Solubility Data, Solubility Parameters and Thermodynamic Behavior of an Antiviral Drug Emtricitabine in Different Pure Solvents: Molecular Understanding of Solubility and Dissolution
Abstract
1. Introduction
2. Results and Discussion
2.1. Solid Phase Characterization of ECT
2.2. Solubility Data of ECT Using Experimental Approach and Comparison with Literature
2.3. Estimation of Solubility Parameters Using Computational Approaches
2.4. Ideal Solubilities and Activity Coefficients
2.5. Computational Approaches for Solubility Correlation
2.6. Thermodynamic Analysis
3. Materials and Methods
3.1. Materials
3.2. Analysis of ECT
3.3. Solid Phase Characterization of ECT
3.4. Solubility Measurement of ECT
3.5. Estimation of Solubility Parameters Using Computational Approaches
3.6. Ideal Solubilities and Activity Coefficients
3.7. Solubility Validation/Correlation Using Computational Approaches
3.8. Thermodynamic Analysis
3.9. Statistical Analysis
4. Conclusions
Supplementary Materials
Author Contributions
Funding
Institutional Review Board Statement
Informed Consent Statement
Data Availability Statement
Acknowledgments
Conflicts of Interest
Sample Availability
References
- Ploger, G.F.; Hofsass, M.A.; Dressman, J.B. Solubility determination of active pharmaceutical ingredients which have been recently added to the list of essential medicines in the context of the biopharmaceutics classification system-biowaiver. J. Pharm. Sci. 2018, 107, 1478–1488. [Google Scholar] [CrossRef] [PubMed]
- U.S. Department of Health and Human Services, Food and Drug Administration (FDA), Center for Evaluation and Research (CDER). Emtriva® (Emtricitabine) Capsules and Oral Solution. Guidance for Industry. Draft Guidance. Available online: https://www.accessdata.fda.gov/drugsatfda_docs/appletter/2011/021500s018,021896s015ltr.pdf (accessed on 15 February 2018).
- Nathan, B.; Bayley, J.; Waters, L.; Post, F.A. Cobicistat: A novel pharmacoenhancer for co-formulation with HIV protease and integrase inhibitors. Infect. Dis. Ther. 2013, 2, 111–122. [Google Scholar] [CrossRef] [PubMed]
- Siyawamwaya, M.; Toit, L.C.D.; Kumar, P.; Choonara, Y.E.; Kodiah, P.P.P.D.; Pillay, V. 3D printed, controlled release, tritherapeutic matrix tablet matrix for advanced anti-HIV-I drug delivery. Eur. J. Pharm. Biopharm. 2019, 138, 99–110. [Google Scholar] [CrossRef] [PubMed]
- Singh, G.; Pai, R.S. Pharmacokinetics and in vivo biodistribution of optimized PLGA nanoparticulate drug delivery system for controlled release of emtricitabine. Drug Deliv. 2014, 21, 627–635. [Google Scholar] [CrossRef]
- Srilatha, U.; Rama Krishna, M.; Vasavi Reddy, D.; Devireddy, S.R. Formulation and evaluation of emtricitabine and tinofovir disoproxil fumarate film coated tablets. Int. J. Res. Pharm. Chem. 2015, 5, 116–125. [Google Scholar]
- Clark, M.R.; Peet, M.M.; Davis, S.; Doncel, G.F.; Friend, D.R. Evaluation of rapidly disintegrating vaginal tablets of tinofovir, emtricitabine and their combination for HIV-1 prevention. Pharm. 2014, 6, 616–631. [Google Scholar]
- Manikandan, M.; Kannan, K.; Selvamuthukumar, S.; Manavalan, R. Formulation development and evaluation of emtricitabine and tinofovir disoproxil fumarate tablets. Int. J. Drug. Dev. Res. 2012, 4, 247–256. [Google Scholar]
- Forbes, C.J.; McCoy, C.F.; Murphy, D.J.; Woolfson, A.D.; Moore, J.P.; Evans, A.; Shattock, R.J.; Malcolm, R.K. Modified silicone elastomer vaginal gels for sustained release of antiretroviral HIV microbicides. J. Pharm. Sci. 2014, 103, 1422–1432. [Google Scholar] [CrossRef]
- Faria, M.J.; Machado, R.; Ribeiro, A.; Goncalves, H.; Elisabete, M.; Oliveira, C.D.R.; Viseu, T.; Neves, J.D.; Lucio, M. Rational development of liposomal hydrogels: A strategy for topical vaginal antiretroviral drug delivery in the context of HIV prevention. Pharmaceutics 2019, 11, 485. [Google Scholar] [CrossRef]
- Fathima, A.; Hari, B.N.V.; Devi, D.R. Development of microparticulate sustained release dosage form of emtricitabine: An anti-HIV drug. Asian J. Chem. 2014, 26, 2604–2610. [Google Scholar] [CrossRef]
- Ibrahim, I.M.; Bade, A.N.; Lin, Z.; Soni, D.; Wojtkiewicz, M.; Shetty, B.L.D.; Gautam, N.; McMillan, J.M.; Alnouti, Y.; Edagwa, B.J.; et al. Synthesis and characterization of a long-acting emtricitabine prodrug nanoformulation. Int. J. Nanomed. 2019, 14, 6231–6247. [Google Scholar] [CrossRef] [PubMed]
- Soni, D.; Bade, A.N.; Gautam, N.; Herskovitz, J.; Ibrahim, I.M.; Smith, N.; Wojtkiewicz, M.S.; Shetty, B.L.D.; Alnouti, Y.; McMillan, J.; et al. Synthesis of a long-acting nanoformulated emtricitabine ProTide. Biomater. 2019, 222, E119441. [Google Scholar] [CrossRef] [PubMed]
- Mandal, S.; Belshan, M.; Holec, A.; Zhou, Y.; Destache, C.J. An enhanced emtricitabine-loaded long-acting nanoformulation for prevention or treatment of HIV infection. Antimic. Agents Chemother. 2017, 61, E01475. [Google Scholar] [CrossRef] [PubMed]
- Mandal, S.; Kang, G.; Prathipati, P.K.; Fan, W.; Li, Q.; Destache, C.J. Long-acting parenteral combination antiretroviral loaded nano-drug delivery system to treat chronic HIV-1 infection: A humanized mouse model study. Antiviral Res. 2018, 156, 85–91. [Google Scholar] [CrossRef]
- Shakeel, F.; Haq, N.; Alsarra, I.A.; Alshehri, S. Solubility, Hansen solubility parameters and thermodynamic behavior of emtricitabine in various (polyethylene glycol-400 + water) mixtures: Computational modeling and thermodynamics. Molecules 2020, 25, 1559. [Google Scholar] [CrossRef]
- Anwer, M.K.; Mohammad, M.; Fatima, F.; Alshahrani, S.M.; Aldawsari, M.F.; Alalaiwe, A.; Al-Shdefat, R.; Shakeel, F. Solubility, solution thermodynamics and molecular interactions of osimeritinib in some pharmaceutically useful solvents. J. Mol. Liq. 2019, 284, 53–58. [Google Scholar] [CrossRef]
- Alanazi, A.; Alshehri, S.; Altamimi, M.; Shakeel, F. Solubility determination and three dimensional Hansen solubility parameters of gefitinib in different organic solvents: Experimental and computational approaches. J. Mol. Liq. 2020, 299, E112211. [Google Scholar] [CrossRef]
- Kalam, M.A.; Alshamsan, A.; Alkholief, M.; Alsarra, I.A.; Ali, R.; Haq, N.; Anwer, M.K.; Shakeel, F. Solubility measurement and various solubility parameters of glipizide in different neat solvents. ACS Omega 2020, 5, 1708–1716. [Google Scholar] [CrossRef]
- Shakeel, F.; Imran, M.; Haq, N.; Alshehri, S.; Anwer, M.K. Synthesis, characterization and solubility determination of 6-phenyl-pyridazin-3-(2H)-one in different pharmaceutical solvents. Molecules 2019, 24, 3404. [Google Scholar] [CrossRef]
- Moradi, M.; Rahimpour, E.; Hemmati, S.; Martinez, F.; Barjegar-Jalali, M.; Jouyban, A. Solubility of mesalazine in polyethylene glycol 400 + water mixtures at different temperatures. J. Mol. Liq. 2020, 314, E113546. [Google Scholar] [CrossRef]
- Soleymani, J.; Jouyban-Gharamaleki, V.; Kenndler, E.; Jouyban, A. Measurement and modeling of sodium chloride solubility in binary mixtures of water + polyethylene glycol 400 at various temperatures. J. Mol. Liq. 2020, 316, E113777. [Google Scholar] [CrossRef]
- Alshehri, S.; Imam, S.S.; Altamimi, M.A.; Hussain, A.; Shakeel, F.; Elzayat, E.; Mohsin, K.; Ibrahim, M.; Alanazi, F. Enhanced dissolution of luteolin by solid dispersion prepared by different methods: Physicochemical characterization and antioxidant activity. ACS Omega 2020, 5, 6461–6471. [Google Scholar] [CrossRef] [PubMed]
- Wohlfarth, C. Static Dielectric Constants of Pure Liquids and Binary Liquid Mixtures: Supplement to IV/6; Springe: New York, NY, USA, 2008; Volume 17. [Google Scholar]
- Dannhauser, W.; Cole, R.H. Dielectric properties of liquid butyl alcohols. J. Phys. Chem. 1955, 23, 1762–1766. [Google Scholar] [CrossRef]
- Shirke, R.M.; Chaudhari, A.; More, N.M.; Patil, P.B. Temperature dependent dielectric relaxation study of ethyl acetate-alcohol mixtures using time domain technique. J. Mol. Liq. 2001, 94, 27–36. [Google Scholar] [CrossRef]
- Romani, D.; Brandan, S.A. Investigating the structural and vibrational properties of the nucleoside reverse transcriptase inhibitor emtricitabine. Int. J. Sci. Res. Method 2017, 8, 236–277. [Google Scholar]
- Van Krevelen, D.W.; te Nijenhuis, K. Properties of Polymers: Their Correlation with Chemical Structure; Their Numerical Estimation and Prediction from Additive Group Contributions; Elsevier: Amsterdam, The Netherland; Tokyo, Japan, 2009; p. 189. [Google Scholar]
- Güner, A. The algorithmic calculations of solubility parameter for the determination of interactions in dextran/certain polar solvent systems. Eur. Polym. J. 2004, 40, 1587–1594. [Google Scholar] [CrossRef]
- Mohammad, M.A.; Alhalaweh, A.; Velaga, S.P. Hansen solubility parameter as a tool to predict cocrystal formation. Int. J. Pharm. 2011, 407, 63–71. [Google Scholar] [CrossRef]
- Greenhalgh, D.J.; Williams, A.C.; Timmins, P.; York, P. Solubility parameters as predictors of miscibility in solid dispersions. J. Pharm. Sci. 1999, 88, 1182–1190. [Google Scholar] [CrossRef]
- Apelblat, A.; Manzurola, E. Solubilities of o-acetylsalicylic, 4-aminosalicylic, 3,5-dinitrosalicylic and p-toluic acid and magnesium-DL-aspartate in water from T = (278–348) K. J. Chem. Thermodyn. 1999, 31, 85–91. [Google Scholar] [CrossRef]
- Manzurola, E.; Apelblat, A. Solubilities of L-glutamic acid, 3-nitrobenzoic acid, acetylsalicylic, p-toluic acid, calcium-L-lactate, calcium gluconate, magnesium-DL-aspartate, and magnesium-L-lactate in water. J. Chem. Thermodyn. 2002, 34, 1127–1136. [Google Scholar] [CrossRef]
- Ksiazczak, A.; Moorthi, K.; Nagata, I. Solid_solid transition and solubility of even n-alkanes. Fluid Phase Equilib. 1994, 95, 15–29. [Google Scholar] [CrossRef]
- Tong, Y.; Wang, Z.; Yang, E.; Pan, B.; Jiang, J.; Dang, P.; Wei, H. Determination and correlation of solubility and solution thermodynamics of ethenzamide in different pure solvents. Fluid Phase Equilib. 2016, 427, 549–556. [Google Scholar] [CrossRef]
- Shakeel, F.; Alshehri, S.; Imran, M.; Haq, N.; Alanazi, A.; Anwer, M.K. Experimental and computational approaches for solubility measurement of pyridazinone derivative in binary (DMSO + water) systems. Molecules 2020, 25, 171. [Google Scholar] [CrossRef]
- Kalam, M.A.; Alshehri, S.; Alshamsan, A.; Alkholief, M.; Ali, R.; Shakeel, F. Solubility measurement, Hansen solubility parameters and solution thermodynamics of gemfibrozil in different pharmaceutically used pure solvents. Drug Dev. Ind. Pharm. 2019, 45, 1258–1264. [Google Scholar] [CrossRef] [PubMed]
- Shakeel, F.; Haq, N.; Alshehri, S.; Ibrahim, M.A.; Elzayat, E.M.; Altamimi, M.A.; Mohsin, K.; Alanazi, F.K.; Alsarra, I.A. Solubility, thermodynamic properties and solute-solvent molecular interactions of luteolin in various pure solvents. J. Mol. Liq. 2018, 255, 43–50. [Google Scholar] [CrossRef]
- Higuchi, T.; Connors, K.A. Phase-solubility techniques. Adv. Anal. Chem. Instr. 1965, 4, 117–122. [Google Scholar]
- Kitak, T.; Dumicic, A.; Planinsek, O.; Sibanc, R.; Srcic, S. Determination of solubility parameters of ibuprofen and ibuprofen lysinate. Molecules 2015, 20, 21549–21568. [Google Scholar] [CrossRef]
- Kato, Y.; Osawa, T.; Yoshihara, M.; Fujii, H.; Tsutsumi, S.; Yamamoto, H. Evaluation of the antifoaming effect using Hansen, Hansen solubility parameters. ACS Omega 2020, 5, 5684–5690. [Google Scholar] [CrossRef]
- Altamimi, M.; Haq, N.; Alshehri, S.; Qamar, W.; Shakeel, F. Enhanced skin permeation of hydrocortisone using nanoemulsion as potential vehicle. ChemistrySelect 2019, 4, 10084–10091. [Google Scholar] [CrossRef]
- Ruidiaz, M.A.; Delgado, D.R.; Martínez, F.; Marcus, Y. Solubility and preferential solvation of indomethacin in 1,4-dioxane + water solvent mixtures. Fluid Phase Equilib. 2010, 299, 259–265. [Google Scholar] [CrossRef]
- Hildebrand, J.H.; Prausnitz, J.M.; Scott, R.L. Regular and Related Solutions; Van Nostrand Reinhold: New York, NY, USA, 1970. [Google Scholar]
- Manrique, Y.J.; Pacheco, D.P.; Martínez, F. Thermodynamics of mixing and solvation of ibuprofen and naproxen in propylene glycol + water cosolvent mixtures. J. Sol. Chem. 2008, 37, 165–181. [Google Scholar] [CrossRef]
- Xu, H.; Kang, L.; Qin, J.; Lin, J.; Xue, M.; Meng, Z. Solubility of azilsartan in methanol, ethanol, acetonitrile, n-propanol, isopropanol, tetrahydrofuran, and binary solvent mixtures between 293. 15 and 333.15 K. ACS Omega 2020, 5, 6141–6145. [Google Scholar] [CrossRef] [PubMed]
- Holguín, A.R.; Rodríguez, G.A.; Cristancho, D.M.; Delgado, D.R.; Martínez, F. Solution thermodynamics of indomethacin in propylene glycol + water mixtures. Fluid Phase Equilib. 2012, 314, 134–139. [Google Scholar] [CrossRef]
- Krug, R.R.; Hunter, W.G.; Grieger, R.S. Enthalpy-entropy compensation. 2. Separation of the chemical from the statistic effect. J. Phys. Chem. 1976, 80, 2341–2351. [Google Scholar] [CrossRef]


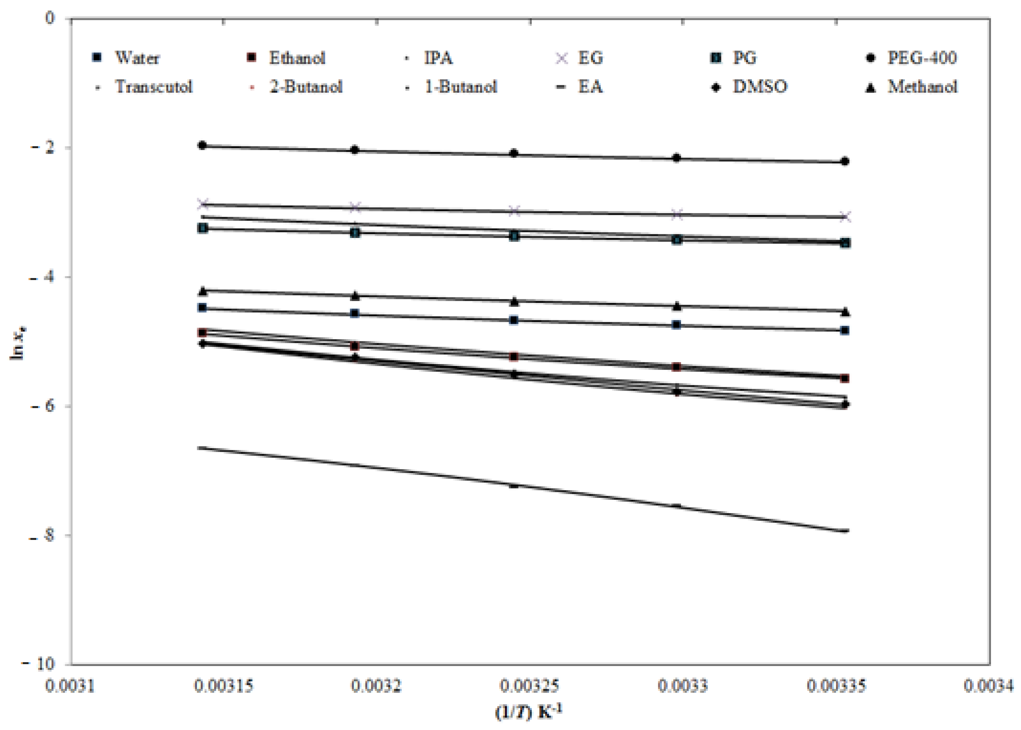
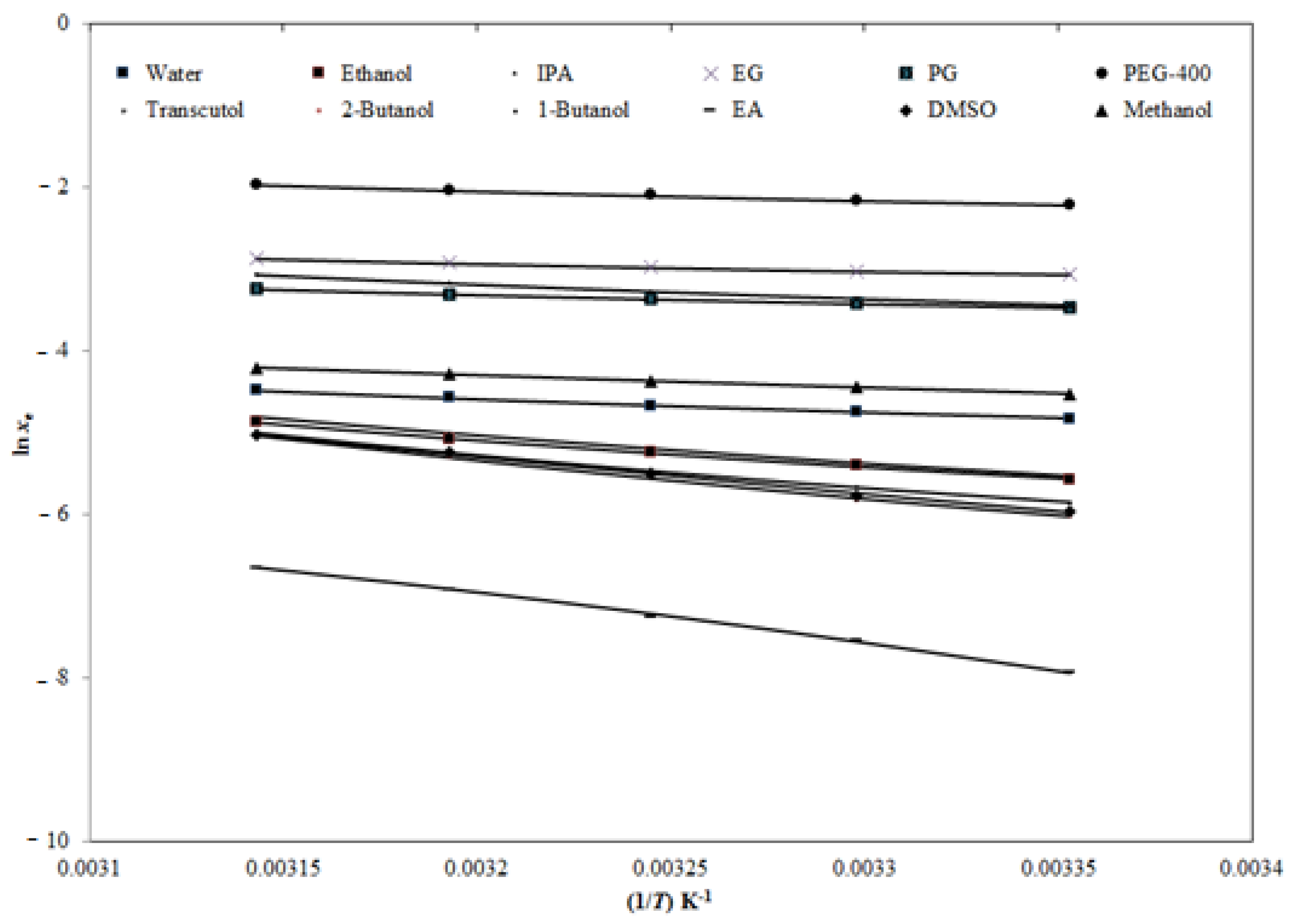
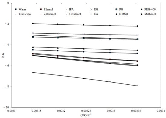
indicates the experimental mole fraction solubilities of ECT in (A) water and (B) PEG-400 and the symbol
indicates the literature solubilities of ECT in (A) water and (B) PEG-400 taken from reference [16].
indicates the experimental mole fraction solubilities of ECT in (A) water and (B) PEG-400 and the symbol
indicates the literature solubilities of ECT in (A) water and (B) PEG-400 taken from reference [16].

| PS | xe | ||||
|---|---|---|---|---|---|
| T = 298.2 K | T = 303.2 K | T = 308.2 K | T = 313.2 K | T = 318.2 K | |
| EA | 3.63 × 10−4 | 5.34 × 10−4 | 7.12 × 10−4 | 9.96 × 10−4 | 1.28 × 10−3 |
| 2-Butanol | 2.43 × 10−3 | 2.98 × 10−3 | 3.94 × 10−3 | 5.07 × 10−3 | 6.55 × 10−3 |
| DMSO | 2.56 × 10-3 | 3.15 × 10−3 | 4.09 × 10−3 | 5.34 × 10−3 | 6.59 × 10−3 |
| 1-Butanol | 2.89 × 10−3 | 3.46 × 10−3 | 4.32 × 10−3 | 5.36 × 10−3 | 6.84 × 10−3 |
| Ethanol | 3.82 × 10−3 | 4.54 × 10−3 | 5.31 × 10−3 | 6.29 × 10−3 | 7.76 × 10−3 |
| IPA | 3.95 × 10−3 | 4.64 × 10−3 | 5.58 × 10−3 | 6.76 × 10−3 | 8.19 × 10−3 |
| Water | 8.02 × 10−3 | 8.66 × 10−3 | 9.45 × 10−3 | 1.03 × 10−2 | 1.13 × 10−2 |
| Methanol | 1.08 × 10−2 | 1.17 × 10−2 | 1.26 × 10−2 | 1.38 × 10−2 | 1.49 × 10−2 |
| PG | 3.18 × 10−2 | 3.27 × 10−2 | 3.47 × 10−2 | 3.67 × 10−2 | 3.90 × 10−2 |
| THP | 3.20 × 10−2 | 3.45 × 10−2 | 3.81 × 10−2 | 4.10 × 10−2 | 4.65 × 10−2 |
| EG | 4.66 × 10−2 | 4.87 × 10−2 | 5.12 × 10−2 | 5.39 × 10−2 | 5.72 × 10−2 |
| PEG-400 | 1.09 × 10−1 | 1.15 × 10−1 | 1.23 × 10−1 | 1.32 × 10−1 | 1.41 × 10−1 |
| xidl | 3.74 × 10−2 | 4.35 × 10−2 | 5.05 × 10−2 | 5.85 × 10−2 | 6.76 × 10−2 |
| PS | Kd | Reference |
|---|---|---|
| EA | 6.00 | [24] |
| 2-Butanol | 16.60 | [25] |
| DMSO | 47.00 | [24] |
| 1-Butanol | 17.64 | [25] |
| Ethanol | 25.00 | [24] |
| IPA | 17.90 | [24] |
| Water | 79.00 | [24] |
| Methanol | 33.10 | [26] |
| PG | 32.00 | [24] |
| THP | 12.60 | [24] |
| EG | 37.00 | [24] |
| PEG-400 | 14.10 | [24] |
| Components | Hansen Solubility Parameters | Ra*/MPa1/2 | ∆/MPa1/2 | ∆δ*/MPa1/2 | |||
|---|---|---|---|---|---|---|---|
| δd/MPa1/2 | δp/MPa1/2 | δh/MPa1/2 | δ/MPa1/2 | ||||
| ECT | 18.20 | 12.90 | 13.00 | 25.90 | - | - | - |
| Water | 15.50 | 16.00 | 42.30 | 47.80 | 29.95 | 29.58 | 21.90 |
| EG | 18.00 | 11.10 | 23.40 | 31.60 | 10.56 | 10.55 | 5.70 |
| PG | 17.40 | 9.10 | 21.70 | 29.20 | 9.62 | 9.52 | 3.30 |
| Ethanol | 16.20 | 8.40 | 17.60 | 25.40 | 7.57 | 6.73 | 0.50 |
| IPA | 15.80 | 6.60 | 14.30 | 22.30 | 8.42 | 7.32 | 3.60 |
| 1-Butanol | 15.90 | 6.30 | 15.20 | 22.90 | 8.34 | 7.32 | 3.00 |
| 2-Butanol | 15.80 | 5.40 | 12.40 | 20.80 | 8.92 | 7.89 | 3.10 |
| PEG-400 | 14.60 | 7.50 | 9.40 | 18.90 | 9.69 | 7.42 | 7.00 |
| THP | 16.30 | 7.20 | 11.90 | 21.40 | 6.93 | 6.10 | 4.50 |
| EA | 15.70 | 5.60 | 7.00 | 18.10 | 10.69 | 9.77 | 7.80 |
| Methanol | 17.40 | 10.60 | 22.40 | 30.30 | 9.80 | 9.71 | 4.40 |
| DMSO | 17.40 | 14.20 | 7.30 | 23.60 | 6.06 | 5.90 | 2.30 |
| PS | γi | ||||
|---|---|---|---|---|---|
| T = 298.2 K | T = 303.2 K | T = 308.2 K | T = 313.2 K | T = 318.2 K | |
| EA | 103.18 | 81.56 | 71.00 | 58.73 | 52.78 |
| 2-Butanol | 15.40 | 14.58 | 12.83 | 11.54 | 10.32 |
| DMSO | 14.58 | 13.83 | 12.36 | 10.95 | 10.25 |
| 1-Butanol | 12.95 | 12.57 | 11.68 | 10.90 | 9.87 |
| Ethanol | 9.80 | 9.59 | 9.50 | 9.30 | 8.71 |
| IPA | 9.46 | 9.38 | 9.05 | 8.66 | 8.25 |
| Water | 4.66 | 5.02 | 5.34 | 5.64 | 5.94 |
| Methanol | 3.44 | 3.69 | 3.99 | 4.24 | 4.52 |
| PG | 1.20 | 1.33 | 1.45 | 1.59 | 1.73 |
| THP | 1.16 | 1.26 | 1.32 | 1.39 | 1.45 |
| EG | 0.80 | 0.89 | 0.98 | 1.08 | 1.18 |
| PEG-400 | 0.34 | 0.37 | 0.40 | 0.44 | 0.47 |
| PS | A | B | C | R2 | RMSD (%) | Overall RMSD (%) |
|---|---|---|---|---|---|---|
| EA | 756.93 | −40,177.60 | −110.59 | 0.9993 | 1.96 | |
| 2-Butanol | −565.49 | 21,632.90 | 85.45 | 0.9991 | 1.42 | |
| DMSO | −269.00 | 8184.21 | 41.34 | 0.9977 | 1.62 | |
| 1-Butanol | −704.53 | 28,585.44 | 105.80 | 0.9999 | 1.16 | |
| Ethanol | −509.45 | 20,319.03 | 76.47 | 0.9989 | 1.15 | |
| IPA | −464.21 | 18,103.22 | 69.84 | 0.9998 | 0.66 | 0.87 |
| Water | −232.41 | 9030.47 | 34.62 | 0.9998 | 0.46 | |
| Methanol | −95.77 | 2908.17 | 14.30 | 0.9994 | 0.24 | |
| PG | −136.47 | 5194.27 | 20.28 | 0.9997 | 0.21 | |
| THP | −303.07 | 12,231.01 | 45.38 | 0.9995 | 0.62 | |
| EG | −193.44 | 7911.56 | 28.75 | 0.9999 | 0.51 | |
| PEG-400 | −191.99 | 7671.17 | 28.79 | 0.9998 | 0.54 |
| PS | a | b | R2 | RMSD (%) | Overall RMSD (%) |
|---|---|---|---|---|---|
| EA | 12.14 | −5976.00 | 0.9972 | 2.39 | |
| 2-Butanol | 9.92 | −4762.30 | 0.9970 | 1.98 | |
| DMSO | 9.36 | −4578.30 | 0.9971 | 1.97 | |
| 1-Butanol | 7.87 | −4099.30 | 0.9955 | 2.08 | |
| Ethanol | 5.50 | −3305.90 | 0.9953 | 1.81 | |
| IPA | 6.09 | −3471.60 | 0.9971 | 1.40 | 1.42 |
| Water | 0.75 | −1665.80 | 0.9969 | 0.71 | |
| Methanol | 0.52 | −1507.20 | 0.9987 | 0.98 | |
| PG | 0.11 | −1071.50 | 0.9974 | 1.06 | |
| THP | 2.55 | −1790.60 | 0.9952 | 0.93 | |
| EG | 0.18 | −972.49 | 0.9942 | 1.07 | |
| PEG-400 | 1.88 | −1223.40 | 0.9962 | 0.67 |
| PS | λ | h | RMSD (%) | Overall RMSD (%) |
|---|---|---|---|---|
| EA | 0.82 | 7255.94 | 2.84 | |
| 2-Butanol | 0.20 | 22884.67 | 2.65 | |
| DMSO | 0.33 | 13682.90 | 2.24 | |
| 1-Butanol | 0.70 | 5794.06 | 1.95 | |
| Ethanol | 1.22 | 2708.86 | 1.86 | |
| IPA | 1.02 | 3392.22 | 1.70 | 1.65 |
| Water | 2.14 | 777.68 | 1.58 | |
| Methanol | 1.99 | 755.86 | 1.28 | |
| PG | 1.38 | 773.75 | 1.15 | |
| THP | 0.63 | 2823.84 | 0.98 | |
| EG | 1.08 | 897.04 | 0.86 | |
| PEG-400 | 0.02 | 50767.60 | 0.79 |
| PS | ΔsolH0/kJ mol−1 | ΔsolG0/kJ mol−1 | ΔsolS0/J mol−1 K−1 | R2 |
|---|---|---|---|---|
| EA | 49.75 | 18.57 | 101.20 | 0.9971 |
| 2-Butanol | 39.65 | 14.17 | 82.70 | 0.9971 |
| DMSO | 38.11 | 14.07 | 78.06 | 0.9972 |
| 1-Butanol | 34.13 | 13.91 | 65.64 | 0.9957 |
| Ethanol | 27.52 | 13.37 | 45.92 | 0.9954 |
| IPA | 28.90 | 13.25 | 50.78 | 0.9972 |
| Water | 13.86 | 11.92 | 6.32 | 0.9970 |
| Methanol | 12.54 | 11.17 | 4.45 | 0.9988 |
| PG | 8.92 | 8.60 | 1.03 | 0.9975 |
| THP | 14.90 | 8.35 | 21.28 | 0.9954 |
| EG | 8.09 | 7.60 | 1.61 | 0.9944 |
| PEG-400 | 10.18 | 5.34 | 15.71 | 0.9963 |
Publisher’s Note: MDPI stays neutral with regard to jurisdictional claims in published maps and institutional affiliations. |
© 2021 by the authors. Licensee MDPI, Basel, Switzerland. This article is an open access article distributed under the terms and conditions of the Creative Commons Attribution (CC BY) license (http://creativecommons.org/licenses/by/4.0/).
Share and Cite
Shakeel, F.; Haq, N.; Alsarra, I.; Alshehri, S. Solubility Data, Solubility Parameters and Thermodynamic Behavior of an Antiviral Drug Emtricitabine in Different Pure Solvents: Molecular Understanding of Solubility and Dissolution. Molecules 2021, 26, 746. https://doi.org/10.3390/molecules26030746
Shakeel F, Haq N, Alsarra I, Alshehri S. Solubility Data, Solubility Parameters and Thermodynamic Behavior of an Antiviral Drug Emtricitabine in Different Pure Solvents: Molecular Understanding of Solubility and Dissolution. Molecules. 2021; 26(3):746. https://doi.org/10.3390/molecules26030746
Chicago/Turabian StyleShakeel, Faiyaz, Nazrul Haq, Ibrahim Alsarra, and Sultan Alshehri. 2021. "Solubility Data, Solubility Parameters and Thermodynamic Behavior of an Antiviral Drug Emtricitabine in Different Pure Solvents: Molecular Understanding of Solubility and Dissolution" Molecules 26, no. 3: 746. https://doi.org/10.3390/molecules26030746
APA StyleShakeel, F., Haq, N., Alsarra, I., & Alshehri, S. (2021). Solubility Data, Solubility Parameters and Thermodynamic Behavior of an Antiviral Drug Emtricitabine in Different Pure Solvents: Molecular Understanding of Solubility and Dissolution. Molecules, 26(3), 746. https://doi.org/10.3390/molecules26030746

