Improved Thermochemical Energy Storage Behavior of Manganese Oxide by Molybdenum Doping
Abstract
1. Introduction
2. Materials and Methods
2.1. Materials Preparation
2.2. Materials Characterization
2.3. Thermal Cyclability
3. Results and Discussion
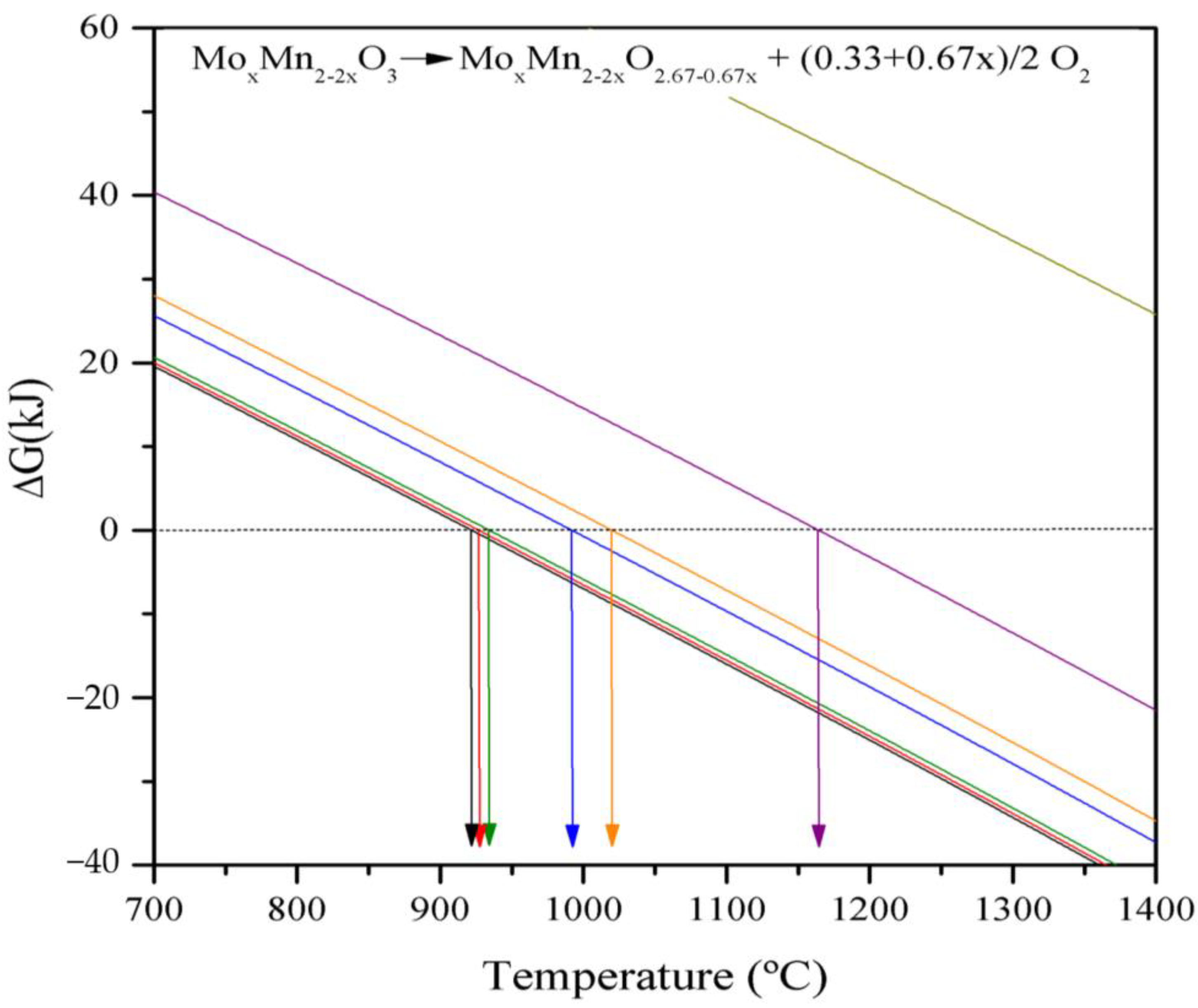
3.1. Thermodynamic Study
3.2. Physical–Chemical Characterization
3.3. Redox Cycling Behavior
4. Conclusions
Author Contributions
Funding
Institutional Review Board Statement
Informed Consent Statement
Data Availability Statement
Acknowledgments
Conflicts of Interest
Sample Availability
References
- BP. BP Energy Outlook. Available online: https://www.bp.com/en/global/corporate/energy-economics/energy-outlook.html (accessed on 22 January 2021).
- Foley, T.; Thornton, K.; Hinrichs-rahlwes, R.; Sawyer, S.; Sander, M.; Taylor, R.; Teske, S.; Lehmann, H.; Alers, M.; Hales, D. Renewables 2015: Global Status Report; REN21: Paris, France, 2015; Available online: https://www.ren21.net/wp-content/uploads/2019/05/GSR2015_Full-Report_English.pdf (accessed on 22 January 2021).
- Liu, M.; Steven Tay, N.H.; Bell, S.; Belusko, M.; Jacob, R.; Will, G.; Saman, W.; Bruno, F. Review on concentrating solar power plants and new developments in high temperature thermal energy storage technologies. Renew. Sustain. Energy Rev. 2016, 53, 1411–1432. [Google Scholar] [CrossRef]
- Yekini Suberu, M.; Wazir Mustafa, M.; Bashir, N. Energy storage systems for renewable energy power sector integration and mitigation of intermittency. Renew. Sustain. Energy Rev. 2014, 35, 499–514. [Google Scholar] [CrossRef]
- Zhang, H.; Baeyens, J.; Cáceres, G.; Degrève, J.; Lv, Y. Thermal energy storage: Recent developments and practical aspects. Prog. Energy Combust. Sci. 2016, 53, 1–40. [Google Scholar] [CrossRef]
- Pardo, P.; Deydier, A.; Anxionnaz-Minvielle, Z.; Rougé, S.; Cabassud, M.; Cognet, P. A review on high temperature thermochemical heat energy storage. Renew. Sustain. Energy Rev. 2014, 32, 591–610. [Google Scholar] [CrossRef]
- Abedin, A.H.; Rosen, M.A. Closed and open thermochemical energy storage: Energy- and exergy-based comparisons. Energy 2012, 41, 83–92. [Google Scholar] [CrossRef]
- Carrillo, A.J.; Serrano, D.P.; Pizarro, P.; Coronado, J.M. Improving the thermochemical energy storage performance of the Mn2O3/Mn3O4 redox couple by the incorporation of iron. Chem. Sus. Chem. 2015, 8, 1947–1954. [Google Scholar] [CrossRef]
- Gliech, M.; Bergmann, A.; Spöri, C.; Strasser, P. Synthesis–structure correlations of manganese–cobalt mixed metal oxide nanoparticles. J. Energy Chem. 2016, 25, 278–281. [Google Scholar] [CrossRef]
- PROJECT STAFF. General Atomics Thermochemical Heat Storage for Concentrated Solar Power, Thermochemical System Reactor Design for Thermal Energy Storage; DOE/GO18145 TRN: US201209%%526; OSTI.GOV: San Diego, CA, USA, 2011. Available online: https://www.osti.gov/servlets/purl/1039304 (accessed on 22 January 2021).
- Agrafiotis, C.; Roeb, M.; Sattler, C. Exploitation of thermochemical cycles based on solid oxide redox systems for thermochemical storage of solar heat. Part 4: Screening of oxides for use in cascaded thermochemical storage concepts. Sol. Energy 2016, 139, 695–710. [Google Scholar] [CrossRef]
- Licurgo, J.; Fuentealba, E.; Alonso, E.; Pe, C.; Estrada, C.A. First experimental studies of solar redox reactions of copper oxides for thermochemical energy storage. Sol. Energy 2015, 115, 297–305. [Google Scholar]
- Block, T.; Schmücker, M. Metal oxides for thermochemical energy storage: A comparison of several metal oxide systems. Sol. Energy 2016, 126, 195–207. [Google Scholar] [CrossRef]
- Bowrey, R.G.; Jutsen, J. Energy storage using the reversible oxidation of barium oxide. Sol. Energy 1978, 21, 523–525. [Google Scholar] [CrossRef]
- Fahim, M.A.; Ford, J.D. Energy storage using the BaO2-BaO reaction cycle. Chem. Eng. J. 1983, 27, 21–28. [Google Scholar] [CrossRef]
- Carrillo, A.J.; Sastre, D.; Serrano, D.P.; Pizarro, P.; Coronado, J. Revisiting the BaO2/BaO redox cycle for solar thermochemical energy storage. Phys. Chem. Chem. Phys. 2016, 18, 8039–8048. [Google Scholar] [CrossRef]
- Carrillo, A.J.; Moya, J.; Bayón, A.; Jana, P.; De, V.A.; Shea, P.O.; Romero, M.; Gonzalez-aguilar, J.; Serrano, D.P.; Pizarro, P.; et al. Thermochemical energy storage at high temperature via redox cycles of Mn and Co oxides: Pure oxides versus mixed ones. Sol. Energy Mater. Sol. Cells 2014, 123, 47–57. [Google Scholar] [CrossRef]
- Block, T.; Knoblauch, N.; Schmücker, M. The cobalt-oxide/iron-oxide binary system for use as high temperature thermochemical energy storage material. Acta 2014, 577, 25–32. [Google Scholar] [CrossRef]
- Agrafiotis, C.; Roeb, M.; Schmücker, M.; Sattler, C. Exploitation of thermochemical cycles based on solid oxide redox systems for thermochemical storage of solar heat. Part 2: Redox oxide-coated porous ceramic structures as integrated thermochemical reactors/heat exchangers. Sol. Energy 2015, 102, 189–211. [Google Scholar] [CrossRef]
- Carrillo, A.J.; Serrano, D.P.; Pizarro, P.; Coronado, J.M. Manganese oxide-based thermochemical energy storage: Modulating temperatures of redox cycles by Fe-Cu co-doping. J. Energy Storage 2016, 5, 169–176. [Google Scholar] [CrossRef]
- Wokon, M.; Block, T.; Nicolai, S.; Linder, M.; Schmücker, M. Thermodynamic and kinetic investigation of a technical grade manganese-iron binary oxide for thermochemical energy storage. Sol. Energy 2017, 153, 471–485. [Google Scholar] [CrossRef]
- Wokon, M.; Kohzer, A.; Linder, M. Investigations on thermochemical energy storage based on technical grade manganese-iron oxide in a lab-scale packed bed reactor. Sol. Energy 2017, 153, 200–214. [Google Scholar] [CrossRef]
- Wiesner, U.; Reichelt, W.; Krabbes, G. Stability Fields in the System Mn-Mo-O and Thermochemical Data of Mn2Mo3O8 and MnMoO4. Z. Anorg. Allg. Chem. 1987, 551, 67–73. [Google Scholar] [CrossRef]
- Bessergenev, V.G.; Kovalevskaya, Y.A.; Paukov, I.E.; Starikov, M.A.; Oppermann, H.; Reichelt, W. Thermodynamic properties of MnMoO4 and Mn2Mo3O8. J. Chem. 1992, 24, 85–98. [Google Scholar] [CrossRef]
- Shannon, R.D. Revised Effective Ionic Radii and Systematic Studies of Interatomie Distances in Halides and Chaleogenides. Acta Cryst. 1976, 32, 751–767. [Google Scholar] [CrossRef]
- Allred, A.L. Electronegativity values from thermochemical Data. J. Inorg. Nucl. Chem. 1961, 17, 215–221. [Google Scholar] [CrossRef]
- Chen, C.H.; Njagi, E.C.; Chen, S.Y.; Horvath, D.T.; Xu, L.; Morey, A.; Mackin, C.; Joesten, R.; Suib, S.L. Structural Distortion of Molybdenum-Doped Manganese Oxide Octahedral Molecular Sieves for Enhanced Catalytic Performance. Inorg. Chem. 2015, 54, 10163–10171. [Google Scholar] [CrossRef] [PubMed]
- Medvedev, A.S.; Malochkina, N. V Sublimation of Molybdenum Trioxide from Exhausted Catalysts Employed for the Purification of Oil Products. Russ. J. Non-Ferr. Met. 2007, 48, 114–117. [Google Scholar] [CrossRef]
- Stobbe, E.R.; de Boer, B.A.; Geus, J.W. The reduction and oxidation behaviour of manganese oxides. Catal. Today 1999, 47, 161–167. [Google Scholar] [CrossRef]
- Leith, I.R.; Howden, M.G. Temperature-programmed reduction of mixed iron—manganese oxide catalysts in hydrogen and carbon monoxide. Appl. Catal. 1988, 37, 75–92. [Google Scholar] [CrossRef]
- Cadus, L.E.; Ferretti, O. Characterization of Mo-MnO catalyst for propane oxidative dehydrogenation. Appl. Catal. A Gen. 2002, 233, 239–253. [Google Scholar] [CrossRef]
- Carrillo, A.J.; Serrano, D.P.; Pizarro, P.; Coronado, J.M. Thermochemical heat storage based on the Mn2O3 Mn3O4 redox couple: Influence of the initial particle size on the morphological evolution and cyclability. J. Mater. Chem. A 2014, 2, 19435–19443. [Google Scholar] [CrossRef]
- Azimi, G.; Leion, H.; Rydén, M.; Mattisson, T.; Lyngfelt, A. Investigation of different Mn–Fe oxides as oxygen carrier for chemical-looping with oxygen uncoupling (CLOU). Energy Fuels 2013, 27, 367–377. [Google Scholar] [CrossRef]
- Weinstein, L.A.; Loomis, J.; Bhatia, B.; Bierman, D.M.; Wang, E.N.; Chen, G. Concentrating Solar Power. Chem. Rev. 2015, 115, 12797–12838. [Google Scholar] [CrossRef] [PubMed]
- Marugán, J.; Botas, J.A.; Molina, R.; Herradón, C. Study of the first step of the Mn2O3/MnO thermochemical cycle for solar hydrogen production. Int. J. Hydrog. Energy 2011, 37, 7017–7025. [Google Scholar] [CrossRef]
- Parrott, J.E. Choice of an equivalent black body solar temperature. Sol. Energy 1993, 51, 195. [Google Scholar] [CrossRef]
:0%MoO3;
: 0.6%MoO3;
: 1.5%MoO3;
: 8.7%MoO3;
: 12%MoO3;
: 31%MoO3;
: 100%MoO3.
:0%MoO3;
: 0.6%MoO3;
: 1.5%MoO3;
: 8.7%MoO3;
: 12%MoO3;
: 31%MoO3;
: 100%MoO3.






| Sample | Theoretical MoO3 Content (wt%) | Actual MoO3 Content (wt%) | Theoretical Temperature of Reduction (°C) | BET Surface Area (m²/g) |
|---|---|---|---|---|
| 0% MoO3 | 0 | 0.00 | 922 | 6.17 |
| 0.6% MoO3 | 0.6 | 0.62 | 927 | 3.03 |
| 1.5% MoO3 | 1.5 | 1.52 | 934 | 2.98 |
| 8.7% MoO3 | 8.5 | 8.70 | 992 | 5.65 |
| 12% MoO3 | 12 | 12.2 | 1019 | 3.54 |
| 31% MoO3 | 30 | 31.0 | 1164 | 2.03 |
| 100% MoO3 | 100 | 100 | >1400 | - |
| Sample | Theoretical Weight Loss (%) | Measured Weight Loss (%) | Deviation (%) |
|---|---|---|---|
| 0% MoO3 | 3.38 | 3.42 | 4 |
| 0.6% MoO3 | 3.33 | 3.27 | −6 |
| 1.5% MoO3 | 3.27 | 3.25 | −2 |
| 8.7% MoO3 | 2.76 | 2.84 | +8 |
| 12% MoO3 | 2.51 | 2.81 | +30 |
| 31% MoO3 | 1.18 | 1.79 | +61 |
| 100% MoO3 | - | - |
| Sample | Cycle | Tred (°C) | Tox (°C) | ΔT (°C) | ɳex (%) |
|---|---|---|---|---|---|
| Mn2O3 | 1 | 950 | 640 | 310 | 89.06 |
| 0.6% MoO3 | 2 | 960 | 730 | 230 | 92.69 |
| 10 | 980 | 720 | 260 | 91.83 | |
| 30 | 980 | 700 | 280 | 91.02 | |
| 45 | 980 | 700 | 280 | 91.02 | |
| 1.5% MoO3 | 2 | 955 | 740 | 215 | 93.20 |
| 10 | 970 | 730 | 240 | 92.45 | |
| 30 | 975 | 720 | 255 | 91.94 | |
| 45 | 975 | 720 | 255 | 91.94 |
| Sample | Cycle | ɳabs (%) | ||||
|---|---|---|---|---|---|---|
| C = 1000 | C = 2000 | C = 3000 | C = 4000 | C = 5000 | ||
| 0.6% MoO3 | 2 | 86.90 | 93.45 | 95.63 | 96.72 | 97.38 |
| 10 | 86.02 | 93.01 | 95.34 | 96.51 | 97.20 | |
| 30 | 86.02 | 93.01 | 95.34 | 96.51 | 97.20 | |
| 45 | 86.02 | 93.01 | 95.34 | 96.51 | 97.20 | |
| 1.5% MoO3 | 2 | 87.11 | 93.55 | 95.70 | 96.78 | 97.42 |
| 10 | 86.46 | 93.23 | 95.49 | 96.62 | 97.29 | |
| 30 | 86.25 | 93.12 | 95.42 | 96.56 | 97.25 | |
| 45 | 86.25 | 93.12 | 95.42 | 96.56 | 97.25 | |
Publisher’s Note: MDPI stays neutral with regard to jurisdictional claims in published maps and institutional affiliations. |
© 2021 by the authors. Licensee MDPI, Basel, Switzerland. This article is an open access article distributed under the terms and conditions of the Creative Commons Attribution (CC BY) license (http://creativecommons.org/licenses/by/4.0/).
Share and Cite
Moya, J.; Marugán, J.; Orfila, M.; Díaz-Pérez, M.A.; Serrano-Ruiz, J.C. Improved Thermochemical Energy Storage Behavior of Manganese Oxide by Molybdenum Doping. Molecules 2021, 26, 583. https://doi.org/10.3390/molecules26030583
Moya J, Marugán J, Orfila M, Díaz-Pérez MA, Serrano-Ruiz JC. Improved Thermochemical Energy Storage Behavior of Manganese Oxide by Molybdenum Doping. Molecules. 2021; 26(3):583. https://doi.org/10.3390/molecules26030583
Chicago/Turabian StyleMoya, Javier, Javier Marugán, María Orfila, Manuel Antonio Díaz-Pérez, and Juan Carlos Serrano-Ruiz. 2021. "Improved Thermochemical Energy Storage Behavior of Manganese Oxide by Molybdenum Doping" Molecules 26, no. 3: 583. https://doi.org/10.3390/molecules26030583
APA StyleMoya, J., Marugán, J., Orfila, M., Díaz-Pérez, M. A., & Serrano-Ruiz, J. C. (2021). Improved Thermochemical Energy Storage Behavior of Manganese Oxide by Molybdenum Doping. Molecules, 26(3), 583. https://doi.org/10.3390/molecules26030583

