Synthesis of Moracin C and Its Derivatives with a 2-arylbenzofuran Motif and Evaluation of Their PCSK9 Inhibitory Effects in HepG2 Cells
Abstract
1. Introduction
2. Results and Discussion
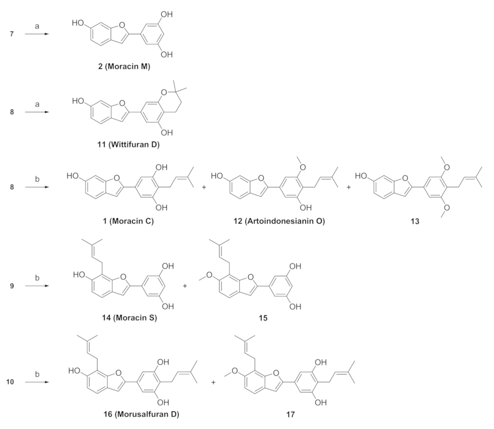
2.1. Design and Synthesis of Moracin Derivatives
2.2. Inhibitory Activity against PCSK9 mRNA Expression
3. Materials and Methods
3.1. Figures, Tables, and Schemes
3.2. Cell Culture, Drugs and Chemicals
3.3. Quantitative Real-Time RT-PCR
3.4. Statistical Analysis
3.5. Western Blot Analysis
3.6. Synthetic Methods
3.6.1. Procedure for Prenylation
3.6.2. General Procedure for Demethylation
Supplementary Materials
Author Contributions
Funding
Institutional Review Board Statement
Informed Consent Statement
Data Availability Statement
Acknowledgments
Conflicts of Interest
Sample Availability
References
- Yusuf, S.; Reddy, S.; Ounpuu, S.; Anand, S. Global burden of cardiovascular diseases: Part II: Variations in cardiovascular disease by specific ethnic groups and geographic regions and prevention strategies. Circulation 2001, 104, 2855–2864. [Google Scholar] [CrossRef]
- Sung, K.C.; Kim, B.J.; Ryu, S. An association of a variety of cardiovascular risk factors with low grade albuminuria in Korean men. Atherosclerosis 2008, 196, 320–326. [Google Scholar] [CrossRef] [PubMed]
- Lagace, T.A. PCSK9 and LDLR degradation: Regulatory mechanisms in circulation and in cells. Curr. Opin. Lipidol. 2014, 25, 387–393. [Google Scholar] [CrossRef] [PubMed]
- Raal, F.; Scott, R.; Somaratne, R.; Bridges, I.; Li, G.; Wasserman, S.M.; Stein, E.A. Low-density lipoprotein cholesterol-lowering effects of AMG 145, a monoclonal antibody to proprotein convertase subtilisin/kexin type 9 serine protease in patients with heterozygous familial hypercholesterolemia: The reduction of LDL-C with PCSK9 inhibition in heterozygous familial hypercholesterolemia disorder (RUTHERFORD) randomized trial. Circulation 2012, 126, 2408–2417. [Google Scholar]
- Catapano, A.L.; Pirillo, A.; Norata, G.D. New pharmacological approaches to target PCSK9. Curr. Atheroscler. Rep. 2020, 22, 24. [Google Scholar] [CrossRef]
- Lintner, N.G.; McClure, K.F.; Petersen, D.; Londregan, A.T.; Piotrowski, D.W.; Wei, L.; Cate, J.H. Selective stalling of human translation through small-molecule engagement of the ribosome nascent chain. PLoS Biol. 2017, 15, e2001882. [Google Scholar] [CrossRef]
- Nhoek, P.; Chae, H.S.; Masagalli, J.N.; Mailar, K.; Pel, P.; Kim, Y.-M.; Choi, W.J.; Chin, Y.-W. Discovery of flavonoids from Scutellaria baicalensis with inhibitory activity against PCSK 9 expression: Isolation, synthesis and their biological evaluation. Molecules 2018, 23, 504. [Google Scholar] [CrossRef]
- Chae, H.S.; You, B.H.; Kim, D.Y.; Lee, H.; Ko, H.W.; Ko, H.-J.; Choi, Y.H.; Choi, S.S.; Chin, Y.-W. Sauchinone controls hepatic cholesterol homeostasis by the negative regulation of PCSK9 transcriptional network. Sci. Rep. 2018, 8, 6737. [Google Scholar] [CrossRef]
- Ahn, J.; Kim, Y.M.; Chae, H.S.; Choi, Y.H.; Ahn, H.-C.; Yoo, H.; Kang, M.; Kim, J.; Chin, Y.-W. Prenylated flavonoids from the roots and rhizomes of Sophora tonkinensis and their effects on the expression of inflammatory mediators and proprotein convertase subtilisin/kexin type 9. J. Nat. Prod. 2019, 82, 309–317. [Google Scholar] [CrossRef] [PubMed]
- Pel, P.; Chae, H.S.; Nhoek, P.; Kim, Y.M.; Chin, Y.-W. Chemical constituents with proprotein convertase subtilisin/kexin type 9 mRNA expression inhibitory activity from dried immature Morus alba fruits. J. Agric. Food Chem. 2017, 65, 5316–5321. [Google Scholar] [CrossRef]
- Arias, L.; Vara, Y.; Cossío, F.P. Regioselective preparation of benzo[b]furans from phenols and α-bromoketones. J. Org. Chem. 2012, 77, 266–275. [Google Scholar] [CrossRef] [PubMed]
- Wu, K.; Wu, L.-L.; Zhou, C.-Y.; Che, C.-M. Transition-metal-free C(sp2)-C(sp2) cross-coupling of diazo quinones with catechol boronic esters. Angew. Chem. Int. Ed. 2020, 59, 16202–16208. [Google Scholar] [CrossRef] [PubMed]
- Kitamura, T.; Otsubo, K. Palladium-catalyzed intramolecular hydroarylation of 6-benzofuranyl alkynoates. Heterocycles 2012, 86, 759–766. [Google Scholar] [CrossRef]
- Weissman, S.A.; Zewge, D. Recent advances in ether dealkylation. Tetrahedron 2005, 61, 7833–7863. [Google Scholar] [CrossRef]
- Tan, Y.-X.; Liu, C.; Chen, R.-Y. 2-arylbenzofuran derivatives from Morus wittiorum. Acta Pharm. Sin. 2008, 43, 1119–1122. [Google Scholar]
- Chae, J. Practical demethylation of aryl methyl ethers using an odorless thiol reagent. Arch. Pharm. Res. 2008, 31, 305–309. [Google Scholar] [CrossRef]
- Hakim, E.H.; Ulinnuha, U.Z.; Syah, Y.M.; Ghisalberti, E.L. Artoindonesianins N and O, new prenylated stilbene and prenylated arylbenzofuran derivatives from Artocarpus gomezianus. Fitoterapia 2002, 73, 597–603. [Google Scholar] [CrossRef]
- Su, B.-N.; Cuendet, M.; Hawthorne, M.E.; Kardono, L.B.S.; Riswan, S.; Fong, H.H.S.; Mehta, R.G.; Pezzuto, J.M.; Kinghorn, A.D. Constituents of the bark and twigs of Artocarpus dadah with cyclooxygenase inhibitory activity. J. Nat. Prod. 2002, 65, 163–169. [Google Scholar] [CrossRef] [PubMed]
- Ha, M.T.; Tran, M.H.; Ah, K.J.; Jo, K.-J.; Kim, J.; Kim, W.D.; Cheon, W.J.; Woo, M.H.; Ryu, S.H.; Min, B.S. Potential pancreatic lipase inhibitory activity of phenolic constituents from the root bark of Morus alba L. Bioorg. Med. Chem. Lett. 2016, 26, 2788–2794. [Google Scholar] [CrossRef] [PubMed]
- McAllister, G.D.; Hartley, R.C.; Dawson, M.J.; Knaggs, A.R. Total synthesis of moracin C. J. Chem. Soc. Perkin Trans. 1998, 1, 3453–3457. [Google Scholar] [CrossRef]
- Matsuyama, S.; Kuwahara, Y.; Nakamura, S.; Suzuki, T. Oviposition stimulants for the lesser mulberry pyralid, Glyphodes pyloalis (Walker), in mulberry leaves; Rediscovery of phytoalexin components as insect kairomones. Agric. Biol. Chem. 1991, 55, 1333–1341. [Google Scholar]
- Wu, D.; Mei, H.; Tan, P.; Lu, W.; Zhu, J.; Wang, W.; Huang, J.; Li, J. Total synthesis of the 2-arylbenzo[b]furan-containing natural products from Artocarpus. Tetrahedron Lett. 2015, 56, 4383–4387. [Google Scholar] [CrossRef]







| Entries | Conditions | Additives | Solvents | Temp (°C) | Time (h) | Yields (%) | |
|---|---|---|---|---|---|---|---|
| 1 | 11 | ||||||
| 1 | BBr3 | - | CH2Cl2 | −78 to rt | 3 | - | 60 |
| 2 | BCl3 | - | CH2Cl2 | −78 | 4 | - | 42 |
| 3 | AlCl3 | Thiourea | CH2Cl2 | 50 | 4 | - | - |
| 4 | n-BuLi | Diphenyl phosphine | THF | −78 to reflux | 36 | 10 | - |
| 5 | Sodium mercaptan | - | DMF | 60 | 5 | - | - |
| 6 | PPTS | - | DMF | 120 | 15 min | - | 35 |
| 7 | Pyridine·HCl | - | DMF | 200 | 3 | - | 40 |
| 8 | NaOH | 1-Dodecane thiol | NMP | 130 | 24 | 30 | - |
Publisher’s Note: MDPI stays neutral with regard to jurisdictional claims in published maps and institutional affiliations. |
© 2021 by the authors. Licensee MDPI, Basel, Switzerland. This article is an open access article distributed under the terms and conditions of the Creative Commons Attribution (CC BY) license (http://creativecommons.org/licenses/by/4.0/).
Share and Cite
Masagalli, J.N.; BasavanaGowda, M.K.; Chae, H.-S.; Choi, W.J. Synthesis of Moracin C and Its Derivatives with a 2-arylbenzofuran Motif and Evaluation of Their PCSK9 Inhibitory Effects in HepG2 Cells. Molecules 2021, 26, 1327. https://doi.org/10.3390/molecules26051327
Masagalli JN, BasavanaGowda MK, Chae H-S, Choi WJ. Synthesis of Moracin C and Its Derivatives with a 2-arylbenzofuran Motif and Evaluation of Their PCSK9 Inhibitory Effects in HepG2 Cells. Molecules. 2021; 26(5):1327. https://doi.org/10.3390/molecules26051327
Chicago/Turabian StyleMasagalli, Jagadeesh Nagarajappa, Melanayakanakatte Kuberappa BasavanaGowda, Hee-Sung Chae, and Won Jun Choi. 2021. "Synthesis of Moracin C and Its Derivatives with a 2-arylbenzofuran Motif and Evaluation of Their PCSK9 Inhibitory Effects in HepG2 Cells" Molecules 26, no. 5: 1327. https://doi.org/10.3390/molecules26051327
APA StyleMasagalli, J. N., BasavanaGowda, M. K., Chae, H.-S., & Choi, W. J. (2021). Synthesis of Moracin C and Its Derivatives with a 2-arylbenzofuran Motif and Evaluation of Their PCSK9 Inhibitory Effects in HepG2 Cells. Molecules, 26(5), 1327. https://doi.org/10.3390/molecules26051327

