Targeted Hybrid Nanocarriers as a System Enhancing the Skin Structure
Abstract
1. Introduction
2. Results and Discussion
2.1. Preservation, Evaluation of Microbial Protection, and Stability of Nanosystems
2.2. Incorporation of Nanosystems
2.2.1. Into the Model Matrix
2.2.2. Compatibility of Nanosystems with Matrix
2.2.3. Imaging of Implementation
2.3. Antiradical Properties of Incorporated Nanosystems in the Matrix
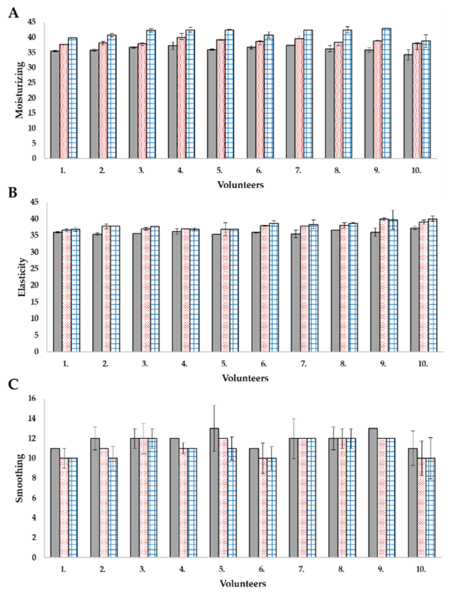
2.4. Application Study and Skin Conditioning-In Vivo
3. Materials and Methods
3.1. Levan Nanoparticle Preparation
3.2. Nanoemulsion Preparation
3.3. Other Components
3.4. Influence of Conservation Systems on Stability
3.4.1. Preservation Efficiency
3.4.2. Evaluation of Microbial Protection
3.4.3. Stability of Nanosystems
3.5. Incorporation of Nanosystems into the Model Matrix
3.5.1. Images of Incorporated Nanosystems in Different Matrix
3.5.2. IR Analysis of Nanosystems in the Cosmetic Matrix
3.6. Antiradical Properties of Incorporated Nanosystems in the Matrix
3.7. Conditioning Skin In Vivo
3.8. Application Tests In Vivo
3.9. Statistical Analysis
4. Conclusions
Supplementary Materials
Author Contributions
Funding
Institutional Review Board Statement
Informed Consent Statement
Data Availability Statement
Acknowledgments
Conflicts of Interest
References
- Ghasemiyeh, P.; Mohammadi-Samani, S. Potential of nanoparticles as permeation enhancers and targeted delivery options for skin: Advantages and disadvantages. Drug Des. Devel. Ther. 2020, 14, 3271–3289. [Google Scholar] [CrossRef] [PubMed]
- Rao, N.V.; Rho, J.G.; Um, W.; Ek, P.K.; Nguyen, V.Q.; Oh, B.H.; Kim, W.; Park, J.H. Hyaluronic acid nanoparticles as nanomedicine for treatment of inflammatory diseases. Pharmaceutics 2020, 12, 931. [Google Scholar] [CrossRef] [PubMed]
- Yousef, S.A.; Mohammed, Y.H.; Namjoshi, S.; Grice, J.E.; Benson, H.A.E.; Sakran, W.; Roberts, M.S. Mechanistic Evaluation of Enhanced Curcumin Delivery through Human Skin In Vitro from Optimised Nanoemulsion Formulations Fabricated with Different Penetration Enhancers. Pharmaceutics 2019, 11, 639. [Google Scholar] [CrossRef] [PubMed]
- Ryu, K.A.; Park, P.J.; Kim, S.B.; Bin, B.H.; Jang, D.J.; Kim, S.T. Topical delivery of coenzyme Q10-loaded microemulsion for skin regeneration. Pharmaceutics 2020, 12, 332. [Google Scholar] [CrossRef] [PubMed]
- Molska, A.; Nyman, A.K.G.; Sofias, A.M.; Kristiansen, K.A.; Hak, S.; Widerøe, M. In vitro and in vivo evaluation of organic solvent-free injectable melatonin nanoformulations. Eur. J. Pharm. Biopharm. 2020, 152, 248–256. [Google Scholar] [CrossRef]
- Bazylińska, U.; Lewińska, A.; Lamch, Ł.; Wilk, K.A. Polymeric nanocapsules and nanospheres for encapsulation and long sustained release of hydrophobic cyanine-type photosensitizer. Colloids Surfaces A Physicochem. Eng. Asp. 2014, 442, 42–49. [Google Scholar] [CrossRef]
- Lewińska, A.; Domżał-Kędzia, M.; Jaromin, A.; Łukaszewicz, M. Nanoemulsion stabilized by safe surfactin from Bacillus subtilis as a multifunctional, custom-designed smart delivery system. Pharmaceutics 2020, 12, 953. [Google Scholar] [CrossRef]
- Abd, E.; Namjoshi, S.; Mohammed, Y.H.; Roberts, M.S.; Grice, J.E. Synergistic Skin Penetration Enhancer and Nanoemulsion Formulations Promote the Human Epidermal Permeation of Caffeine and Naproxen. J. Pharm. Sci. 2016, 105, 212–220. [Google Scholar] [CrossRef]
- Sato, Y.; Joumura, T.; Takekuma, Y.; Sugawara, M. Transfer of orally administered hyaluronan to the lymph. Eur. J. Pharm. Biopharm. 2020, 154, 210–213. [Google Scholar] [CrossRef]
- Kim, K.S.H.; Chung, C.B.; Kim, Y.H.; Kim, K.S.H.; Han, C.S.; Kim, C.H. Cosmeceutical properties of levan produced by Zymomonas mobilis. Int. J. Cosmet. Sci. 2006, 28, 231. [Google Scholar] [CrossRef]
- Domżał-Kędzia, M.; Lewińska, A.; Jaromin, A.; Weselski, M.; Pluskota, R.; Łukaszewicz, M. Fermentation parameters and conditions affecting levan production and its potential applications in cosmetics. Bioorg. Chem. 2019, 1–8. [Google Scholar] [CrossRef]
- Pantelić, I.; Lukić, M.; Gojgić-Cvijović, G.; Jakovljević, D.; Nikolić, I.; Lunter, D.J.; Daniels, R.; Savić, S. Bacillus licheniformis levan as a functional biopolymer in topical drug dosage forms: From basic colloidal considerations to actual pharmaceutical application. Eur. J. Pharm. Sci. 2020, 142. [Google Scholar] [CrossRef]
- Abolmaali, S.S.; Tamaddon, A.M.; Salmanpour, M.; Mohammadi, S.; Dinarvand, R. Block ionomer micellar nanoparticles from double hydrophilic copolymers, classifications and promises for delivery of cancer chemotherapeutics. Eur. J. Pharm. Sci. 2017, 104, 393–405. [Google Scholar] [CrossRef]
- Desai, J.D.; Banat, I.M. Microbial production of surfactants and their commercial potential. Microbiol. Mol. Biol. Rev. 1997, 61, 47–64. [Google Scholar] [CrossRef]
- Santos, V.S.V.; Silveira, E.; Pereira, B.B. Toxicity and applications of surfactin for health and environmental biotechnology. J. Toxicol. Environ. Heal. Part B Crit. Rev. 2018, 21, 382–399. [Google Scholar] [CrossRef]
- Alvarez-Rivera, G.; Llompart, M.; Lores, M.; Garcia-Jares, C. Preservatives in Cosmetics: Regulatory Aspects and Analytical Methods, 2nd ed.; Elsevier: Amsterdam, The Netherlands, 2018; ISBN 9780444635167. [Google Scholar]
- Lundov, M.D.; Moesby, L.; Zachariae, C.; Johansen, J.D. Contamination versus preservation of cosmetics: A review on legislation, usage, infections, and contact allergy. Contact Dermatitis 2009, 60, 70–78. [Google Scholar] [CrossRef]
- Obeidat, W.M.; Schwabe, K.; Müller, R.H.; Keck, C.M. Preservation of nanostructured lipid carriers (NLC). Eur. J. Pharm. Biopharm. 2010, 76, 56–67. [Google Scholar] [CrossRef]
- Hommoss, A. Preservative system development for argan oil-loaded nanostructured lipid carriers. Pharmazie 2011, 66, 187–191. [Google Scholar] [CrossRef]
- Chanchal, D.; Swarnlata, S. Novel approaches in herbal cosmetics. J. Cosmet. Dermatol. 2008, 7, 89–95. [Google Scholar] [CrossRef]
- Bajerski, L.; Michels, L.R.; Colomé, L.M.; Bender, E.A.; Freddo, R.J.; Bruxel, F.; Haas, S.E. The use of Brazilian vegetable oils in nanoemulsions: An update on preparation and biological applications. Brazilian J. Pharm. Sci. 2016, 52, 347–363. [Google Scholar] [CrossRef]
- Zhao, Y.; Khalid, N.; Shu, G.; Neves, M.A.; Kobayashi, I.; Nakajima, M. Formulation and characterization of oil-in-water emulsions stabilized by gelatinized kudzu starch. Int. J. Food Prop. 2017, 20, 1329–1341. [Google Scholar] [CrossRef]
- Smaoui, S.; Hlima, H.B.; Jarraya, R.; Kamoun, N.G.; Ellouze, R.; Damak, M. Cosmetic emulsion from virgin olive oil: Formulation and bio-physical evaluation. African J. Biotechnol. 2012, 11, 9664–9671. [Google Scholar] [CrossRef]
- Lin, T.K.; Zhong, L.; Santiago, J.L. Anti-inflammatory and skin barrier repair effects of topical application of some plant oils. Int. J. Mol. Sci. 2018, 19, 70. [Google Scholar] [CrossRef] [PubMed]
- Dinache, A.; Tozar, T.; Smarandache, A.; Andrei, I.R.; Nistorescu, S.; Nastasa, V.; Staicu, A.; Pascu, M.L.; Romanitan, M.O. Spectroscopic characterization of emulsions generated with a new laser-assisted device. Molecules 2020, 25, 1729. [Google Scholar] [CrossRef] [PubMed]
- Pasieczna-Patkowska, S.; Olejnik, T. Analysis of Cosmetic Products Using Different IR Spectroscopy Techniques. Ann. UMCS, Chem. 2014, 68, 1–2. [Google Scholar] [CrossRef]
- Bouftira, I.; Abdelly, C.; Sfar, S. Characterization of cosmetic cream with Mesembryanthemum crystallinum plant extract: Influence of formulation composition on physical stability and anti-oxidant activity. Int. J. Cosmet. Sci. 2008, 30, 443–452. [Google Scholar] [CrossRef]
- Joshi, V.K.; Kumar, A.; Kumar, V. Antimicrobial, antioxidant and phyto-chemicals from fruit and vegetable waste. Intl. J. Food. Ferment. Technol. 2012, 2, 123–136. [Google Scholar]
- Ali, A.; Akhtar, N.; Khan, H.M.S. Assessment of physical stability and antioxidant activity of polysiloxane polyalkyl polyether copolymer-based creams. J. Chem. 2013, 2013. [Google Scholar] [CrossRef]
- Makarova, K.; Zawada, K.; Wagner, D.; Skowyra, J. Optimization of antioxidant properties of creams with berry extracts by artificial neural networks. Acta Phys. Pol. A 2017, 132, 44–51. [Google Scholar] [CrossRef]
- Ilyasov, I.; Beloborodov, V.; Antonov, D.; Dubrovskaya, A.; Terekhov, R.; Zhevlakova, A.; Saydasheva, A.; Evteev, V.; Selivanova, I. Flavonoids with glutathione antioxidant synergy: Influence of free radicals inflow. Antioxidants 2020, 9, 695. [Google Scholar] [CrossRef]
- Khairi, N.; As’ad, S.; Djawad, K.; Alam, G. The determination of antioxidants activity and sunblock Sterculia populifolia extract- based cream. Pharm. Biomed. Res. 2018, 4, 20–26. [Google Scholar] [CrossRef]
- Lo Scalzo, R. Organic acids influence on DPPH{radical dot} scavenging by ascorbic acid. Food Chem. 2008, 107, 40–43. [Google Scholar] [CrossRef]
- Danby, S.G.; Andrew, P.V.; Brown, K.; Chittock, J.; Kay, L.J.; Cork, M.J. An Investigation of the Skin Barrier Restoring Effects of a Cream and Lotion Containing Ceramides in a Multi-vesicular Emulsion in People with Dry, Eczema-Prone, Skin: The RESTORE Study Phase 1. Dermatol. Ther. 2020, 10, 1031–1041. [Google Scholar] [CrossRef] [PubMed]
- Ullah, H.; Santos, H.A.; Khan, T. Applications of bacterial cellulose in food, cosmetics and drug delivery. Cellulose 2016, 23, 2291–2314. [Google Scholar] [CrossRef]
- Aranaz, I.; Acosta, N.; Civera, C.; Elorza, B.; Mingo, J.; Castro, C.; de los Gandía, M.L.; Caballero, A.H. Cosmetics and cosmeceutical applications of chitin, chitosan and their derivatives. Polymers (Basel) 2018, 10, 213. [Google Scholar] [CrossRef] [PubMed]
- Sionkowska, A.; Kaczmarek, B.; Michalska, M.; Lewandowska, K.; Grabska, S. Preparation and characterization of collagen/chitosan/hyaluronic acid thin films for application in hair care cosmetics. Pure Appl. Chem. 2017, 89, 1829–1839. [Google Scholar] [CrossRef]
- Lewińska, A.; Jaromin, A.; Jezierska, J. Role of architecture of N-oxide surfactants in the design of nanoemulsions for Candida skin infection. Colloids Surfaces B Biointerfaces 2019, 187. [Google Scholar] [CrossRef]
- Sonneville-Aubrun, O.; Yukuyama, M.N.; Pizzino, A. Application of Nanoemulsions in Cosmetics; Elsevier: Amsterdam, The Netherlands, 2018; ISBN 9780128118399. [Google Scholar]
- Rocha-Filho, P.A.; Ferrari, M.; Maruno, M.; Souza, O.; Gumiero, V. In vitro and in vivo evaluation of nanoemulsion containing vegetable extracts. Cosmetics 2017, 4, 32. [Google Scholar] [CrossRef]
- Barreto, S.M.A.G.; Maia, M.S.; Benicá, A.M.; de Assis, H.R.B.S.; Leite-Silva, V.R.; da Rocha-Filho, P.A.; de Negreiros, M.M.F.; de Oliveira Rocha, H.A.; Ostrosky, E.A.; Lopes, P.S.; et al. Evaluation of in vitro and in vivo safety of the by-product of Agave sisalana as a new cosmetic raw material: Development and clinical evaluation of a nanoemulsion to improve skin moisturizing. Ind. Crops Prod. 2017, 108, 470–479. [Google Scholar] [CrossRef]
- Boonme, P.; Junyaprasert, V.B.; Suksawad, N.; Songkro, S. Microemulsions and nanoemulsions: Novel vehicles for whitening cosmeceuticals. J. Biomed. Nanotechnol. 2009, 5, 373–383. [Google Scholar] [CrossRef]
- Jajor, P.; Piłakowska-Pietras, D.; Krasowska, A.; Łukaszewicz, M. Surfactin analogues produced by Bacillus subtilis strains grown on rapeseed cake. J. Mol. Struct. 2016, 1126, 141–146. [Google Scholar] [CrossRef]
- ISO 11930. International Organization for Standardization ISO 11930:2012 Cosmetics—Microbiology—Evaluation of the Antimicrobial Protection of a Cosmetic Product; ISO: Geneva, Switzerland, 2012. [Google Scholar]
- Couteau, C.; Coiffard, L. Regulation (EC) no 1223/2009 of the European Parliament and of the Council of 30 November 2009 on Cosmetic Products. Nouv. Dermatologiq. 2010, 29, 59. [Google Scholar]
- Nowicka, D. Diagnostyka kosmetologiczna—Studium przypadków. LNE Spa 2012, 2012, 38–42. [Google Scholar]


—cream;
—tonic;
—serum.
—cream;
—tonic;
—serum.
—levan nanoparticles;
—nanoemulsion;
—linkage.
—levan nanoparticles;
—nanoemulsion;
—linkage.
—before testing,
—after series of applications of the base cream,
—after series of applications of the cream with nanosystems.
—before testing,
—after series of applications of the base cream,
—after series of applications of the cream with nanosystems.


| Sample | D0 | D30 | D90 | |||||||||||||||
|---|---|---|---|---|---|---|---|---|---|---|---|---|---|---|---|---|---|---|
| Nanoemulsion System | ||||||||||||||||||
| T [°C] | T [°C] | T [°C] | ||||||||||||||||
| 4 | 22 | 37 | 4 | 22 | 37 | 4 | 22 | 37 | ||||||||||
| pH | O | pH | O | pH | O | pH | O | pH | O | pH | O | pH | O | pH | O | pH | O | |
| control | 6.04 | A | 6.28 | A | 6.38 | A | 6.3 | A | 4.48 | A | 6.9 | D | 6.50 | A | 4.60 | A | 7.05 | E |
| A * | 3.77 | A | 3.74 | A | 3,52 | A | 3.54 | A | 3.43 | A | 3.4 | A | 3.54 | A | 3.43 | A | 3.4 | A |
| B | 6.01 | C | 6.06 | C | 6.04 | C | F | F | ||||||||||
| C | 6.11 | C | 6.22 | C | 6.21 | C | F | F | ||||||||||
| D | 5.98 | C | 5.94 | C | 6.19 | C | F | F | ||||||||||
| E | 5.93 | C | 5.93 | C | 6.06 | C | F | F | ||||||||||
| F * | 6.04 | A | 6.01 | E | 6.01 | E | 5.64 | E | 5.94 | C | 5.90 | A | 5.64 | E | 5.94 | B | 5.9 | A |
| G * | 7.0 | A | 7.05 | A | 7.14 | A | 4.67 | A | 4.46 | A | 4.68 | A | 4.78 | A | 4.56 | A | 4.77 | A |
| H | 6.13 | C | 6.08 | C | 6.11 | C | F | F | ||||||||||
| I | 5.19 | B | 5.24 | B | 5.08 | B | F | F | ||||||||||
| J | 5.46 | B | 5.26 | B | 5.54 | B | F | F | ||||||||||
| K * | 7.06 | A | 7.17 | A | 7.1 | A | 6.95 | A | 6.86 | A | 4.78 | A | 7.10 | A | 6.99 | A | 4.80 | A |
| L * | 7.39 | A | 7.32 | A | 7.39 | A | 6.99 | A | 7.28 | A | 6.99 | A | 7.08 | A | 7.40 | A | 7.08 | A |
| M | 3.8 | C | 3.39 | C | 3.6 | C | F | F | ||||||||||
| N * | 4.26 | A | 4.31 | A | 4.27 | A | 4.5 | A | 4.23 | A | 4.25 | A | 4.65 | A | 4.29 | A | 4.36 | A |
| O | 6.19 | C | 6.17 | C | 6.28 | C | F | F | ||||||||||
| P | 4.49 | C | 4.48 | C | 4.4 | C | F | F | ||||||||||
| R * | 5.98 | A | 6.18 | A | 6.22 | A | 4.65 | A | 5.0 | A | 4.73 | A | 4.72 | A | 5.12 | A | 4.83 | A |
| S | 5.98 | B | 5.8 | B | 5.93 | B | F | F | ||||||||||
| T | 5.57 | B | 5.55 | B | 5.55 | B | F | F | ||||||||||
| W * | 5.95 | A | 4.87 | A | 5.99 | A | 5.97 | A | 4.82 | A | 5.96 | A | 6.09 | A | 4.92 | A | 6.08 | A |
| Z * | 5.77 | A | 5.79 | A | 5.83 | A | 5.79 | A | 5.82 | A | 5.86 | A | 5.91 | A | 5.94 | A | 5.98 | A |
| AA * | 5.94 | A | 5.43 | A | 6.09 | A | 5.96 | A | 5.48 | A | 6.04 | A | 6.08 | A | 5.59 | A | 6.16 | A |
| AB * | 5.92 | A | 4.93 | A | 5.97 | A | 5.96 | A | 4.97 | A | 5.91 | A | 6.08 | A | 5.07 | A | 6.03 | A |
| AC | 5.97 | B | 5.96 | B | 5.94 | B | F | F | ||||||||||
| AD * | 5.95 | A | 5.17 | A | 6.23 | A | 5.97 | A | 5.23 | A | 6.27 | A | 6.09 | A | 5.33 | A | 6.40 | A |
| AE * | 5.98 | A | 5.35 | A | 6.1 | A | 5.99 | A | 5.37 | A | 6.12 | A | 6.12 | A | 6.11 | A | 5.48 | A |
| Nanoparticles of Levan System | ||||||||||||||||||
| control | - | - | 7.18 | C | - | - | - | - | 4.51 | C | - | - | - | - | 4.27 | C | - | - |
| A | - | - | 6.44 | C | - | - | - | - | 6.27 | C | - | - | - | - | 5.20 | C | - | - |
| F | - | - | 7.03 | A | - | - | - | - | 6.30 | A | - | - | - | - | 4.94 | E | - | - |
| G | - | - | 7.05 | A | - | - | - | - | 6.43 | E | - | - | - | - | 6.40 | C | - | - |
| R | - | - | 7.00 | A | - | - | - | - | 4.58 | E | - | - | - | - | 4.27 | E | - | - |
| W | - | - | 7.04 | A | - | - | - | - | 5.47 | E | - | - | - | - | 4.73 | E | - | - |
| Z | - | - | 6.96 | A | - | - | - | - | 6.99 | A | - | - | - | - | 6.83 | A | - | - |
| AA | - | - | 7.03 | A | - | - | - | - | 7.06 | A | - | - | - | - | 7.00 | A | - | - |
| AB | - | - | 7.00 | A | - | - | - | - | 7.01 | A | - | - | - | - | 6.11 | A | - | - |
| AD | - | - | 7.04 | A | - | - | - | - | 7.07 | A | - | - | - | - | 6.40 | A | - | - |
| AE | - | - | 7.04 | A | - | - | - | - | 5.91 | C | - | - | - | - | 5.08 | E | - | - |
| Day 0 | Day 90 | |||||
|---|---|---|---|---|---|---|
| DH [nm] | PdI | ξ [mV] | DH [nm] | PdI | ξ [mV] | |
| Sample | Nanoemulsion System | |||||
| Control | 110.5 ± 1.9 | 0.220 ± 0.01 | −27.5 ± 2.83 | 120.2 ± 1.2 | 0.212 ± 0.010 | −12.80 ± 1.18 |
| A | 165.3 ± 0.5 | 0.190 ± 0.003 | 40.34 ± 0.84 | 169.0 ± 3.0 | 0.195 ± 0.004 | 38.27 ± 1.26 |
| F | 385.2 ± 26.6 | 0.430 ± 0.01 | −18.04 ± 0.42 | 195.7 ± 7.5 | 0.650 ± 0.120 | −12.84 ± 0.40 |
| G | 146.6 ± 5.0 | 0.220 ± 0.01 | −47.27 ±3.67 | 162.4 ± 1.1 | 0.094 ± 0.010 | −22.20 ± 3.34 |
| K | 155.3 ± 0.9 | 0.190 ± 0.001 | −31.60 ± 0.37 | 55.4 ± 10.9 | 0.591 ± 0.050 | −14.07 ± 1.36 |
| L | 143.9 ± 7.4 | 0.210 ± 0.01 | −39.00 ± 4.29 | 91.6 ± 5.5 | 0.636 ± 0.040 | −26.10 ± 1.93 |
| N | 163.5 ± 3.3 | 0.220 ± 0.01 | −4.92 ± 0.37 | 212.1 ± 1.7 | 0.280 ± 0.020 | −7.41 ± 0.10 |
| R | 194.1 ± 0.8 | 0.240 ± 0.001 | −20.07 ± 0.17 | 165.2 ± 1.4 | 0.130 ± 0.010 | −16.13 ± 0.46 |
| W | 173.9 ± 1.1 | 0.160 ± 0.02 | −29.34 ± 1.67 | 153.8 ± 1.2 | 0.190 ± 0.003 | −15.97 ± 0.42 |
| Z | 212.8 ± 5.3 | 0.190 ± 0.02 | −25.10 + 0.71 | 741.1 ± 19.5 | 0.199 ± 0.020 | −9.88 ± 0.28 |
| AA | 184.2 ± 3.1 | 0.18 ± 0.20 | −24.53 ± 1.72 | 256. 7 ± 3.6 | 0.116 ± 0.003 | −12.10 ± 0.35 |
| AB | 165.9 ± 7.9 | 0.171 ± 0.02 | −31.07 ± 1.89 | 160.8 ± 2.9 | 0.193 ± 0.005 | −16.53 ± 0.40 |
| AD | 175.1 ± 1.0 | 0.180 ± 0.01 | −28.93 ± 0.19 | 177.2 ± 2.6 | 0.181 ± 0.020 | −15.23 ± 0.50 |
| AE | 487.3 ± 12.8 | 0.230 ± 0.01 | −6.46 ± 0.15 | 169.0 ± 0.8 | 0.243 ± 0.004 | −16.80 ± 0.20 |
| Nanoparticles of Levan System | ||||||
| control | 203.1 ± 5.3 | 0.280 ± 0.001 | −11.37 ± 2.17 | 311.1 ± 3.6 | 0.441 ± 0.01 | −8.53 ± 0.95 |
| AA | 236.6 ± 3.9 | 0.115 ± 0.01 | −4.68 ± 0.19 | 224.3 ± 4.6 | 0.136 ± 0.02 | −1.07 ± 0.35 |
| Preservative Symbol | INCI | pH Range | Max. Content [%] |
|---|---|---|---|
| Pentylene Glycol, Glycerin, Citrus Aurantium Amara Fruit Extract, Citrus Reticulata Fruit Extract, Citrus Aurantium Dulcis Peel Extract, Ascorbic Acid, Citric Acid, Lactic Acid | 3–6.5 | 3 | |
| AA | Glycerin + Propylene Glycol | unlimited | 10 + 5 |
| AB | Pentylene Glycol | 2–12 | 5 |
| AC | Phenethyl Alcohol | unlimited | 1 |
| AD | Butylene Glycol | unlimited | 10 |
| AE | Butylene Glycol + 1.2 Hexanediol | unlimited | 1.5 |
| B | Phenoxyethanol, Ethylhexylglicerin | <12 | 1 |
| C | Benzyl Alcohol, Benzoic Acid, Dehydroacetic Acid | <6 | 1.2 |
| D | Phenoxyethanol, Methylparaben, Ethylparaben, Propylparaben, Butylparaben | <8 | 1.2 |
| E | Phenoxyethanol, Methylparaben, Ethylparaben, Propylene Glycol | to 8 | 1.4 |
| F | Pentylene Glycol, Phenylpropanol | 3–10 | 3 |
| G | Potassium Sorbate, Sodium Benzoate | to 5.5 | 1.5 |
| H | Phenylpropanol | 3–10 | 1 |
| I | Pentylene Glycol, Caprylyl Glycol, Ethylhexylglycerin | 3–9 | 2 |
| J | Benzyl Alcohol, Glyceryl Caprylate, Glyceryl Undecylenate | 4–8 | 2 |
| K | Sodium Levulinate, Sodium Benzoate | <6 | 2.5 |
| L | Sodium Levulinate, Potassium Sorbate | <6 | 2 |
| M | Benzyl Alcohol, Glyceryl Caprylate, Benzoic Acid, Propylene Glycol | 4–6 | 1.2 |
| N | Levulinic Acid, Glycerin, Sodium Levulinate | 6 | 1 |
| O | Pentylene Glycol, Glyceryl Caprylate, Glyceryl Undecylenate | 3.5–7.5 | 2.5 |
| P | Benzyl Alcohol, Dehydroacetic Acid | 3–7 | 1 |
| R | 1.2-Hexanediol | unlimited | 2.5 |
| S | Caprylyl Glycol | unlimited | 0.5 |
| W | Propylene Glycol | unlimited | 8 |
| Z | Glycerin | unlimited | 20 |
| Phase | INCI | Function | Content [%] | |||
|---|---|---|---|---|---|---|
| C | C1 | C2 | C3 | |||
| A | Polyglyceryl-3 Dicitrate/Stearate | Emulsifier | 2 | 2 | 2 | 2 |
| Caprylic/ Capric Triglyceride | Emollient | 3.2 | 3.2 | 3.2 | 3.2 | |
| Octyldodecanol | Emollient | 2 | 2 | 2 | 2 | |
| Triheptanoin | Emollient | 2 | 2 | 2 | 2 | |
| Butyrospermum Parkii (Shea) Butter | Emollient | 3.6 | 3.6 | 3.6 | 3.6 | |
| Cetearyl Alcohol | Viscosity controlling, Emollient | 2.5 | 2.5 | 2.5 | 2.5 | |
| Glyceryl Stearate | Viscosity controlling, Emollient | 1.8 | 1.8 | 1.8 | 1.8 | |
| Oleic/Linoleic/Linolenic Polyglyceride | Emollient, co-emulsifier | 1 | 1 | 1 | 1 | |
| Squalane | Emollient | 2 | 2 | 2 | 2 | |
| Tocopherol, Helianthus Annuus (Sunflower) Seed Oil | Antioxidant | 0.1 | 0.1 | 0.1 | 0.1 | |
| Sesamum Indicum Seed Oil | Emollient | 1.5 | 1.5 | 1.5 | 1.5 | |
| B | Aqua | Solvent | 40 | 40 | 40 | 40 |
| Sodium Phytate | Chelating agent | 0.1 | 0.1 | 0.1 | 0.1 | |
| C | Microcrystalline Cellulose, Xanthan Gum | Viscosity controlling agent | 0.9 | 0.9 | 0.9 | 0.9 |
| Glycerin | Humectant | 0.5 | 0.5 | 0.5 | 0.5 | |
| Aqua | Solvent | 30 | 30 | 30 | 30 | |
| D | Propylene Glycol | Solvent | 1.5 | 1.5 | 1.5 | 1.5 |
| Perfume | Parfum | 0.1 | 0.1 | 0.1 | 0.1 | |
| Water, Glycerin, Punica Granatum Fruit Extract, Potassium Sorbate, Sorbic Acid | Active ingredient | 0.8 | 0.8 | 0.8 | 0.8 | |
| Benzyl Alcohol, Benzoic Acid, Dehydroacetic Acid, Tocopherol | Preservative | 0.8 | 0.8 | 0.8 | 0.8 | |
| E | Levan, Glucose, Fructose, Sucrose | Active ingredient | - | 0.08 | - | 0.08 |
| Sodium Surfactin | Surfactant | - | 0.375 | 0.375 | - | |
| Diethylene Glycol Monoethyl Ether | Solvent | - | 0.225 | 0.225 | - | |
| Ascorbyl Tetraisopalmitate | Active ingredient | - | 0.15 | 0.15 | - | |
| Aqua | Solvent | to 100 | to 100 | to 100 | to 100 | |
| INCI | Function | Content [%] | |||
|---|---|---|---|---|---|
| S | S1 | S2 | S3 | ||
| Propylene Glycol | Solvent | 4.5 | 4.5 | 4.5 | 4.5 |
| Pentylene Glycol | Solvent, Skin conditioning | 3.5 | 3.5 | 3.5 | 3.5 |
| Caprylyl/Capryl Glucoside | Surfactant | 0.3 | 0.3 | 0.3 | 0.3 |
| Glycerin | Humectant | 0.8 | 0.8 | 0.8 | 0.8 |
| Xanthan Gum | Viscosity controlling | 0.95 | 0.95 | 0.95 | 0.95 |
| Benzyl Alcohol, Benzoic Acid, Dehydroacetic Acid, Tocopherol, | Preservative | 0.95 | 0.95 | 0.95 | 0.95 |
| Perfume | Parfum | 0.08 | 0.08 | 0.08 | 0.08 |
| Levan, Glucose, Fructose, Sucrose | Active ingredient | - | 0.08 | - | 0.08 |
| Sodium Surfactin | Surfactant | - | 0.375 | 0.375 | - |
| Diethylene Glycol Monoethyl Ether | Solvent | - | 0.225 | 0.225 | - |
| Ascorbyl Tetraisopalmitate | Active ingredient | - | 0.15 | 0.15 | - |
| Aqua | Solvent | to 100 | to 100 | to 100 | to 100 |
| INCI | Function | Content [%] | |||
|---|---|---|---|---|---|
| T | T1 | T2 | T3 | ||
| Betaine | Active Ingredient | 1 | 1 | 1 | 1 |
| Aloe Barbadensis Leaf Juice | Active ingredient | 0.05 | 0.05 | 0.05 | 0.05 |
| Sodium Phytate | Chelating agent | 0.1 | 0.1 | 0.1 | 0.1 |
| Perfume | Parfum | 0.05 | 0.05 | 0.05 | 0.05 |
| Propylene Glycol | Solvent | 2 | 2 | 2 | 2 |
| Sodium PCA | Active ingredient | 1.5 | 1.5 | 1.5 | 1.5 |
| Potassium Sorbate; Sodium Benzoate | Preservative | 1 | 1 | 1 | 1 |
| Levan, Glucose, Fructose, Sucrose | Active ingredient | - | 0.08 | - | 0.08 |
| Sodium Surfactin | Surfactant | - | 0.375 | 0.375 | - |
| Diethylene Glycol Monoethyl Ether | Solvent | - | 0.225 | 0.225 | - |
| Ascorbyl Tetraisopalmitate | Active ingredient | - | 0.15 | 0.15 | - |
| Aqua | Solvent | to 100 | to 100 | to 100 | to 100 |
Publisher’s Note: MDPI stays neutral with regard to jurisdictional claims in published maps and institutional affiliations. |
© 2021 by the authors. Licensee MDPI, Basel, Switzerland. This article is an open access article distributed under the terms and conditions of the Creative Commons Attribution (CC BY) license (http://creativecommons.org/licenses/by/4.0/).
Share and Cite
Lewińska, A.; Domżał-Kędzia, M.; Kierul, K.; Bochynek, M.; Pannert, D.; Nowaczyk, P.; Łukaszewicz, M. Targeted Hybrid Nanocarriers as a System Enhancing the Skin Structure. Molecules 2021, 26, 1063. https://doi.org/10.3390/molecules26041063
Lewińska A, Domżał-Kędzia M, Kierul K, Bochynek M, Pannert D, Nowaczyk P, Łukaszewicz M. Targeted Hybrid Nanocarriers as a System Enhancing the Skin Structure. Molecules. 2021; 26(4):1063. https://doi.org/10.3390/molecules26041063
Chicago/Turabian StyleLewińska, Agnieszka, Marta Domżał-Kędzia, Kinga Kierul, Michał Bochynek, Dominika Pannert, Piotr Nowaczyk, and Marcin Łukaszewicz. 2021. "Targeted Hybrid Nanocarriers as a System Enhancing the Skin Structure" Molecules 26, no. 4: 1063. https://doi.org/10.3390/molecules26041063
APA StyleLewińska, A., Domżał-Kędzia, M., Kierul, K., Bochynek, M., Pannert, D., Nowaczyk, P., & Łukaszewicz, M. (2021). Targeted Hybrid Nanocarriers as a System Enhancing the Skin Structure. Molecules, 26(4), 1063. https://doi.org/10.3390/molecules26041063

