Enantioselective Synthesis of a New Non-Natural Gabosine
Abstract
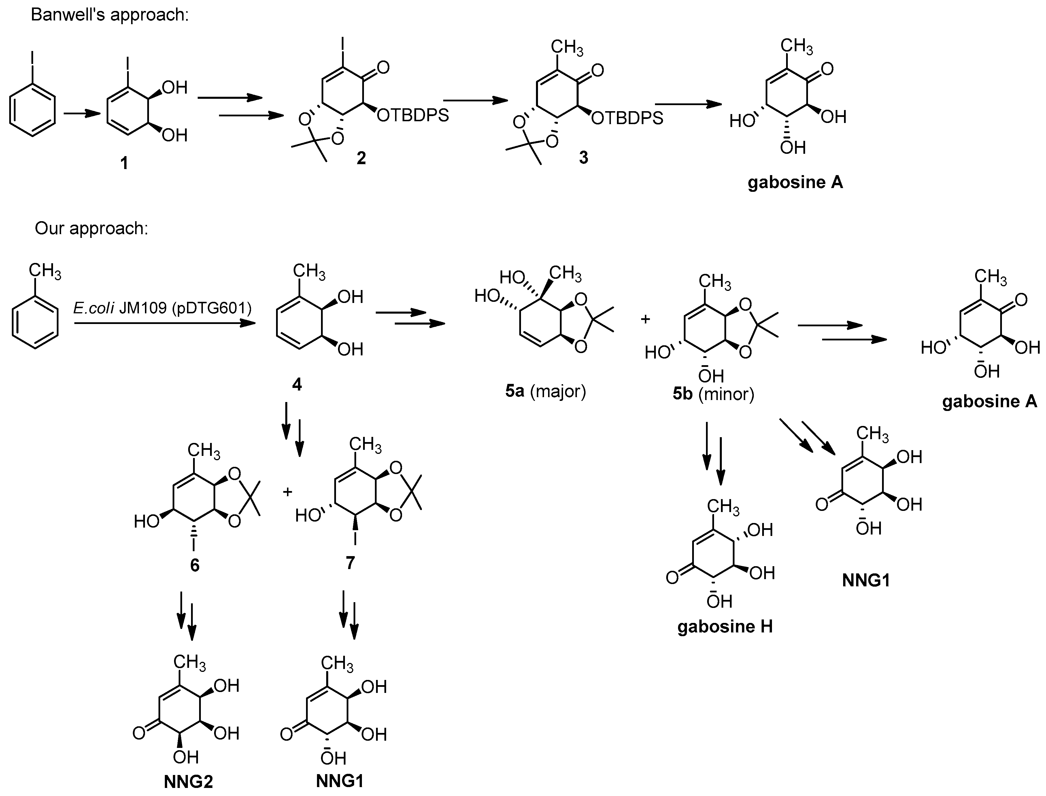
1. Introduction
2. Results
3. Materials and Methods
3.1. Chemicals and Materials
3.2. Instrumentation
3.3. Experimental Procedures
3.3.1. Synthesis of (1R,2R,5R,6S)-1,2-O-isopropyliden-3-methylciclohex-3-en-1,2,5,6-tetraol (9)
3.3.2. Synthesis of (1R,2R,5R,6S)-5,6-dibenzoyl-1,2-O-isopropyliden-3-methylciclohex-3- en-1,2,5,6-tetraol (11)
3.3.3. Synthesis of (1R,2R,5R,6R)-5,6-dibenzoyl-3-methylciclohex-3-en-1,2,5,6-tetraol (12)
3.3.4. Synthesis of (4R,5R,6S)-4,5-dibenzoyl-6-hydroxy-2-methylciclohex-2-enone (13)
3.3.5. Synthesis of (4R,5S,6S)-4,5,6-trihidroxy-2-methylcyclohex-2-enone (NNG3)
4. Conclusions
Supplementary Materials
Author Contributions
Funding
Institutional Review Board Statement
Informed Consent Statement
Data Availability Statement
Acknowledgments
Conflicts of Interest
Sample Availability
Abbreviations
| NNG | Non-natural gabosine |
| TBDPS | Tert-butyl-diphenylsilane |
| DBU | 1,8-Diazabicycle [5.4.0]-undec-7ene |
| THF | Tetrahydrofuran |
| IBX | Iodoxybenzoic acid |
| PCC | Pyridinium chlorochromate |
| DMF | Dimethylformamide |
| DMSO | Dimethylsulfoxide |
| IBA | Iodobenzoic acid |
References
- Gibson, D.T.; Koch, J.; Kallio, R. Oxidative degradation of aromatic hydrocarbons by microorganisms. I. Enzymatic formation of catechol from benzene. Biochemistry 1968, 7, 2653–2662. [Google Scholar] [CrossRef] [PubMed]
- Gibson, D.T.; Hensley, M.; Yoshioka, H.; Mabry, T.J. Oxidative degradation of aromatic hydrocarbons by microorganisms. III. Formation of (+)-cis-2,3-dihydroxy-1-methyl-4,6-cyclohexadiene from toluene by Pseudomonas putida. Biochemistry 1970, 9, 1626–1630. [Google Scholar] [CrossRef] [PubMed]
- Vila, M.A.; Brovetto, M.; Gamenara, D.; Bracco, P.; Zinola, G.; Seoane, G.; Rodríguez, S.; Carrera, I. Production of cis-1,2-dihydrocatechols of high synthetic value by whole-cell fermentation using Escherichia coli JM109 (pDTG601): A detailed study. J. Mol. Catal. B Enzym. 2013, 96, 14–20. [Google Scholar] [CrossRef]
- Hudlicky, T.; González, D.; Gibson, D.T. Enzymatic dihydroxylation of aromatics in enantioselective synthesis: Expanding asymmetric methodology. Aldrichim. Acta 1999, 32, 35–62. [Google Scholar]
- Hudlicky, T.; Reed, J. Celebrating 20 Years of SYNLETT—Special Account On the Merits of Biocatalysis and the Impact of Arene cis -Dihydrodiols on Enantioselective Synthesis. Synlett 2009, 2009, 685–703. [Google Scholar] [CrossRef]
- Tatsuta, K.; Tsuchiya, T.; Mikami, N.; Umezawa, S.; Umezawa, H.; Naganawa, H. KD16-U1, a new metabolite of Streptomyces: Isolation and structural studies. J. Antibiot. 1974, 22, 579–586. [Google Scholar] [CrossRef]
- Bayón, P.; Figueredo, M. The Gabosine and Anhydrogabosine Family of Secondary Metabolites. Chem. Rev. 2013, 113, 4680–4707. [Google Scholar] [CrossRef] [PubMed]
- Huntley, C.F.M.; Hamilton, D.S.; Creighton, D.J.; Ganem, B. Reaction of COTC with Glutathione: Structure of the Putative Glyoxalase I Inhibitor. Org. Lett. 2000, 2, 3143–3144. [Google Scholar] [CrossRef] [PubMed]
- Bach, G.; Breiding-Mack, S.; Grabley, S.; Hammann, P.; Hütter, K.; Thiericke, R.; Uhr, H.; Wink, J.; Zeeck, A. Secondary Metabolites by Chemical Screening, 22. Gabosines, New Carba-sugars From Streptomyces. Liebigs Ann. der Chem. 1993, 1993, 241–250. [Google Scholar] [CrossRef]
- Kumar, V.; Das, P.; Ghosal, P.; Shaw, A.K. Syntheses of (−)-gabosine A, (+)-4-epi-gabosine A, (−)-gabosine E, and (+)-4-epi-gabosine E. Tetrahedron 2011, 67, 4539–4546. [Google Scholar] [CrossRef]
- Tang, Y.-Q.; Maul, C.; Höfs, R.; Sattler, I.; Grabley, S.; Feng, X.-Z.; Zeeck, A.; Thiericke, R. Gabosines L, N and O: New Carba-Sugars from Streptomyces with DNA-Binding Properties. Eur. J. Org. Chem. 2000, 2000, 149–153. [Google Scholar] [CrossRef]
- Kamiya, D.; Uchihata, Y.; Ichikawa, E.; Kato, K.; Umezawa, K. Reversal of anticancer drug resistance by COTC based on intracellular glutathione and glyoxalase I. Bioorg. Med. Chem. Lett. 2005, 15, 1111–1114. [Google Scholar] [CrossRef] [PubMed]
- Das, M.; Manna, K. Bioactive Cyclohexenones: A Mini Review. Curr. Bioact. Compd. 2015, 11, 239–248. [Google Scholar] [CrossRef]
- Douglas, K.T.; Shinkai, S. Chemical Basis of the Action of Glyoxalase I, an Anticancer Target Enzyme. Angew. Chem. Int. Ed. Engl. 1985, 24, 31–44. [Google Scholar] [CrossRef]
- Mac, D.H.; Chandrasekhar, S.; Grée, R. Total Synthesis of Gabosines. Eur. J. Org. Chem. 2012, 2012, 5881–5895. [Google Scholar] [CrossRef]
- Mirza, S.; Molleyres, L.-P.; Vasella, A. Synthesis of a Glyoxalase I Inhibitor fromStreptomyces griseosporeus. Helv. Chim. Acta 1986, 68, 988–996. [Google Scholar] [CrossRef]
- Fresneda, M.Á.; Alibés, R.; Font, J.; Bayón, P.; Figueredo, M. How a diversity-oriented approach has inspired a new hypothesis for the gabosine biosynthetic pathway. A new synthesis of (+)-gabosine C. Org. Biomol. Chem. 2013, 11, 6562. [Google Scholar] [CrossRef] [PubMed]
- Fresneda, M.Á.; Alibés, R.; Font, J.; Bayón, P.; Figueredo, M. Stereoselective Synthesis and Relative Configuration Assignment of Gabosine J. J. Org. Chem. 2012, 77, 5030–5035. [Google Scholar] [CrossRef] [PubMed]
- Sivakrishna, B.; Pal, S. Asymmetric total synthesis of (+)-gabosine C and (+)-4-epi-gabosine J using acetate migration and RCM reaction. Tetrahedron 2019, 75, 3046–3052. [Google Scholar] [CrossRef]
- Bihelovic, F.; Vulovic, B.; Saicic, R.N. Synthesis of Natural Products and the Development of Synthetic Methodology: The Case Study of (–)-Atrop-abyssomicin C. Nat. Prod. Commun. 2017, 12, 1209–1214. [Google Scholar] [CrossRef]
- Yang, X.; Yuan, P.; Shui, F.; Zhou, Y.; Chen, X. A divergent strategy to synthesize gabosines featuring a switchable two-way aldol cyclization. Org. Biomol. Chem. 2019, 17, 4061–4072. [Google Scholar] [CrossRef] [PubMed]
- Babu, D.C.; Rao, C.B.; Venkatesham, K.; Selvam, J.J.P.; Venkateswarlu, Y. Toward synthesis of carbasugars (+)-gabosine C, (+)-COTC, (+)-pericosine B, and (+)-pericosine C. Carbohydr. Res. 2014, 388, 130–137. [Google Scholar] [CrossRef] [PubMed]
- Lygo, B.; Swiatyj, M.; Trabsa, H.; Voyle, M. Synthesis of (+)-Gabosines C and E from D-ribose. Tetrahedron Lett. 1994, 35, 4197–4200. [Google Scholar] [CrossRef]
- Tatsuta, K.; Yasuda, S.; Araki, N.; Takahashi, M.; Kamiya, Y. Total synthesis of a glyoxalase I inhibitor and its precursor, (−)-KD16-U1. Tetrahedron Lett. 1998, 39, 401–402. [Google Scholar] [CrossRef]
- Shinada, T.; Fuji, T.; Ohtani, Y.; Yoshida, Y.; Ohfune, Y. Syntheses of Gabosine A, B, D, and E from Allyl Sulfide Derived from(−)-Quinic Acid. Synlett 2002, 1341–1343. [Google Scholar] [CrossRef]
- Ramana, G.V.; Rao, B.V. Stereoselective synthesis of (−)-gabosine C using a Nozaki–Hiyama–Kishi reaction and RCM. Tetrahedron Lett. 2005, 46, 3049–3051. [Google Scholar] [CrossRef]
- Shing, T.K.M.; So, K.H.; Kwok, W.S. Carbocyclization of Carbohydrates: Diastereoselective Synthesis of (+)-Gabosine F, (−)-Gabosine O, and (+)-4- epi -Gabosine O. Org. Lett. 2009, 11, 5070–5073. [Google Scholar] [CrossRef]
- Shing, T.K.M.; Chen, Y.; Ng, W.-L. Carbocyclization of d-glucose: Syntheses of gabosine I and streptol. Tetrahedron 2011, 67, 6001–6005. [Google Scholar] [CrossRef]
- Shing, T.K.M.; Cheng, H.M. Facile syntheses of (+)-gabosines A, D, and E. Org. Biomol. Chem. 2009, 7, 5098–5102. [Google Scholar] [CrossRef]
- Shing, T.K.M.; Cheng, H.M. Short Syntheses of Gabosine I and Gabosine G from δ-D -Gluconolactone. J. Org. Chem. 2007, 72, 6610–6613. [Google Scholar] [CrossRef] [PubMed]
- Fresneda, M.Á.; Alibés, R.; Bayón, P.; Figueredo, M. Filling Some Blanks in a Divergent Approach to Gabosines: Enantioselective Synthesis of (−)-Epiepoxydon, (+)-Phyllostine, (−)-Gabosine D, and (−)-Gabosine E. Eur. J. Org. Chem. 2016, 2016, 3568–3574. [Google Scholar] [CrossRef]
- Raju, G.; Rao, M.V.; Rao, B.V. Concise stereoselective synthesis of 5-hydroxy carba-β-D-rhamnose, carba-β-D-rhamnose, (−)-gabosine O, and carba-α-D-rhamnose. J. Carbohydr. Chem. 2016, 35, 150–160. [Google Scholar] [CrossRef]
- Stathakis, C.I.; Athanatou, M.N.; Gallos, J.K. Synthesis of ent-gabosine E from d-mannose by intramolecular nitrone–olefin cycloaddition. Tetrahedron Lett. 2009, 50, 6916–6918. [Google Scholar] [CrossRef]
- Rao, J.P.; Rao, B.V. A common strategy for the synthesis of (+)-gabosine N, (+)-gabosine O, and some carbapyranoses using a Nozaki–Hiyama–Kishi reaction and RCM. Tetrahedron Asymmetry 2010, 21, 930–935. [Google Scholar] [CrossRef]
- Shan, M.; O’Doherty, G.A. Synthesis of SL0101 Carbasugar Analogues: Carbasugars via Pd-Catalyzed Cyclitolization and Post-Cyclitolization Transformations. Org. Lett. 2010, 12, 2986–2989. [Google Scholar] [CrossRef] [PubMed]
- Shan, M.; O’Doherty, G.A. Synthesis of Cyclitols via Cyclopropanation/Palladium-Catalyzed Ring Opening. Synthesis 2008, 19, 3171–3179. [Google Scholar] [CrossRef]
- Shan, M.; O’Doherty, G.A. Synthesis of Carbasugar C-1 Phosphates via Pd-Catalyzed Cyclopropanol Ring Opening. Org. Lett. 2008, 10, 3381–3384. [Google Scholar] [CrossRef]
- Biduś, N.; Banachowicz, P.; Buda, S. Application of a tandem seleno-michael/aldol reaction in the total syntheses of (+)-Pericosine B, (+)-Pericosine C, (+)-COTC and 7-chloro-analogue of (+)-Gabosine C. Tetrahedron 2020, 76, 131397. [Google Scholar] [CrossRef]
- Banwell, M.G.; Bray, A.M.; Wong, D.J. A concise and chemoenzymatic synthesis of (−)-gabosine A, a carba-sugar enone from Streptomycetes. New J. Chem. 2001, 25, 1351–1354. [Google Scholar] [CrossRef]
- Labora, M.; Schapiro, V.; Pandolfi, E. Concise chemoenzymatic synthesis of gabosine A, ent-epoformin and ent-epiepoformin. Tetrahedron Asymmetry 2011, 22, 1705–1707. [Google Scholar] [CrossRef]
- Tibhe, G.D.; Macias, M.A.; Pandolfi, E.; Suescun, L.; Schapiro, V. Total Synthesis of Gabosine H and Two Non-natural Gabosines. Synthesis 2017, 49, 565–570. [Google Scholar] [CrossRef]
- Brovetto, M.; Schapiro, V.; Cavalli, G.; Padilla, P.; Sierra, A.; Seoane, G.; Suescun, L.; Mariezcurrena, R. Osmylation of chiral cis-cyclohexadienediols. New J. Chem. 1999, 23, 549–555. [Google Scholar] [CrossRef]
- Carrera, I.; Brovetto, M.C.; Seoane, G. Selectivity in the halohydroxylation of cyclohexadienediols. Tetrahedron 2007, 63, 4095–4107. [Google Scholar] [CrossRef]
- Macías, M.A.; Suescun, L.; Pandolfi, E.; Schapiro, V.; Tibhe, G.D.; Mombrú, Á.W. Crystal structure and absolute configuration of (3aS,4S,5R,7aR)-2,2,7-trimethyl-3a,4,5,7a-tetrahydro-1,3-benzodioxole-4,5-diol. Acta Crystallogr. Sect. E Crystallogr. Commun. 2015, 71, 1013–1016. [Google Scholar] [CrossRef] [PubMed]
- Parikh, J.R.; Doering, W. Sulfur trioxide in the oxidation of alcohols by dimethyl sulfoxide. J. Am. Chem. Soc. 1967, 89, 5505–5507. [Google Scholar] [CrossRef]
- Gritter, R.J.; Wallace, T.J. The Manganese Dioxide Oxidation of Allylic Alcohols. J. Org. Chem. 1959, 24, 1051–1056. [Google Scholar] [CrossRef]
- Surendra, K.; Krishnaveni, N.; Reddy, M.; Nageswar, Y.; Rao, K.R. Mild Oxidation of Alcohols with o-Iodoxybenzoic Acid (IBX) in Water/Acetone Mixture in the Presence of β-Cyclodextrin. J.Org.Chem. 2003, 68, 2058–2059. [Google Scholar] [CrossRef]
- Krishnaveni, N.; Surendra, K.; Rama Rao, K. A Simple and Highly Selective Biomimetic Oxidation of Alcohols and Epoxides with N-Bromosuccinimide in the Presence of β-Cyclodextrin in Water. Adv. Synth. Catal. 2004, 346, 379–382. [Google Scholar] [CrossRef]
- Thottumkara, A.P.; Bowsher, M.S.; Vinod, T. In Situ Generation of o-Iodoxybenzoic Acid (IBX) and the Catalytic Use of It in Oxidation Reactions in the Presence of Oxone as a Co-oxidant. Org. Lett. 2005, 7, 2933–2936. [Google Scholar] [CrossRef] [PubMed]
- Hudlicky, T.; Reed, J.W. Applications of biotransformations and biocatalysis to complexity generation in organic synthesis. Chem. Soc. Rev. 2009, 38, 3117–3132. [Google Scholar] [CrossRef]
- Frigerio, M.; Santagostino, M.; Sputore, S. A User-Friendly Entry to 2-Iodoxybenzoic Acid (IBX). J. Org. Chem. 1999, 64, 4537–4538. [Google Scholar] [CrossRef]
- Herzig, J.; Nudelman, A.; Gottlieb, H.E.; Fischer, B. Studies in sugar chemistry. 2. A simple method for O-deacylation of polyacylated sugars. J. Org. Chem. 1986, 51, 727–730. [Google Scholar] [CrossRef]









| Entry | Base | Equivalents | [6] (M) | T (°C) | Time (h) | Products (Yield) * |
|---|---|---|---|---|---|---|
| 1 | NaOH | 4.0 | 0.18 | R.T.-reflux | 24 h R.T.+ 4 h reflux | 9 (55%) + 8 (10%) |
| 2 | NaOH | 4.0 | 0.20 | reflux | 6 | 9 (42%) |
| 3 | NaOH | 4.0 | 0.15 | reflux | 48 | 9 (54%) |
| 4 | NaOH | 5.0 | 0.18 | reflux | 6 | 9 (45%) |
| 5 | NaOH | 6.0 | 0.15 | reflux | 8 | 9 (58%) + 8 (8%) |
| 6 | KOH | 4.0 | 0.15 | reflux | 9 | 9 (61%) |
| 7 | KOH | 6.6 | 0.15 | reflux | 10 | 9 (55%) |
| 8 | KOH | 8.0 | 0.15 | reflux | 8 | 9 (65%) |
| Entry | Oxidizing Agent (Equivalents) | Solvent | [12] (M) | T (°C) | Time (h) | Products (Yield) * |
|---|---|---|---|---|---|---|
| 1 | IBX (2.0) | DMF | 0.10 | 0–R.T. | 48 | 13 (45%) + 14 |
| 2 | PCC/SiO2 (2.0) | CH2Cl2 | 0.15 | R.T. | 0.75 | 13 (51%) |
| 3 | PCC/SiO2 (1.5) | CH2Cl2 | 0.05 | R.T. | 0.75 | 13 (26%) |
| 4 | PCC/molecular sieves 4Å (2.0) | CH2Cl2 | 0.22 | R.T. | 1.5 | 14 + D.P. |
| 5 | SO3.Py (3.1), NEt3 (6.2) | CH2Cl2:DMSO (3:1) | 0.15 | 0–R.T. | 3 | 13 (36%) +14 |
| 6 | MnO2 (10% m-m) | CHCl2 | 0,05 | 0–R.T. | 0.25 | 14 + D.P. |
| 7 | MnO2 (14% m-m) | CHCl2 | 0.05 | −20 | 24 | 13 (29%) + 14 |
| 8 | NBS (3.0), β-cyclodextrin (1.0) | H2O | 0.07 | R.T. | 48 | 14 + D.P. |
| 9 | IBX (1.1), β-cyclodextrin (0.1) | H2O:acetone (86:14) | 0.07 | R.T. | 24 | 12 |
| 10 | 2-IBA (0.6), Oxone (5.0) | MeCN:H2O (2:1) | 0.08 | R.T. | 96 | 12 |
| 11 | 2-IBA (0.6), Oxone (5.0) | MeCN:H2O (2:1) | 0.08 | 70 | 16 | 13 (34%) |
| Entry | IBX (eq.) | Solvent | [12] (M) | T (°C) | Time (h) | Products (Yield) * |
|---|---|---|---|---|---|---|
| 1 | 2.0 | DMF | 0.10 | 0–R.T. | 48 | 13(45%) + 14 |
| 2 | 3.0 | DMF | 0.10 | 0–R.T. | 24 | 13(22%) + 14 |
| 3 | 3.0 | DMF | 0.25 | 0–R.T. | 1.0 | 14 + D.P |
| 4 | 1.5 | DMSO | 0.35 | 0–R.T. | 0.33 | 14 + D.P. |
| 5 | 3.0 | AcOEt | 0.10 | 40 | 23 | 13(10%) + 14 |
| 6 | 3.0 | AcOEt | 0.03 | R.T. | 72 | 14 + D.P. |
| 7 | 3.0 | AcOEt | 0.03 | reflux | 4 | 14 + D.P. |
| 8 | 3.0 | Acetone | 0.02 | reflux | 2 | 13(52%) + 12 |
| 9 | 3.0 | Acetone | 0.03 | reflux | 0.75 | 13(56%) + 12 |
| 10 | 3.0 | Acetone | 0.03 | reflux | 1.5 | 13(36%) + 14 |
| 11 | 3.0 | Acetone | 0.03 | R.T. | 48 | 14 + D.P. |
| 12 | 2.0 | Acetone | 0.03 | reflux | 0.83 | 13(38%) + 14 |
| 13 | 1.5 | Acetone | 0.03 | reflux | 24 | 13(24%) + 12 |
Publisher’s Note: MDPI stays neutral with regard to jurisdictional claims in published maps and institutional affiliations. |
© 2021 by the authors. Licensee MDPI, Basel, Switzerland. This article is an open access article distributed under the terms and conditions of the Creative Commons Attribution (CC BY) license (http://creativecommons.org/licenses/by/4.0/).
Share and Cite
Colobbio, M.; Pandolfi, E.; Schapiro, V. Enantioselective Synthesis of a New Non-Natural Gabosine. Molecules 2021, 26, 1423. https://doi.org/10.3390/molecules26051423
Colobbio M, Pandolfi E, Schapiro V. Enantioselective Synthesis of a New Non-Natural Gabosine. Molecules. 2021; 26(5):1423. https://doi.org/10.3390/molecules26051423
Chicago/Turabian StyleColobbio, Maximiliano, Enrique Pandolfi, and Valeria Schapiro. 2021. "Enantioselective Synthesis of a New Non-Natural Gabosine" Molecules 26, no. 5: 1423. https://doi.org/10.3390/molecules26051423
APA StyleColobbio, M., Pandolfi, E., & Schapiro, V. (2021). Enantioselective Synthesis of a New Non-Natural Gabosine. Molecules, 26(5), 1423. https://doi.org/10.3390/molecules26051423
