Green Synthetic Approach: An Efficient Eco-Friendly Tool for Synthesis of Biologically Active Oxadiazole Derivatives
Abstract
1. Introduction
2. Green Chemistry Approaches
- Prevention of waste or byproducts: It is essential to carry out the synthesis in such a way that the formation of waste or byproducts is less or absent.
- Atom economy: It represents the design of synthetic methods to maximize the incorporation of reactants (starting materials and reagents) to get the final products.
- Use of less hazardous and toxic chemicals: Various synthetic methods should be designed properly so that the use and generation of substances have less or no toxic effect on human health and the environment.
- Designing of Safer chemicals: The design of the chemical product should preserve efficacy while reducing toxicity.
- Selection of Safer solvents: Avoid the use of auxiliary materials (solvents, extractants) if possible, or otherwise, make them innocuous.
- Energy efficiency: Energy requirements should be minimized and conduct synthesis at ambient temperature and pressure.
- Renewable feedstock: Raw materials should be renewable.
- Reduce derivatives: Unnecessary derivatization should be avoided where possible.
- Smart catalysis: Selectively catalyzed processes are superior to stoichiometric processes.
- Biodegradable design: The design of chemical products should be in such a way that these can be degradable to innocuous products when disposed of.
- Real-time analysis for pollution prevention: Monitor the processes in real time to avoid excursions leading to the formation of hazardous substances.
- Prevention of hazards and accidents: Materials used in a chemical process should be selected to minimize hazardsand risk for chemical accidents.
3. Chemistry of OxadiazoleMoiety
4. Therapeutic Potentials of Oxadiazole Derivatives
5. Microwave-Assisted Synthesis of Biologically Active Oxadiazoles
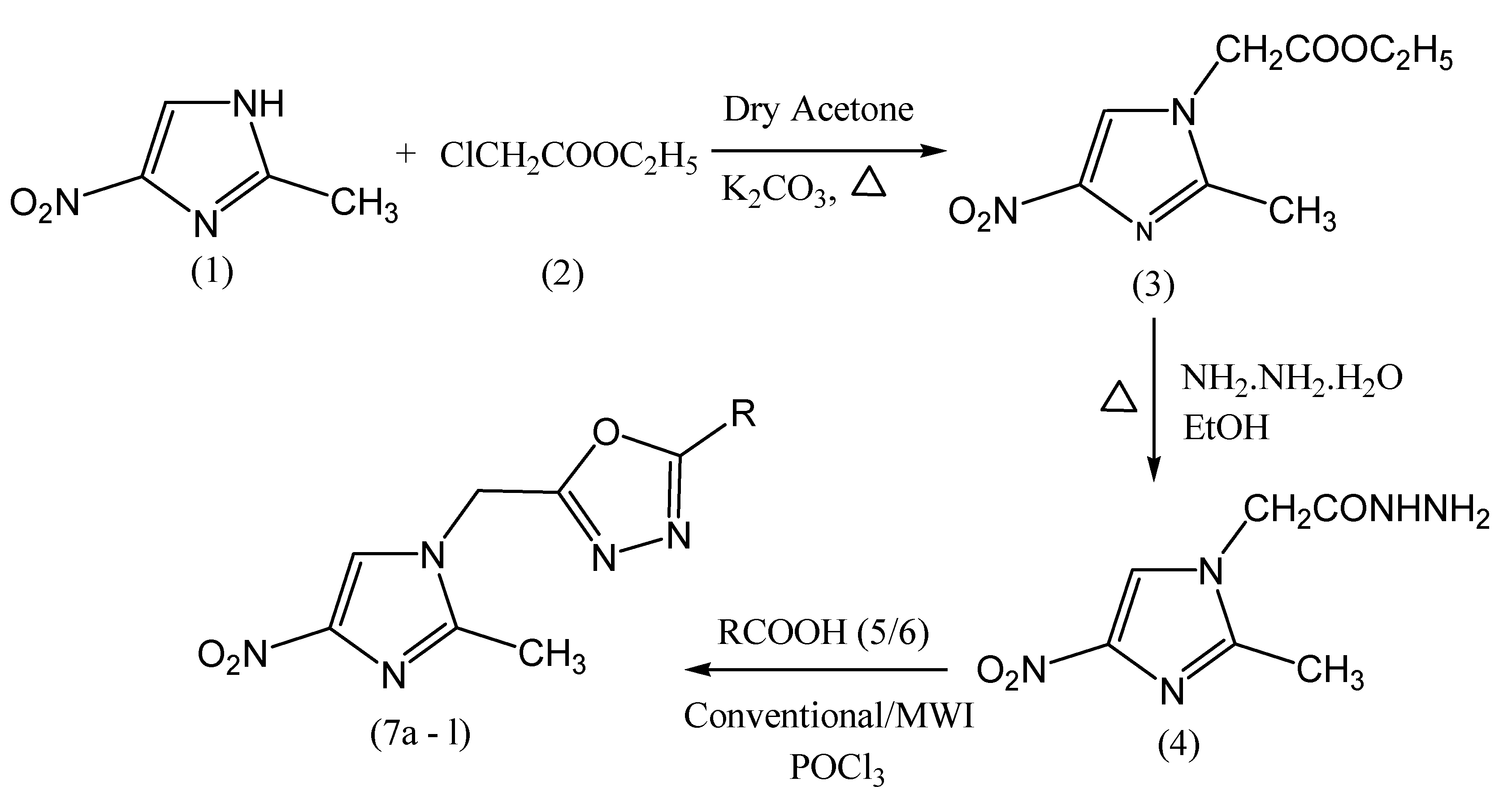
5.1. Oxadiazole Derivatives as Analgesic and Antiinflammatory Agents
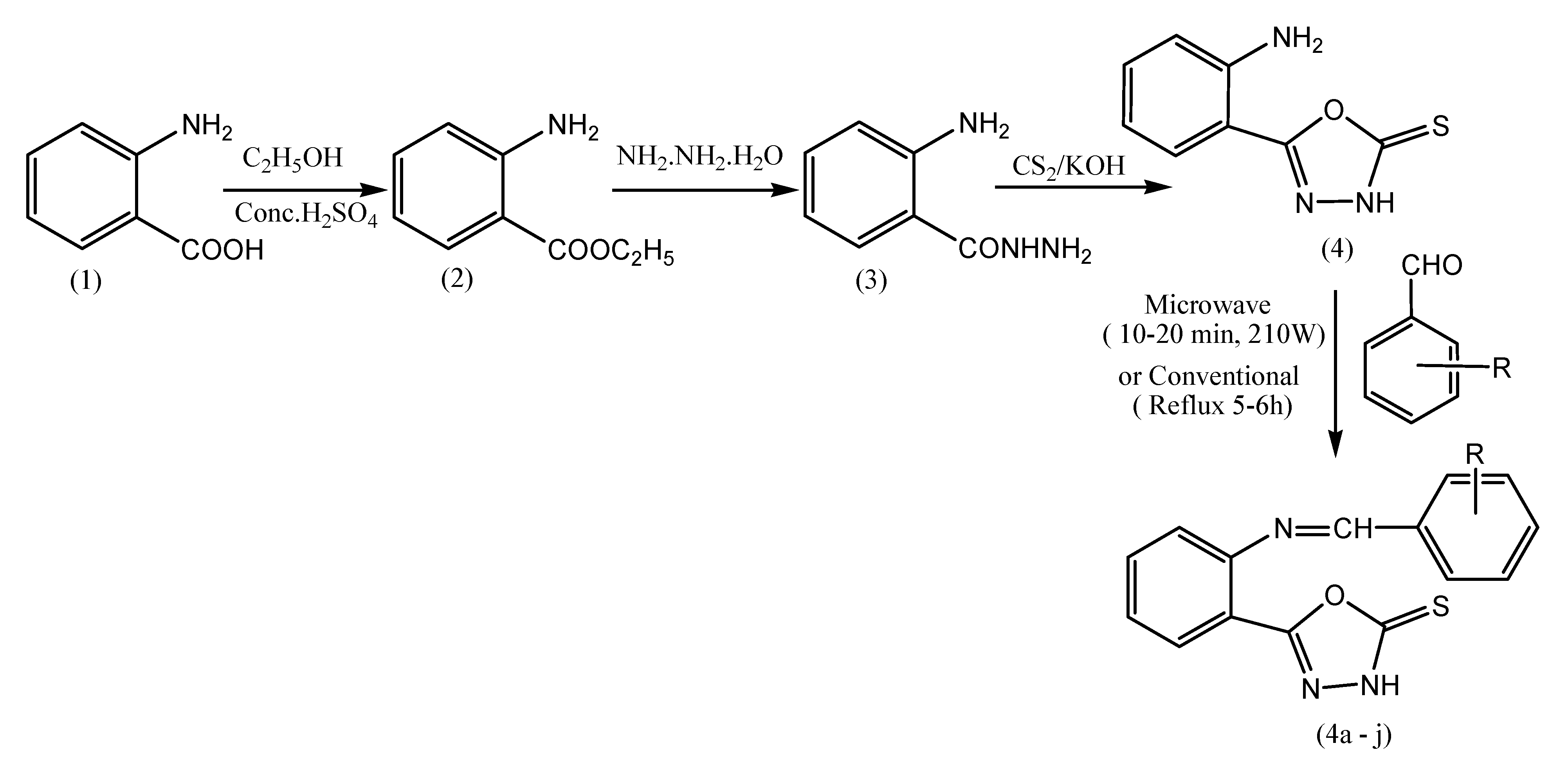
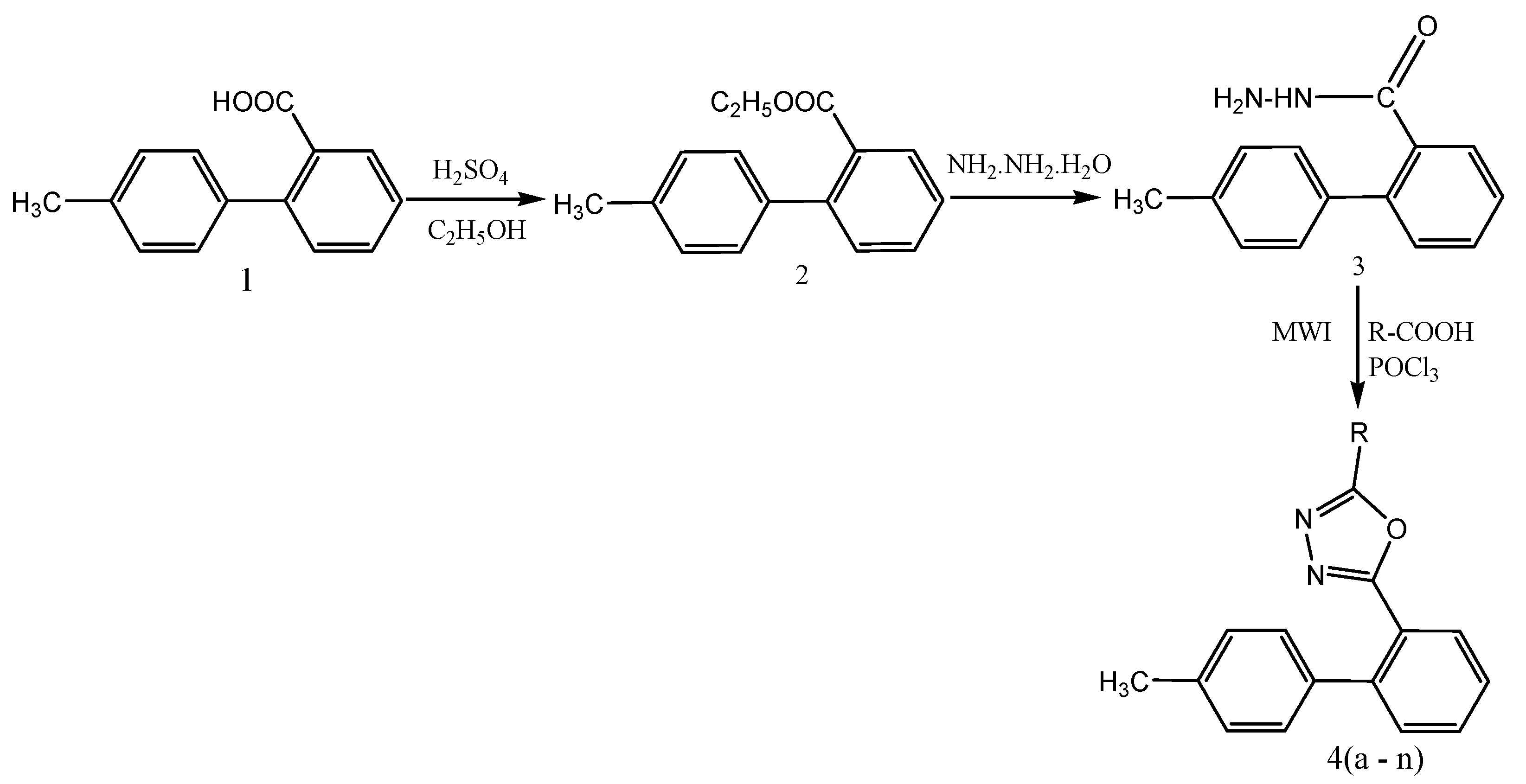
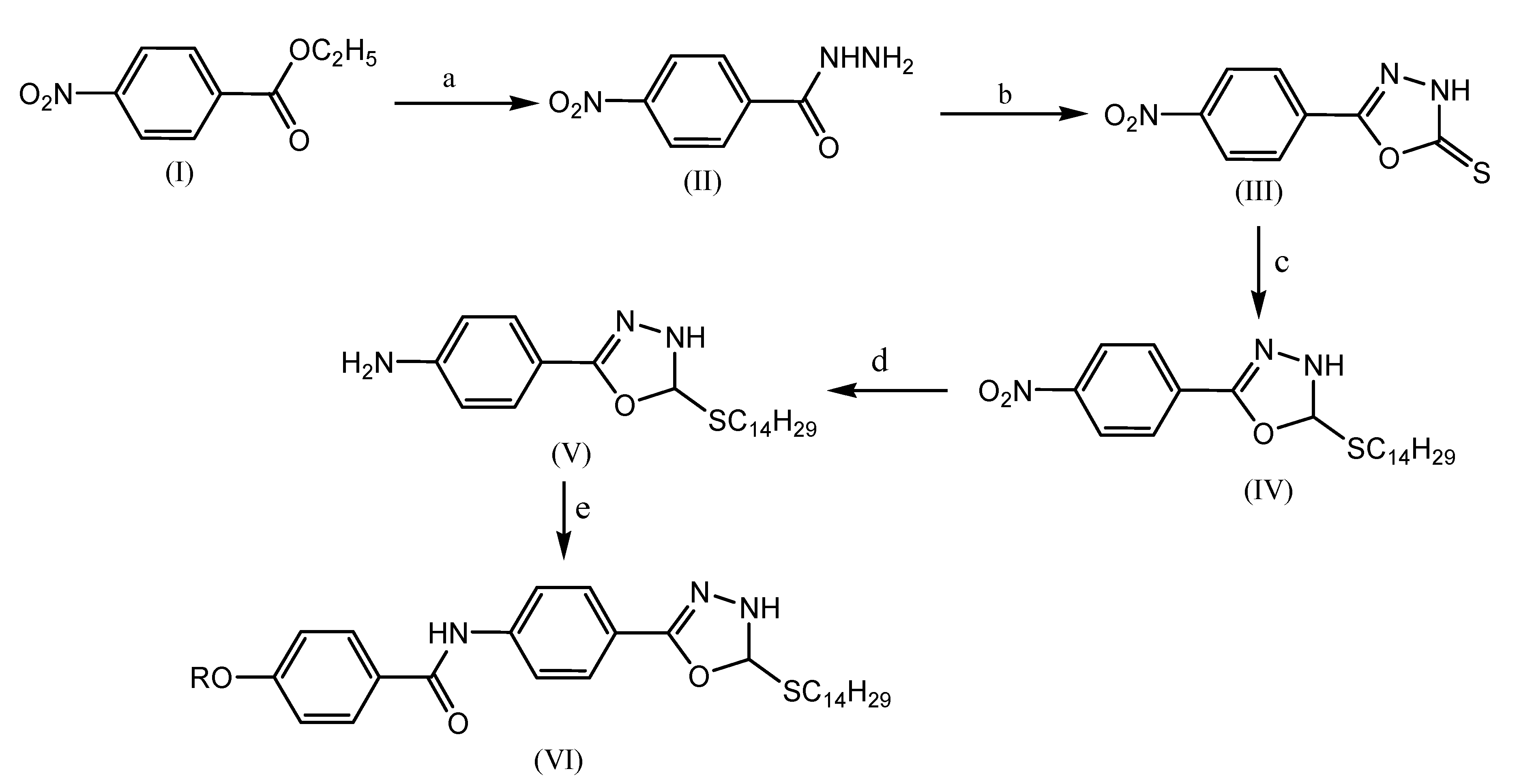
5.2. Oxadiazole Derivatives as Antioxidant and Antimicrobial Agents
5.3. Oxadiazole Derivatives as Antimycobacterial Agents
5.4. Oxadiazole Derivatives with Antitumor Activity
5.5. Miscellaneous
6. Ultrasound-Mediated Synthesis of Oxadiazole Derivatives
7. Structure–Activity Relationship (SAR) Study
8. Future Development
9. Conclusions
Author Contributions
Funding
Institutional Review Board Statement
Informed Consent Statement
Data Availability Statement
Conflicts of Interest
Abbreviations
| BSLT | Brine shrimp lethality |
| BTPPDS | 1,4-bis(triphenylphosphonium)-2-butene peroxodisulfate |
| COX | Cyclooxygenase |
| DCC | Dicyclohexyl-carbodiimide |
| DMA | Dimethylacetamide |
| DMF | Dimethylformamide |
| DMSO | Dimethyl sulfoxide |
| DPPH | 2,2-diphenyl-1-picrylhydrazyl |
| ED50 | Median effective dose |
| EDCI | 1-Ethyl-3-(3-dimethylaminopropyl)carbodiimide |
| EPA | Environmental Protection Agency |
| FDA | Food and Drug Administration |
| FMWI | Focused microwave irradiation |
| GHz | Gigahertz |
| HOBt | Hydroxybenzotriazole |
| IC50 | Half-maximal inhibitory concentration |
| ILs | Ionic liquids |
| IPA | Isopropyl alcohol |
| IUPAC | International Union of Pure and Applied Chemistry |
| MABA | Microplate alamarBlueassay |
| MFC | Minimum fungicidal concentration |
| MHz | Megahertz |
| MIC | Minimum inhibitory concentration |
| mM | Millimeter |
| MRSA | Methicillin-resistant Staphylococcusaureus |
| MTT | 3-(4,5-dimethylthiazol-2-yl)-2,5-diphenyl tetrazolium bromide |
| MWI | Microwave irradiation |
| NMP | N-Methyl-2-pyrrolidone |
| NSF | National Science Foundation |
| THF | Tetrahydrofuran |
| μg | Microgram |
| μg/mL | Microgram per microliter |
References
- Deligeorgiev, T.; Gadjev, N.; Vasilev, A.; Kaloyanova, S.; Vaquero, J.J.; Alvarez-Builla, J. ChemInform Abstract: Green Chemistry in Organic Synthesis. Mini Rev. Org. Chem. 2010, 41, 44–53. [Google Scholar] [CrossRef]
- Mahato, A.K.; Sahoo, B.M.; Banik, B.K.; Mohanta, B.C. Microwave-assisted synthesis: Paradigm of Green Chemistry. J. Ind. Chem. Soc. 2018, 95, 1327–1339. [Google Scholar]
- Li, J.-T.; Wang, S.-X.; Chen, G.-F.; Li, T.-S. Some Applications of Ultrasound Irradiation in Organic Synthesis. Curr. Org. Synth. 2005, 2, 415–436. [Google Scholar] [CrossRef]
- Geng, L.-J.; Li, J.T.; Wang, S.-X. Application of grinding method to solid-state organic synthesis. Chin. J. Org. Chem. 2005, 25, 608–613. [Google Scholar]
- Colombo, I.; Grassi, G.; Grassi, M. Drug mechanochemical actvation. J. Pharm. Sci. 2009, 398, 3961–3986. [Google Scholar] [CrossRef] [PubMed]
- Somani, R.R.; Shirodkar, P.Y. ChemInform Abstract: Oxadiazole: A Biologically Important Heterocycle. Pharm. Chem. 2011, 42, 130–140. [Google Scholar] [CrossRef]
- Clark, J.H. Green chemistry: Challenges and opportunities. Green Chem. 1999, 1, 1–8. [Google Scholar] [CrossRef]
- Trost, B.M. The atom economy—A search for synthetic efficiency. Science 1991, 254, 1471–1477. [Google Scholar] [CrossRef]
- Trost, B.M. Atom Economy—A Challenge for Organic Synthesis: Homogeneous Catalysis Leads the Way. Angew. Chem. Int. Ed. 1995, 34, 259–281. [Google Scholar] [CrossRef]
- Anastas, P.T.; Eghbali, N. Green Chemistry: Principles and Practice. Chem. Soc. Rev. 2009, 39, 301–312. [Google Scholar] [CrossRef]
- Bhandari, M.; Raj, S. Practical Approach to Green Chemistry. Int. J. Pharm. Pharm. Sci. 2017, 9, 10–26. [Google Scholar] [CrossRef]
- Sharma, S.; Sharma, P.K.; Kumar, N.; Dudhe, R. A Review: Oxadiazole their chemistry and Pharmacological potentials. Pharm. Chem. 2010, 2, 253–263. [Google Scholar]
- Kumar, K.A.; Jayaroopa, P.; Kumar, G.V. Comprehensive Review on the chemistry of 1,3,4-oxadiazoles and their applications. Int. J. Chem. Tech. Res. 2012, 4, 1782–1791. [Google Scholar]
- Nagaraj, C.K.C.; Niranjan, M.S.; Kiran, S. 1,3,4-oxadiazole: A potent drug candidate with various pharmacological activities. Int. J. Pharm. Pharm. Sci. 2011, 3, 9–16. [Google Scholar]
- Husain, A.; Mohammed, A. Synthesis of novel 1,3,4-oxadiazole derivatives and their biological properties. Acta Pharm. 2009, 59, 223–233. [Google Scholar] [CrossRef] [PubMed]
- Redhu, S.; Kharb, R. Recent updates on chemistry and pharmacological aspects of 1,3,4-oxadiazole scaffold. Int. J. Pharm. Innov. 2013, 3, 93–110. [Google Scholar]
- Tiemann, F.; Krüger, P. Ueber Amidoxime und Azoxime. Eur. J. Inorg. Chem. 1884, 17, 1685–1698. [Google Scholar] [CrossRef]
- de Freitas, J.J.R.; de Freitas, J.C.R.; da Silva, L.P.; de Freitas Filho, J.R.; Kimura, G.Y.; Srivastava, R.M. Microwave-induced one-pot syn-thesis of 4-[3-(aryl)-1,2,4-oxadiazol-5-yl]-butan-2-ones under solvent free conditions. Tetrahedron Lett. 2007, 48, 6195–6198. [Google Scholar] [CrossRef]
- Adib, M.; Jahromi, A.H.; Tavoosi, N.; Mahdavi, M.; Bijanzadeh, H.R. Microwave-assisted efficient, one-pot, three-component synthesis of 3,5-disubstituted 1,2,4-oxadiazoles under solvent-free conditions. Tetrahedron Lett. 2006, 47, 2965–2967. [Google Scholar] [CrossRef]
- Baykov, S.; Sharonova, T.; Shetnev, A.; Rozhkov, S.; Kalinin, S.; Smirnov, A.V. The first one-pot ambient-temperature synthesis of 1,2,4-oxadiazoles from amidoximes and carboxylic acid esters. Tetrahedron 2017, 73, 945–951. [Google Scholar] [CrossRef]
- Gorjizadeh, M.; Afshari, M.; Nazari, S. Microwave-Assisted One-Step Synthesis of 2,5-Disubstituted-1,3,4-Oxadiazoles Using 1,4- Bis(triphenylphosphonium)-2-Butene Peroxodisulfate. Orient. J. Chem. 2013, 29, 1627–1630. [Google Scholar] [CrossRef]
- Rotbart, H.A.; Webster, A.D.; for the Pleconaril Treatment Registry Group. Treatment of Potentially Life-Threatening Enterovirus Infections with Pleconaril. Clin. Infect. Dis. 2001, 32, 228–235. [Google Scholar] [CrossRef] [PubMed]
- McDonald, C.M.; Campbell, C.; Torricelli, R.E.; Finkel, R.S.; Flanigan, K.M.; Goemans, N.; Heydemann, P.; Kamińska, A.M.; Kirschner, J.; Muntoni, F.; et al. Ataluren in patients with nonsense mutation Duchenne muscular dystrophy (ACT DMD): A multicentre, randomised, double-blind, placebo-controlled, phase 3 trial. Lancet 2017, 390, 1489–1498. [Google Scholar] [CrossRef]
- Carbone, M.; Li, Y.; Irace, C.; Mollo, E.; Castelluccio, F.; Di Pascale, A.; Cimino, G.; Santamaria, R.; Guo, Y.-W.; Gavagnin, M. Structure and Cytotoxicity of Phidianidines A and B: First Finding of 1,2,4-Oxadiazole System in a Marine Natural Product. Org. Lett. 2011, 13, 2516–2519. [Google Scholar] [CrossRef]
- Hermit, M.B.; Greenwood, J.R.; Bräuner-Osborne, H. Mutation-induced Quisqualic Acid and Ibotenic acid affinity at the metabotropic glu-tamate receptor subtype-4. J. Biol. Chem. 2004, 279, 34811–34817. [Google Scholar] [CrossRef]
- Kozikowski, A.P.; Steensma, D.; Varasi, M.; Pshenichkin, S.; Surina, E.; Wroblewski, J.T. α-substituted quisqualic acid analogs: New metabotropic glutamate receptor group II selective antagonists. Bioorganic Med. Chem. Lett. 1998, 8, 447–452. [Google Scholar] [CrossRef]
- Vardan, S.; Smulyan, H.; Mookherjee, S.; Eich, R. Effects of tiodazosin, a new antihypertensive, hemodynamics and clinical variables. Clin. Pharmacol. Ther. 1983, 34, 290–296. [Google Scholar] [CrossRef]
- Cocohoba, J.M.; Dong, B.J. Raltegravir: The first HIV integrase inhibitor. Clin. Ther. 2008, 30, 1747–1765. [Google Scholar] [CrossRef]
- Bala, S.; Kamboj, S.; Kumar, A. Heterocyclic 1,3,4-oxadiazole compounds with diverse biological activities: A comprehensive review. J. Pharm. Res. 2010, 3, 2993–2997. [Google Scholar]
- Kappe, C.O. Controlled Microwave Heating in Modern Organic Synthesis. Angew. Chem. Int. Ed. 2004, 43, 6250–6284. [Google Scholar] [CrossRef]
- Lidstrom, P. Microwave assisted organic: A review. Tetrahedron 2001, 57, 9225–9283. [Google Scholar] [CrossRef]
- Jessop, P.G. Searching for green solvents. Green Chem. 2011, 13, 1391–1398. [Google Scholar] [CrossRef]
- Shanab, K.; Neudorfer, C.; Schirmer, E.; Spreitzer, H. Green Solvents in Organic Synthesis: An Overview. Curr. Org. Chem. 2013, 17, 1179–1187. [Google Scholar] [CrossRef]
- Prat, D.; Hayler, J.; Wells, A. A survey of solvent selection guides. Green Chem. 2014, 16, 4546–4551. [Google Scholar] [CrossRef]
- Varma, R.S. Solvent-free organic syntheses using supported reagents and microwave irradiation. Green Chem. 1999, 1, 43–55. [Google Scholar] [CrossRef]
- Martínez-Palou, R. Microwave-assisted synthesis using ionic liquids. Mol. Divers. 2010, 14, 3–25. [Google Scholar] [CrossRef]
- Sur, U.K.; Marken, F.; Coles, B.A.; Compton, R.G.; Dupont, J. Microwave activation in ionic liquids induces high temperature–high speed electrochemical processes. Chem. Commun. 2004, 24, 2816–2817. [Google Scholar] [CrossRef]
- Palou, R.M. Ionic Liquid and Microwave-Assisted Organic Synthesis: A Green and Synergic Couple. J. Mex. Chem. Soc. 2007, 51, 252–264. [Google Scholar]
- Chawla, R.; Arora, A.; Parameswaran, M.K.; Sharma, P.C.; Michael, S.; Ravi, T.K. Synthesis of novel 1,3,4-oxadiazole derivatives as poten-tial antimicrobal agents. Acta Pol. Pharm. 2010, 67, 247–253. [Google Scholar]
- Paruch, K.; Popiołek, Ł.; Wujec, M. Antimicrobial and antiprotozoal activity of 3-acetyl-2,5-disubstituted-1,3,4-oxadiazolines: A review. Med. Chem. Res. 2020, 29, 1–16. [Google Scholar] [CrossRef]
- Saha, R.; Tanwar, O.; Marella, A.; Alam, M.M.; Akhtar, M. Recent updates on biological activities of oxadiazoles. Mini-Rev. Med. Chem. 2013, 13, 1027–1046. [Google Scholar] [CrossRef] [PubMed]
- Yar, M.S.; Siddiqui, A.A.; Ali, M.A. Synthesis and Anti Tuberculostatic Activity of Novel 1,3,4-Oxadiazole Derivatives. J. Chin. Chem. Soc. 2007, 54, 5–8. [Google Scholar] [CrossRef]
- Yar, M.S.; Akhter, M.W. Synthesis and anti-convulsant activity of substituted oxadiazole and thiadiazole derivatives. Acta Pol. Pharm. 2009, 66, 393–397. [Google Scholar] [PubMed]
- Boström, J.; Hogner, A.; Llinàs, A.; Wellner, E.; Plowright, A.T. Oxadiazoles in Medicinal Chemistry. J. Med. Chem. 2012, 55, 1817–1830. [Google Scholar] [CrossRef] [PubMed]
- Polschettiwar, V.; Varma, R.S. Microwave-assisted organic synthesis and transformation using benign media. Acc. Chem. Res. 2008, 41, 629–639. [Google Scholar] [CrossRef] [PubMed]
- Rauf, A.; Farshori, N.N. Microwave-Induced Synthesis of Aromatic Heterocycles; Springer: London, UK, 2012; pp. 25–38. [Google Scholar]
- Perreux, L.; Loupy, A.A. Tentative rationalization of microwave effects in organic synthesis according to the reaction medium and mechanis-tic considerations. Tetrahedron 2001, 57, 9199–9223. [Google Scholar] [CrossRef]
- Kaur, N. Microwave-assisted synthesis of five-membered O, N, N-heterocycles. Synth. Commun. 2014, 44, 3229–3247. [Google Scholar] [CrossRef]
- Botting, J. Nonsteroidal antiinflammatory agents. Drugs Today 1999, 35, 225. [Google Scholar] [CrossRef]
- Omar, F.A.; Mahfouz, N.M.; Rahman, M.A. Design, synthesis and anti-inflammatory activity of some 1,3,4-oxadiazole derivatives. Eur. J. Med. Chem. 1996, 31, 819–825. [Google Scholar] [CrossRef]
- Biju, C.R.; Ilango, K.; Prathap, M.; Rekha, K. Design and microwave-assisted synthesis of 1,3,4-oxadiazole derivatives for analgesic and anti-inflammatory activity. J. Young Pharm. 2012, 4, 33–37. [Google Scholar] [CrossRef]
- Priya, V.; Frank, K.S.G.; Kalluraya, B. Solvent-free microwave-assisted synthesis of oxadiazoles containing imidazole moiety. J. Chem. Sci. 2007, 119, 41–46. [Google Scholar]
- Sahoo, B.; Dinda, S.C.; Kumar, B.; Panda, J.; Brahmkshatriya, P. Design, Green Synthesis, and Anti-Inflammatory Activity of Schiff Base of 1,3,4-oxadiazole Analogues. Lett. Drug Des. Discov. 2013, 11, 82–89. [Google Scholar] [CrossRef]
- Bhansali, S.G.; Kulkarni, V.M. Design, synthesis, docking, QSAR, ADME studies and pharmacological evaluation of biphenyl-2-oxadiazoles as anti-inflammatory agents. Pharm. Chem. 2015, 7, 156–173. [Google Scholar]
- Farshori, N.N.; Rauf, A.; Siddiqui, M.A.; Al-Sheddi, E.S.; Al-Oqail, M.M. A facile one-pot synthesis of novel 2,5-disubstituted-1,3,4-oxadiazoles under conventional and microwave conditions and evaluation of their in vitro antimicrobial activities. Arab. J. Chem. 2017, 10, S2853–S2861. [Google Scholar] [CrossRef]
- Baral, N.; Mohapatra, S.; Raiguru, B.P.; Mishra, N.P.; Panda, P.; Nayak, S.; Pandey, S.K.; Kumar, P.S.; Sahoo, C.R. Microwave-Assisted Rapid and Efficient Synthesis of New Series of Chromene-Based 1,2,4-Oxadiazole Derivatives and Evaluation of Antibacterial Activity with Molecular Docking Investigation. J. Heterocycl. Chem. 2019, 56, 552–565. [Google Scholar] [CrossRef]
- Madhurao, A.S.; Bodke, Y.D.; Rajappa, K.; Telkar, S.; Vinoda, B.M. Conventional and microwave assisted synthesis of 5-phenyl-2-substituted-1,3,4-oxadiazole derivatives and evaluation of their biological studies. Ind. J. Adv. Chem. Sci. 2016, 4, 257–268. [Google Scholar]
- Patel, V.M.; Patel, N.B. Microwave irradiated synthesis, biological evaluation and molecular docking studies of 3-((substituted-benzo[d]thiazol-2-yl amino)methyl)-5-(pyridin-4-yl)-1,3,4-oxadiazole-2(3H)-thione. Int. J. Pharma. Sci. Res. 2017, 8, 4021–4033. [Google Scholar]
- Valentina, N.M.; Franciane, G.; Ferreira, V.P.G.; Araujo, H.M.; do Ó Pessoa, C.; Nicolete, R.; de Oliveira, R.N. Focused microwave irra-diationassisted synthesis of N-cyclohexyl-1,2,4-oxadiazole derivatives with antitumor activity. Synth. Commun. 2018, 48, 2522–2532. [Google Scholar]
- Modi, V.; Modi, P. Oxadiazole: Synthesis, characterization and biological activities. J. Saudi Chem. Soc. 2012, 16, 327–332. [Google Scholar] [CrossRef]
- Reddy, M.L.C.; Khan, F.N.; Saravanan, V. Facile synthesis of N-1,2,4-oxadiazole substituted sulfoximines from N-cyano sulfoximines. Org. Biomol. Chem. 2019, 17, 9187–9199. [Google Scholar] [CrossRef]
- Bharatiya, N.; Gharu, C.P. Green and Efficient Microwave One Pot Synthetic Approach to N-Phenyl Piperazinyl-1,3,4-Oxadiazole Derivatives and Evaluation of Their Antioxidant and Anti-inflammatory Activity. Ind. J. App. Res. 2014, 4, 88–90. [Google Scholar]
- Sondhi, S.M.; Kumar, S.; Kumar, N.; Roy, P. Synthesis anti-inflammatory and anticancer activity evaluation of some pyrazole and oxadiazole derivatives. Med. Chem. Res. 2011, 21, 3043–3052. [Google Scholar] [CrossRef]
- Desai, N.C.; Kotadiya, G.M. Microwave-assisted synthesis of benzimidazole bearing 1,3,4-oxadiazole derivatives: Screening for their in vitro antimicrobial activity. Med. Chem. Res. 2014, 23, 4021–4033. [Google Scholar] [CrossRef]
- Iyer, V.B.; Gurupadayya, B.; Koganti, V.S.; Inturi, B.; Chandan, R.S. Design, synthesis and biological evaluation of 1,3,4-oxadiazoles as promising anti-inflammatory agents. Med. Chem. Res. 2016, 26, 190–204. [Google Scholar] [CrossRef]
- Suslick, K.S. Sonochemistry. Science 1990, 247, 1439–1445. [Google Scholar] [CrossRef]
- Nimbalkar, U.D.; Tupe, S.; Seijas, J.A.; Khan, F.A.K.; Sangshetti, J.N.; Nikalje, A.P.G. Ultrasound- and Molecular Sieves-Assisted Synthesis, Molecular Docking and Antifungal Evaluation of 5-(4-(Benzyloxy)-substituted phenyl)-3-((phenylamino)methyl)-1,3,4-oxadiazole-2(3H)-thiones. Molecular 2016, 21, 484. [Google Scholar] [CrossRef]
- Verma, S.K.; Verma, R.; Verma, S.; Vaishnav, Y.; Tiwari, S.; Rakesh, K. Anti-tuberculosis activity and its structure-activity relationship (SAR) studies of oxadiazole derivatives: A key review. Eur. J. Med. Chem. 2021, 209, 112886. [Google Scholar] [CrossRef]
- Bhardwaj, S.; Parashar, B.; Parashar, N.; Sharma, V.K. Microwave assisted synthesis and pharmacological evaluation of some 1,3,4-oxadiazole derivatives. Arch. Appl. Sci. Res. 2011, 3, 558–567. [Google Scholar]
- Sahoo, B.M.; Ravi Kumar, B.V.V.; Banik, B.K.; Borah, P. Green Efficient Synthesis of Oxadiazole Derivatives as Analgesic and Anti-inflammatory Agents. Curr. Green Chem. 2020, 7, 163–178. [Google Scholar] [CrossRef]
- Tandon, V.K.; Chhor, R.B. An Efficient One Pot Synthesis of 1,3,4-Oxadiazoles. Synth. Commun. 2001, 31, 1727–1732. [Google Scholar] [CrossRef]
- Hasna, K.T.; Deepika, P.; Sherin, A.; Shiji Kumar, P.S. Antimalarial activity of oxadiazoles: A review. Int. J. Pharm. Sci. Rev. Res. 2020, 61, 89–92. [Google Scholar]
- Tawfik, S.S.; Liu, M.; Farahat, A.A. Antiviral activity of thiadiazoles, oxadiazoles, triazoles and thiazoles. Arkivoc 2020, 180–218. [Google Scholar] [CrossRef]
- Biernacki, K.; Daśko, M.; Ciupak, O.; Kubiński, K.; Rachon, J.; Demkowicz, S. Novel 1,2,4-Oxadiazole Derivatives in Drug Discovery. Pharmaceuticals 2020, 13, 111. [Google Scholar] [CrossRef] [PubMed]
- Benassi, A.; Doria, F.; Pirota, V. Groundbreaking Anticancer Activity of Highly Diversified Oxadiazole Scaffolds. Int. J. Mol. Sci. 2020, 21, 8692. [Google Scholar] [CrossRef]
- Nayak, S.G.; Poojary, B. A Review on the Preparation of 1,3,4-Oxadiazoles From the Dehydration of Hydrazines and Study of Their Biolog-ical Roles. Chem. Afr. 2019, 2, 551–571. [Google Scholar] [CrossRef]
- Chawla, G. 1,2,4-Oxadiazole as a Privileged Scaffold for Anti-inflammatory and Analgesic Activities: A Review. Mini-Rev. Med. Chem. 2018, 18, 1536–1547. [Google Scholar] [CrossRef]
- Verma, G.; Khan, M.F.; Akhtar, W.; Alam, M.M.; Akhter, M.; Shaquiquzzaman, M. A Review Exploring Therapeutic Worth of 1,3,4-Oxadiazole Tailored Compounds. Mini-Rev. Med. Chem. 2019, 19, 477–509. [Google Scholar] [CrossRef]


























![]() | |||
|---|---|---|---|
| Angles | Bond Angle (°) | Bonds | Bond Length (Pm) |
| A | 105.6 | a | 139.9 |
| B | 113.4 | b | 129.7 |
| C | 102.0 | c | 134.8 |
| D | 113.4 | d | 134.8 |
| E | 105.6 | e | 129.7 |
| Type Oxadiazole Derivatives | Name of Compounds | Therapeutic Uses |
|---|---|---|
| 1,2,4-oxadiazole | Phidianidine-A, B | Antitumor |
| Quisqualic acid | Antiepileptic | |
| Oxolamine | Cough suppressant | |
| Prenoxdiazine | Cough suppressant | |
| Butalamine | Vasodilator | |
| Fasiplon | Anxiolytic | |
| Pleconaril | Antiviral | |
| Ataluren | Treatment of muscular dystrophy | |
| Proxazole | Treatment of GI disorders | |
| 1,3,4-oxadiazole | Tiodazosin | Antihypertensive |
| Furamizole | Antibacterial | |
| Raltegravir | Antiretroviral | |
| Nesapidil | Vasodilator | |
| Zibotentan | Anticancer |
Publisher’s Note: MDPI stays neutral with regard to jurisdictional claims in published maps and institutional affiliations. |
© 2021 by the authors. Licensee MDPI, Basel, Switzerland. This article is an open access article distributed under the terms and conditions of the Creative Commons Attribution (CC BY) license (http://creativecommons.org/licenses/by/4.0/).
Share and Cite
Banik, B.K.; Sahoo, B.M.; Kumar, B.V.V.R.; Panda, K.C.; Jena, J.; Mahapatra, M.K.; Borah, P. Green Synthetic Approach: An Efficient Eco-Friendly Tool for Synthesis of Biologically Active Oxadiazole Derivatives. Molecules 2021, 26, 1163. https://doi.org/10.3390/molecules26041163
Banik BK, Sahoo BM, Kumar BVVR, Panda KC, Jena J, Mahapatra MK, Borah P. Green Synthetic Approach: An Efficient Eco-Friendly Tool for Synthesis of Biologically Active Oxadiazole Derivatives. Molecules. 2021; 26(4):1163. https://doi.org/10.3390/molecules26041163
Chicago/Turabian StyleBanik, Bimal Krishna, Biswa Mohan Sahoo, Bera Venkata Varaha Ravi Kumar, Krishna Chandra Panda, Jasma Jena, Manoj Kumar Mahapatra, and Preetismita Borah. 2021. "Green Synthetic Approach: An Efficient Eco-Friendly Tool for Synthesis of Biologically Active Oxadiazole Derivatives" Molecules 26, no. 4: 1163. https://doi.org/10.3390/molecules26041163
APA StyleBanik, B. K., Sahoo, B. M., Kumar, B. V. V. R., Panda, K. C., Jena, J., Mahapatra, M. K., & Borah, P. (2021). Green Synthetic Approach: An Efficient Eco-Friendly Tool for Synthesis of Biologically Active Oxadiazole Derivatives. Molecules, 26(4), 1163. https://doi.org/10.3390/molecules26041163


