Evaluation of Poorly Soluble Drugs’ Dissolution Rate by Laser Scattering in Different Water Isotopologues
Abstract
1. Introduction
1.1. Water Isotopologues
Selection of Solvent—Water with Lower Deuterium Content than Natural Water (Deuterium-Depleted Water)
2. Results
2.1. Low-Angle Static and Dynamic Light Scattering in the Analysis of Dispersion Properties of Water Isotopologues
2.2. Selection of the Investigating Method for Poorly Soluble Drugs’ Dissolution
2.3. Validation of the Proposed Method
2.3.1. Repeatability
2.3.2. Intermediate Precision (Within-Lab Reproducibility)
2.3.3. Linearity and Range
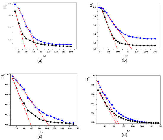
2.4. Kinetic Solvent Isotope Effects in the Dissolution of Poorly Soluble Drugs
3. Discussion
4. Materials and Methods
4.1. Water Samples
4.2. Drug Samples
4.3. Granulometric Analysis
4.4. Dynamic Light Scattering Method
4.5. Research Method for Evaluation of Poorly Soluble Drugs’ Dissolution Rate by Laser Light Scattering
4.6. Statistical Data Processing
5. Conclusions
Author Contributions
Funding
Data Availability Statement
Acknowledgments
Conflicts of Interest
Sample Availability
References
- Ma, D.; Hettiarachchi, G.; Nguyen, D. Acyclic cucurbit[n]uril molecular containers enhance the solubility and bioactivity of poorly soluble pharmaceuticals. Nat. Chem. 2012, 4, 503–510. [Google Scholar] [CrossRef] [PubMed]
- Sareen, S. Improvement in solubility of poor water-soluble drugs by solid dispersion. Int. J. Pharm. Investig. 2012, 2, 12–17. [Google Scholar] [CrossRef] [PubMed]
- Savjani, K.T.; Gajjar, A.K.; Savjani, J.K. Drug solubility: Importance and enhancement techniques. ISRN Pharm. 2012, 2012, 195727. [Google Scholar] [CrossRef] [PubMed]
- Qin, L.; Lu, T.; Qin, Y.; He, Y.; Cui, N.; Du, A.; Sun, J. In Vivo Effect of Resveratrol-Loaded Solid Lipid Nanoparticles to Relieve Physical Fatigue for Sports Nutrition Supplements. Molecules 2020, 25, 5302. [Google Scholar] [CrossRef] [PubMed]
- Gardner, C.; Walsh, C.; Almarsson, Ö. Drugs as materials: Valuing physical form in drug discovery. Nat. Rev. Drug Discov. 2004, 3, 926–934. [Google Scholar] [CrossRef]
- Hobson, J.J.; Al-khouja, A.; Curley, P. Semi-solid prodrug nanoparticles for long-acting delivery of water-soluble antiretroviral drugs within combination HIV therapies. Nat. Commun. 2019, 10, 1413. [Google Scholar] [CrossRef]
- Boyd, B.J.; Bergström, C.A.; Vinarov, Z.; Kuentz, M.; Brouwers, J.; Augustijns, P.; Brandl, M.; Bernkop-Schnürch, A.; Shrestha, N.; Préat, V.; et al. Successful oral delivery of poorly water-soluble drugs both depends on the intraluminal behavior of drugs and of appropriate advanced drug delivery systems. Eur. J. Pharm. Sci. 2019, 137, 1–27. [Google Scholar] [CrossRef]
- Bergström, C.A.S.; Larsson, P. Computational prediction of drug solubility in water-based systems: Qualitative and quantitative approaches used in the current drug discovery and development setting. Int. J. Pharm. 2018, 540, 185–193. [Google Scholar] [CrossRef]
- Ming, W. Determination of the Hansen solubility parameters with a novel optimization method. J. Appl. Polym. Sci. 2015, 133, 43328. [Google Scholar]
- Shinichi, T.; Yuki, K.; Kensuke, N.; Hideki, Y. Functional composite material design using Hansen solubility parameters. Results Mater. 2019, 4, 100046. [Google Scholar]
- Shultz, M.J.; Vu, T.H.; Meyer, B.; Bisson, P. Water: A responsive small molecule. Acc. Chem. Res. 2012, 45, 15–22. [Google Scholar] [CrossRef] [PubMed]
- Gun’ko, V.M.; Savina, I.N.; Mikhalovsky, S.V. Properties of Water Bound in Hydrogels. Gels 2017, 3, 37. [Google Scholar] [CrossRef]
- Bonne, J.; Behrens, M.; Meyer, H. resolving the controls of water vapour isotopes in the Atlantic sector. Nat. Commun. 2019, 10, 1632. [Google Scholar] [CrossRef] [PubMed]
- Goncharuk, V.V.; Pshinko, G.N.; Rudenko, A.V. Genetically Safe Drinking Water. Requirements and Methods of Its Quality Control. J. Water Chem. Technol. 2018, 40, 16–20. [Google Scholar] [CrossRef]
- Robert, F.; Merlivat, L.; Javoy, M. Deuterium concentration in the early Solar System: Hydrogen and oxygen isotope study. Nature 1979, 282, 785–789. [Google Scholar] [CrossRef]
- Maloney, A.; Herskowitz, L.; Koch, S. Effect of 2-H and 18-O water isotopes in kinesin-1 gliding assay. Nat. Preced. 2012, 2, 284. [Google Scholar] [CrossRef]
- Goncharuk, V.V.; Lapshin, V.B.; Burdeinaya, T.N.; Pleteneva, T.V.; Chernopyatko, A.S.; Atamanenko, I.D.; Ul’yantsev, A.S.; Uspenskaya, E.V.; Samsoni-Todorov, A.O.; Taranov, V.V.; et al. Physicochemical Properties and Biological Activity of the Water Depleted of Heavy Isotopes. J. Water Chem. 2011, 33, 8–13. [Google Scholar] [CrossRef]
- Schott, G.; Schott, R. Quantitative analysis for the isotopes of hydrogen-H2, HD, HT, D2, DT, and T2-by gas chromatography. Anal. Chem. 1970, 42, 7–11. [Google Scholar]
- Kurdyumov, G.V.; Neimen, M.B.; Frank, G.M. The use of radioisotopes in the U.S.S.R. Appl. Radiat. Isot. 1959, 5, 1–14. [Google Scholar] [CrossRef]
- Syroeshkin, A.V.; Pleteneva, T.V.; Uspenskaya, E.V.; Zlatskiy, I.A.; Antipova, N.A.; Grebennikova, T.V.; Levitskaya, O.V. D/H control of chemical kinetics in water solutions under low deuterium concentrations. Chem. Eng. J. 2018, 9, 24–32. [Google Scholar] [CrossRef]
- Goncharuk, V.V.; Pleteneva, T.V.; Grebennikova, T.V.; Syroeshkin, A.V.; Uspenskaya, E.V.; Antipova, N.V.; Kovalenko, V.F.; Saprykina, M.N.; Skil’skaya, M.D.; Zlatskiy, I.A. Determination of Biological Activity of Water Having a Different Isotope Ratio of Protium and Deuterium. J. Water Chem. Technol. 2018, 40, 27–34. [Google Scholar] [CrossRef]
- Syroeshkin, A.V.; Pleteneva, T.V.; Uspenskaya, E.V.; Levitskaya, O.V.; Tribot-Laspiere, M.A.; Zlatsky, I.A.; Khodorovich, N.A.; Nikifirova, M.V.; Zaytseva, S.A. Polarimetric research of pharmaceutical substances in aqueous solutions with different water isotopologues ratio. Int. J. Appl. Pharm. 2018, 10, 243–248. [Google Scholar] [CrossRef]
- Bunkin, N.F.; Shkirin, A.V.; Kozlov, V.A.; Ninham, B.W.; Uspenskaya, E.V.; Gudkov, S.V. Near-surface structure of Nafion in deuterated water. J. Chem. Phys. 2018, 149, 164901. [Google Scholar] [CrossRef]
- Pasquini, C.; Zaharieva, I.; González-Flores, D.; Chernev, P.; Mohammadi, M.R.; Rodney, G.L.; Smith, D.L.; Dau, H. H/D Isotope Effects Reveal Factors Controlling Catalytic Activity in Co-Based Oxides for Water Oxidation. J. Am. Chem. Soc. 2019, 141, 2938–2948. [Google Scholar] [CrossRef] [PubMed]
- Alimarin, I.P.; Bilimovitch, G.N. The isotope dilution method and its application to analysis of inorganic substances. Int. J. Appl. Radiat. Isot. 1960, 7, 169–181. [Google Scholar] [CrossRef]
- Andrienko, O.S.; Egorov, N.B.; Zherin, I.I. Variation in magnesium isotopic composition during zone recrystallization of MgCl2·6H2O. Bull. Lebedev Phys. Inst. 2007, 34, 352–356. [Google Scholar] [CrossRef]
- Swartout, J.A.; Dole, M. The Protium--Deuterium Ratio and the Atomic Weight of Hydrogen. J. Am. Chem. Soc. 1939, 61, 2025–2029. [Google Scholar] [CrossRef]
- Syroeshkin, A.V.; Elizarova, T.E.; Pleteneva, T.V.; Uspenskaya, E.V.; Levitskaya, O.V.; Zlatskiy, I.A.; Maksimova, T.V. The influence of deuterium on the properties of pharmaceutical substances (Review). Drug Dev. Regist. 2020, 9, 24–32. [Google Scholar] [CrossRef]
- Thompson, K.M.; Gao, Y.; Marshall, P.; Wang, H.; Zhou, L.; Li, Y.; Guo, H. Experimental and theoretical studies of the reactions of ground-state sulfur atoms with hydrogen and deuterium. J. Chem. Phys. 2017, 147, 134302. [Google Scholar] [CrossRef]
- Gannon, K.L.; Blitz, M.A.; Pilling, M.J.; Seakins, P.W.; Klippenstein, S.J.; Harding, L.B. Kinetics and product branching ratios of the reaction of (1)CH2 with H2 and D2. J. Phys. Chem. A 2008, 11, 29575–29583. [Google Scholar]
- Syroeshkin, A.V.; Uspenskaya, E.V.; Pleteneva, T.V.; Morozova, M.A.; Zlatskiy, I.A.; Koldina, A.M.; Nikiforova, M.V. Mechanical Transformation of Compounds Leading to Physical, Chemical, and Biological Changes in Pharmaceutical Substances. Sci. World J. 2018, 2018, 1–8. [Google Scholar] [CrossRef] [PubMed]
- Halenova, T.; Zlatskiy, I.; Syroeshkin, A.; Maximova, T.; Pleteneva, T. Deuterium-Depleted Water as Adjuvant Therapeutic Agent for Treatment of Diet-Induced Obesity in Rats. Molecules 2020, 25, 23. [Google Scholar] [CrossRef] [PubMed]
- Habash, J.; Raftery, J.; Nuttall, R.; Price, H.J.; Wilkinson, C.; Kalb, A.J.; Helliwell, J.R. Direct determination of the positions of the deuterium atoms of the bound water in -concanavalin A by neutron Laue crystallography. Acta Crystallogr. D Biol. Crystallogr. 2000, 56, 541–550. [Google Scholar] [CrossRef]
- Zrelov, O.Y.; Syroeshkin, A.V.; Uspenskaya, E.V.; Levitskaya, O.V. Effect of water isotopic composition on galactose mutarotation kinetics. Pharm. Chem. J. 2015, 49, 413–416. [Google Scholar] [CrossRef]
- Makarova, M.P.; Syroeshkin, A.V.; Maksimova, T.V.; Matveeva, I.S.; Pleteneva, T.V. Features of the rapid determination of trace elements in medicinal and unofficial plants. Drug Dev. Regist. 2019, 8, 93–97. [Google Scholar] [CrossRef][Green Version]
- Somlyai, G.; Collins, T.Q.; Meuillet, E.J.; Hitendra, P.; D’Agostino, D.P.; Boros, L.G. Structural homologies between phenformin, lipitor and gleevec aim the same metabolic oncotarget in leukemia and melanoma. Oncotarget 2017, 8, 50187–50192. [Google Scholar] [CrossRef][Green Version]
- Krumbiege, P. Large deuterium isotope effects and their use: A historical review. Isot. Environ. Health Stud. 2011, 47, 1–17. [Google Scholar] [CrossRef]
- Yacyshyn, M.B. Deuterium Isotope Effects for Inorganic Oxyacids at Elevated Temperatures Using Raman Spectroscopy; The University of Guelph: Guelph, ON, Canada, 2013. [Google Scholar]
- Nambi, I.M.; Powers, S.E. NAPL dissolution in heterogeneous systems: An experimental investigation in a simple heterogeneous system. J. Contam. Hydrol. 2000, 44, 161–184. [Google Scholar] [CrossRef]
- Forryan, C.L.; Oleksiy, V.K.; Colin, M.B.; Richard, G. Heterogeneous Kinetics of the Dissolution of an Inorganic Salt, Potassium Carbonate, in an Organic Solvent, Dimethylformamide Compton. J. Phys. Chem. B 2005, 109, 8263–8269. [Google Scholar] [CrossRef]
- Tarif, E.; Mukherjee, K.; Barman, A. Are water-xylitol mixtures heterogeneous? An investigation employing composition and temperature dependent dielectric relaxation and time-resolved fluorescence measurements. J. Chem. Sci. 2019, 131, 43. [Google Scholar] [CrossRef]
- Malakhova, B.I.; Azarova, G.Y.; Bratskaya, S.B. Extended Rate Constants Distribution (RCD) Model for Sorption in Heterogeneous Systems: 2. Importance of Diffusion Limitations for Sorption Kinetics on Cryogels in Batch. Gels 2020, 6, 15. [Google Scholar] [CrossRef] [PubMed]
- Albery, W.J.; Bartlett, P.N.; Wilde, C.P.; James, R.A. General model for dispersed kinetics in heterogeneous systems. J. Am. Chem. Soc. 1985, 107, 54–1858. [Google Scholar] [CrossRef]
- Gonzatti, G.K.; Netz, P.A.; Fiel, L.A.; Pohlmann, A.R. Colloidal Dispersion Stability: Kinetic Modeling of Agglomeration and aggregation. J. Braz. Chem. Soc. 2015, 26, 373–380. [Google Scholar] [CrossRef]
- Andrews, S.; Nover, D.; Schladow, S.G. Using laser diffraction data to obtain accurate particle size distributions: The role of particle composition. Limnol. Oceanogr. Methods 2010, 8, 507–526. [Google Scholar] [CrossRef]
- Henry, N.C. Diffraction before destruction. B Biol. Sci. 2014, 17, 1–13. [Google Scholar]
- Uspenskaya, E.V.; Pleteneva, T.V.; Syroeshkin, A.V.; Kazimova, I.V.; Elizarova, T.E.; Odnovorov, A.I. Role of stable hydrogen isotope variations in water for drug dissolution managing. Curr. Issues Pharm. Medical Sci. 2020, 33, 94–101. [Google Scholar] [CrossRef]
- Chauhan, A.; Harti Mittu, B.; Chauhan, P. Analytical Method Development and Validation: A Concise Review. JAnal. Bioanal. Tech. 2015, 6, 233. [Google Scholar]
- Marson, B.M.; Concentino, V.J.; Allan, M.F.; Mariana, M.V.; Raquel, O.; Pontarolo, R. Validation of analytical methods in a pharmaceutical quality system: An overview focused on HPLS methods. Quím. Nova 2020, 43, 1190–1203. [Google Scholar] [CrossRef]
- Kaiser, M.; Müller-Ehl, L.; Passon, M.; Schieber, A. Development and Validation of Methods for the Determination of Anthocyanins in Physiological Fluids via UHPLC-MSn. Molecules 2020, 25, 518. [Google Scholar] [CrossRef]
- Panichkitkosolkul, W. Confidence Intervals for the Coefficient of Variation in a Normal Distribution with a Known Population Mean. J. Probab. Stat. 2013, 2013, 11. [Google Scholar] [CrossRef]
- DrugBank Database. Available online: https://doi.org/10.1093/nar/gkt1067 (accessed on 17 December 2020).
- Omar, A.E.S.; Reinaldo, C.B.; Paulo, T.S. Solvent Kinetic Isotope Effect: A Simple, Multipurpose Physical Chemistry Experiment. J. Chem. Educ. 1997, 74, 562. [Google Scholar]
- Xu, Z.; Meuwly, M.; Vaníček, J.; Jeremy, O.R. Kinetic isotope effects and how to describe them Konstantin Karandashev. Struct. Dyn. 2017, 4, 061501. [Google Scholar]
- Cao, C.; Tan, Y.; Zhu, X.Q. Heterolytic and homolytic C-D bond dissociation energies of NADH models in acetonitrile and primary isotopic effects on hydride versus hydrogen atom transfer reactions. Sci. China Chem. 2012, 55, 2054–2056. [Google Scholar] [CrossRef]
- Carvalho-Silva, V.H.; Coutinho, N.D.; Aquilanti, V. Temperature dependence of rate processes beyond Arrhenius and Eyring activation and transitivity. Front. Chem. 2019, 7, 1–11. [Google Scholar] [CrossRef] [PubMed]
- Roger, D. Tung Deuterium medicinal chemistry comes of age. Future Med. Chem. 2016, 8, 491–494. [Google Scholar]
- Claassen, D.O.; Carroll, B.; De Boer, L.M.; Wu, E.; Ayyagari, R.; Gandhi, S.; Stamler, D. Indirect tolerability comparison of deutetrabenazine and tetrabenazine for Huntington disease. J. Clin. Mov. Disord. 2017, 4, 3–13. [Google Scholar] [CrossRef] [PubMed]
- Gu, H. Advances in kinetic isotope effect measurement techniques for enzyme mechanism study. Molecules 2013, 18, 9278–9292. [Google Scholar] [CrossRef]
- Mühlenweg, H.; Hirleman, E.D. Laser Diffraction Spectroscopy: Influence of Particle Shapeand a Shape Adaptation Technique. Part. Part. Syst. Char. 1998, 15, 163–169. [Google Scholar] [CrossRef]






| LALLS Data | Values | ||
|---|---|---|---|
| Deuterium-Depleted Water (ddw), ≤1 ppm D/H | Ultrapure Water (UPW), ~150 ppm D/H | Deuterium Oxide, D2O 99.9% | |
| Volume concentration of water clusters, vc (%) | 0.004 | 0.017 | 0.003 |
| Laser obscuration (λ = 632.8 nm) | 0.17 | 0.43 | 0.61 |
| , s−1 | SD | S2 | RSD, % | , s−1 |
|---|---|---|---|---|
| 0.058 | 3.1 × 10−3 | 9.6 × 10−6 | 5.3 | 0.058 ± 0.003 |
| , s−1 | SD | S2 | RSD, % | , s−1 | , % |
|---|---|---|---|---|---|
| 0.057 | 4.7 × 10−3 | 2.3 × 10−5 | 8.3 | 0.057 ± 0.002 | 4.1 |
| Name of Poorly Soluble Drug | , s−1 | log Poct/water [52] | ||
|---|---|---|---|---|
| Water, Deuterium-Depleted (ddw) | Ultrapure Water (UPW) | |||
| Bendazol hydrochloride | (1.92 ± 0.07) × 10−2 | (0.84 ± 0.04) × 10−2 | 2.3 | 2.8 |
| Moxifloxacin hydrochloride | (5.50 ± 0.003) × 10−2 | (1.57 ± 0.004) × 10−2 | 3.5 | 2.9 |
| Taurin | (1.99 ± 0.04) × 10−2 | (1.71 ± 0.02) × 10−2 | 1.2 | −1.3 |
| Topiramate | (2.89 ± 0.001) × 10−2 | (1.83 ± 0.001) × 10−2 | 1.6 | 1.3 |
| Drug Samples | Solubility in Water (Descriptive Term, Approximate Volume of Solvent in Milliliters per Gram of Solute) * |
|---|---|
| bendazol hydrochloride | sparingly soluble (from 30 to 100) |
| moxifloxacin hydrochloride | sparingly soluble (from 30 to 100) |
| taurine | soluble (from 10 to 30) |
| topiramate | sparingly soluble (from 30 to 100) |
Publisher’s Note: MDPI stays neutral with regard to jurisdictional claims in published maps and institutional affiliations. |
© 2021 by the authors. Licensee MDPI, Basel, Switzerland. This article is an open access article distributed under the terms and conditions of the Creative Commons Attribution (CC BY) license (http://creativecommons.org/licenses/by/4.0/).
Share and Cite
Uspenskaya, E.V.; Pleteneva, T.V.; Kazimova, I.V.; Syroeshkin, A.V. Evaluation of Poorly Soluble Drugs’ Dissolution Rate by Laser Scattering in Different Water Isotopologues. Molecules 2021, 26, 601. https://doi.org/10.3390/molecules26030601
Uspenskaya EV, Pleteneva TV, Kazimova IV, Syroeshkin AV. Evaluation of Poorly Soluble Drugs’ Dissolution Rate by Laser Scattering in Different Water Isotopologues. Molecules. 2021; 26(3):601. https://doi.org/10.3390/molecules26030601
Chicago/Turabian StyleUspenskaya, Elena V., Tatiana V. Pleteneva, Ilaha V. Kazimova, and Anton V. Syroeshkin. 2021. "Evaluation of Poorly Soluble Drugs’ Dissolution Rate by Laser Scattering in Different Water Isotopologues" Molecules 26, no. 3: 601. https://doi.org/10.3390/molecules26030601
APA StyleUspenskaya, E. V., Pleteneva, T. V., Kazimova, I. V., & Syroeshkin, A. V. (2021). Evaluation of Poorly Soluble Drugs’ Dissolution Rate by Laser Scattering in Different Water Isotopologues. Molecules, 26(3), 601. https://doi.org/10.3390/molecules26030601

