Study of Neuroprotection by a Combination of the Biological Antioxidant (Eucalyptus Extract) and the Antihypertensive Drug Candesartan against Chronic Cerebral Ischemia in Rats
Abstract
1. Introduction
2. Results
2.1. Body Weight
2.2. Chemical Testing Results
2.2.1. Yields of Eucalyptus Camaldulensis Crude Extracts
2.2.2. Phytochemical Screening Tests
2.3. Chemical Quantifications of Secondary Products
2.4. Antioxidant Activity (AA)
2.5. Behavioral and Cognitive Test Results
2.5.1. Beam Balance Test (BBT)
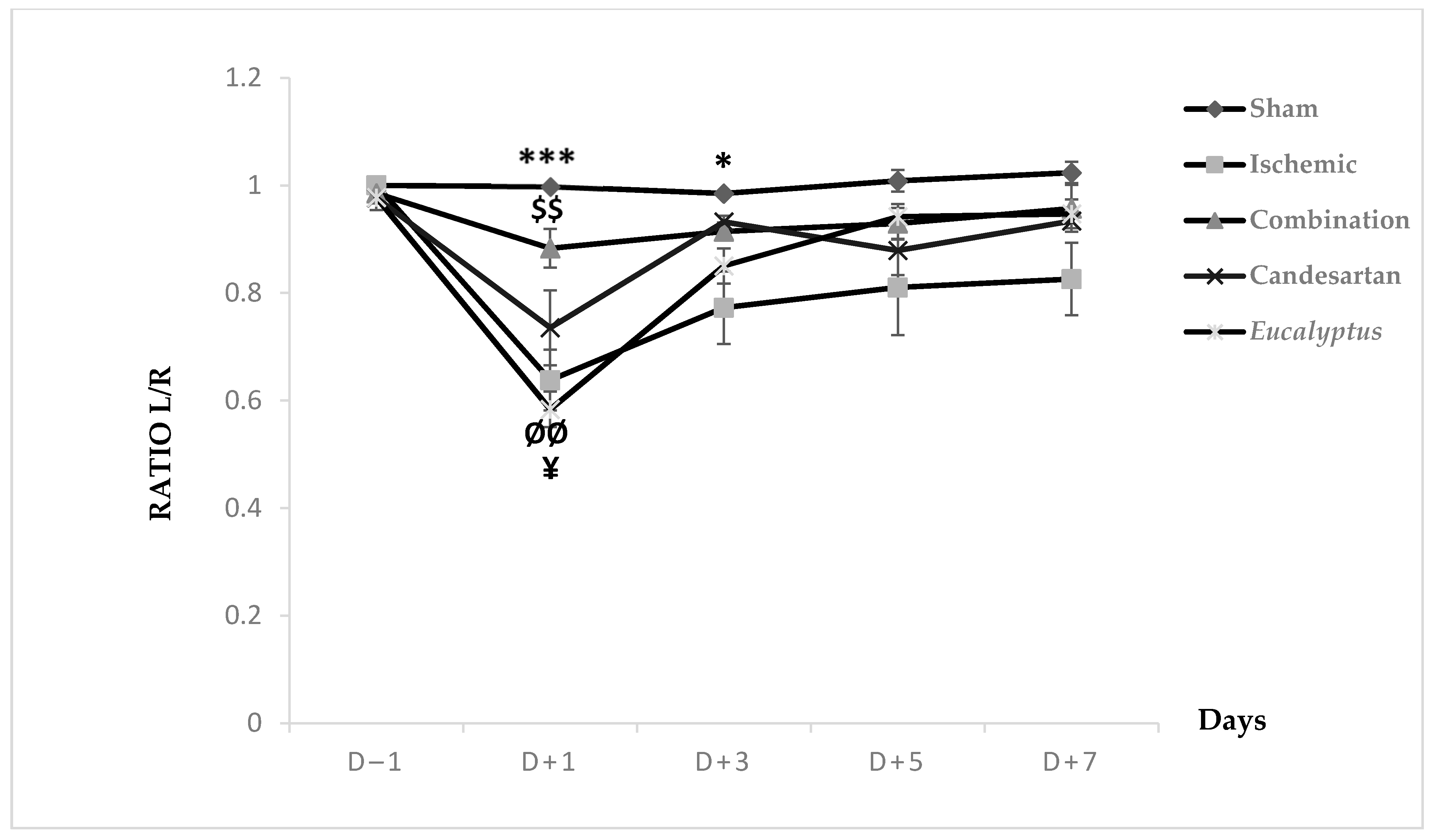
2.5.2. Beam Walking Test (BWT) Score
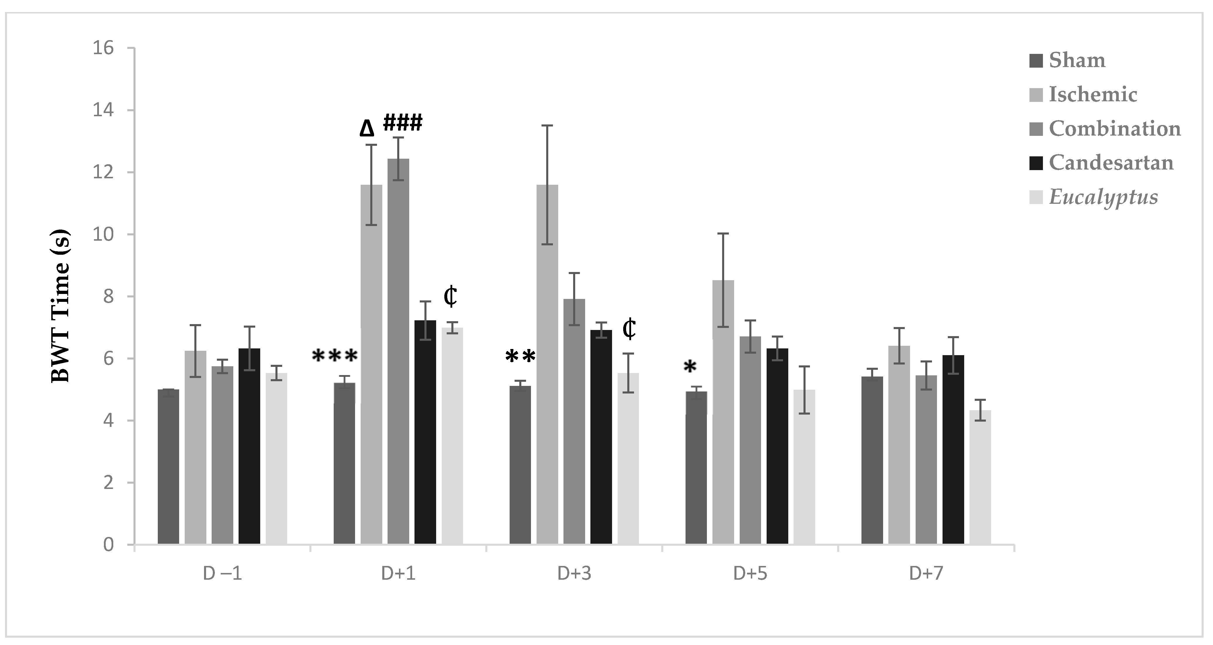
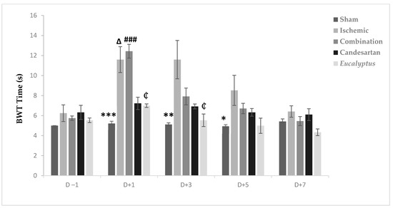
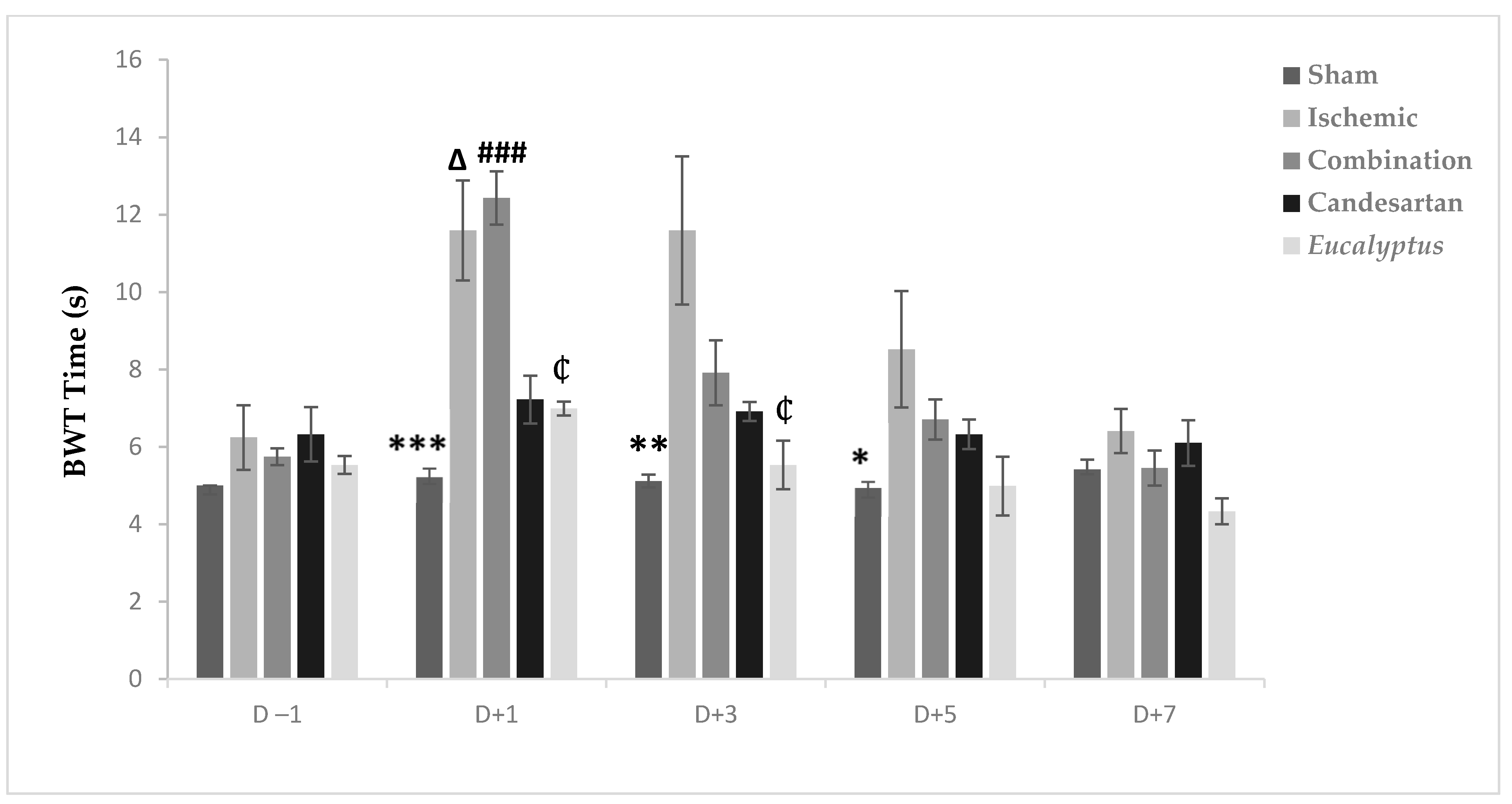
2.5.3. Beam Walking Test Time
2.5.4. Modified Sticky Tape Test (MSTT)
2.5.5. Object Recognition Test (ORT)
2.5.6. Morris Water Maze Test (MWMT)
2.5.7. Triphenyltetrazolium Chloride (TTC) Test
3. Discussion
4. Materials and Methods
4.1. Study Location
4.2. Experimental Models
4.3. Animal Ligation Operation
4.4. Animal Treatments
4.5. Body Weight
4.6. Plant Collection and Powder Preparation
4.7. Preparation of Crude Extracts
4.8. Chemical Analyses
4.9. Chemical Quantification of Secondary Products
4.9.1. Phenol Content Test
4.9.2. Sugar Test
4.9.3. Dry Matter Test
4.10. Free Radical 2.2-Diphenyl-1-picrylhydrazyl (DPPH) Scavenging Assay
4.11. Behavioral and Cognitive Tests
4.11.1. Beam Balance Test (BBT)
4.11.2. Beam Walking Test (BWT)
4.11.3. Modified Sticky Tape Test (MSTT)
4.11.4. Object Recognition Test (ORT)
4.11.5. Morris Water Maze Test (MWMT)
4.12. Brain Staining With 2,3,5-Triphenyltetrazolium Chloride (TTC)
4.13. Data Analyses
5. Conclusions
Author Contributions
Funding
Institutional Review Board Statement
Informed Consent Statement
Data Availability Statement
Acknowledgments
Conflicts of Interest
Sample Availability
References
- Liska, G.M.; Lippert, T.; Russo, E.; Nieves, N.; Borlongan, C.V. A Dual Role for Hyperbaric Oxygen in Stroke Neuroprotection: Preconditioning of the Brain and Stem Cells. Cond Med. 2018, 1, 151–166. [Google Scholar]
- Gerlai, R.; Thibodeaux, H.; Palmer, J.T.; van Lookeren Campagne, M.; Van Bruggen, N. Transient focal cerebral ischemia induces sensorimotor deficits in mice. Behav. Brain Res. 2000, 108, 63–71. [Google Scholar] [CrossRef]
- Daulatzai, M.A. Cerebral hypoperfusion and glucose hypometabolism: Key pathophysiological modulators promote neurodegeneration, cognitive impairment, and Alzheimer’s disease. J. Neurosci. Res. 2017, 95, 943–972. [Google Scholar] [CrossRef]
- Fukuta, T.; Asai, T.; Sato, A.; Namba, M.; Yanagida, Y.; Kikuchi, T.; Koide, H.; Shimizu, K.; Oku, N. Neuroprotection against cerebral ischemia/reperfusion injury by intravenous administration of liposomal fasudil. Int. J. Pharm. 2016, 506, 129–137. [Google Scholar] [CrossRef]
- Wright, J.W.; Harding, J.W. Brain renin-angiotensin--a new look at an old system. Prog. Neurobiol. 2011, 95, 49–67. [Google Scholar] [CrossRef] [PubMed]
- Sparks, M.A.; Crowley, S.D.; Gurley, S.B.; Mirotsou, M.; Coffman, T.M. Classical Renin-Angiotensin system in kidney physiology. Compr. Physiol. 2014, 4, 1201–1228. [Google Scholar] [CrossRef] [PubMed]
- Guimond, M.O.; Gallo-Payet, N. The Angiotensin II Type 2 Receptor in Brain Functions: An Update. Int. J. Hypertens. 2012, 2012, 351758. [Google Scholar] [CrossRef] [PubMed]
- Panahpour, H.; Nekooeian, A.A.; Dehghani, G.A. Blockade of Central Angiotensin II AT1 Receptor Protects the Brain from Ischemia/Reperfusion Injury in Normotensive Rats. Iran. J. Med. Sci. 2014, 39, 536–542. [Google Scholar]
- Culman, J.; Jacob, T.; Schuster, S.O.; Brolund-Spaether, K.; Brolund, L.; Cascorbi, I.; Zhao, Y.; Gohlke, P. Neuroprotective effects of AT1 receptor antagonists after experimental ischemic stroke: What is important? Naunyn—Schmiedeberg’s Arch. Pharmacol. 2017, 390, 949–959. [Google Scholar] [CrossRef]
- Skrovankova, S.; Misurcova, L.; Machu, L. Antioxidant activity and protecting health effects of common medicinal plants. Adv. Food Nutr. Res. 2012, 67, 75–139. [Google Scholar] [CrossRef]
- Faraha, A.-M.; Rabab, O. Cytotoxic activity of alkaloids extracted from three iraqi plants against breast cancer cell line. Asian J. Pharm. Clin. Res. 2017, 10, 78–81. [Google Scholar] [CrossRef]
- Suman, S.; Stuti, S.; James, B.; Apekshita, S.; Anjana, R. Evaluation of antibacterial properties of essential oils from clove and eucalyptus. Asian J. Pharm. Clin. Res. 2014, 7, 291–294. [Google Scholar]
- Nwabor, O.F.; Vongkamjan, K.; Voravuthikunchai, S.P. Antioxidant Properties and Antibacterial Effects of Eucalyptus camaldulensis Ethanolic Leaf Extract on Biofilm Formation, Motility, Hemolysin Production, and Cell Membrane of the Foodborne Pathogen Listeria monocytogenes. Foodborne Pathog. Dis. 2019, 16, 581–589. [Google Scholar] [CrossRef] [PubMed]
- González-Burgos, E.; Liaudanskas, M.; Viškelis, J.; Žvikas, V.; Janulis, V.; Gómez-Serranillos, M.P. Antioxidant activity, neuroprotective properties and bioactive constituents analysis of varying polarity extracts from Eucalyptus globulus leaves. J. Food Drug Anal. 2018, 26, 1293–1302. [Google Scholar] [CrossRef]
- Ji, Y.E.; Sun, X.; Kim, M.K.; Li, W.Y.; Lee, S.W.; Koppula, S.; Yu, S.H.; Kim, H.B.; Kang, T.B.; Lee, K.H. Eucalyptus globulus Inhibits Inflammasome-Activated Pro-Inflammatory Responses and Ameliorate Monosodium Urate-Induced Peritonitis in Murine Experimental Model. Am. J. Chin. Med. 2018, 46, 423–433. [Google Scholar] [CrossRef]
- Muddapu, V.R.; Dharshini, S.A.P.; Chakravarthy, V.S.; Gromiha, M.M. Neurodegenerative Diseases—Is Metabolic Deficiency the Root Cause? Front. Neurosci. 2020, 14, 213. [Google Scholar] [CrossRef]
- Schaefer, S.Y.; Haaland, K.Y.; Sainburg, R.L. Ipsilesional motor deficits following stroke reflect hemispheric specializations for movement control. Brain 2007, 130, 2146–2158. [Google Scholar] [CrossRef] [PubMed]
- Moskowitz, M.A.; Lo, E.H.; Iadecola, C. The science of stroke: Mechanisms in search of treatments. Neuron 2010, 67, 181–198. [Google Scholar] [CrossRef]
- Hatem, S.M.; Saussez, G.; Della Faille, M.; Prist, V.; Zhang, X.; Dispa, D.; Bleyenheuft, Y. Rehabilitation of Motor Function after Stroke: A Multiple Systematic Review Focused on Techniques to Stimulate Upper Extremity Recovery. Front. Hum. Neurosci. 2016, 10, 442. [Google Scholar] [CrossRef]
- Du, J.; Hu, J.; Hu, J.; Xu, Q.; Zhang, Q.; Liu, L.; Ma, M.; Xu, G.; Zhang, Y.; Liu, X.; et al. Aberrances of Cortex Excitability and Connectivity Underlying Motor Deficit in Acute Stroke. Neural Plast. 2018, 2018, 1318093. [Google Scholar] [CrossRef]
- Murphy, T.H.; Corbett, D. Plasticity during stroke recovery: From synapse to behaviour. Nat. Rev. Neurosci. 2009, 10, 861–872. [Google Scholar] [CrossRef]
- Stinear, C.M.; Petoe, M.A.; Byblow, W.D. Primary Motor Cortex Excitability During Recovery After Stroke: Implications for Neuromodulation. Brain Stimul. 2015, 8, 1183–1190. [Google Scholar] [CrossRef] [PubMed]
- Block, F.; Schwarz, M. Correlation between hippocampal neuronal damage and spatial learning deficit due to global ischemia. Pharmacol. Biochem. Behav. 1997, 56, 755–761. [Google Scholar] [CrossRef]
- Jittiwat, J. Baihui Point Laser Acupuncture Ameliorates Cognitive Impairment, Motor Deficit, and Neuronal Loss Partly via Antioxidant and Anti-Inflammatory Effects in an Animal Model of Focal Ischemic Stroke. Evid Based Complement. Alternat Med. 2019, 2019, 1204709. [Google Scholar] [CrossRef] [PubMed]
- Chen, J.; Venkat, P.; Zacharek, A.; Chopp, M. Neurorestorative therapy for stroke. Front. Hum. Neurosci. 2014, 8, 382. [Google Scholar] [CrossRef]
- Chen, H.; Yoshioka, H.; Kim, G.S.; Jung, J.E.; Okami, N.; Sakata, H.; Maier, C.M.; Narasimhan, P.; Goeders, C.E.; Chan, P.H. Oxidative stress in ischemic brain damage: Mechanisms of cell death and potential molecular targets for neuroprotection. Antioxid. Redox. Signal. 2011, 14, 1505–1507. [Google Scholar] [CrossRef]
- Wicha, P.; Tocharus, J.; Janyou, A.; Jittiwat, J.; Changtam, C.; Suksamrarn, A.; Tocharus, C. Hexahydrocurcumin protects against cerebral ischemia/reperfusion injury, attenuates inflammation, and improves antioxidant defenses in a rat stroke model. PLoS ONE 2017, 12, e0189211. [Google Scholar] [CrossRef]
- Villapol, S.; Yaszemski, A.K.; Logan, T.T.; Sanchez-Lemus, E.; Saavedra, J.M.; Symes, A.J. Candesartan, an angiotensin II AT(1)-receptor blocker and PPAR-gamma agonist, reduces lesion volume and improves motor and memory function after traumatic brain injury in mice. Neuropsychopharmacology 2012, 37, 2817–2829. [Google Scholar] [CrossRef]
- Huang, X.; Lu, G.; Li, G.; Li, H.; Li, B.; Yin, J.; Cao, S. Dynamic Changes in the Renin-Angiotensin-Aldosterone System and the Beneficial Effects of Renin-Angiotensin-Aldosterone Inhibitors on Spatial Learning and Memory in a Rat Model of Chronic Cerebral Ischemia. Front. Neurosci. 2017, 11, 359. [Google Scholar] [CrossRef]
- Dikalov, S.I.; Nazarewicz, R.R. Angiotensin II-induced production of mitochondrial reactive oxygen species: Potential mechanisms and relevance for cardiovascular disease. Antioxid. Redox. Signal. 2013, 19, 1085–1094. [Google Scholar] [CrossRef] [PubMed]
- Sugawara, T.; Kinouchi, H.; Oda, M.; Shoji, H.; Omae, T.; Mizoi, K. Candesartan reduces superoxide production after global cerebral ischemia. Neuroreport 2005, 16, 325–328. [Google Scholar] [CrossRef] [PubMed]
- Lobo, V.; Patil, A.; Phatak, A.; Chandra, N. Free radicals, antioxidants and functional foods: Impact on human health. Pharmacogn. Rev. 2010, 4, 118–126. [Google Scholar] [CrossRef] [PubMed]
- Nasser, M.; Damaj, R.; Merah, O.; Hijazi, A.; Trabolsi, C.; Wehbe, N.; Nasser, M.; Al-Khatib, B.; Damaj, Z. Potency of Combining Eucalyptus camaldulensis subsp. camaldulensis with Low-Dose Cisplatin in A549 Human Lung Adenocarcinomas and MCF-7 Breast Adenocarcinoma. Medicines 2020, 7, 40. [Google Scholar] [CrossRef]
- Cox-Georgian, D.; Ramadoss, N.; Dona, C.; Basu, C. Therapeutic and Medicinal Uses of Terpenes. In Medicinal Plants: From Farm to Pharmacy; Joshee, N., Dhekney, S.A., Parajuli, P., Eds.; Springer: New york, NY, USA, 2019; Chapter 15; pp. 333–359. [Google Scholar] [CrossRef]
- Pietta, P.G. Flavonoids as antioxidants. J. Nat. Prod. 2000, 63, 1035–1042. [Google Scholar] [CrossRef] [PubMed]
- Babenko, L.M.; Smirnov, O.; Romanenko, K.; Trunova, O.; Kosakivska, I. Phenolic compounds in plants: Biogenesis and functions. Ukr. Biokh. Zh. 2019, 91, 5–18. [Google Scholar] [CrossRef]
- Fu, S.; Lv, R.; Wang, L.; Hou, H.; Liu, H.; Shao, S. Resveratrol, an antioxidant, protects spinal cord injury in rats by suppressing MAPK pathway. Saudi. J. Biol. Sci. 2018, 25, 259–266. [Google Scholar] [CrossRef]
- Adams, L.S.; Seeram, N.P.; Aggarwal, B.B.; Takada, Y.; Sand, D.; Heber, D. Pomegranate juice, total pomegranate ellagitannins, and punicalagin suppress inflammatory cell signaling in colon cancer cells. J. Agric. Food Chem. 2006, 54, 980–985. [Google Scholar] [CrossRef]
- Awad, A.S. Effect of combined treatment with curcumin and candesartan on ischemic brain damage in mice. J. Stroke Cerebrovasc. Dis. 2011, 20, 541–548. [Google Scholar] [CrossRef] [PubMed]
- Benedek, A.; Moricz, K.; Juranyi, Z.; Gigler, G.; Levay, G.; Harsing, L.G., Jr.; Matyus, P.; Szenasi, G.; Albert, M. Use of TTC staining for the evaluation of tissue injury in the early phases of reperfusion after focal cerebral ischemia in rats. Brain Res. 2006, 1116, 159–165. [Google Scholar] [CrossRef]
- Liu, F.; McCullough, L.D. Middle Cerebral Artery Occlusion Model in Rodents: Methods and Potential Pitfalls. J. Biomed. Biotechnol. 2011, 2011, 464701. [Google Scholar] [CrossRef]
- Liu, F.; Schafer, D.P.; McCullough, L.D. TTC, fluoro-Jade B and NeuN staining confirm evolving phases of infarction induced by middle cerebral artery occlusion. J. Neurosci. Methods 2009, 179, 1–8. [Google Scholar] [CrossRef]
- Cao, D.; Bai, Y.; Li, L. Common Carotid Arteries Occlusion Surgery in Adult Rats as a Model of Chronic Cerebral Hypoperfusion. Bio. Protoc. 2018, 8, e2704. [Google Scholar] [CrossRef]
- Chen, S.T.; Hsu, C.Y.; Hogan, E.L.; Maricq, H.; Balentine, J.D. A model of focal ischemic stroke in the rat: Reproducible extensive cortical infarction. Stroke 1986, 17, 738–743. [Google Scholar] [CrossRef]
- Claassen, V. Food and water intake. In Techniques in the Behavioral and Neural Sciences; Elsevier: Amsterdam, The Netherlands, 1994; pp. 267–287. [Google Scholar]
- Nishimura, Y.; Ito, T.; Saavedra, J.M. Angiotensin II AT(1) blockade normalizes cerebrovascular autoregulation and reduces cerebral ischemia in spontaneously hypertensive rats. Stroke 2000, 31, 2478–2486. [Google Scholar] [CrossRef]
- Yadav, M.; Jindal, D.K.; Parle, M.; Kumar, A.; Dhingra, S. Targeting oxidative stress, acetylcholinesterase, proinflammatory cytokine, dopamine and GABA by eucalyptus oil (Eucalyptus globulus) to alleviate ketamine-induced psychosis in rats. Inflammopharmacology 2019, 27, 301–311. [Google Scholar] [CrossRef]
- Farhadi, D.; Karimi, A.; Sadeghi, G.; Sheikhahmadi, A.; Habibian, M.; Raei, A.; Sobhani, K. Effects of using eucalyptus (Eucalyptusglobulus L.) leaf powder and its essential oil on growth performance and immune response of broiler chickens. Iran. J. Vet. Res. 2017, 18, 60–62. [Google Scholar]
- Hausser, N.; Johnson, K.; Parsley, M.A.; Guptarak, J.; Spratt, H.; Sell, S.L. Detecting Behavioral Deficits in Rats After Traumatic Brain Injury. J. Vis. Exp. 2018, e56044. [Google Scholar] [CrossRef]
- Urakawa, S.; Hida, H.; Masuda, T.; Misumi, S.; Kim, T.S.; Nishino, H. Environmental enrichment brings a beneficial effect on beam walking and enhances the migration of doublecortin-positive cells following striatal lesions in rats. Neuroscience 2007, 144, 920–933. [Google Scholar] [CrossRef]
- Hong, B.Y.; Kim, J.S.; Lee, K.B.; Lim, S.H. The effect of sesamol on rats with ischemic stroke. J. Phys. Ther. Sci. 2015, 27, 1771–1773. [Google Scholar] [CrossRef]
- Antunes, M.; Biala, G. The novel object recognition memory: Neurobiology, test procedure, and its modifications. Cogn. Process. 2012, 13, 93–110. [Google Scholar] [CrossRef]
- Leger, M.; Quiedeville, A.; Bouet, V.; Haelewyn, B.; Boulouard, M.; Schumann-Bard, P.; Freret, T. Object recognition test in mice. Nat. Protocols 2013, 8, 2531–2537. [Google Scholar] [CrossRef]
- Nunez, J. Morris Water Maze Experiment. J. Vis. Exp. 2008, e897. [Google Scholar] [CrossRef]
- Isayama, K.; Pitts, L.H.; Nishimura, M.C. Evaluation of 2,3,5-triphenyltetrazolium chloride staining to delineate rat brain infarcts. Stroke 1991, 22, 1394–1398. [Google Scholar] [CrossRef]








| Solvent | Initial Weight (g) | Final Weight (g) | Extraction Yield (%) |
|---|---|---|---|
| Ethanol | 20.0 | 3.3 | 16.5 |
| Water | 20.0 | 4.0 | 20.0 |
| Plant Constituents | Ethanol | Aqueous |
|---|---|---|
| Reducing sugar | + | + |
| Anthraquinones | + | + |
| Proteins and amino acids | − | − |
| Phlabotannins | − | − |
| Alkaloids | + | + |
| Tannins | + | + |
| Resins | + | − |
| Terpenoids | + | + |
| Flavonoids | + | + |
| Quinones | + | + |
| Sterols and Steroids | + | + |
| Diterpenes | + | + |
| Anthocyanins | − | − |
| Flavanones | + | + |
| Lignines | + | + |
| Cardiac glycosides | + | − |
| Saponins | − | + |
| Phenols | + | + |
| Fixed oils | + | + |
| Solvent | TPC (mg Gallic Acid Equivalence (GAE)/g of Extract) | Soluble Sugar Test (%) | Dry Matter (%) | Antioxidant Activity (Trolox Equivalents (TE) Umol/g of Extract) |
|---|---|---|---|---|
| Ethanol | 15.33 ± 0.54 | 9.95 | 95.06 | 211.89 ± 0.39 |
| Aqueous | 19.52 ± 0.22 | 9.95 | 95.06 | 214.01 ± 1.66 |
| Plant Constituents | Extract | Reagent | Color |
|---|---|---|---|
| Reducing sugar | 0.5 mL | 1 mL water + 5–8 drops of Fehlings | Brick-red precipitate |
| Anthraquinones | 1 mL | 1 mL HCL (10%) + boil | Precipitate |
| Proteins and amino acids | 1 mL | 1 mL ninhydrin (0.25%) + boil | Blue color |
| Phlabotannins | 1 mL | 1 mL HCL (1%) + boil (5 min) + cooling | Red precipitate |
| Alkaloids | 1 mL | 5 drops of Dragendorff | Reddish orange precipitate/reddish brown or turbid |
| Tannins | 1 mL | Ferric chloride FeCl3 (1%) | Blue color |
| Resins | 1 mL | Acetone + small amount of water + agitation | Turbidity |
| Terpenoids | 1 mL | 2 mL chloroform + 3 mL concentrated sulfuric acid | Reddish brown color in the surface |
| Flavonoids | 1 mL | 5 mL potassium hydroxide KOH (50%) | Yellow color |
| Quinones | 1 mL | HCL concentrated | Precipitate or yellow color |
| Sterols and Steroids | 1 mL | 2 mL chloroform + concentrated sulfuric acid | Red color of the upper layer + greenish yellow fluorescence in the acid layer |
| Diterpenes | 1 mL dissolved in water | Few drops of copper sulphate | Green color |
| Anthocyanins | 1 mL | 1 mL NaOH (10%) | Blue color |
| Flavanones | 1 mL | 1 mL concentrated sulfuric acid | Purple red color |
| Lignines | 2 mL | Safranine | Pink color |
| Cardiac glycosides | 2 mL | 1 mL acetic acid glacial + 1 drop ferric chloride FeCl3 (5%) + 1 mL concentrated sulfuric acid | Purple ring + brown ring + green ring |
| Saponins | 2 mL | Vigorous shaking (5 min on Vortex) | Layer of foam |
| Phenols | 5 mL | 1 mL FeCl3 (1%) + 1 mL K3(Fe(CN)6) (1%) | Greenish blue color |
| Fixed oils and Fatty acids | Small amount of extract | On filter paper | Oil spot |
Publisher’s Note: MDPI stays neutral with regard to jurisdictional claims in published maps and institutional affiliations. |
© 2021 by the authors. Licensee MDPI, Basel, Switzerland. This article is an open access article distributed under the terms and conditions of the Creative Commons Attribution (CC BY) license (http://creativecommons.org/licenses/by/4.0/).
Share and Cite
Trabolsi, C.; Takash Chamoun, W.; Hijazi, A.; Nicoletti, C.; Maresca, M.; Nasser, M. Study of Neuroprotection by a Combination of the Biological Antioxidant (Eucalyptus Extract) and the Antihypertensive Drug Candesartan against Chronic Cerebral Ischemia in Rats. Molecules 2021, 26, 839. https://doi.org/10.3390/molecules26040839
Trabolsi C, Takash Chamoun W, Hijazi A, Nicoletti C, Maresca M, Nasser M. Study of Neuroprotection by a Combination of the Biological Antioxidant (Eucalyptus Extract) and the Antihypertensive Drug Candesartan against Chronic Cerebral Ischemia in Rats. Molecules. 2021; 26(4):839. https://doi.org/10.3390/molecules26040839
Chicago/Turabian StyleTrabolsi, Christine, Wafaa Takash Chamoun, Akram Hijazi, Cendrine Nicoletti, Marc Maresca, and Mohamad Nasser. 2021. "Study of Neuroprotection by a Combination of the Biological Antioxidant (Eucalyptus Extract) and the Antihypertensive Drug Candesartan against Chronic Cerebral Ischemia in Rats" Molecules 26, no. 4: 839. https://doi.org/10.3390/molecules26040839
APA StyleTrabolsi, C., Takash Chamoun, W., Hijazi, A., Nicoletti, C., Maresca, M., & Nasser, M. (2021). Study of Neuroprotection by a Combination of the Biological Antioxidant (Eucalyptus Extract) and the Antihypertensive Drug Candesartan against Chronic Cerebral Ischemia in Rats. Molecules, 26(4), 839. https://doi.org/10.3390/molecules26040839

