An Overview on Synthetic 2-Aminothiazole-Based Compounds Associated with Four Biological Activities
Abstract
1. Introduction
2. Results
2.1. 2-Aminothiazoles as Anticancer Agents
2.2. 2-Aminothiazoles as Antioxidant Agents
2.3. 2-Aminothiazoles as Antimicrobial Agents
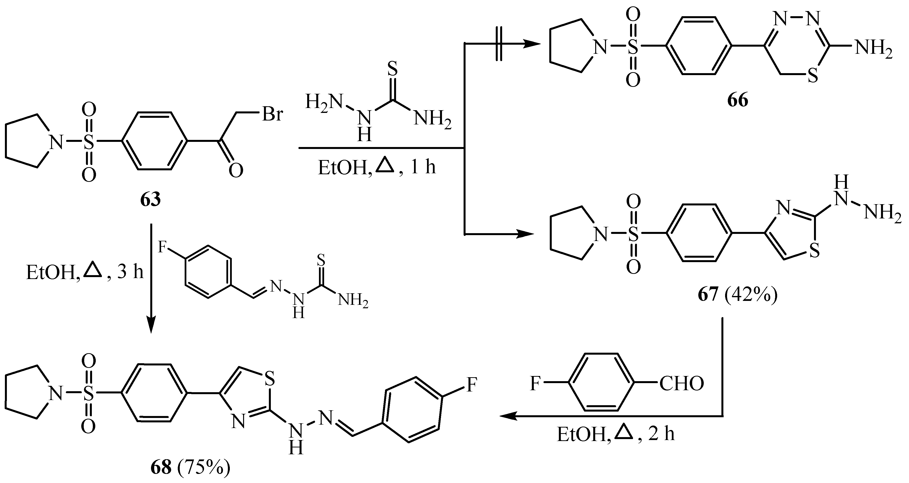
2.4. 2-Aminothiazoles as Anti-Inflammatory Agents
3. Conclusions
Author Contributions
Funding
Acknowledgments
Conflicts of Interest
References
- Suresh, G.; Nadh, R.V.; Srinivasu, N.; Yennity, D. Synthesis and Antitumor Activity Evaluation of 2-Aminothiazoles Appended 5-methylisoxazoline and Pyridine-piperazine Hybrid Molecules. Lett. Org. Chem. 2018, 15, 1070–1077. [Google Scholar] [CrossRef]
- Das, D.; Sikdar, P.; Bairagi, M. Recent developments of 2-aminothiazoles in medicinal chemistry. Eur. J. Med. Chem. 2016, 109, 89–98. [Google Scholar] [CrossRef] [PubMed]
- Alexandru, M.-G.; Velickovic, T.C.; Jitaru, I.; Grguric-Sipka, S.; Draghici, C. Synthesis, characterization and antitumor activity of Cu (II), Co (II), Zn (II) and Mn (II) complex compounds with aminothiazole acetate derivative. Cent. Eur. J. Chem. 2010, 8, 639–645. [Google Scholar] [CrossRef]
- Décor, A.; Grand-Maître, C.; Hucke, O.; O’Meara, J.; Kuhn, C.; Constantineau-Forget, L.; Brochu, C.; Malenfant, E.; Bertrand-Laperle, M.; Bordeleau, J. Design, synthesis and biological evaluation of novel aminothiazoles as antiviral compounds acting against human rhinovirus. Bioorg. Med. Chem. Lett. 2013, 23, 3841–3847. [Google Scholar] [CrossRef]
- Jalani, H.B.; Pandya, A.N.; Pandya, D.H.; Sharma, J.A.; Sudarsanam, V.; Vasu, K.K. An efficient one-pot synthesis of functionally diverse 2-aminothiazoles from isothiocyanates, amidines/guanidines and halomethylenes. Tetrahedron Lett. 2013, 54, 5403–5406. [Google Scholar] [CrossRef]
- Stefanska, J.; Nowicka, G.; Struga, M.; Szulczyk, D.; Koziol, A.E.; Augustynowicz-Kopec, E.; Napiorkowska, A.; Bielenica, A.; Filipowski, W.; Filipowska, A. Antimicrobial and anti-biofilm activity of thiourea derivatives incorporating a 2-aminothiazole scaffold. Chem. Pharm. Bull. 2015, 63, 225–236. [Google Scholar] [CrossRef] [PubMed]
- Elshaarawy, R.F.; Mustafa, F.H.; Sofy, A.R.; Hmed, A.A.; Janiak, C. A new synthetic antifouling coatings integrated novel aminothiazole-functionalized ionic liquids motifs with enhanced antibacterial performance. J. Environ. Chem. Eng. 2019, 7, 102800. [Google Scholar] [CrossRef]
- Chen, Y.-Y.; Gopala, L.; Bheemanaboina, R.R.Y.; Liu, H.-B.; Cheng, Y.; Geng, R.-X.; Zhou, C.-H. Novel naphthalimide aminothiazoles as potential multitargeting antimicrobial agents. ACS Med. Chem. Lett. 2017, 8, 1331–1335. [Google Scholar] [CrossRef]
- Prakash, A.; Malhotra, R. Co (II), Ni (II), Cu (II) and Zn (II) complexes of aminothiazole-derived Schiff base ligands: Synthesis, characterization, antibacterial and cytotoxicity evaluation, bovine serum albumin binding and density functional theory studies. Appl. Organomet. Chem. 2018, 32, e4098. [Google Scholar] [CrossRef]
- Cordeiro, Y.; Ferreira, N.C. New approaches for the selection and evaluation of anti-prion organic compounds. Mini Rev. Med. Chem. 2015, 15, 84–92. [Google Scholar] [CrossRef]
- Patil, R.; Chavan, J.; Beldar, A. Synthesis of aminothiazoles: Polymer-supported approaches. RSC Adv. 2017, 7, 23765–23778. [Google Scholar] [CrossRef]
- Alaraidh, I.A.; Okla, M.K.; Alamri, S.A.; Abdullah, A.; Soufan, W.H.; Allam, A.A.; Fouda, M.M.; Gaffer, H.E. Synthesis of Bis-(2-thiazolyl) amine Analogues and Evaluation of Their Antibacterial, Antioxidant and Cytotoxic Activities. ChemistrySelect 2019, 4, 11726–11734. [Google Scholar] [CrossRef]
- Gaffer, H.E.; Fouda, M.M.; Khalifa, M.E. Synthesis of some novel 2-amino-5-arylazothiazole disperse dyes for dyeing polyester fabrics and their antimicrobial activity. Molecules 2016, 21, 122. [Google Scholar] [CrossRef] [PubMed]
- Sinha, S.; Doble, M.; Manju, S. Design, synthesis and identification of novel substituted 2-amino thiazole analogues as potential anti-inflammatory agents targeting 5-lipoxygenase. Eur. J. Med. Chem. 2018, 158, 34–50. [Google Scholar] [CrossRef] [PubMed]
- Vogt, D.; Weber, J.; Ihlefeld, K.; Brüggerhoff, A.; Proschak, E.; Stark, H. Design, synthesis and evaluation of 2-aminothiazole derivatives as sphingosine kinase inhibitors. Bioorg. Med. Chem. 2014, 22, 5354–5367. [Google Scholar] [CrossRef]
- De Logu, A.; Saddi, M.; Cardia, M.C.; Borgna, R.; Sanna, C.; Saddi, B.; Maccioni, E. In vitro activity of 2-cyclohexylidenhydrazo-4-phenyl-thiazole compared with those of amphotericin B and fluconazole against clinical isolates of Candida spp. and fluconazole-resistant Candida albicans. J. Antimicrob. Chemother. 2005, 55, 692–698. [Google Scholar] [CrossRef] [PubMed]
- Ran, K.; Gao, C.; Deng, H.; Lei, Q.; You, X.; Wang, N.; Shi, Y.; Liu, Z.; Wei, W.; Peng, C. Identification of novel 2-aminothiazole conjugated nitrofuran as antitubercular and antibacterial agents. Bioorg. Med. Chem. Lett. 2016, 26, 3669–3674. [Google Scholar] [CrossRef]
- Al-Balas, Q.; Anthony, N.G.; Al-Jaidi, B.; Alnimr, A.; Abbott, G.; Brown, A.K.; Taylor, R.C.; Besra, G.S.; McHugh, T.D.; Gillespie, S.H. Identification of 2-Aminothiazole-4-Carboxylate Derivatives Active against Mycobacterium tuberculosis H37Rv and the β-Ketoacyl-ACP Synthase mtFabH. PLoS ONE 2009, 4, e5617. [Google Scholar] [CrossRef]
- Sridhar, S.; Pandeya, S.; De Clercq, E. Synthesis and anti-HIV activity of some isatin derivatives. Boll. Chim. Farm. 2001, 140, 302. [Google Scholar]
- Kabra, V.; Mitharwal, S.; Singh, S. Synthesis and insecticidal activity of novel dithiophosphonates. Phosphorus Sulfur Silicon Relat. Elem. 2009, 184, 2431–2442. [Google Scholar] [CrossRef]
- Jadav, S.S.; Badavath, V.N.; Ganesan, R.; Ganta, N.M.; Besson, D.; Jayaprakash, V. Biological evaluation of 2-aminothiazole hybrid as antimalarial and antitrypanosomal agents: Design and synthesis. Anti-Infect. Agents 2020, 18, 101–108. [Google Scholar] [CrossRef]
- Panico, A.M.; Geronikaki, A.; Mgonzo, R.; Cardile, V.; Gentile, B.; Doytchinova, I. Aminothiazole derivatives with antidegenerative activity on cartilage. Bioorg. Med. Chem. 2003, 11, 2983–2989. [Google Scholar] [CrossRef]
- Khan, E.; Khan, A.; Gul, Z.; Ullah, F.; Tahir, M.N.; Khalid, M.; Asif, H.M.; Asim, S.; Braga, A.A.C. Molecular salts of terephthalic acids with 2-aminopyridine and 2-aminothiazole derivatives as potential antioxidant agents; Base-Acid-Base type architectures. J. Mol. Struct. 2020, 1200, 127126. [Google Scholar] [CrossRef]
- Gouda, M.A.; Sherif, Y.E.-S.; Elsherbini, M.S. Synthesis, Anti-Inflammatory, and Analgesic Evaluation of Some 2-Amino-5-Selenothiazoles. Phosphorus Sulfur Silicon Relat. Elem. 2014, 189, 1633–1643. [Google Scholar] [CrossRef]
- Narender, M.; Reddy, M.S.; Sridhar, R.; Nageswar, Y.; Rao, K.R. Aqueous phase synthesis of thiazoles and aminothiazoles in the presence of β-cyclodextrin. Tetrahedron Lett. 2005, 46, 5953–5955. [Google Scholar] [CrossRef]
- Pandya, D.H.; Sharma, J.A.; Jalani, H.B.; Pandya, A.N.; Sudarsanam, V.; Kachler, S.; Klotz, K.N.; Vasu, K.K. Novel thiazole–thiophene conjugates as adenosine receptor antagonists: Synthesis, biological evaluation and docking studies. Bioorg. Med. Chem. Lett. 2015, 25, 1306–1309. [Google Scholar] [CrossRef] [PubMed]
- Raut, D.G.; Kadu, V.D.; Sonawane, V.D.; Bhosale, R.B. Synthesis of Thiazole Scaffolds by Novel Method and Their In Vitro Anthelmintic Activity against Indian Adult Earthworm. Eur. J. Biomed. Pharm. Sci. 2015, 2, 922–931. [Google Scholar]
- Vijayaraghavalu, S.; Peetla, C.; Lu, S.; Labhasetwar, V. Epigenetic modulation of the biophysical properties of drug-resistant cell lipids to restore drug transport and endocytic functions. Mol. Pharm. 2012, 9, 2730–2742. [Google Scholar] [CrossRef] [PubMed]
- Tsai, C.-Y.; Kapoor, M.; Huang, Y.-P.; Lin, H.-H.; Liang, Y.-C.; Lin, Y.-L.; Huang, S.-C.; Liao, W.-N.; Chen, J.-K.; Huang, J.-S. Synthesis and evaluation of aminothiazole-paeonol derivatives as potential anticancer agents. Molecules 2016, 21, 145. [Google Scholar] [CrossRef] [PubMed]
- Nong, W.; Zhao, A.; Wei, J.; Lin, X.; Wang, L.; Lin, C. Synthesis and biological evaluation of a new series of cinnamic acid amide derivatives as potent haemostatic agents containing a 2-aminothiazole substructure. Bioorg. Med. Chem. Lett. 2017, 27, 4506–4511. [Google Scholar] [CrossRef] [PubMed]
- Hamed, F.I.; Mohamed, A.A.; Abouzied, A.S. The Uses of 2-Amino-4-Phenylthiazole in the Synthesis of Coumarin, Pyran, Pyridine and Thiazole Derivatives with Antitumor Activities. Open Access Libr. J. 2017, 4, e3526. [Google Scholar] [CrossRef]
- Liu, W.; Zhou, J.; Qi, F.; Bensdorf, K.; Li, Z.; Zhang, H.; Qian, H.; Huang, W.; Cai, X.; Cao, P. Synthesis and biological activities of 2-amino-thiazole-5-carboxylic acid phenylamide derivatives. Arch. Pharm. 2011, 344, 451–458. [Google Scholar] [CrossRef] [PubMed]
- Zhou, Y.; He, X.; Xiong, Y.; Chai, X.; Chen, H. Synthesis of 2-aminoxazole-5-carbamides and 2-aminothiazole-5-carbamides as potent inhibitors of CML. Monatsh. Chem. Chem. Mon. 2015, 146, 997–1003. [Google Scholar] [CrossRef]
- Ha, S.; Oh, J.; Jang, J.M.; Kim, D.K.; Ham, S.W. Synthesis and Biological Evaluation of 2-Aminothiazole Derivative Having Anticancer Activity as a KPNB1 Inhibitor. Bull. Korean Chem. Soc. 2016, 37, 1743–1744. [Google Scholar] [CrossRef]
- Zhang, W.-T.; Ruan, J.-L.; Wu, P.-F.; Jiang, F.-C.; Zhang, L.N.; Fang, W.; Chen, X.-L.; Wang, Y.; Cao, B.-S.; Chen, G.-Y. Design, synthesis, and cytoprotective effect of 2-aminothiazole analogues as potent poly (ADP-ribose) polymerase-1 inhibitors. J. Med. Chem. 2009, 52, 718–725. [Google Scholar] [CrossRef]
- Reddy, V.M.; Reddy, K.R. Synthesis and antimicrobial activity of some novel 4-(1H-benz [d] imidazol-2yl)-1,3-thiazol-2-amines. Chem. Pharm. Bull. 2010, 58, 953–956. [Google Scholar] [CrossRef] [PubMed]
- Nofal, Z.M.; Soliman, E.A.; Abd El-Karim, S.S.; El-Zahar, M.I.; Srour, A.M.; Sethumadhavan, S.; Maher, T.J. Synthesis of some new benzimidazole–thiazole derivatives as anticancer agents. J. Heterocycl. Chem. 2014, 51, 1797–1806. [Google Scholar] [CrossRef]
- Park, J.-H.; El-Gamal, M.I.; Lee, Y.S.; Oh, C.-H. New imidazo[2,1-b]thiazole derivatives: Synthesis, in vitro anticancer evaluation, and in silico studies. Eur. J. Med. Chem. 2011, 46, 5769–5777. [Google Scholar] [CrossRef]
- Bashandy, M.S. 1-(4-(Pyrrolidin-1-ylsulfonyl)phenyl) ethanone in Heterocyclic Synthesis: Synthesis, Molecular Docking and Anti-Human Liver Cancer Evaluation of Novel Sulfonamides Incorporating Thiazole, Imidazo[1,2-a]pyridine, Imidazo[2,1-c] [1,2,4]triazole, Imidazo[2,1-b]thiazole, 1,3,4-Thiadiazine and 1,4-Thiazine Moieties. Int. J. Org. Chem. 2015, 5, 166–190. [Google Scholar]
- Francini, C.M.; Fallacara, A.L.; Artusi, R.; Mennuni, L.; Calgani, A.; Angelucci, A.; Schenone, S.; Botta, M. Identification of aminoimidazole and aminothiazole derivatives as Src family kinase inhibitors. ChemMedChem 2015, 10, 2027–2041. [Google Scholar] [CrossRef] [PubMed]
- Dudkin, V.Y.; Rickert, K.; Kreatsoulas, C.; Wang, C.; Arrington, K.L.; Fraley, M.E.; Hartman, G.D.; Yan, Y.; Ikuta, M.; Stirdivant, S.M. Pyridyl aminothiazoles as potent inhibitors of Chk1 with slow dissociation rates. Bioorg. Med. Chem. Lett. 2012, 22, 2609–2612. [Google Scholar] [CrossRef]
- Konyar, D.; Erdas, O.; Alpaslan, F.N.; Buyukbingol, E. An application of CIFAP for predicting the binding affinity of Chk1 inhibitors derived from 2-aminothiazole-4-carboxamide. J. Mol. Recognit. 2017, 30, e2642. [Google Scholar] [CrossRef] [PubMed]
- Balupuri, A.; Balasubramanian, P.; Gadhe, C.; Cho, S. Docking-based 3D-QSAR study of pyridyl aminothiazole derivatives as checkpoint kinase 1 inhibitors. SAR QSAR Environ. Res. 2014, 25, 651–671. [Google Scholar] [CrossRef]
- Lee, Y.-S.E.; Chuang, S.-H.; Huang, L.Y.; Lai, C.-L.; Lin, Y.-H.; Yang, J.-Y.; Liu, C.-W.; Yang, S.-C.; Lin, H.-S.; Chang, C.-C. Discovery of 4-aryl-N-arylcarbonyl-2-aminothiazoles as Hec1/Nek2 inhibitors. Part I: Optimization of in vitro potencies and pharmacokinetic properties. J. Med. Chem. 2014, 57, 4098–4110. [Google Scholar] [CrossRef]
- Titus, S.; Sreejalekshmi, K.G. Enriching biologically relevant chemical space around 2-aminothiazole template for anticancer drug development. Med. Chem. Res. 2018, 27, 23–36. [Google Scholar] [CrossRef]
- Andersen, C.B.; Wan, Y.; Chang, J.W.; Riggs, B.; Lee, C.; Liu, Y.; Sessa, F.; Villa, F.; Kwiatkowski, N.; Suzuki, M. Discovery of selective aminothiazole aurora kinase inhibitors. ACS Chem. Biol. 2008, 3, 180–192. [Google Scholar] [CrossRef]
- Qin, J.; Xi, L.; Du, J.; Liu, H.; Yao, X. QSAR studies on aminothiazole derivatives as aurora A kinase inhibitors. Chem. Biol. Drug Des. 2010, 76, 527–537. [Google Scholar] [CrossRef] [PubMed]
- Ewida, M.A.; Abou El Ella, D.A.; Lasheen, D.S.; Ewida, H.A.; El-Gazzar, Y.I.; El-Subbagh, H.I. Thiazolo[4,5-d]pyridazine analogues as a new class of dihydrofolate reductase (DHFR) inhibitors: Synthesis, biological evaluation and molecular modeling study. Bioorg. Chem. 2017, 74, 228–237. [Google Scholar] [CrossRef] [PubMed]
- Kalpana, K.; Srinivasan, M.; Menon, V.P. Antioxidant potential of aminothiazole derivative and its protective effect on H2O2-induced oxidative damage on pBR322 DNA and RBC cellular membrane. Mol. Cell. Biochem. 2008, 314, 95–103. [Google Scholar] [CrossRef]
- Kalpana, K.; Vishwanathan, P.; Thayalan, K.; Menon, V.P. Protective effect of dendrodoine analog, an aminothiazole derivative against X-radiation induced hepatocellular damage in mice. Environ. Toxicol. Pharmacol. 2012, 34, 832–840. [Google Scholar] [CrossRef]
- De, S.; Adhikari, S.; Devasagayam, T.P. Cardioprotective effects of an aminothiazole compound on isoproterenol-induced myocardial injury in mice. Cell Biochem. Biophys. 2013, 67, 287–295. [Google Scholar] [CrossRef]
- Shafeeulla, M.; Krishnamurthy, G.; Bhojynaik, H.S.; Manjuraj, T. Synthesis, cytotoxicity and molecular docking study of complexes containing thiazole moiety. J. Turk. Chem. Soc. Sect. A Chem. 2017, 4, 787–810. [Google Scholar]
- Khalifa, M.E.; Mohamed, M.A.-H.; Alshehri, N.H. Synthesis of novel 2-amino-5-arylazothiazol derivatives and their biological impacts: Assessment of toxicity and antioxidant enzymes activities. Maced. J. Chem. Chem. Eng. 2015, 34, 309–319. [Google Scholar] [CrossRef]
- Yamalı, C.; Gülcan, H.O.; Kahya, B.; Çobanoğlu, S.; Şüküroğlu, M.K.; Doğruer, D.S. Synthesis of some 3(2H)-pyridazinone and 1(2H)-phthalazinone derivatives incorporating aminothiazole moiety and investigation of their antioxidant, acetylcholinesterase, and butyrylcholinesterase inhibitory activities. Med. Chem. Res. 2015, 24, 1210–1217. [Google Scholar] [CrossRef]
- Shreenivas, M.; Swamy, B.K.; Srinivasa, G.; Sherigara, B. Synthesis and antibacterial evaluation of some novel aminothiazole derivatives. Pharma Chem. 2011, 3, 156–161. [Google Scholar]
- Rawat, B.S.; Shukla, S.K. Synthesis and evaluation of some new thiazole/oxazole derivatives for their biological activities. World J. Pharm. Pharm. Sci. 2016, 5, 1473–1482. [Google Scholar]
- Prajapati, A.; Modi, V.P. Synthesis and biological evaluation of some substituted amino thiazole derivatives. J. Chil. Chem. Soc. 2010, 55, 240–243. [Google Scholar] [CrossRef]
- Yadlapalli, R.K.; Chourasia, O.; Jogi, M.P.; Podile, A.R.; Perali, R.S. Design, synthesis and in vitro antimicrobial activity of novel phenylbenzamido-aminothiazole-based azasterol mimics. Med. Chem. Res. 2013, 22, 2975–2983. [Google Scholar] [CrossRef]
- Özbek, O.; Usta, N.C.; Gürdere, M.B.; Aslan, O.N.; Budak, Y.; Ceylan, M. Synthesis and antibacterial screening of novel 2-(4-(aryl) thiazol-2-yl)-3a,4,7,7a-tetrahydro-1H-4,7-ethanoisoindole-1,3(2H)-dione derivatives. Phosphorus Sulfur Silicon Relat. Elem. 2017, 192, 1153–1157. [Google Scholar] [CrossRef]
- Nikalje, A.P.G.; Tiwari, S.V.; Sarkate, A.P.; Karnik, K.S. Imidazole-thiazole coupled derivatives as novel lanosterol 14-α demethylase inhibitors: Ionic liquid mediated synthesis, biological evaluation and molecular docking study. Med. Chem. Res. 2018, 27, 592–606. [Google Scholar] [CrossRef]
- Samadhiya, P.; Sharma, R.; Srivastava, S.K.; Srivastava, S.D. Synthesis of 2-oxo-azetidine derivatives of 2-amino thiazole and their biological activity. J. Serb. Chem. Soc. 2012, 77, 599–605. [Google Scholar] [CrossRef]
- Sharshira, E.; Hamada, N. Synthesis, characterization and antimicrobial activities of some thiazole derivatives. Am. J. Org. Chem. 2012, 2, 69–73. [Google Scholar] [CrossRef]
- Mocelo-Castell, R.; Villanueva-Novelo, C.; Cáceres-Castillo, D.; Carballo, R.M.; Quijano-Quiñones, R.F.; Quesadas-Rojas, M.; Cantillo-Ciau, Z.; Cedillo-Rivera, R.; Moo-Puc, R.E.; Moujir, L.M. 2-Amino-4-arylthiazole derivatives as anti-giardial agents: Synthesis, biological evaluation and QSAR studies. Open Chem. 2015, 13, 1127–1136. [Google Scholar] [CrossRef]
- Bhuiyan, M.; Rahman, A. Synthesis and antimicrobial evaluation of some thiazole derivatives. J. Sci. Res. 2011, 3, 111. [Google Scholar] [CrossRef]
- Mjambili, F.; Njoroge, M.; Naran, K.; De Kock, C.; Smith, P.J.; Mizrahi, V.; Warner, D.; Chibale, K. Synthesis and biological evaluation of 2-aminothiazole derivatives as antimycobacterial and antiplasmodial agents. Bioorg. Med. Chem. Lett. 2014, 24, 560–564. [Google Scholar] [CrossRef]
- Kesicki, E.A.; Bailey, M.A.; Ovechkina, Y.; Early, J.V.; Alling, T.; Bowman, J.; Zuniga, E.S.; Dalai, S.; Kumar, N.; Masquelin, T. Synthesis and evaluation of the 2-aminothiazoles as anti-tubercular agents. PLoS ONE 2016, 11, e0155209. [Google Scholar] [CrossRef]
- Vukovic, N.; Sukdolak, S.; Solujic, S.; Milosevic, T. Synthesis and Antimicrobial Evaluation of Some Novel 2-Aminothiazole Derivatives of 4-Hydroxy-chromene-2-one. Arch. Pharm. Int. J. Pharm. Med. Chem. 2008, 341, 491–496. [Google Scholar] [CrossRef] [PubMed]
- Tay, F.; Erkan, C.; Sariozlu, N.Y.; Ergene, E.; Demirayak, S. Synthesis, antimicrobial and anticancer activities of some naphthylthiazolylamine derivatives. Biomed. Res. 2017, 28, 2696–2703. [Google Scholar]
- Cheng, Y.; Avula, S.R.; Gao, W.-W.; Addla, D.; Tangadanchu, V.K.R.; Zhang, L.; Lin, J.-M.; Zhou, C.-H. Multi-targeting exploration of new 2-aminothiazolyl quinolones: Synthesis, antimicrobial evaluation, interaction with DNA, combination with topoisomerase IV and penetrability into cells. Eur. J. Med. Chem. 2016, 124, 935–945. [Google Scholar] [CrossRef] [PubMed]
- Garza, I.; Wallace, M.J.; Fernando, D.; Singh, A.; Lee, R.E.; Gerding, J.S.; Franklin, C.; Yendapally, R. Synthesis and Evaluation of Thiazolidine Amide and N-Thiazolyl Amide Fluoroquinolone Derivatives. Arch. Pharm. 2017, 350, e201700029. [Google Scholar] [CrossRef] [PubMed]
- Madhura, V.; Revankar, H.M.; Kulkarni, M.V. A new route for the synthesis of 4-arylacetamido-2-aminothiazoles and their biological evaluation. Z. Naturforsch. B 2015, 70, 483–489. [Google Scholar]
- Chandak, N.; Kumar, P.; Kaushik, P.; Varshney, P.; Sharma, C.; Kaushik, D.; Jain, S.; Aneja, K.R.; Sharma, P.K. Dual evaluation of some novel 2-amino-substituted coumarinylthiazoles as anti-inflammatory–antimicrobial agents and their docking studies with COX-1/COX-2 active sites. J. Enzym. Inhib. Med. Chem. 2014, 29, 476–484. [Google Scholar] [CrossRef]
- Hussein, A.H.M.; Khames, A.A.; El-Adasy, A.-B.A.; Atalla, A.A.; Abdel-Rady, M.; Hassan, M.I.; Nemr, M.T.; Elshaier, Y.A. Design, synthesis and biological evaluation of new 2-aminothiazole scaffolds as phosphodiesterase type 5 regulators and COX-1/COX-2 inhibitors. RSC Adv. 2020, 10, 29723–29736. [Google Scholar] [CrossRef]
- Maghraby, M.T.-E.; Abou-Ghadir, O.M.; Abdel-Moty, S.G.; Ali, A.Y.; Salem, O.I. Novel class of benzimidazole-thiazole hybrids: The privileged scaffolds of potent anti-inflammatory activity with dual inhibition of cyclooxygenase and 15-lipoxygenase enzymes. Bioorg. Med. Chem. 2020, 115403. [Google Scholar] [CrossRef]
- Smelcerovic, A.; Zivkovic, A.; Ilic, B.S.; Kolarevic, A.; Hofmann, B.; Steinhilber, D.; Stark, H. 4-(4-Chlorophenyl) thiazol-2-amines as pioneers of potential neurodegenerative therapeutics with anti-inflammatory properties based on dual DNase I and 5-LO inhibition. Bioorg. Chem. 2020, 95, 103528. [Google Scholar] [CrossRef]




















































Publisher’s Note: MDPI stays neutral with regard to jurisdictional claims in published maps and institutional affiliations. |
© 2021 by the authors. Licensee MDPI, Basel, Switzerland. This article is an open access article distributed under the terms and conditions of the Creative Commons Attribution (CC BY) license (http://creativecommons.org/licenses/by/4.0/).
Share and Cite
Farouk Elsadek, M.; Mohamed Ahmed, B.; Fawzi Farahat, M. An Overview on Synthetic 2-Aminothiazole-Based Compounds Associated with Four Biological Activities. Molecules 2021, 26, 1449. https://doi.org/10.3390/molecules26051449
Farouk Elsadek M, Mohamed Ahmed B, Fawzi Farahat M. An Overview on Synthetic 2-Aminothiazole-Based Compounds Associated with Four Biological Activities. Molecules. 2021; 26(5):1449. https://doi.org/10.3390/molecules26051449
Chicago/Turabian StyleFarouk Elsadek, Mohamed, Badreldin Mohamed Ahmed, and Mohamed Fawzi Farahat. 2021. "An Overview on Synthetic 2-Aminothiazole-Based Compounds Associated with Four Biological Activities" Molecules 26, no. 5: 1449. https://doi.org/10.3390/molecules26051449
APA StyleFarouk Elsadek, M., Mohamed Ahmed, B., & Fawzi Farahat, M. (2021). An Overview on Synthetic 2-Aminothiazole-Based Compounds Associated with Four Biological Activities. Molecules, 26(5), 1449. https://doi.org/10.3390/molecules26051449

