, 3JPC = 7.6 Hz, 2 × CHAr), 129.0 (2 × CHAr), 128.7 (2 × CHAr), 128.5 (CHAr), 127.8 (2 × CHAr), 127.8 (2 × CHAr), 127.7 (CHAr), 126.8 (2 × CHAr), 74.1 (d, 2JPC = 8.0 Hz, 2 × CH), 69.1 (d, 1JPC = 154.6 Hz, Cquat-P), 44.6 (CH2), 24.3 (d, 2JPC = 3.6 Hz, CH3CH), 24.1 (d, 2JPC = 3.0 Hz, CH3CH), 23.8 (d, 2JPc = 5.8 Hz, CH3CH), 23.5 (d, 2JPC = 5.7 Hz, CH3CH), 21.6 (CH3Ts) ppm. 31P-NMR (121 MHz, CDCl3) δ 15.4 ppm. FTIR (neat) νmax: ν = 3423 (N-H st) 3336 (N-H st) 1678 (C=O st) 1256 (P=O st) 1331 (S=O st sym) 1162 (S=O st as) cm−1.HRMS (ESI-TOF) m/z: [M + H]+ calcd for C28H36N2O6PS 559.2032, Found 559.2038.
Dimethyl (2-(cyclohexylamino)-1-((4-methylphenyl)sulfonamido)-1-(4-nitrophenyl)-2-oxoethyl)phosphonate (13k). The general procedure was applied starting from dimethyl (E)-((4-nitrophenyl)(tosylimino)methyl)phosphonate (10e, 412 mg, 1 mmol), phenylacetic acid (11, 136 mg, 1 mmol) and cyclohexyl isocyanide (12a, 136 μL, 1mmol) to afford 418 mg (78%) of 13k after 1 h as white crystals after a chromatography column (Hexanes/AcOEt 7:3), followed by crystallization (Dichloromethane/Hexanes 1:3). M.p.: 100–102 °C. 1H-NMR (400 MHz, CDCl3) δ 7.88–7.84 (m, 2H, 2 × CHAr), 7.52 (d, 3JHH = 8.7 Hz, 2H, 2 × CHAr), 7.22 (d, 3JHH = 8.7 Hz, 2H, 2 × CHAr), 7.08–7.01 (m, 2H, 2 × CHAr), 6.79 (d, 3JHH = 8.2 Hz, 1H, NHCO), 6.77 (d, 3JPH = 8.1 Hz, 1H, NHTos), 3.96 (d, 3JPH = 10.9 Hz, 3H, OCH3), 3.76 (d, 3JPH = 10.7 Hz, 3H, OCH3), 3.76 (m, 1H, CHCy), 2.37 (s, 3H, CH3Ts), 1.93–1.51 (m, 4H, 2 × CH2Cy), 1.41–0.97 (m, 6H, 3 × CH2Cy) ppm. 13C-NMR {1H} (101 MHz, CDCl3) δ 165.0 (C=O), 147.5 (Cquat-NO2), 143.6 (Cquat Ts), 139.7 (Cquat Ts), 138.8 (CquatAr), 130.9 (d, 3JPC = 7.6 Hz, 2 × CHAr), 129.3 (2 × CHAr), 126.5 (2 × CHAr), 122.8 (2 × CHAr), 67.8 (d, 1JPC = 153.9 Hz, Cquat-P), 56.0 (d, 2JPC = 8.0 Hz, OCH3), 55.6 (d, 2JPC = 7.6 Hz, OCH3), 50.0 (CHCy), 32.3 (CH2Cy), 32.2 (CH2Cy), 25.4 (CH2Cy), 24.6 (CH2Cy), 24.5 (CH2Cy), 21.6 (CH3Ts) ppm. 31P-NMR (121 MHz, CDCl3) δ 18.8 ppm. FTIR (neat) νmax: ν = 3422 (N-H st) 3346 (N-H st) 1677 (C=O st) 1263 (P=O st) 1348 (S=O st sym) 1165 (S=O st as) cm−1. HRMS (ESI-TOF) m/z: [M + H]+ calcd for C23H31N3O8PS 540.1569, Found 540.1571.
Dimethyl (1-(4-bromophenyl)-2-(cyclohexylamino)-1-((4-methylphenyl)sulfonamido)-2-oxoethyl)phosphonate (13l). The general procedure was applied starting from dimethyl (E)-((4-bromophenyl)(tosylimino)methyl)phosphonate (10f, 446 mg, 1 mmol), phenylacetic acid (11, 136 mg, 1 mmol) and cyclohexyl isocyanide (12a, 136 μL, 1 mmol) to afford 495 mg (87%) of 13l after 1 h as white crystals after crystallization (Dichloromethane/Hexanes 1:3). M.p.: 150–152 °C. 1H-NMR (400 MHz, CDCl3) δ 7.16 (d, 3JHH = 8.3 Hz, 2 × CHAr), 7.09 (m, seen as s, 4H, 4 × CHAr), 7.04 (d, 3JHH = 8.3 Hz, 2H, 2 × CHAr), 6.77 (d, 3JHH = 7.4 Hz, 1H, NHCO), 6.60 (d, 3JPH = 8.2 Hz, 1H, NHTs), 3.96 (d, 3JPH = 10.8 Hz, 3H, OCH3), 3.77 (d, 3JPH = 10.6 Hz, 3H, OCH3), 3.74 (m, 1H, CHCy), 2.36 (s, 3H, CH3Ts), 1.91–1.48 (m, 4H, 2 × CH2Cy), 1.41–0.95 (m, 6H, 3 × CH2Cy) ppm. 13C-NMR {1H} (101 MHz, CDCl3) δ 165.7 (C=O), 143.0 (CquatTs), 138.9 (CquatTs), 131.8 (d, 3JPC = 8.1 Hz, 2 × CHAr), 131.1 (CquatAr), 130.9 (2 × CHAr), 129.2 (2 × CHAr), 126.5 (2 × CHAr), 123.4 (Cquat-Br), 67.9 (d, 1JPC = 155.9 Hz, Cquat-P), 55.9 (d, 2JPC = 8.2 Hz, OCH3), 55.4 (d, 2JPC = 7.5 Hz, OCH3), 49.8 (CHCy), 32.3 (CH2Cy), 32.2 (CH2Cy), 25.4 (CH2Cy), 24.6 (CH2Cy), 24.5 (CH2Cy), 21.6 (CH3Ts) ppm. 31P-NMR (121 MHz, CDCl3) δ 19.2 ppm. FTIR (neat) νmax: ν = 3421 (N-H st) 3320 (N-H st) 1670 (C=O st) 1250 (P=O st) 1343 (S=O st sym) 1165 (S=O st as) cm−1. HRMS (ESI-TOF) m/z: [M + H]+ calcd for C23H31BrN2O6PS 573.0824, Found 573.0830.
Dimethyl (1-(4-chlorophenyl)-2-(cyclohexylamino)-1-((4-methylphenyl)sulfonamido)-2-oxoethyl)phosphonate (13m). The general procedure was applied starting from dimethyl (E)-((4-chlorophenyl)(tosylimino)methyl) phosphonate (10g, 402 mg, 1 mmol), phenylacetic acid (11, 136 mg, 1 mmol) and cyclohexyl isocyanide (12a, 136 μL, 1 mmol) to afford 422 mg (80%) of 13m after 1 h as white crystals after a chromatography column (Hexanes/AcOEt 7:3), followed by crystallization (Dichloromethane/Hexanes 1:3). M.p.: 165–167 °C. 1H-NMR (400 MHz, CDCl3) δ 7.19–7.12 (m, 4H, 4 × CHAr), 7.04 (d, 3JHH = 8.2 Hz, 2H, 2 × CHAr), 6.95 (d, 3JHH = 8.2 Hz, 2H, 2 × CHAr), 6.76 (d, 3JHH = 7.2 Hz, 1H, NHCO), 6.58 (d, 3JPH = 8.1 Hz, 1H, NHTs), 3.97 (d, 3JPH = 10.8 Hz, 3H, OCH3), 3.78 (d, 3JPH = 10.6 Hz, 3H, OCH3), 3.75 (m, 1H, CHCy), 2.36 (s, 3H, CH3Ts), 1.91–0.95 (m, 10H, 5 × CH2Cy) ppm. 13C-NMR {1H} (101 MHz, CDCl3) δ 165.7 (C=O), 142.9 (CquatTs), 139.0 (CquatTs), 135.0 (CquatAr), 131.5 (d, 3JPC = 7.7 Hz, 2 × CHAr), 130,6 (Cquat-Cl), 129.1 (2 × CHAr), 128.0 (2 × CHAr), 126.5 (2 × CHAr), 67.8 (d, 1JPC = 155.9 Hz, Cquat-P), 55.9 (d, 2JPC = 8.2 Hz, OCH3), 55.4 (d, 2JPC = 7.5 Hz, OCH3), 49.8 (CHCy), 32.3 (CH2Cy), 32.2 (CH2Cy), 25.4 (CH2Cy), 24.6 (CH2Cy), 24.5 (CH2Cy), 21.6 (CH3Ts) ppm. 31P-NMR (121 MHz, CDCl3) δ (ppm): 19.2 ppm. FTIR (neat) νmax: ν = 3417 (N-H st) 3319 (N-H st) 1670 (C=O st) 1258 (P=O st) 1353 (S=O st sym) 1160 (S=O st as) cm−1. HRMS (ESI-TOF) m/z: [M + H]+ calcd for C23H31ClN2O6PS 529.1331, Found 529.1335.
Dimethyl (2-(cyclohexylamino)-1-(2-fluorophenyl)-1-((4-methylphenyl)sulfonamido)-2-oxoethyl)phosphonate (13n). The general procedure was applied starting from dimethyl (E)-((2-fluorophenyl)(tosylimino)methyl) phosphonate (10h, 385 mg, 1 mmol), phenylacetic acid (11, 136 mg, 1 mmol) and cyclohexyl isocyanide (12a, 136 μL, 1 mmol) to afford 370 mg (73%) of 13n after 1 h as white crystals after crystallization (Dichloromethane/Hexanes 1:3). M.p.: 203–205 °C. 1H-NMR (400 MHz, CDCl3) δ 7.88 (t, 3JFH = 7.3 Hz, 1H, CHAr), 7.22 (m, 1H, CHAr), 7.18–7.09 (m, 3H, 3 × CHAr), 7.03–6.93 (m, 3H, 3 × CHAr), 6.41 (m, 1H, NHCO), 5.98 (d, 3JPH = 8.2 Hz, 1H, NHTs), 4.03 (d, 3JPH = 10.7 Hz, 3H, OCH3), 3.87 (d, 3JPH = 10.5 Hz, 3H, OCH3), 3.75 (m, 1H, CHCy), 2.32 (s, 3H, CH3Ts), 1.88–1.44 (m, 4H, 2 × CH2Cy), 1.38–0.78 (m, 6H, 3 × CH2Cy) ppm. 13C-NMR {1H} (101 MHz, CDCl3) δ 165.3 (C=O), 160.6 (dd, 1JFC = 252.7, 3JPC = 13.1 Hz, CF). 142.7 (CquatTs), 138.4 (d, CquatTs), 134.2 (d, 3JFC = 5.2 Hz, CHAr), 131.5 (d, 3JFC = 9.1 Hz, CHAr), 129.0 (2 × CHAr), 126.6 (2 × CHAr), 123.9 (d, 4JFC = 3.4 Hz, CHAr), 119.9 (dd, 2JFC = 10.8, 2JPC = 4.6 Hz, CquatAr), 115.7 (d, 2JFC = 22.5 Hz, CHAr), 64.6 (d, 1JPC = 158.9 Hz, Cquat-P), 56.2 (d, 2JPC = 8.5 Hz, OCH3), 55.6 (d, 2JPC = 7.7 Hz, OCH3), 50.0 (CHCy), 32.2 (2 × CH2Cy), 25.4 (CH2Cy), 24.7 (CH2Cy), 24.6 (CH2Cy), 21.6 (CH3Ts) ppm. 31P-NMR (121 MHz, CDCl3) δ 17.8 ppm. 19F-NMR (282 MHz, CDCl3) δ −105.5 ppm. FTIR (neat) νmax: ν = 3417 (N-H st) 3319 (N-H st) 1672 (C=O st) 1268 (P=O st) 1352 (S=O st sym) 1165 (S=O st as) cm−1. HRMS (ESI-TOF) m/z: [M + H]+ calcd for C23H31FN2O6PS 513.1624, Found 513.1630.
Dimethyl (2-(cyclohexylamino)-1-((4-methylphenyl)sulfonamido)-2-oxo-1-(perfluorophenyl)ethyl)phosphonate (13o). The general procedure was applied starting from dimethyl (E)-((perfluorophenyl)(tosylimino)methyl) phosphonate (10i, 457 mg, 1 mmol), phenylacetic acid (11, 136 mg, 1 mmol) and cyclohexyl isocyanide (12a, 136 μL, 1 mmol) to afford 514 mg (88%) of 13o after 1 h as white crystals after crystallization (Dichloromethane/Hexanes 1:3). M.p. (Dichloromethane/Hexanes) = 189–191 °C. 1H-NMR (400 MHz, CDCl3) δ 7.31 (d, 3JHH = 8.1 Hz, 2H, 2 × CHAr), 7.11 (d, 3JHH = 8.1 Hz, 2H, 2 × CHAr), 6.92 (d, 3JHH = 7.3 Hz, 1H, NHCO), 6.40 (br s, 1H, NHTs), 4.01 (d, 3JPH = 10.9 Hz, 3H, OCH3), 3.82 (d, 3JPH = 10.7 Hz, 3H, OCH3), 3.79–3.69 (m, 1H, CHCy), 2.36 (s, 3H, CH3Ts), 1.96–0.94 (m, 10H, 5 × CH2Cy) ppm. 13C-NMR {1H} (101 MHz, CDCl3) δ 164.0 (C=O), 146.4 (m, 2 × CF), 144.0 (CquatTs), 142.1 (m, 2 × CF), 137.8 (CquatTs), 137.5 (m, CF), 129.2 (2 × CHAr), 126.3 (2 × CHAr), 108.9 (m, CquatAr), 61.2 (d, 1JPC = 159.7 Hz, Cquat-P), 56.4 (d, 2JPC = 8.6 Hz, OCH3), 55.9 (d, 2JPC = 8.1 Hz, OCH3), 50.3 (CHCy), 32.3 (CH2Cy), 31.9 (CH2Cy), 25.4 (CH2Cy), 24.7 (CH2Cy), 24.6 (CH2Cy), 21.5 (CH3Ts) ppm. 31P-NMR (121 MHz, CDCl3) δ 15.9 ppm. 19F-NMR (282 MHz, CDCl3) δ −129.4, −151.7, −162.3 ppm. FTIR (neat) νmax: ν = 3417 (N-H st) 3316 (N-H st) 1677 (C=O st) 1268 (P=O st) 1330 (S=O st sym) 1165 (S=O st as) cm−1. HRMS (ESI-TOF) m/z: [M + H]+ calcd for C23H27F5N2O6PS 585.1249, Found 584.1166.
Dimethyl (2-(cyclohexylamino)-1-((4-methylphenyl)sulfonamido)-2-oxo-1-(4-((trichloromethyl)thio)phenyl)ethyl)phosphonate (13p). The general procedure was applied starting from dimethyl (E)-((tosylimino)(4-((trichloromethyl)thio)phenyl)methyl) phosphonate (10j), phenylacetic acid (11, 136 mg, 1 mmol) and cyclohexyl isocyanide (12a, 136 μL, 1 mmol) to afford 580 mg (92%) of 13p after 14 h as white crystals after a chromatography column (Hexanes/AcOEt 7:3), followed by crystallization (Dichloromethane/Hexanes 1:3). M.p.: 148–150 °C. 1H-NMR (400 MHz, CDCl3) δ 7.49 (d, 3JHH = 8.4 Hz, 2H, 2 × CHAr), 7.42 (d, 3JHH = 8.4 Hz, 2H, 2 × CHAr), 7.24 (d, 3JHH = 8.1 Hz, 2H, 2 × CHAr), 7.06 (d, 3JHH = 8.1 Hz, 2H, 2 × CHAr), 6.75 (d, 3JHH = 6.8 Hz, 1H, NHCO), 6.58 (d, 3JPH = 8.2 Hz, 1H, NHTs), 3.96 (d, 3JPH = 10.8 Hz, 3H, OCH3), 3.77 (d, 3JPH = 10.6 Hz, 3H, OCH3), 3.71 (m, 1H, CHCy), 2.33 (s, 3H, CH3Ts), 1.91–1.45 (m, 4H, 2 × CH2Cy), 1.39–0.94 (m, 6H, 3 × CH2Cy) ppm. 13C-NMR {1H} (101 MHz, CDCl3) δ 165.4 (C=O), 143.1 (CquatTs), 139.1 (CquatTs), 136.4 (2 × CHAr), 136.2 (CquatAr), 131.2 (CquatAr) 130.8 (d, 3JPC = 7.9 Hz, 2 × CHAr), 129.3 (2 × CHAr), 126.5 (2 × CHAr), 98.2 (CCl3), 68.0 (d, 1JPC = 155.9 Hz, Cquat-P), 55.9 (d, 2JPC = 8.1 Hz, OCH3), 55.4 (d, 2JPC = 7.5 Hz, OCH3), 49.8 (CHCy), 32.2 (CH2Cy), 32.0 (CH2Cy), 25.4 (CH2Cy), 24.5 (CH2Cy), 24.4 (CH2Cy), 21.6 (CH3Ts) ppm. 31P-NMR (121 MHz, CDCl3) δ (ppm) 19.0 ppm. FTIR (neat) νmax: ν = 3412 (N-H st) 3337 (N-H st) 1677 (C=O st) 1265 (P=O st) 1353 (S=O st sym) 1160 (S=O st as) cm−1. HRMS (ESI-TOF) m/z: [M + H]+ calcd for C24H31Cl3N2O6PS2 643.0427, Found 643.0430.
Dimethyl (1-(3-chloro-4-methoxyphenyl)-2-(cyclohexylamino)-1-((4-methylphenyl)-sulfonamido)-2-oxoethyl)-phosphonate (13q). The general procedure was followed, using dimethyl (E)-((3-chloro-4-methoxyphenyl)(tosylimino)-methyl) phosphonate (10k, 431 mg, 1 mmol), phenylacetic acid (11, 136 mg, 1 mmol) and cyclohexyl isocyanide (12a, 136 μL, 1 mmol) to afford 418 mg (75%) of 13q after 14 h as white crystals after crystallization (Dichloromethane/Hexanes 1:3). M.p.: 115–117 °C. 1H-NMR (400 MHz, CDCl3) δ 7.45 (m, 1H, CHAr), 7.34 (d, 3JHH = 4.4 Hz, 1H, NHCO), 7.15 (d, 3JHH = 8.0 Hz, 2H, 2 × CHAr), 7.02 (d, 3JHH = 8.0 Hz, 2H, 2 × CHAr), 6.78–6.29 (m, 2H, 2 × CHAr), 6.53 (d, 3JPH = 7.5 Hz, 1H, NHTs), 4.04 (d, 3JPH = 10.7 Hz, 3H, OCH3), 3.87 (s, 3H, OCH3), 3.83 (d, 3JPH = 10.4 Hz, 3H, OCH3), 3.79 (m, 1H, CHCy), 2.34 (s, 3H, CH3Ts), 1.87–1.02 (m, 10H, 5 × CH2Cy) ppm. 13C-NMR {1H} (101 MHz, CDCl3) δ 165.9 (C=O), 155.2 (Cquat), 143.2 (Cquat Ts), 138.7 (Cquat Ts), 132.0 (d, 3JPC = 10.9 Hz, CHAr), 131.0 (d, 3JPC = 6.7 Hz, CHAr), 129.2 (2 × CHAr Ts), 126.4 (2 × CHAr Ts), 124.3 (Cquat), 121.9 (Cquat), 110.2 (CHAr), 67.5 (d, 1JPC = 157.8 Hz, Cquat-P), 56.3 (OCH3), 56.2 (d, 2JPC = 7.4 Hz, OCH3), 55.4 (d, 2JPC = 7.5 Hz, OCH3), 49.8 (CHCy), 32.3 (CH2Cy), 32.2 (CH2Cy), 25.4 (CH2Cy), 24.6 (CH2Cy), 24.5 (CH2Cy), 21.6 (CH3 Ts) ppm. 31P-NMR (121 MHz, CDCl3) δ 19.1 ppm. FTIR (neat) νmax: ν = 3434 (N-H st) 3323 (N-H st) 1677 (C=O st) 1258 (P=O st) 1334 (S=O st sym) 1160 (S=O st as) cm−1. HRMS (ESI-TOF) m/z: [M + H]+ calcd for C24H33ClN2O7PS 559.1436, Found 559.1437.
Dimethyl (2-(cyclohexylamino)-2-oxo-1-(2-phenyl-N-tosylacetamido)-1-(4-(trifluoromethyl)phenyl)ethyl)phosphonate (15a). The general procedure was applied starting from dimethyl (E)-((tosylimino)(4-(trifluoromethyl)phenyl)methyl) phosphonate (10l, 435 mg, 1 mmol), phenylacetic acid (11, 136 mg, 1 mmol) and cyclohexyl isocyanide (12a, 136 μL, 1 mmol) to afford 579 mg (85%) of 15a after 1 h as white crystals after a chromatography column (Hexanes/AcOEt 7:3), followed by crystallization (Dichloromethane/Hexanes 1:3). M.p.: 84–86 °C. 1H-NMR (400 MHz, CDCl3) δ 8.20 (d, 3JHH = 8.0 Hz, 2H, 2 × CHAr), 7.78 (d, 3JHH = 8.3 Hz, 2H, 2 × CHAr), 7.57 (d, 3JHH = 8.3 Hz, 2H, 2 × CHAr), 7.36 (d, 3JHH = 8.0 Hz, 2H, 2 × CHAr), 7.28–7.17 (m, 5H, 5 × CHAr), 5.95 (br s, 1H, NHCO), 4.20 (d, 2JHH = 17.1 Hz, 1H, CHACHB), 3.98 (d, 2JHH = 17.1 Hz, 1H, CHACHB), 3.84 (d, 3JPH = 11.2 Hz, 3H, OCH3), 3.80–3.68 (m, 1H, CHCy), 3.50 (d, 3JPH = 11.5 Hz, 3H, OCH3), 2.44 (s, 3H, CH3Ts), 1.98–0.90 (m, 10H, 6 × CH2Cy) ppm. 13C-NMR {1H} (101 MHz, CDCl3) δ 176.6 (C=O), 164.7 (d, 2JPC = 5.2 Hz, C=O), 144.8 (CquatTs), 138.5 Cquat), 138.4 (CquatTs), 133.9 (CquatCF3), 133.6 (CquatAr), 130.2 (2 × CHAr), 129.9 (2 × CHAr), 129.2 (d, 3JPC = 5.3 Hz, 2 × CHAr), 128.4 (2 × CHAr), 128.0 (2 × CHAr), 127.3 (d, 4JFC = 3.8 Hz, 2 × CHAr), 125.1 (CHAr), 123.9 (q, 1JFC = 272.3 Hz, CF3), 79.4 (d, 1JPC = 147.5 Hz, Cquat-P), 55.4 (d, 2JPC = 7.3 Hz, OCH3), 55.1 (d, 2JPC = 7.7 Hz, OCH3), 49.2 (CHCy), 45.7 (CH2Bn), 32.4 (CH2Cy), 31.9 (CH2Cy), 25.5 (CH2Cy), 24.6 (CH2Cy), 24.4 (CH2Cy), 21.8 (CH3Ts) ppm. 31P-NMR (121 MHz, CDCl3) δ (ppm): 22.1 ppm. 19F-NMR (282 MHz, CDCl3) δ −63.1.ppm. FTIR (neat) νmax: ν = 3430 (N-H st) 1676 (C=O st) 1248 (P=O st) 1330 (S=O st sym) 1160 (S=O st as) cm−1.HRMS (ESI-TOF) m/z: [M + H]+ calcd for C32H36F3N2O7PS 680.1933, Found 680.1934.
Dimethyl (2-(cyclohexylamino)-1-((4-methylphenyl)sulfonamido)-2-oxo-1-(4-(trifluoromethyl)phenyl)ethyl)phosphonate (13r). Exposure of 15a under air moisture for 48 h yields 13r in quantitative yield as white crystals after crystallization (Dichloromethane/Hexanes 1:3). M.p.: 88–90 °C. 1H-NMR (400 MHz, CDCl3) δ 7.36 (d, 3JHH = 7.8 Hz, 2H, 2 × CHAr), 7.22 (d, 3JHH = 7.8 Hz, 2H, 2 × CHAr), 7.11 (d, 3JHH = 8.4 Hz, 2H, 2 × CHAr), 6.98 (d, 3JHH = 8.4 Hz, 2H, 2 × CHAr), 6.84 (d, 3JHH = 7.8 Hz, 1H, NHCO), 6.70 (d, 3JPH = 8.1 Hz, 1H, NHTs), 3.99 (d, 3JPH = 10.8 Hz, 3H, OCH3), 3.80 (m, 1H, CHCy), 3.78 (d, 3JPH = 10.6 Hz, 3H, OCH3), 2.32 (s, 3H, CH3Tos), 1.91–0.94 (m, 10H, 5 × CH2Cy) ppm. 13C-NMR {1H} (101 MHz, CDCl3) δ 165.4 (C=O), 143.0 (CquatTs), 138.8 (CquatTs), 135.8 (Cquat), 130.6 (q seen as d, 3JFC = 7.9 Hz, 2 × CHAr), 130.7 (d, 2JPC = 32.8 Hz, CquatCF3), 129.2 (2 × CHAr), 126.3 (2 × CHAr), 124.6 (d, 4JFC = 3.7 Hz, 2 × CHAr), 123.7 (q, 1JFC = 272.5 Hz, CF3), 68.0 (d, 1JPC = 155.2 Hz, Cquat-P), 55.8 (d, 2JPC = 8.1 Hz, OCH3), 55.5 (d, 2JPC = 7.6 Hz, OCH3), 49.9 (CHCy), 32.2 (CH2Cy), 32.1 (CH2Cy), 25.3 (CH2Cy), 24.6 (CH2Cy), 24.6 (CH2Cy), 21.4 (CH3Tos) ppm. 31P-NMR (121 MHz, CDCl3) δ (ppm): 20.0 ppm. 19F-NMR (282 MHz, CDCl3) δ −63.5.ppm. FTIR (neat) νmax: ν = 3430 (N-H st) 3332 (N-H st) 1677 (C=O st) 1259 (P=O st) 1326 (S=O st sym) 1165 (S=O st as) cm−1.HRMS (ESI-TOF) m/z: [M + H]+ calcd for C24H30F3N2O6PS 562.1514, Found 562.1519.
Dimethyl (2-(cyclohexylamino)-1-(4-fluorophenyl)-2-oxo-1-(2-phenyl-N-tosylacetamido)ethyl)phosphonate (15b). The general procedure was followed, using dimethyl (E)-(4-fluorophenyl phenyl(tosylimino)methyl) phosphonate (10m, 385 mg, 1 mmol), phenylacetic acid (11, 136 mg, 1 mmol) and cyclohexyl isocyanide (12a, 136 μL, 1 mmol) to afford 536 mg (85%) of 15b after 14 h as white crystals after column chromatography (Hexanes/AcOEt 8:2), followed by crystallization (Dichloromethane/Hexanes 1:3). M.p.: 90–92 °C. 1H-NMR (400 MHz, CDCl3) δ 1H-NMR (400 MHz, CDCl3) δ 8.26 (d, 3JHH = 7.9 Hz, 2H, 2 × CHAr), 7.05 (m, 2H, 2 × CHAr), 7.37 (d, 3JHH = 8.1 Hz, 2H, 2 × CHAr), 7.28–7.18 (m, 5H, 5 × CHAr), 7.03 (dd, seen as t, 3JHH = 8.5 Hz, 3JHH = 8.5 Hz, 2H, 2 × CHAr), 5.93 (broad s, 1H, NH), 4.17 (d, 2JHH = 17.1 Hz, 1H, CH2), 3.92 (d, 2JHH = 17.1 Hz, 1H, CH2), 3.82 (d, 3JPH = 11.2 Hz, 3H, OCH3), 3.73 (m, 1H, CHCy), 3.50 (d, 3JPH = 11.5 Hz, 3H, OCH3), 2.44 (s, 3H, CH3Ts), 1.85–0.94 (m, 10H, 5 × CH2Cy) ppm. 13C-NMR {1H} (101 MHz, CDCl3) δ 176.4 (C=O), 165.3 (d, 2JPC = 4.8 Hz, C=O), 162.4 (d, 1JFC = 248.9 Hz, CAr-F), 144.6 (Cquat), 138.6 (Cquat), 133.8 (Cquat), 131.9 (m, Cquat + 2 × CHAr), 130.2 (2 × CHAr), 129.8 (2 × CHAr), 128.4 (2 × CHAr), 128.0 (2 × CHAr), 127.2 (CHAr), 115.2 (d, 2JFC = 21.6 Hz, 2 × CHAr), 78.9 (d, 1JPC = 148.5 Hz, Cquat-P), 55.2 (d, 3JPc = 7.2 Hz, CH3O), 54.9 (d, 3JPC = 7.7 Hz, CH3O), 48.9 (CH Cy), 45.7 (CH2 Bn), 32.4 (CH2 Cy), 31.9 (CH2 Cy), 25.6 (CH2 Cy), 24.5 (CH2 Cy), 24.4 (CH2 Cy), 21.8 (CH3 Ts) ppm. 31P-NMR (121 MHz, CDCl3) δ 21.8 ppm. 19F NMR (282 MHz, CDCl3): δ −113.9 ppm. FTIR (neat) νmax: ν = 3426 (N-H st) 1677 (C=O st) 1263 (P=O st) 1348 (S=O st sym) 1156 (S=O st as) cm−1. HRMS (ESI-TOF) m/z: [M + H]+ calcd for C31H36FN2O7PS 631.2043, Found 631.2040.
Dimethyl (2-(cyclohexylamino)-2-oxo-1-(2-phenylacetamido)ethyl)phosphonate (16). The general procedure was followed, using dimethyl (E)-dimethyl (E)-(phenyl(tritylimino)methyl)phosphonate (14, 455 mg, 1 mmol), phenylacetic acid (11, 136 mg, 1 mmol) and cyclohexyl isocyanide (12a, 136 μL, 1 mmol) to afford 536 mg (65%) of 16 after 14 h as white crystals after column chromatography (Hexanes/AcOEt 8:2), followed by crystallization (Dichloromethane/Hexanes 1:3). M.p.: 121–122 °C. 1H-NMR (300 MHz, CDCl3) δ 1H-NMR (400 MHz, CDCl3) δ 7.43–7.20 (m, 5H, 5 × CHAr), 5.25 (d, 2JPH = 20.6 Hz, 1H, CH-P), 4.91 (br s, 2H, 2 × NH), 3.73 (br s, 3H, OCH3), 3.70 (br s, 3H, OCH3), 3.63 (m, 1H, CHCy), 3.58 (s, 2H, CH2), 1.84–1.65 (m, 4H, 2 × CH2Cy), 1.36–1.13 (m, 6H, 3 × CH2Cy) ppm. 13C-NMR {1H} (101 MHz, CD3OD) δ 174.3 (C=O), 172.0 (d, 2JPC = 5.3 Hz, C=O), 135.3 (Cquat), 129.0 (2 × CHAr), 128.3 (2 × CHAr), 126.7 (CHAr), 53.5 (d, 3JPc = 6.8 Hz, CH3O), 53.3 (d, 3JPc = 6.4 Hz, CH3O), 50.5 (d, 1JPC = 148.0 Hz, Cquat-P), 49.0 (CH Cy), 42.0 (CH2 Bn), 32.2 (CH2 Cy), 32.1 (CH2 Cy), 25.3 (CH2 Cy), 24.7 (CH2 Cy), 24.6 (CH2 Cy) ppm. 31P-NMR (121 MHz, CDCl3) δ 21.0 ppm. FTIR (neat) νmax: ν = 3436 (N-H st) 3334 (N-H st) 1674 (C=O st) 1265 (P=O st) 1342 (S=O st sym) 1160 (S=O st as) cm−1.HRMS (ESI-TOF) m/z: [M + H]+ calcd for C18H27N2O5P, 383.1736, Found 383.1741.
Procedure for the Hydrolysis of Phosphonate Ester 13b
A solution of α-aminophosphonate 13b, (242 mg, 0.5 mmol) and bromotrimethylsilane (765 mg, 2.5 mmol) was stirred at room temperature in chloroform (3 mL) for 24 h until disappearance of the starting materials as monitored by 31P-NMR. Water (3 mL) was then added and the volatiles were distilled off at reduced pressure. The crude residue was crystallized from a mixture Dichloromethane/methanol (95:5) to afford 267 mg (99%) of 23 as a white solid. M.p.: 204–206 °C. 1H-NMR (400 MHz, D2O) δ 7.39 (d, 3JHH = 7.3 Hz, 2H, 2 × CHAr), 7.25 (d, 3JHH = 8.5 Hz, 2H, 2 × CHAr), 7.20–7.14 (m, 2H, 3H, 3 × CHAr), 7.12–7.05 (m, 2H, 2 × CHAr), 3.98 (d, 2JHH = 17.9 Hz, 1H, CHACHB), 3.72 (d, 2JHH = 17.9 Hz, 1H, CHACHB), 3.60 (s, 3H, OCH3), 2.20 (s, 3H, CH3Ts) ppm. 13C-NMR {1H} (101 MHz, D2O) δ 171.7 (C=O), 170.7 (C=O), 133.1 (d, 2JPC = 4.3 Hz, Cquat), 130.2 (d, 3JPC = 5.8 Hz, 2 × CHAr), 129.4 (2 × CHAr), 128.1 (CHAr), 127.4 (2 × CHAr), 126.3 (2 × CHAr), 69.9 (d, 1JPC = 128.5 Hz, Cquat-P), 52.8 (OCH3), 42.0 (CH2), 20.6 (CH3Ts) ppm. 31P-NMR (121 MHz, D2O) δ 13.1 ppm. FTIR (neat) νmax: ν = 3447 (N-H st) 3367 (N-H st) 1674 (C=O st) 1290 (P=O st) 1357 (S=O st sym) 1172 (S=O st as) cm−1. HRMS (ESI-TOF) m/z: [M + H]+ for C18H21N2O8PS 457.0834, Found 457.0831.

3.2. Biology

3.2.1. Materials

Reagents and solvents were used as purchased without further purification. All stock solutions of the investigated compounds were prepared by dissolving the powered materials in appropriate amounts of Dimethylsulfoxide (DMSO). The final concentration of DMSO never exceeded 5% (v/v) in reactions. The stock solution was stored at 5 °C until it was used.

3.2.2. Cell Culture

Human epithelial lung carcinoma cells (A549) (ATCC® CCL-185™, ATCC - Manassas, VA, USA) were grown in Kaighn’s Modification of Ham’s F-12 Medium (ATCC® 30-2004™, ATCC - Manassas, VA, United States) and lung fibroblast cells (MRC5) (ATCC® CCL-171™, ATCC - Manassas, VA, USA) were grown in Eagle’s Minimum Essential Medium (EMEM, ATCC® 30-2003™, ATCC - Manassas, VA, USA). Both were supplemented with 10% of fetal bovine serum (FBS) (Sigma-Aldrich, Spain) and with 1% of NORMOCIN solution (Thermo Fisher, Waltham, Massachusetts (MA), United States). Cells were incubated at 37 °C and 5% CO2 atmosphere, and were split every 3–4 days to maintain monolayer coverage. For cytotoxicity experiments, A549 cells were seeded in 96-well plates at a density of 2.5–3 × 103 cells per well and incubated overnight to achieve 70% of confluence at the time of exposition to the cytotoxic compound.

3.2.3. Cytotoxicity Assays

Cells were exposed to different concentrations of the cytotoxic compounds and were incubated for 48 h. Then, 10 µL of cell counting kit-8 was added into each well for additional two hours incubation at 37 °C. The absorbance of each well was determined by an Automatic Elisa Reader System (Thermo Scientific Multiskan FC Automatic Elisa Reader System, Thermo Scientific, Shangai, China) at 450 nm wavelength.

4. Conclusions

In conclusion, we report an efficient Ugi methodology using ketimines for the preparation of tetrasubstituted α-aminophosphonates holding a variety of substituents. Despite the difficulty often observed for the utilization of ketones or ketimines in Ugi reactions, α-phosphorated ketimines react under mild conditions to give the Ugi adducts after the spontaneous cleavage of the amide moiety. Clear evidences of the Ugi mechanism are provided, using thioacids. Moreover, obtained α-aminophosphonate derivatives 13g, 13h, 13p and 15a showed in vitro cytotoxicity inhibiting the growth of human tumor cell line A549 (carcinomic human alveolar basal epithelial cell), and a high selectivity toward MRC5 nonmalignant lung fibroblasts. As far as we know this is the first example of much hindered tetrasubstituted α-aminophosphonates showing antiproliferative activity.

Supplementary Materials

1H, 13C, 19F and 31P-NMR copies of compounds 13, 15, 16, 23.

Author Contributions

Conceptualization, A.L.-F., X.d.C., E.M.d.M., F.P. and J.V.; methodology, A.L.-F. and X.d.C.; software, A.L.-F. and X.d.C.; validation, E.M.d.M. and J.V.; formal analysis, A.L.-F. and X.d.C.; investigation, A.L.-F. and X.d.C.; resources, E.M.d.M., F.P. and J.V.; data curation, A.L.-F. and X.d.C.; writing—original draft preparation, J.V.; writing—review and editing, A.L.-F., X.d.C., E.M.d.M., F.P. and J.V.; visualization, E.M.d.M., F.P. and J.V.; supervision, E.M.d.M. and J.V.; project administration, E.M.d.M. and J.V.; funding acquisition, E.M.d.M., F.P. and J.V. All authors have read and agreed to the published version of the manuscript.

Funding

Financial support by Ministerio de Economía, Industria y Competividad (MINECO, CTQ-2015-67871R) and Gobierno Vasco (GV, IT 992-16) is gratefully acknowledged. X.d.C. and A.L.-F. thank the Basque Country Government for a predoctoral grant.

Institutional Review Board Statement

Not applicable.

Informed Consent Statement

Not applicable.

Data Availability Statement

The data presented in this study are available in the supplementary materials file or on request from the corresponding author (1H, 13C, 19F and 31P-NMR and HRMS spectra and cytotoxicity essays).

Acknowledgments

The authors thank for technical and human support provided by SGIker (UPV/EHU/ERDF, EU).

Conflicts of Interest

The authors declare no conflict of interest.

Sample Availability

Samples of the compounds are not available.

References

  1. Knapp, J.M.; Kurth, M.J.; Shaw, J.T.; Younai, A. Diversity-Oriented Synthesis; Trabocchi, A., Ed.; Willey: New York, NY, USA, 2013; pp. 29–57. [Google Scholar]
  2. Galloway, W.; Isidro-Llobet, A.; Spring, D. Diversity-oriented synthesis as a tool for the discovery of novel biologically active small molecules. Nat. Commun. 2010, 1, 80–93. [Google Scholar] [CrossRef]
  3. Schreiber, S.L. Target-oriented and diversity-oriented organic synthesis in drug discovery. Science 2000, 287, 1964–1969. [Google Scholar] [CrossRef]
  4. de Moliner, F.; Kielland, N.; Lavilla, R.; Vendrell, M. Modern Synthetic Avenues for the Preparation of Functional Fluorophores. Angew. Chem. Int. Ed. 2017, 56, 3758–3769. [Google Scholar] [CrossRef]
  5. Hall, D.G.; Rybak, T.; Verdelet, T. Multicomponent Hetero-[4 + 2] Cycloaddition/Allylboration Reaction: From Natural Product Synthesis to Drug Discovery. Acc. Chem. Res. 2016, 49, 2489. [Google Scholar] [CrossRef]
  6. Zhu, J.; Wang, Q.; Wang, M.-X. (Eds.) Multicomponent Reactions in Organic Synthesis; Wiley-VCH: Weinheim, Germany, 2015. [Google Scholar]
  7. Müller, T.J.J. Science of Synthesis, Multicomponent Reactions; Thieme: Stutgart, Germany, 2014; Volumes 1 and 2. [Google Scholar]
  8. Ugi, I.; Meyr, R.; Fetzer, U.; Steinbrükner, C. Versuche mit Isonitrilen. Angew. Chem. 1959, 71, 386. [Google Scholar]
  9. Dömling, A.; Ugi, L. Multicomponent Reactions with Isocyanides. Angew. Chem. Int. Ed. Engl. 2000, 39, 3168–3210. [Google Scholar] [CrossRef]
  10. Dömling, A. Recent developments in isocyanide based multicomponent reactions in applied chemistry. Chem. Rev. 2006, 106, 17–89. [Google Scholar] [CrossRef]
  11. Dömling, A.; Wang, W.; Wang, K. Chemistry and Biology of Multicomponent Reactions. Chem. Rev. 2012, 112, 3083–3135. [Google Scholar] [CrossRef] [PubMed]
  12. Fouad, M.A.; Abdel-Hamid, H.; Ayoup, M.S. Two decades of recent advances of Ugi reactions: Synthetic and pharmaceutical applications. RSC Adv. 2020, 10, 42644–42681. [Google Scholar] [CrossRef]
  13. Touré, B.B.; Hall, D.G. Natural Product Synthesis Using Multicomponent Reaction Strategies. Chem. Rev. 2009, 109, 4439–4486. [Google Scholar] [CrossRef]
  14. Kafarski, P.; Lejczak, B. Aminophosphonic Acids of Potential Medical Importance. Curr. Med. Chem. Anti-Cancer Agents 2001, 1, 301–312. [Google Scholar] [CrossRef]
  15. Hiratake, J.; Oda, J. Aminophosphonic and Aminoboronic Acids as Key Elements of a Transition State Analogue Inhibitor of Enzymes. Biosci. Biotechnol. Biochem. 1997, 61, 211–218. [Google Scholar] [CrossRef]
  16. Kafarski, P.; Lejczak, B. Biological Activity of Aminophosphonic Acids B. Phosphorus. Sulfur. Silicon 1991, 63, 193–215. [Google Scholar] [CrossRef]
  17. Berlicki, L.; Kafarski, P. Computer-Aided Analysis and Design of Phosphonic and Phosphinic Enzyme Inhibitors as Potential Drugs and Agrochemicals. Curr. Org. Chem. 2005, 9, 1829–1850. [Google Scholar] [CrossRef]
  18. Van der Jeught, K.; Stevens, C.V. Direct Phosphonylation of Aromatic Azaheterocycles. Chem. Rev. 2009, 109, 2672–2702. [Google Scholar] [CrossRef]
  19. Barrett, G.; Elmore, D. Amino Acids and Peptides; Cambridge University Press: Cambridge, UK, 1998. [Google Scholar]
  20. Aminophosphonic and Aminophosphinic Acids. Chemistry and Biological Activity; Kukhar, V.P., Hudson, H.R., Eds.; Wiley: Chichester, UK, 2000. [Google Scholar]
  21. Ghashghaei, O.; Manna, C.A.; Vicente-García, E.; Revés, M.; Lavilla, R. Studies on the interaction of isocyanides with imines: Reaction scope and mechanistic variations. Beilstein J. Org. Chem. 2014, 10, 12–17. [Google Scholar] [CrossRef]
  22. Foley, C.; Shaw, A.; Hulme, C. Aza-Riley Oxidation of Ugi-Azide and Ugi-3CR Products toward Vicinal Tricarbonyl Amides: Two-Step MCR-Oxidation Methodology Accessing Functionalized α,β-Diketoamides and α,β-Diketotetrazoles. Org. Lett. 2018, 20, 1275–1278. [Google Scholar] [CrossRef]
  23. Quaternary Stereocentres: Challenges and Solutions for Organic Synthesis; Christoffers, J., Baro, A., Eds.; Wiley-VCH: Weinhein, Germany, 2006. [Google Scholar]
  24. Yamada, T.; Yanagi, T.; Omote, Y.; Miyazawa, T.; Kuwata, S.; Sugiura, M.; Matsumoto, K. Four-component condensation (Ugi reaction) at high pressure: Novel synthesis of peptides containing very bulky α,α-disubstituted glycines. J. Chem. Soc. Chem. Commun. 1990, 1640–1641. [Google Scholar] [CrossRef]
  25. Costa, S.P.G.; Maia, H.L.S.; Pereira-Lima, S.M.M.A. An improved approach for the synthesis of α,α-dialkyl glycine derivatives by the Ugi–Passerini reaction. Org. Biomol. Chem. 2003, 1, 1475–1479. [Google Scholar] [CrossRef] [PubMed]
  26. Pinto, F.C.S.C.; Pereira-Lima, S.M.M.A.; Ventura, C.; Albuquerque, L.; Concalves-Maia, R.; Maia, H.L.S. Synthesis and kinetic investigation of the selective acidolysis of para-substituted N-benzyl- or N-phenyl-N-phenylacetyl-α,α-dialkylglycine cyclohexylamides. Tetrahedron 2006, 62, 8184–8198. [Google Scholar] [CrossRef][Green Version]
  27. Maestro, A.; Del Corte, X.; Martínez de Marigorta, E.; Palacios, F.; Vicario, J. Enantioselective synthesis of functionalized α-aminophosphonic acid derivatives. Phosphorus. Sulfur. Silicon 2019, 194, 287–291. [Google Scholar] [CrossRef]
  28. Vicario, J.; Ezpeleta, J.M.; Palacios, F. Asymmetric Cyanation of α-Ketiminophosphonates Catalyzed by Cinchona Alkaloids. Enantioselective Synthesis of Tetrasubstituted α-Aminophosphonic Acid Derivatives from Trisubstituted α-Aminophosphonates. Adv. Synth. Catal. 2012, 354, 2641–2647. [Google Scholar] [CrossRef]
  29. Vicario, J.; Ortiz, P.; Palacios, F. Synthesis of Tetrasubstituted α-Aminophosphonic Acid Derivatives from Trisubstituted α-Aminophosphonates. Eur. J. Org. Chem. 2013, 7095–7100. [Google Scholar] [CrossRef]
  30. Vicario, J.; Ortiz, P.; Ezpeleta, J.M.; Palacios, F. Asymmetric Synthesis of Functionalized Tetrasubstituted α‑Aminophosphonates through Enantioselective Aza-Henry Reaction of Phosphorylated Ketimines. J. Org. Chem. 2015, 80, 156–164. [Google Scholar] [CrossRef]
  31. Maestro, A.; Martínez de Marigorta, E.; Palacios, F.; Vicario, J. Enantioselective Aza-Reformatsky Reaction with Ketimines. Org. Lett. 2019, 21, 9473–9477. [Google Scholar] [CrossRef] [PubMed]
  32. Ling, T.; Rivas, F. All-carbon quaternary centers in natural products and medicinal chemistry: Recent advances. Tetrahedron 2016, 72, 6729–6777. [Google Scholar] [CrossRef]
  33. Maestro, A.; Martín-Encinas, E.; Alonso, C.; Rubiales, G.; Martínez de Marigorta, E.; Vicario, J.; Palacios, F. Synthesis of novel antiproliferative hybrid bis-(3-indolyl)methane phosphonate derivatives. Eur. J. Med. Chem. 2018, 158, 874–883. [Google Scholar] [CrossRef]
  34. Recio, R.; Vengut-Climent, E.; Mouillac, B.; Orcel, H.; López-Lázaro, M.; Calderón-Montaño, J.M.; Alvarez, E.; Khiar, N.; Fernández, I. Design, synthesis and biological studies of a library of NK1-Receptor Ligands Based on a 5-arylthiosubstituted 2-amino-4,6-diaryl-3-cyano-4H-pyran core: Switch from antagonist to agonist effect by chemical modification. Eur. J. Med. Chem. 2017, 138, 644. [Google Scholar] [CrossRef] [PubMed]
  35. Müller, K.; Faeh, C.; Diederich, F. Fluorine in pharmaceuticals: Looking beyond intuition. Science 2007, 317, 1881. [Google Scholar] [CrossRef]
  36. Shah, P.; Westwell, A.D. The role of fluorine in medicinal chemistry. J. Enzyme Inhib. Med. Chem. 2007, 22, 527. [Google Scholar] [CrossRef]
  37. Bégué, J.P.; Bonnet-Delpon, D. Bioorganic and Medicinal Chemistry of Fluorine; Wiley: Hoboken, NJ, USA, 2007; pp. 1–365. [Google Scholar]
Scheme 1. The accepted mechanism for an Ugi reaction.
Scheme 1. The accepted mechanism for an Ugi reaction.
Molecules 26 01654 sch001
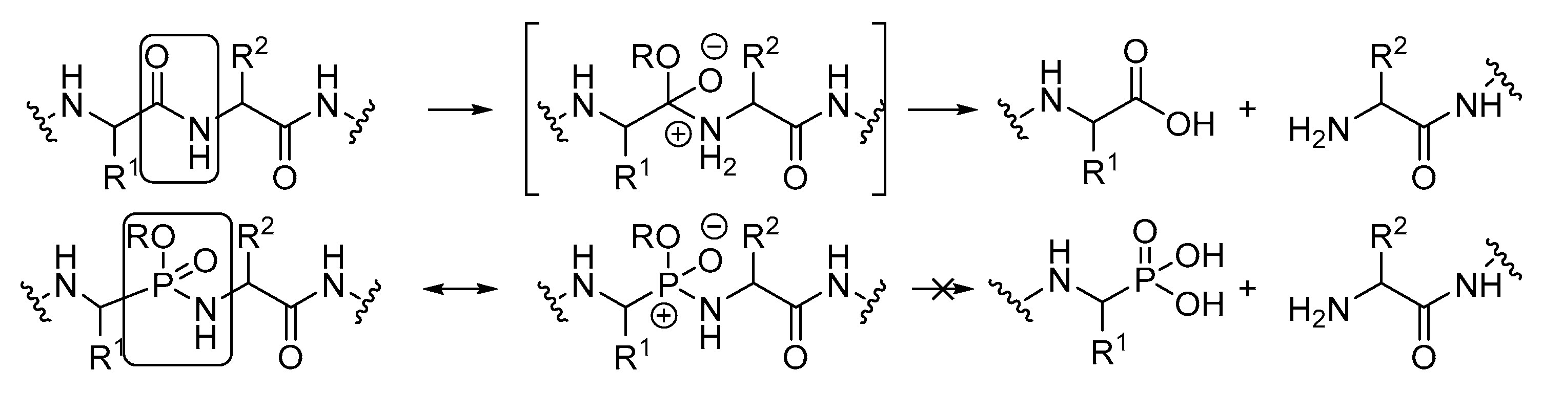
Figure 1. Phosphonopeptides mimic the transition state for peptide cleavage.
Figure 1. Phosphonopeptides mimic the transition state for peptide cleavage.
Molecules 26 01654 g001
Scheme 2. Scope for the Ugi reaction of α-ketiminophosphonates 10.
Scheme 2. Scope for the Ugi reaction of α-ketiminophosphonates 10.
Molecules 26 01654 sch002
Scheme 3. Ugi reaction of N-tosyl ketimines 10 and 14, phenyl acetic acid 11 and isocyanides 12.
Scheme 3. Ugi reaction of N-tosyl ketimines 10 and 14, phenyl acetic acid 11 and isocyanides 12.
Molecules 26 01654 sch003
Scheme 4. Ugi reaction of ketimines 10l,m.
Scheme 4. Ugi reaction of ketimines 10l,m.
Molecules 26 01654 sch004
Scheme 5. Ugi reaction of N-tosyl ketimine 10a, thioacetic acid 17 and methyl isocyanoacetate 12b.
Scheme 5. Ugi reaction of N-tosyl ketimine 10a, thioacetic acid 17 and methyl isocyanoacetate 12b.
Molecules 26 01654 sch005
Scheme 6. Hydrolysis of phosphonate ester 13b.
Scheme 6. Hydrolysis of phosphonate ester 13b.
Molecules 26 01654 sch006
Table 1. Antiproliferative activity of α-aminophosphonate derivatives 13, 15 and 23.
Table 1. Antiproliferative activity of α-aminophosphonate derivatives 13, 15 and 23.
EntryCmpd.IC50 (μM)EntryCmpd.IC50 (μM)
A549MRC5A549MRC5
113a>50n.d.613n>50n.d.
213d>50n.d.713p14.56 ± 2.53>50
313g16.136 ± 1.14>50813r>50>50
413h19.72 ± 3.70>50915a28.76 ± 3.20>50
513k>50n.d.1023>50n.d.
Publisher’s Note: MDPI stays neutral with regard to jurisdictional claims in published maps and institutional affiliations.

Share and Cite

MDPI and ACS Style

López-Francés, A.; del Corte, X.; Martínez de Marigorta, E.; Palacios, F.; Vicario, J. Ugi Reaction on α-Phosphorated Ketimines for the Synthesis of Tetrasubstituted α-Aminophosphonates and Their Applications as Antiproliferative Agents. Molecules 2021, 26, 1654. https://doi.org/10.3390/molecules26061654

AMA Style

López-Francés A, del Corte X, Martínez de Marigorta E, Palacios F, Vicario J. Ugi Reaction on α-Phosphorated Ketimines for the Synthesis of Tetrasubstituted α-Aminophosphonates and Their Applications as Antiproliferative Agents. Molecules. 2021; 26(6):1654. https://doi.org/10.3390/molecules26061654

Chicago/Turabian Style

López-Francés, Adrián, Xabier del Corte, Edorta Martínez de Marigorta, Francisco Palacios, and Javier Vicario. 2021. "Ugi Reaction on α-Phosphorated Ketimines for the Synthesis of Tetrasubstituted α-Aminophosphonates and Their Applications as Antiproliferative Agents" Molecules 26, no. 6: 1654. https://doi.org/10.3390/molecules26061654

APA Style

López-Francés, A., del Corte, X., Martínez de Marigorta, E., Palacios, F., & Vicario, J. (2021). Ugi Reaction on α-Phosphorated Ketimines for the Synthesis of Tetrasubstituted α-Aminophosphonates and Their Applications as Antiproliferative Agents. Molecules, 26(6), 1654. https://doi.org/10.3390/molecules26061654

Article Metrics

Back to TopTop